Pressure-Induced Modulation of Tin Selenide Properties: A Review
Abstract
1. Introduction
2. High-Pressure Techniques
2.1. DAC Technology
2.2. In Situ High-Pressure Measurement
3. Pressure-Induced SnSe Structural Transitions
3.1. Phase Transition of Bulk SnSe
3.2. Phase Transition of SnSe Nanomaterials
4. Properties of SnSe under High Pressure
4.1. Optical Properties of SnSe under High Pressure
4.1.1. Optical Constants
4.1.2. In-Plane Anisotropy
4.2. Electronic Properties of SnSe under High Pressure
4.2.1. Electronic Structure
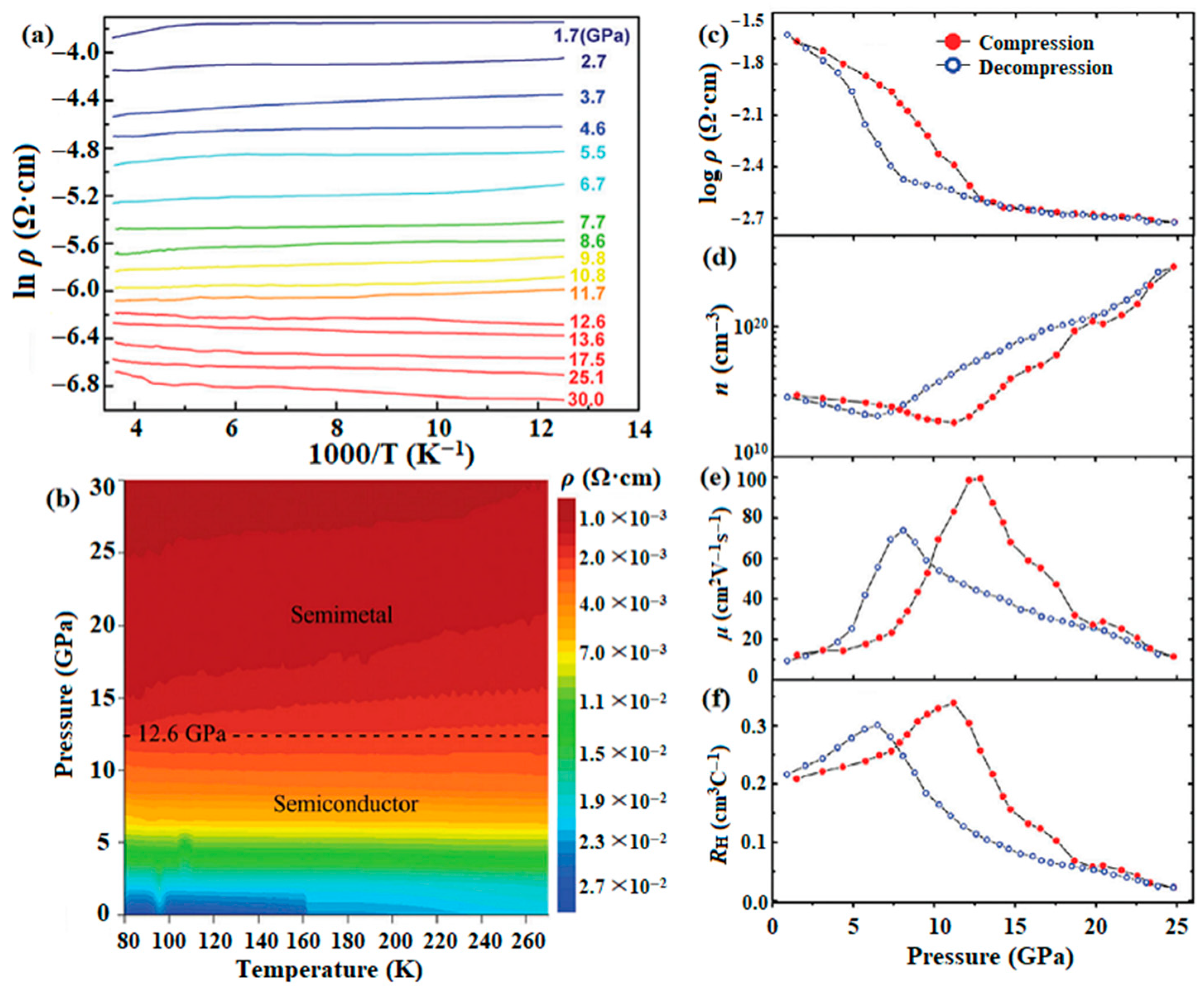
4.2.2. Electrical Transport
4.3. Thermoelectric Properties of SnSe under High Pressure
4.3.1. Anisotropic Thermoelectric Properties
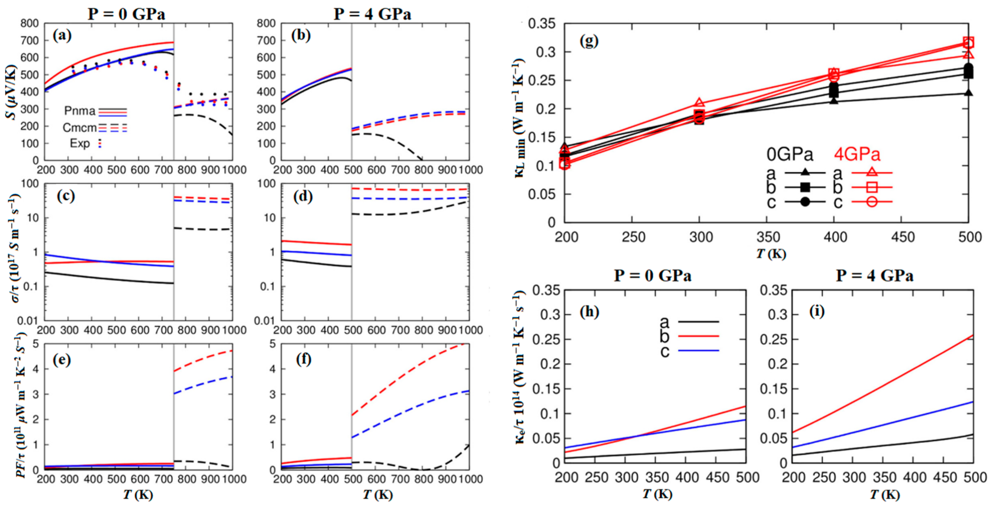
4.3.2. Doping-induced Enhancement of Thermoelectric Properties
5. Conclusions and Perspectives
Author Contributions
Funding
Institutional Review Board Statement
Informed Consent Statement
Data Availability Statement
Conflicts of Interest
Correction Statement
References
- Wang, W.; Li, P.; Zheng, H.; Liu, Q.; Lv, F.; Wu, J.; Wang, H.; Guo, S. Ultrathin Layered SnSe Nanoplates for Low Voltage, High-Rate, and Long-Life Alkali–Ion Batteries. Small 2017, 13, 1702228. [Google Scholar] [CrossRef] [PubMed]
- Shi, H.; Guo, C.; Qin, B.; Wang, G.; Wang, D.; Zhao, L.-D. A promising thermoelectrics In4SnSe4 with a wide bandgap and cubic structure composited by layered SnSe and In4Se3. J. Mater. 2022, 8, 982–991. [Google Scholar] [CrossRef]
- Cheng, Y.; Yang, H.; Zhang, J.; Xiong, X.; Chen, C.; Zeng, J.; Xi, J.; Yuan, Y.-J.; Ji, Z. Novel 0D/2D ZnSe/SnSe heterojunction photocatalysts exhibiting enhanced photocatalytic and photoelectrochemical activities. J. Alloys Compd. 2022, 897, 163123. [Google Scholar] [CrossRef]
- Kumar, M.; Rani, S.; Kumar, A.; Tawale, J.; Srivastava, R.; Singh, B.P.; Pathak, S.; Wang, X.; Singh, V. Broadband (NIR-Vis-UV) photoresponse of annealed SnSe films and effective oxidation passivation using Si protective layer. Mater. Res. Bull. 2022, 153, 111913. [Google Scholar] [CrossRef]
- Pejjai, B.; Reddy, V.R.M.; Gedi, S.; Park, C. Status review on earth-abundant and environmentally green Sn-X (X = Se, S) nanoparticle synthesis by solution methods for photovoltaic applications. Int. J. Hydrogen Energy 2017, 42, 2790–2831. [Google Scholar] [CrossRef]
- Zhao, H.; Wang, C.; Liu, G.; Barba, D.; Vidal, F.; Han, G.; Rosei, F. Efficient and stable hydrogen evolution based on earth-abundant SnSe nanocrystals. Appl. Catal. B 2020, 264, 118526. [Google Scholar] [CrossRef]
- Li, X.-Z.; Xia, J.; Wang, L.; Gu, Y.-Y.; Cheng, H.-Q.; Meng, X.-M. Layered SnSe nano-plates with excellent in-plane anisotropic properties of Raman spectrum and photo-response. Nanoscale 2017, 9, 14558–14564. [Google Scholar] [CrossRef]
- Shao, G.; Xue, X.-X.; Yang, M.; Yang, J.; Liu, X.; Lu, H.; Jiang, Y.; Jin, Y.; Yuan, Q.; Sun, J. Modulated anisotropic growth of 2D SnSe based on the difference in a/b/c-axis edge atomic structures. Chem. Mater. 2021, 33, 4231–4239. [Google Scholar] [CrossRef]
- Shi, W.; Gao, M.; Wei, J.; Gao, J.; Fan, C.; Ashalley, E.; Li, H.; Wang, Z. Tin selenide (SnSe): Growth, properties, and applications. Adv. Sci. 2018, 5, 1700602. [Google Scholar] [CrossRef]
- Fernandes, P.; Sousa, M.; Salome, P.M.; Leitão, J.; Da Cunha, A.d. Thermodynamic pathway for the formation of SnSe and SnSe2 polycrystalline thin films by selenization of metal precursors. CrystEngComm 2013, 15, 10278–10286. [Google Scholar] [CrossRef]
- Zhao, L.D.; Chang, C.; Tan, G.; Kanatzidis, M. SnSe: A remarkable new thermoelectric material. Energy Environ. Sci. 2016, 9, 3044–3060. [Google Scholar] [CrossRef]
- Shiravizadeh, A.G.; Yousefi, R.; Elahi, S.M.; Sebt, S.A. Effects of annealing atmosphere and rGO concentration on the optical properties and enhanced photocatalytic performance of SnSe/rGO nanocomposites. Phys. Chem. Chem. Phys. 2017, 19, 18089–18098. [Google Scholar] [CrossRef] [PubMed]
- Mandal, P.; Show, B.; Ahmed, S.T.; Banerjee, D.; Mondal, A. Visible-light active electrochemically deposited tin selenide thin films: Synthesis, characterization and photocatalytic activity. J. Mater. Sci. Mater. Electron. 2020, 31, 4708–4718. [Google Scholar] [CrossRef]
- Ren, S.; Liu, S.; Gao, S.; Lu, H.; Li, L.; Rong, P.; Fu, Z.; Gao, L.; Sang, D. A facile solution synthesis of scaly-like hollow SnSe nanotubes for self-powered infrared sensor. J. Alloys Compd. 2021, 879, 160446. [Google Scholar] [CrossRef]
- Shen, Y.; Zhang, Y.; Huo, J.; Li, X.; Yan, Z.; Pan, Y.; Sun, W.; Deng, N.; Kang, W. Two-dimensional SnSe material for solar cells and rechargeable batteries. J. Energy Storage 2023, 69, 107958. [Google Scholar] [CrossRef]
- Nandihalli, N. Thermoelectric films and periodic structures and spin Seebeck effect systems: Facets of performance optimization. Mater. Today Energy 2022, 25, 100965. [Google Scholar] [CrossRef]
- Shirotani, I.; Mikami, J.; Adachi, T.; Katayama, Y.; Tsuji, K.; Kawamura, H.; Shimomura, O.; Nakajima, T. Phase transitions and superconductivity of black phosphorus and phosphorus-arsenic alloys at low temperatures and high pressures. Phys. Rev. B 1994, 50, 16274. [Google Scholar] [CrossRef]
- Yun, W.S.; Han, S.; Hong, S.C.; Kim, I.G.; Lee, J. Thickness and strain effects on electronic structures of transition metal dichalcogenides: 2H-MX2 semiconductors (M = Mo, W; X = S, Se, Te). Phys. Rev. B 2012, 85, 033305. [Google Scholar] [CrossRef]
- Smith, D.; Howie, R.T.; Crowe, I.F.; Simionescu, C.L.; Muryn, C.; Vishnyakov, V.; Novoselov, K.S.; Kim, Y.-J.; Halsall, M.P.; Gregoryanz, E. Hydrogenation of graphene by reaction at high pressure and high temperature. ACS Nano 2015, 9, 8279–8283. [Google Scholar] [CrossRef]
- Huang, G.-Q.; Xing, Z.-W. Superconductivity of bilayer phosphorene under interlayer compression*. Chin. Phys. B 2016, 25, 027402. [Google Scholar] [CrossRef]
- Liu, F.; Zhou, J.; Zhu, C.; Liu, Z. Electric field effect in two-dimensional transition metal dichalcogenides. Adv. Funct. Mater. 2017, 27, 1602404. [Google Scholar] [CrossRef]
- Huang, B.; Clark, G.; Navarro-Moratalla, E.; Klein, D.R.; Cheng, R.; Seyler, K.L.; Zhong, D.; Schmidgall, E.; McGuire, M.A.; Cobden, D.H. Layer-dependent ferromagnetism in a van der Waals crystal down to the monolayer limit. Nature 2017, 546, 270–273. [Google Scholar] [CrossRef] [PubMed]
- Lee, Y.K.; Ahn, K.; Cha, J.; Zhou, C.; Kim, H.S.; Choi, G.; Chae, S.I.; Park, J.-H.; Cho, S.-P.; Park, S.H. Enhancing p-type thermoelectric performances of polycrystalline SnSe via tuning phase transition temperature. J. Am. Chem. Soc. 2017, 139, 10887–10896. [Google Scholar] [CrossRef]
- Lou, X.; Li, S.; Chen, X.; Zhang, Q.; Deng, H.; Zhang, J.; Li, D.; Zhang, X.; Zhang, Y.; Zeng, H. Lattice strain leads to high thermoelectric performance in polycrystalline SnSe. ACS Nano 2021, 15, 8204–8215. [Google Scholar] [CrossRef] [PubMed]
- Luo, Y.; Mao, N.; Ding, D.; Chiu, M.-H.; Ji, X.; Watanabe, K.; Taniguchi, T.; Tung, V.; Park, H.; Kim, P. Electrically switchable anisotropic polariton propagation in a ferroelectric van der Waals semiconductor. Nat. Nanotechnol. 2023, 18, 350–356. [Google Scholar] [CrossRef] [PubMed]
- Li, H.; Hayashi, K.; Nagashima, Y.; Yoshioka, S.; Dong, J.; Li, J.-F.; Miyazaki, Y. Effects of disorder on the electronic structure and thermoelectric properties of an inverse full-heusler Mn2CoAl alloy. Chem. Mater. 2021, 33, 2543–2547. [Google Scholar] [CrossRef]
- Liu, D.; Qin, B.; Zhao, L.-D. SnSe/SnS: Multifunctions beyond thermoelectricity. Mater. Lab 2022, 1, 220006. [Google Scholar] [CrossRef]
- Shi, X.-L.; Chen, W.-Y.; Zhang, T.; Zou, J.; Chen, Z.-G. Fiber-based thermoelectrics for solid, portable, and wearable electronics. Energy Environ. Sci. 2021, 14, 729–764. [Google Scholar] [CrossRef]
- Zhao, L.-D.; Lo, S.-H.; Zhang, Y.; Sun, H.; Tan, G.; Uher, C.; Wolverton, C.; Dravid, V.P.; Kanatzidis, M.G. Ultralow thermal conductivity and high thermoelectric figure of merit in SnSe crystals. Nature 2014, 508, 373–377. [Google Scholar] [CrossRef]
- Li, F.; Wang, H.; Huang, R.; Chen, W.; Zhang, H. Recent advances in SnSe nanostructures beyond thermoelectricity. Adv. Funct. Mater. 2022, 32, 2200516. [Google Scholar] [CrossRef]
- Feng, D.; Ge, Z.-H.; Wu, D.; Chen, Y.-X.; Wu, T.; Li, J.; He, J. Enhanced thermoelectric properties of SnSe polycrystals via texture control. Phys. Chem. Chem. Phys. 2016, 18, 31821–31827. [Google Scholar] [CrossRef] [PubMed]
- Wang, X.; Liu, X. High pressure: A feasible tool for the synthesis of unprecedented inorganic compounds. Inorg. Chem. Front. 2020, 7, 2890–2908. [Google Scholar] [CrossRef]
- Zhang, L.; Wang, Y.; Lv, J.; Ma, Y. Materials discovery at high pressures. Nat. Rev. Mater. 2017, 2, 17005. [Google Scholar] [CrossRef]
- Li, Q.-J.; Liu, B.-B. High pressure structural phase transitions of TiO2 nanomaterials. Chin. Phys. B 2016, 25, 076107. [Google Scholar] [CrossRef]
- Mao, H.-K.; Chen, B.; Chen, J.; Li, K.; Lin, J.-F.; Yang, W.; Zheng, H. Recent advances in high-pressure science and technology. Matter Radiat. Extrem. 2016, 1, 59–75. [Google Scholar] [CrossRef]
- Yankowitz, M.; Jung, J.; Laksono, E.; Leconte, N.; Chittari, B.L.; Watanabe, K.; Taniguchi, T.; Adam, S.; Graf, D.; Dean, C.R. Dynamic band-structure tuning of graphene moiré superlattices with pressure. Nature 2018, 557, 404–408. [Google Scholar] [CrossRef] [PubMed]
- Cai, P.; Hu, J.; He, L.; Pan, J.; Hong, X.; Zhang, Z.; Zhang, J.; Wei, J.; Mao, Z.; Li, S. Drastic pressure effect on the extremely large magnetoresistance in WTe2: Quantum oscillation study. Phys. Rev. Lett. 2015, 115, 057202. [Google Scholar] [CrossRef]
- Yankowitz, M.; Chen, S.; Polshyn, H.; Zhang, Y.; Watanabe, K.; Taniguchi, T.; Graf, D.; Young, A.F.; Dean, C.R. Tuning superconductivity in twisted bilayer graphene. Science 2019, 363, 1059–1064. [Google Scholar] [CrossRef]
- Fülöp, B.; Márffy, A.; Zihlmann, S.; Gmitra, M.; Tóvári, E.; Szentpéteri, B.; Kedves, M.; Watanabe, K.; Taniguchi, T.; Fabian, J. Boosting proximity spin–orbit coupling in graphene/WSe2 heterostructures via hydrostatic pressure. NPJ 2D Mater. Appl. 2021, 5, 82. [Google Scholar] [CrossRef]
- Mori, N.; Takahashi, H.; Takeshita, N. Low-temperature and high-pressure apparatus developed at ISSP, University of Tokyo. High Press. Res. 2004, 24, 225–232. [Google Scholar] [CrossRef]
- Cheng, J.-G.; Wang, B.-S.; Sun, J.-P.; Uwatoko, Y. Cubic anvil cell apparatus for high-pressure and low-temperature physical property measurements. Chin. Phys. B 2018, 27, 077403. [Google Scholar] [CrossRef]
- Li, X.; Sun, J.; Shahi, P.; Gao, M.; MacDonald, A.H.; Uwatoko, Y.; Xiang, T.; Goodenough, J.B.; Cheng, J.; Zhou, J. Pressure-induced phase transitions and superconductivity in a black phosphorus single crystal. Proc. Natl. Acad. Sci. USA 2018, 115, 9935–9940. [Google Scholar] [CrossRef] [PubMed]
- Jayaraman, A. Diamond anvil cell and high-pressure physical investigations. Rev. Mod. Phys. 1983, 55, 65. [Google Scholar] [CrossRef]
- Shen, G.; Mao, H.K. High-pressure studies with X-rays using diamond anvil cells. Rep. Prog. Phys. 2016, 80, 016101. [Google Scholar] [CrossRef] [PubMed]
- Li, B.; Ji, C.; Yang, W.; Wang, J.; Yang, K.; Xu, R.; Liu, W.; Cai, Z.; Chen, J.; Mao, H.-k. Diamond anvil cell behavior up to 4 Mbar. Proc. Natl. Acad. Sci. USA 2018, 115, 1713–1717. [Google Scholar] [CrossRef]
- Pei, S.; Wang, Z.; Xia, J. High pressure studies of 2D materials and heterostructures: A review. Mater. Des. 2022, 213, 110363. [Google Scholar] [CrossRef]
- Klotz, S.; Chervin, J.; Munsch, P.; Le Marchand, G. Hydrostatic limits of 11 pressure transmitting media. J. Phys. D Appl. Phys. 2009, 42, 075413. [Google Scholar] [CrossRef]
- Wang, X.; Shen, Z.; Tang, S.; Kuok, M. Near infrared excited micro-Raman spectra of 4: 1 methanol–ethanol mixture and ruby fluorescence at high pressure. J. Appl. Phys. 1999, 85, 8011–8017. [Google Scholar] [CrossRef]
- Ragan, D.D.; Clarke, D.R.; Schiferl, D. Silicone fluid as a high-pressure medium in diamond anvil cells. Rev. Sci. Instrum. 1996, 67, 494–496. [Google Scholar] [CrossRef]
- Chen, X.; Lou, H.; Zeng, Z.; Cheng, B.; Zhang, X.; Liu, Y.; Xu, D.; Yang, K.; Zeng, Q. Structural transitions of 4: 1 methanol–ethanol mixture and silicone oil under high pressure. Matter Radiat. Extrem. 2021, 6, 038402. [Google Scholar] [CrossRef]
- Angel, R.J.; Bujak, M.; Zhao, J.; Gatta, G.D.; Jacobsen, S.D. Effective hydrostatic limits of pressure media for high-pressure crystallographic studies. J. Appl. Crystallogr. 2007, 40, 26–32. [Google Scholar] [CrossRef]
- Han, H.; Yao, Y.; Robinson, R.D. Interplay between chemical transformations and atomic structure in nanocrystals and nanoclusters. Acc. Chem. Res. 2021, 54, 509–519. [Google Scholar] [CrossRef] [PubMed]
- Wittenberg, J.S.; Miller, T.A.; Szilagyi, E.; Lutker, K.; Quirin, F.; Lu, W.; Lemke, H.; Zhu, D.; Chollet, M.; Robinson, J. Real-time visualization of nanocrystal solid–solid transformation pathways. Nano Lett. 2014, 14, 1995–1999. [Google Scholar] [CrossRef] [PubMed]
- Shekar, N.C.; Rajan, K.G. Kinetics of pressure induced structural phase transitions—A review. Bull. Mater. Sci. 2001, 24, 1–21. [Google Scholar] [CrossRef]
- Vishnoi, P.; Rao, C.N.R. Temperature and Pressure Induced Structural Transitions of Lead Iodide Perovskites. J. Mater. Chem. A 2023. [Google Scholar] [CrossRef]
- Chattopadhyay, T.; Pannetier, J.; Von Schnering, H.G. Neutron diffraction study of the structural phase transition in SnS and SnSe. J. Phys. Chem. Solids 1986, 47, 879–885. [Google Scholar] [CrossRef]
- Peters, M.; McNeil, L. High-pressure Mössbauer study of SnSe. Phys. Rev. B 1990, 41, 5893. [Google Scholar] [CrossRef]
- Chen, Z.-G.; Shi, X.; Zhao, L.-D.; Zou, J. High-performance SnSe thermoelectric materials: Progress and future challenge. Prog. Mater Sci. 2018, 97, 283–346. [Google Scholar] [CrossRef]
- Chattopadhyay, T.; Werner, A.; Von Schnering, H.; Pannetier, J. Temperature and pressure induced phase transition in IV-VI compounds. Rev. Phys. Appl. 1984, 19, 807–813. [Google Scholar] [CrossRef]
- Alptekin, S. Structural phase transition of SnSe under uniaxial stress and hydrostatic pressure: An ab initio study. J. Mol. Model. 2011, 17, 2989–2994. [Google Scholar] [CrossRef] [PubMed]
- Loa, I.; Husband, R.; Downie, R.; Popuri, S.; Bos, J.G. Structural changes in thermoelectric SnSe at high pressures. J. Phys. Condens. Matter 2015, 27, 072202. [Google Scholar] [CrossRef] [PubMed]
- Pal, S.; Arora, R.; Roychowdhury, S.; Harnagea, L.; Saurabh, K.; Shenoy, S.; Muthu, D.; Biswas, K.; Waghmare, U.; Sood, A. Pressure-induced phase transitions in the topological crystalline insulator SnTe and its comparison with semiconducting SnSe: Raman and first-principles studies. Phys. Rev. B 2020, 101, 155202. [Google Scholar] [CrossRef]
- Chen, X.; Lu, P.; Wang, X.; Zhou, Y.; An, C.; Zhou, Y.; Xian, C.; Gao, H.; Guo, Z.; Park, C. Topological Dirac line nodes and superconductivity coexist in SnSe at high pressure. Phys. Rev. B 2017, 96, 165123. [Google Scholar] [CrossRef]
- Nguyen-Cong, K.; Gonzalez, J.M.; Steele, B.A.; Oleynik, I.I. Tin–Selenium Compounds at Ambient and High Pressures. J. Phys. Chem. C 2018, 122, 18274–18281. [Google Scholar] [CrossRef]
- Ivanova, A.G.; Troyan, I.; Chareev, D.A.; Gavriliuk, A.G.e.; Starchikov, S.; Baskakov, A.O.; Frolov, K.V.; Mezouar, M.; Lyubutin, I.S.e. Structural phase transitions and the equation of state in SnSe at high pressures up to 2 Mbar. JETP Lett. 2018, 108, 414–418. [Google Scholar] [CrossRef]
- Luo, Y.; Shi, Y.; Wu, M.; Wu, Y.; Wang, K.; Tu, B.; Huang, H. Pressure-induced phase transitions and metallization in layered SnSe. Appl. Phys. Lett. 2023, 123, 094101. [Google Scholar] [CrossRef]
- Salerno, M.; Landoni, P.; Verganti, R. Designing foresight studies for Nanoscience and Nanotechnology (NST) future developments. Technol. Forecast. Soc. Change 2008, 75, 1202–1223. [Google Scholar] [CrossRef]
- Patel, K.; Chauhan, P.; Patel, A.B.; Solanki, G.K.; Patel, K.D.; Pathak, V.M. Orthorhombic SnSe nanocrystals for visible-light photodetectors. ACS Appl. Nano Mater. 2020, 3, 11143–11151. [Google Scholar] [CrossRef]
- Han, G.; Popuri, S.R.; Greer, H.F.; Llin, L.F.; Bos, J.W.G.; Zhou, W.; Paul, D.J.; Ménard, H.; Knox, A.R.; Montecucco, A. Chlorine-Enabled Electron Doping in Solution-Synthesized SnSe Thermoelectric Nanomaterials. Adv. Energy Mater. 2017, 7, 1602328. [Google Scholar] [CrossRef]
- Zhang, J.; Zhu, H.; Wu, X.; Cui, H.; Li, D.; Jiang, J.; Gao, C.; Wang, Q.; Cui, Q. Plasma-assisted synthesis and pressure-induced structural transition of single-crystalline SnSe nanosheets. Nanoscale 2015, 7, 10807–10816. [Google Scholar] [CrossRef]
- Michielon de Souza, S.; Ordozgoith da Frota, H.; Trichês, D.M.; Ghosh, A.; Chaudhuri, P.; Silva dos Santos Gusmao, M.; de Figueiredo Pereira, A.F.F.; Couto Siqueira, M.; Daum Machado, K.; Cardoso de Lima, J. Pressure-induced polymorphism in nanostructured SnSe. J. Appl. Crystallogr. 2016, 49, 213–221. [Google Scholar] [CrossRef]
- Ghosh, A.; Gusmão, M.; Chaudhuri, P.; de Souza, S.M.; Mota, C.; Trichês, D.; Frota, H. Electrical properties of SnSe under high-pressure. Comput. Condens. Matter 2016, 9, 77–81. [Google Scholar] [CrossRef]
- da Silva Marques, L.; de Oliveira Ferreira, J.M.; Rebelo, Q.H.F.; Ghosh, A.; Trichês, D.M.; de Souza, S.M. High-pressure study of a nanostructured SnSe1−xSx (x = 0.5) solid solution by in-situ X-ray diffraction and ab-initio calculations. J. Alloys Compd. 2019, 792, 536–542. [Google Scholar] [CrossRef]
- Yue, L.; Xu, D.; Wei, Z.; Zhao, T.; Lin, T.; Tenne, R.; Zak, A.; Li, Q.; Liu, B. Size and Shape’s Effects on the High-Pressure Behavior of WS2 Nanomaterials. Materials 2022, 15, 2838. [Google Scholar] [CrossRef] [PubMed]
- Ji, T.; Gao, Y.; Qin, T.; Yue, D.; Liu, H.; Han, Y.; Gao, C. Effect of Grain Size on Electrical Properties of Anatase TiO2 under High Pressure. J. Phys. Chem. C 2021, 125, 3314–3319. [Google Scholar] [CrossRef]
- Li, J.; Liu, B.; Dong, J.; Li, C.; Dong, Q.; Lin, T.; Liu, R.; Wang, P.; Shen, P.; Li, Q. Size and morphology effects on the high pressure behaviors of Mn3O4 nanorods. Nanoscale Adv. 2020, 2, 5841–5847. [Google Scholar] [CrossRef]
- Bai, F.; Bian, K.; Huang, X.; Wang, Z.; Fan, H. Pressure induced nanoparticle phase behavior, property, and applications. Chem. Rev. 2019, 119, 7673–7717. [Google Scholar] [CrossRef]
- Wang, Z.; Saxena, S.; Pischedda, V.; Liermann, H.; Zha, C. In situ x-ray diffraction study of the pressure-induced phase transformation in nanocrystalline CeO2. Phys. Rev. B 2001, 64, 012102. [Google Scholar] [CrossRef]
- Wang, C.-P.; Shieh, S.R.; Withers, A.C.; Liu, X.; Zhang, D.; Tkachev, S.N.; Djirar, A.-E.; Xie, T.; Rumney, J.D. Raman and X-ray diffraction study of pressure-induced phase transition in synthetic Mg2TiO4. Sci. Rep. 2020, 10, 6278. [Google Scholar] [CrossRef]
- Li, B.; Qian, G.; Oganov, A.R.; Boulfelfel, S.E.; Faller, R. Mechanism of the fcc-to-hcp phase transformation in solid Ar. J. Chem. Phys. 2017, 146, 214502. [Google Scholar] [CrossRef]
- Zhang, H.; Zhang, C.; Gregory, D.H.; Yin, Z.; Wang, Y.; He, P.; Guo, X. A review of pressure manipulating structure and performance in thermoelectrics. J. Phys. D Appl. Phys. 2023, 56, 183001. [Google Scholar] [CrossRef]
- Segura, A. Layered indium selenide under high pressure: A review. Crystals 2018, 8, 206. [Google Scholar] [CrossRef]
- Zhu, H.; Nagaoka, Y.; Hills-Kimball, K.; Tan, R.; Yu, L.; Fang, Y.; Wang, K.; Li, R.; Wang, Z.; Chen, O. Pressure-enabled synthesis of hetero-dimers and hetero-rods through intraparticle coalescence and interparticle fusion of quantum-dot-Au satellite nanocrystals. J. Am. Chem. Soc. 2017, 139, 8408–8411. [Google Scholar] [CrossRef] [PubMed]
- Wu, H.; Bai, F.; Sun, Z.; Haddad, R.E.; Boye, D.M.; Wang, Z.; Huang, J.Y.; Fan, H. Nanostructured gold architectures formed through high pressure-driven sintering of spherical nanoparticle arrays. J. Am. Chem. Soc. 2010, 132, 12826–12828. [Google Scholar] [CrossRef] [PubMed]
- Yin, T.; Fang, Y.; Chong, W.K.; Ming, K.T.; Jiang, S.; Li, X.; Kuo, J.L.; Fang, J.; Sum, T.C.; White, T.J. High-Pressure-Induced Comminution and Recrystallization of CH3NH3PbBr3 Nanocrystals as Large Thin Nanoplates. Adv. Mater. 2018, 30, 1705017. [Google Scholar] [CrossRef] [PubMed]
- Abutbul, R.E.; Segev, E.; Samuha, S.; Zeiri, L.; Ezersky, V.; Makov, G.; Golan, Y. A new nanocrystalline binary phase: Synthesis and properties of cubic tin monoselenide. CrystEngComm 2016, 18, 1918–1923. [Google Scholar] [CrossRef]
- Rabkin, A.; Samuha, S.; Abutbul, R.E.; Ezersky, V.; Meshi, L.; Golan, Y. New nanocrystalline materials: A previously unknown simple cubic phase in the SnS binary system. Nano Lett. 2015, 15, 2174–2179. [Google Scholar] [CrossRef] [PubMed]
- Abutbul, R.E.; Segev, E.; Zeiri, L.; Ezersky, V.; Makov, G.; Golan, Y. Synthesis and properties of nanocrystalline π-SnS–a new cubic phase of tin sulphide. RSC Adv. 2016, 6, 5848–5855. [Google Scholar] [CrossRef]
- ur Rehman, S.; Butt, F.K.; Tariq, Z.; Hayat, F.; Gilani, R.; Aleem, F. Pressure induced structural and optical properties of cubic phase SnSe: An investigation for the infrared/mid-infrared optoelectronic devices. J. Alloys Compd. 2017, 695, 194–201. [Google Scholar] [CrossRef]
- Xie, S.; Cheng, X.; Hu, C.; Tao, Y.; Liu, M.; Qi, Z. High pressure effect on the phase transition and in-plane anisotropy of SnSe. J. Alloys Compd. 2020, 849, 155915. [Google Scholar] [CrossRef]
- Biesner, T.; Li, W.; Tsirlin, A.A.; Roh, S.; Wei, P.-C.; Uykur, E.; Dressel, M. Spectroscopic trace of the Lifshitz transition and multivalley activation in thermoelectric SnSe under high pressure. NPG Asia Mater. 2021, 13, 12. [Google Scholar] [CrossRef]
- Zhang, C.; Ouyang, H.; Miao, R.; Sui, Y.; Hao, H.; Tang, Y.; You, J.; Zheng, X.; Xu, Z.; Cheng, X.a. Anisotropic nonlinear optical properties of a SnSe flake and a novel perspective for the application of all-optical switching. Adv. Opt. Mater. 2019, 7, 1900631. [Google Scholar] [CrossRef]
- Shi, G.; Kioupakis, E. Anisotropic spin transport and strong visible-light absorbance in few-layer SnSe and GeSe. Nano Lett. 2015, 15, 6926–6931. [Google Scholar] [CrossRef] [PubMed]
- Wang, C.; Xia, Y.; Tian, Z.; Jiang, J.; Li, B.; Cui, S.; Yang, H.; Liang, A.; Zhan, X.; Hong, G. Photoemission study of the electronic structure of valence band convergent SnSe. Phys. Rev. B 2017, 96, 165118. [Google Scholar] [CrossRef]
- Wang, H.; Qian, X. Giant optical second harmonic generation in two-dimensional multiferroics. Nano Lett. 2017, 17, 5027–5034. [Google Scholar] [CrossRef]
- Huang, L.; Wu, F.; Li, J. Structural anisotropy results in strain-tunable electronic and optical properties in monolayer GeX and SnX (X = S, Se, Te). J. Chem. Phys. 2016, 144, 114708. [Google Scholar] [CrossRef]
- Yu, J.; Yue, A.; Stafsudd, O., Jr. Growth and electronic properties of the SnSe semiconductor. J. Cryst. Growth 1981, 54, 248–252. [Google Scholar] [CrossRef]
- Zou, D.; Xie, S.; Liu, Y.; Lin, J.; Li, J. First-principles study of thermoelectric and lattice vibrational properties of chalcopyrite CuGaTe2. J. Alloys Compd. 2013, 570, 150–155. [Google Scholar] [CrossRef]
- Dos Santos, E.C.; Lourenço, M.P.; Pettersson, L.G.; Duarte, H.l.A. Stability, structure, and electronic properties of the pyrite/arsenopyrite solid–solid interface–A DFT study. J. Phys. Chem. C 2017, 121, 8042–8051. [Google Scholar] [CrossRef]
- Joshi, H.; Ram, M.; Limbu, N.; Rai, D.; Thapa, B.; Labar, K.; Laref, A.; Thapa, R.; Shankar, A. Modulation of optical absorption in m-Fe1− xRuxS2 and exploring stability in new m-RuS2. Sci. Rep. 2021, 11, 6601. [Google Scholar] [CrossRef]
- Kutorasinski, K.; Wiendlocha, B.; Kaprzyk, S.; Tobola, J. Electronic structure and thermoelectric properties of n- and p-type SnSe from first-principles calculations. Phys. Rev. B 2015, 91, 205201. [Google Scholar] [CrossRef]
- Guo, S.-D.; Wang, Y.-H. Thermoelectric properties of orthorhombic group IV–VI monolayers from the first-principles calculations. J. Appl. Phys. 2017, 121, 034302. [Google Scholar] [CrossRef]
- Xu, B.; Zhang, J.; Yu, G.; Ma, S.; Wang, Y.; Yi, L. Comparative study of electronic structure and thermoelectric properties of SnSe for Pnma and Cmcm phase. J. Electron. Mater. 2016, 45, 5232–5237. [Google Scholar] [CrossRef]
- Lee, C.-H.; Ma, M.-H.; Li, W.-H.; Wei, P.-C.; Chen, Y.-Y.; Zhao, Y.; Lynn, J. Extremely space and time restricted thermal transport in the high temperature Cmcm phase of thermoelectric SnSe. Mater. Today Phys. 2019, 11, 100171. [Google Scholar] [CrossRef]
- Hong, J.; Delaire, O. Phase transition and anharmonicity in SnSe. Mater. Today Phys. 2019, 10, 100093. [Google Scholar] [CrossRef]
- Li, C.; Guo, D.; Li, K.; Shao, B.; Chen, D.; Ma, Y.; Sun, J. Excellent thermoelectricity performance of p-type SnSe along b axis. Phys. B Condens. Matter 2018, 530, 264–269. [Google Scholar] [CrossRef]
- Shi, G.; Kioupakis, E. Quasiparticle band structures and thermoelectric transport properties of p-type SnSe. J. Appl. Phys. 2015, 117, 065103. [Google Scholar] [CrossRef]
- Zhang, Y.; Jia, X.; Sun, H.; Sun, B.; Liu, B.; Liu, H.; Kong, L.; Ma, H. Effect of high pressure on thermoelectric performance and electronic structure of SnSe via HPHT. J. Alloys Compd. 2016, 667, 123–129. [Google Scholar] [CrossRef]
- Peng, J.; Li, W.; Wang, Y.; Yu, X.; Liu, J.; He, Q. Pressure-induced improvement in symmetry and change in electronic properties of SnSe. J. Mol. Model. 2017, 23, 319. [Google Scholar] [CrossRef]
- Yang, L.T.; Ding, L.-P.; Shao, P.; Tiandong, Y.H.; Zhao, Z.L.; Zhang, F.-H.; Lu, C. Influence of pressure on phase transition, electronic and thermoelectric properties of SnSe. J. Alloys Compd. 2021, 853, 157362. [Google Scholar] [CrossRef]
- Wang, Y.; Lv, J.; Zhu, L.; Ma, Y. CALYPSO: A method for crystal structure prediction. Comput. Phys. Commun. 2012, 183, 2063–2070. [Google Scholar] [CrossRef]
- Doak, J.W.; Michel, K.J.; Wolverton, C. Determining dilute-limit solvus boundaries in multi-component systems using defect energetics: Na in PbTe and PbS. J. Mater. Chem. C 2015, 3, 10630–10649. [Google Scholar] [CrossRef]
- Zhao, J.; Yu, Z.; Hu, Q.; Wang, Y.; Schneeloch, J.; Li, C.; Zhong, R.; Wang, Y.; Liu, Z.; Gu, G. Structural phase transitions of (Bi 1−xSbx)2(Te1− ySey)3 compounds under high pressure and the influence of the atomic radius on the compression processes of tetradymites. Phys. Chem. Chem. Phys. 2017, 19, 2207–2216. [Google Scholar] [CrossRef] [PubMed]
- Yin, Z.; Liu, Z.; Yu, Y.; Zhang, C.; Chen, P.; Zhao, J.; He, P.; Guo, X. Synergistically optimized electron and phonon transport of polycrystalline BiCuSeO via Pb and Yb Co-doping. ACS Appl. Mater. Interfaces 2021, 13, 57638–57645. [Google Scholar] [CrossRef]
- Agarwal, A.; Trivedi, P.; Lakshminarayana, D. Impact of electrical resistance and TEP in layered SnSe crystals under high pressure. Cryst. Res. Technol. 2005, 40, 789–790. [Google Scholar] [CrossRef]
- Yan, J.; Ke, F.; Liu, C.; Wang, L.; Wang, Q.; Zhang, J.; Li, G.; Han, Y.; Ma, Y.; Gao, C. Pressure-driven semiconducting-semimetallic transition in SnSe. Phys. Chem. Chem. Phys. 2016, 18, 5012–5018. [Google Scholar] [CrossRef]
- Marini, G.; Barone, P.; Sanna, A.; Tresca, C.; Benfatto, L.; Profeta, G. Superconductivity in tin selenide under pressure. Phys. Rev. Mater. 2019, 3, 114803. [Google Scholar] [CrossRef]
- Timofeev, Y.A.; Vinogradov, B.; Begoulev, V. Superconductivity of tin selenide at pressures up to 70 GPa. Phys. Solid State 1997, 39, 207. [Google Scholar] [CrossRef]
- Matsumoto, R.; Hara, H.; Tanaka, H.; Nakamura, K.; Kataoka, N.; Yamamoto, S.; Yamashita, A.; Adachi, S.; Irifune, T.; Takeya, H. Pressure-induced superconductivity in sulfur-doped SnSe single crystal using boron-doped diamond electrode-prefabricated diamond anvil cell. J. Phys. Soc. Jpn. 2018, 87, 124706. [Google Scholar] [CrossRef]
- Moshwan, R.; Yang, L.; Zou, J.; Chen, Z.G. Eco-friendly SnTe thermoelectric materials: Progress and future challenges. Adv. Funct. Mater. 2017, 27, 1703278. [Google Scholar] [CrossRef]
- Gayner, C.; Kar, K.K. Recent advances in thermoelectric materials. Prog. Mater. Sci. 2016, 83, 330–382. [Google Scholar] [CrossRef]
- Alsaleh, N.M.; Shoko, E.; Arsalan, M.; Schwingenschlögl, U. Thermoelectric materials under pressure. Phys. Status Solidi Rapid Res. Lett. 2018, 12, 1800083. [Google Scholar] [CrossRef]
- Alsaleh, N.M.; Shoko, E.; Schwingenschlögl, U. Pressure-induced conduction band convergence in the thermoelectric ternary chalcogenide CuBiS2. Phys. Chem. Chem. Phys. 2019, 21, 662–673. [Google Scholar] [CrossRef]
- Yaseen, M.; Butt, M.K.; Ashfaq, A.; Iqbal, J.; Almoneef, M.M.; Iqbal, M.; Murtaza, A.; Laref, A. Phase transition and thermoelectric properties of cubic KNbO3 under pressure: DFT approach. J. Mater. Res. Technol. 2021, 11, 2106–2113. [Google Scholar] [CrossRef]
- Gaul, A.; Peng, Q.; Singh, D.J.; Ramanath, G.; Borca-Tasciuc, T. Pressure-induced insulator-to-metal transitions for enhancing thermoelectric power factor in bismuth telluride-based alloys. Phys. Chem. Chem. Phys. 2017, 19, 12784–12793. [Google Scholar] [CrossRef] [PubMed]
- Nandihalli, N.; Gregory, D.H.; Mori, T. Energy-Saving Pathways for Thermoelectric Nanomaterial Synthesis: Hydrothermal/Solvothermal, Microwave-Assisted, Solution-Based, and Powder Processing. Adv. Sci. 2022, 9, 2106052. [Google Scholar] [CrossRef] [PubMed]
- Carrete, J.; Mingo, N.; Curtarolo, S. Low thermal conductivity and triaxial phononic anisotropy of SnSe. Appl. Phys. Lett. 2014, 105, 101907. [Google Scholar] [CrossRef]
- Ibrahim, D.; Vaney, J.-B.; Sassi, S.; Candolfi, C.; Ohorodniichuk, V.; Levinsky, P.; Semprimoschnig, C.; Dauscher, A.; Lenoir, B. Reinvestigation of the thermal properties of single-crystalline SnSe. Appl. Phys. Lett. 2017, 110, 032103. [Google Scholar] [CrossRef]
- Zhang, Y.; Hao, S.; Zhao, L.-D.; Wolverton, C.; Zeng, Z. Pressure induced thermoelectric enhancement in SnSe crystals. J. Mater. Chem. A 2016, 4, 12073–12079. [Google Scholar] [CrossRef]
- Gusmao, M.; Mota, C.; Ghosh, A.; Frota, H. Thermoelectric properties of SnSe (Pnma) under hydrostatic pressure. Comput. Mater. Sci. 2018, 152, 243–247. [Google Scholar] [CrossRef]
- Ding, G.; Gao, G.; Yao, K. High-efficient thermoelectric materials: The case of orthorhombic IV-VI compounds. Sci. Rep. 2015, 5, 9567. [Google Scholar] [CrossRef] [PubMed]
- Yu, H.; Dai, S.; Chen, Y. Enhanced power factor via the control of structural phase transition in SnSe. Sci. Rep. 2016, 6, 26193. [Google Scholar] [CrossRef] [PubMed]
- Qin, B.; Wang, D.; He, W.; Zhang, Y.; Wu, H.; Pennycook, S.J.; Zhao, L.-D. Realizing high thermoelectric performance in p-type SnSe through crystal structure modification. J. Am. Chem. Soc. 2018, 141, 1141–1149. [Google Scholar] [CrossRef]
- Serrano-Sánchez, F.; Gharsallah, M.; Nemes, N.; Mompean, F.; Martínez, J.; Alonso, J. Record Seebeck coefficient and extremely low thermal conductivity in nanostructured SnSe. Appl. Phys. Lett. 2015, 106, 083902. [Google Scholar] [CrossRef]
- Li, Y.; Shi, X.; Ren, D.; Chen, J.; Chen, L. Investigation of the anisotropic thermoelectric properties of oriented polycrystalline SnSe. Energies 2015, 8, 6275–6285. [Google Scholar] [CrossRef]
- Zhang, Q.; Chere, E.K.; Sun, J.; Cao, F.; Dahal, K.; Chen, S.; Chen, G.; Ren, Z. Studies on thermoelectric properties of n-type polycrystalline SnSe1-xSxby iodine doping. Adv. Energy Mater. 2015, 5, 1500360. [Google Scholar] [CrossRef]
- Su, N.; Qin, B.; Zhu, K.; Liu, Z.; Shahi, P.; Sun, J.; Wang, B.; Sui, Y.; Shi, Y.; Zhao, L. Pressure-induced enhancement of thermoelectric power factor in pristine and hole-doped SnSe crystals. RSC Adv. 2019, 9, 26831–26837. [Google Scholar] [CrossRef]
- Volovik, G. Topological lifshitz transitions. Low Temp. Phys. 2017, 43, 47–55. [Google Scholar] [CrossRef]
- Bellin, C.; Pawbake, A.; Paulatto, L.; Béneut, K.; Biscaras, J.; Narayana, C.; Polian, A.; Late, D.J.; Shukla, A. Functional monochalcogenides: Raman evidence linking properties, structure, and metavalent bonding. Phys. Rev. Lett. 2020, 125, 145301. [Google Scholar] [CrossRef]
- Kim, Y.; Choi, I.-H. Optical and electrical properties of GeSe and SnSe single crystals. J. Korean Phys. Soc. 2018, 72, 238–242. [Google Scholar] [CrossRef]
- Efthimiopoulos, I.; Berg, M.; Bande, A.; Puskar, L.; Ritter, E.; Xu, W.; Marcelli, A.; Ortolani, M.; Harms, M.; Müller, J. Effects of temperature and pressure on the optical and vibrational properties of thermoelectric SnSe. Phys. Chem. Chem. Phys. 2019, 21, 8663–8678. [Google Scholar] [CrossRef] [PubMed]
- Nishimura, T.; Sakai, H.; Mori, H.; Akiba, K.; Usui, H.; Ochi, M.; Kuroki, K.; Miyake, A.; Tokunaga, M.; Uwatoko, Y. Large enhancement of thermoelectric efficiency due to a pressure-induced lifshitz transition in SnSe. Phys. Rev. Lett. 2019, 122, 226601. [Google Scholar] [CrossRef] [PubMed]















| Pressure Transmitting Mediums | Advantages | Limitations | Solidification Pressure (GPa) | Hydrostatic Limit (GPa) | Refs |
|---|---|---|---|---|---|
| Methanol/ethanol (4:1) (ME) | Cheap; easy to use | Raman peaks at 432,882 cm−1 | 10.5 | 20 | [47,48] |
| Methanol/ethanol/water (16:3:1) | Cheap; easy filling | Raman peaks in the range of 0–1000 cm−1 | 14.4 | 20 | [47] |
| Silicone oil | Cheap; easy to use | Raman peaks at 153,190,490, 687 cm−1 | 0.9 | 15 | [49,50] |
| Argon | Low Raman background | Difficult to use | 1.9 | 10 | [47] |
| Nitrogen | Low Raman background | Difficult to use | 3.0 | 13 | [51] |
| Helium | Low Raman background; high hydrostatic limit | Difficult to use | 12.1 | >60 | [43] |
| Shape | Phase Transition | Pressure (GPa) | Volume (Å3) | Bulk Modulus (GPa) | PTM | Ref |
|---|---|---|---|---|---|---|
| bulk | α-SnSe to β-SnSe | 7 | α-SnSe: 31.48 β-SnSe: 40.9 | [60] | ||
| bulk | α-SnSe to β-SnSe | 10.5 | α-SnSe: 212.23(5) | α-SnSe: 31.1(2) | helium | [61] |
| nanosheets | α-SnSe to β-SnSe | 6.8 | α-SnSe: 214.52 | α-SnSe: 34.4(21) β-SnSe: 80.1(11) | 4:1 ME | [70] |
| Property | Pressure Value | ||||||||
|---|---|---|---|---|---|---|---|---|---|
| 0 GPa | 5 GPa | 10 GPa | 15 GPa | 20 GPa | 25 GPa | 30 GPa | 35 GPa | 40 GPa | |
| Static dielectric ε1(0) | 10.10 | 17.00 | 28.20 | 33.00 | 42.30 | 51.10 | 58.70 | 67.20 | 76.20 |
| Screen plasma frequency | 8.50 eV | 8.84 eV | 10.60 eV | 10.90 eV | 11.40 eV | 11.70 eV | 12.00 eV | 12.30 eV | 12.60 eV |
| Dielectric imaginary part ε2(ω) peaks | 2.32 eV | 1.82 eV | 1.78 eV | 1.75 eV | 1.64 eV | 1.54 eV | 1.49 eV | 1.41 eV | 1.35 eV |
| Refractive index n(0) | 3.18 | 4.12 | 5.31 | 5.75 | 6.51 | 7.15 | 7.66 | 8.20 | 8.74 |
| Absorption intense peak energy | 4.17 eV | 4.06 eV | 4.35 eV | 4.25 eV | 4.38 eV | 4.45 eV | 4.54 eV | 4.55 eV | 4.58 eV |
| Absorption peak | 1.67 × 105 | 1.60 × 105 | 1.97 × 105 | 2.01 × 105 | 2.08 × 105 | 2.13 × 105 | 2.17 × 105 | 2.20 × 105 | 2.24 × 105 |
| Conductivity intense peak energy | 2.75 eV | 2.54 eV | 2.08 eV | 2.00 eV | 1.97 eV | 1.90 eV | 1.88 eV | 1.78 eV | 1.75 eV |
| Conductivity peak (1/fs) | 4.63 | 4.70 | 7.68 | 8.14 | 8.82 | 9.34 | 9.81 | 10.30 | 10.80 |
| Reflectivity intense peak energy | 6.62 eV | 6.97 eV | 7.29 eV | 7.59 eV | 8.03 eV | 8.20 eV | 8.57 eV | 8.95 eV | 9.73 eV |
| Zero frequency coefficient of reflectivity | 0.27 | 0.39 | 0.46 | 0.49 | 0.53 | 0.57 | 0.59 | 0.61 | 0.63 |
| Loss function | 8.49 eV | 9.52 eV | 10.60 eV | 10.90 eV | 11.30 eV | 11.70 eV | 12.00 eV | 12.30 eV | 12.60 eV |
Disclaimer/Publisher’s Note: The statements, opinions and data contained in all publications are solely those of the individual author(s) and contributor(s) and not of MDPI and/or the editor(s). MDPI and/or the editor(s) disclaim responsibility for any injury to people or property resulting from any ideas, methods, instructions or products referred to in the content. |
© 2023 by the authors. Licensee MDPI, Basel, Switzerland. This article is an open access article distributed under the terms and conditions of the Creative Commons Attribution (CC BY) license (https://creativecommons.org/licenses/by/4.0/).
Share and Cite
Cheng, Z.; Zhang, J.; Lin, L.; Zhan, Z.; Ma, Y.; Li, J.; Yu, S.; Cui, H. Pressure-Induced Modulation of Tin Selenide Properties: A Review. Molecules 2023, 28, 7971. https://doi.org/10.3390/molecules28247971
Cheng Z, Zhang J, Lin L, Zhan Z, Ma Y, Li J, Yu S, Cui H. Pressure-Induced Modulation of Tin Selenide Properties: A Review. Molecules. 2023; 28(24):7971. https://doi.org/10.3390/molecules28247971
Chicago/Turabian StyleCheng, Ziwei, Jian Zhang, Lin Lin, Zhiwen Zhan, Yibo Ma, Jia Li, Shenglong Yu, and Hang Cui. 2023. "Pressure-Induced Modulation of Tin Selenide Properties: A Review" Molecules 28, no. 24: 7971. https://doi.org/10.3390/molecules28247971
APA StyleCheng, Z., Zhang, J., Lin, L., Zhan, Z., Ma, Y., Li, J., Yu, S., & Cui, H. (2023). Pressure-Induced Modulation of Tin Selenide Properties: A Review. Molecules, 28(24), 7971. https://doi.org/10.3390/molecules28247971

