In Silico Investigation on the Molecular Behavior and Structural Stability of the Rosette Nanotubes as the Drug Vehicles for Paclitaxel, an Anti-Cancer Drug
Abstract
:1. Introduction
2. Results
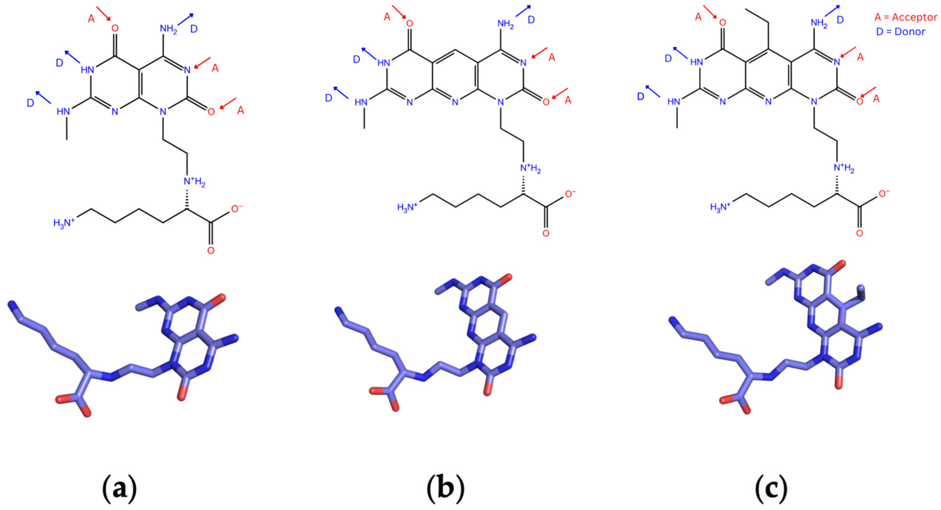
2.1. Molecular Behavior and Stability of Each Type of RNT with PTX Molecule
2.2. Detailed Structural Interaction Analysis between PTX and Each Type of RNT
2.3. MMPBSA Analysis
3. Discussion
4. Materials and Methods
4.1. Modeling
4.2. Molecular Dynamics
4.3. MMPBSA Analysis
Supplementary Materials
Author Contributions
Funding
Institutional Review Board Statement
Informed Consent Statement
Data Availability Statement
Acknowledgments
Conflicts of Interest
References
- Farrar, M.C.; Jacobs, T.F. Paclitaxel. In StatPearls; StatPearls Publishing: Treasure Island, FL, USA, 2021. [Google Scholar]
- Krishna, I.V.; Vanaja, G.R.; Kumar, N.S.K.; Suman, G. Cytotoxic Studies of Anti-Neoplastic Drugs on Human Lymphocytes—In Vitro Studies. Cancer Biomark 2009, 5, 261–272. [Google Scholar] [CrossRef]
- Maleki, R.; Afrouzi, H.H.; Hosseini, M.; Toghraie, D.; Piranfar, A.; Rostami, S. pH-Sensitive Loading/Releasing of Doxorubicin Using Single-Walled Carbon Nanotube and Multi-Walled Carbon Nanotube: A Molecular Dynamics Study. Comput. Methods Programs Biomed. 2020, 186, 105210. [Google Scholar] [CrossRef]
- Wicki, A.; Witzigmann, D.; Balasubramanian, V.; Huwyler, J. Nanomedicine in Cancer Therapy: Challenges, Opportunities, and Clinical Applications. J. Control. Release 2015, 200, 138–157. [Google Scholar] [CrossRef] [PubMed]
- Patra, J.K.; Das, G.; Fraceto, L.F.; Campos, E.V.R.; Rodriguez-Torres, M.d.P.; Acosta-Torres, L.S.; Diaz-Torres, L.A.; Grillo, R.; Swamy, M.K.; Sharma, S.; et al. Nano Based Drug Delivery Systems: Recent Developments and Future Prospects. J. Nanobiotechnol. 2018, 16, 71. [Google Scholar] [CrossRef] [PubMed]
- Williams, H.D.; Trevaskis, N.L.; Charman, S.A.; Shanker, R.M.; Charman, W.N.; Pouton, C.W.; Porter, C.J.H. Strategies to Address Low Drug Solubility in Discovery and Development. Pharmacol. Rev. 2013, 65, 315–499. [Google Scholar] [CrossRef]
- Panigrahi, B.K.; Nayak, A.K. Carbon Nanotubes: An Emerging Drug Delivery Carrier in Cancer Therapeutics. Curr. Drug Deliv. 2020, 17, 558–576. [Google Scholar] [CrossRef]
- Hoseini-Ghahfarokhi, M.; Mirkiani, S.; Mozaffari, N.; Sadatlu, M.A.A.; Ghasemi, A.; Abbaspour, S.; Akbarian, M.; Farjadian, F.; Karimi, M. Applications of Graphene and Graphene Oxide in Smart Drug/Gene Delivery: Is the World Still Flat? IJN 2020, 15, 9469–9496. [Google Scholar] [CrossRef]
- Bhattacharya, S.; Saindane, D.; Prajapati, B.G. Liposomal Drug Delivery and Its Potential Impact on Cancer Research. Anti-Cancer Agents Med. Chem. 2022, 22, 2671–2683. [Google Scholar] [CrossRef]
- Kurczewska, J. Chitosan-Based Nanoparticles with Optimized Parameters for Targeted Delivery of a Specific Anticancer Drug—A Comprehensive Review. Pharmaceutics 2023, 15, 503. [Google Scholar] [CrossRef]
- Lombardo, D.; Kiselev, M.A.; Caccamo, M.T. Smart Nanoparticles for Drug Delivery Application: Development of Versatile Nanocarrier Platforms in Biotechnology and Nanomedicine. J. Nanomater. 2019, 2019, e3702518. [Google Scholar] [CrossRef]
- Mollazadeh, S.; Sahebkar, A.; Shahlaei, M.; Moradi, S. Nano Drug Delivery Systems: Molecular Dynamic Simulation. J. Mol. Liq. 2021, 332, 115823. [Google Scholar] [CrossRef]
- Yadav, H.K.S.; Almokdad, A.A.; Shaluf, S.I.M.; Debe, M.S. Chapter 17—Polymer-Based Nanomaterials for Drug-Delivery Carriers. In Nanocarriers for Drug Delivery; Mohapatra, S.S., Ranjan, S., Dasgupta, N., Mishra, R.K., Thomas, S., Eds.; Micro and Nano Technologies; Elsevier: Amsterdam, The Netherlands, 2019; pp. 531–556. ISBN 978-0-12-814033-8. [Google Scholar]
- Yu, Y.; Sun, H.; Gilmore, K.; Hou, T.; Wang, S.; Li, Y. Aggregated Single-Walled Carbon Nanotubes Absorb and Deform Dopamine-Related Proteins Based on Molecular Dynamics Simulations. ACS Appl. Mater. Interfaces 2017, 9, 32452–32462. [Google Scholar] [CrossRef]
- Sun, X.; Feng, Z.; Hou, T.; Li, Y. Mechanism of Graphene Oxide as an Enzyme Inhibitor from Molecular Dynamics Simulations. ACS Appl. Mater. Interfaces 2014, 6, 7153–7163. [Google Scholar] [CrossRef]
- Vijayalakshmi, V.; Sadanandan, B.; Venkataramanaiah Raghu, A. Single Walled Carbon Nanotubes in High Concentrations Is Cytotoxic to the Human Neuronal Cell LN18. Results Chem. 2022, 4, 100484. [Google Scholar] [CrossRef]
- Mohanta, D.; Patnaik, S.; Sood, S.; Das, N. Carbon Nanotubes: Evaluation of Toxicity at Biointerfaces. J. Pharm. Anal. 2019, 9, 293–300. [Google Scholar] [CrossRef] [PubMed]
- Rastogi, V.; Yadav, P.; Bhattacharya, S.S.; Mishra, A.K.; Verma, N.; Verma, A.; Pandit, J.K. Carbon Nanotubes: An Emerging Drug Carrier for Targeting Cancer Cells. J. Drug Deliv. 2014, 2014, 670815. [Google Scholar] [CrossRef]
- Qin, Y.; Li, S.; Zhao, G.; Fu, X.; Xie, X.; Huang, Y.; Cheng, X.; Wei, J.; Liu, H.; Lai, Z. Long-Term Intravenous Administration of Carboxylated Single-Walled Carbon Nanotubes Induces Persistent Accumulation in the Lungs and Pulmonary Fibrosis via the Nuclear Factor-Kappa B Pathway. Int. J. Nanomed. 2017, 12, 263–277. [Google Scholar] [CrossRef]
- Moosavian, S.A.; Bianconi, V.; Pirro, M.; Sahebkar, A. Challenges and Pitfalls in the Development of Liposomal Delivery Systems for Cancer Therapy. Semin. Cancer Biol. 2021, 69, 337–348. [Google Scholar] [CrossRef]
- Ellerhorst, J.A.; Bedikian, A.; Ring, S.; Buzaid, A.C.; Eton, O.; Legha, S.S. Phase II Trial of Doxil for Patients with Metastatic Melanoma Refractory to Frontline Therapy. Oncol. Rep. 1999, 6, 1097–1099. [Google Scholar] [CrossRef]
- Chen, Y.; Song, S.; Yan, Z.; Fenniri, H.; Webster, T.J. Self-Assembled Rosette Nanotubes Encapsulate and Slowly Release Dexamethasone. Int. J. Nanomed. 2011, 6, 1035. [Google Scholar]
- Fenniri, H.; Mathivanan, P.; Vidale, K.L.; Sherman, D.M.; Hallenga, K.; Wood, K.V.; Stowell, J.G. Helical Rosette Nanotubes: Design, Self-Assembly, and Characterization. J. Am. Chem. Soc. 2001, 123, 3854–3855. [Google Scholar] [CrossRef]
- Beingessner, R.L.; Fan, Y.; Fenniri, H. Molecular and Supramolecular Chemistry of Rosette Nanotubes. RSC Adv. 2016, 6, 75820–75838. [Google Scholar] [CrossRef]
- Fenniri, H.; Deng, B.-L.; Ribbe, A.E.; Hallenga, K.; Jacob, J.; Thiyagarajan, P. Entropically Driven Self-Assembly of Multichannel Rosette Nanotubes. Proc. Natl. Acad. Sci. USA 2002, 99, 6487–6492. [Google Scholar] [CrossRef]
- Yamazaki, T.; Fenniri, H. Encapsulation of Ferrocene by Self-Assembled Rosette Nanotubes: An Investigation Using Statistical Mechanical Theory of Molecular Liquids. J. Mol. Liq. 2016, 217, 70–74. [Google Scholar] [CrossRef]
- McGaughey, G.B.; Gagné, M.; Rappé, A.K. Pi-Stacking Interactions. Alive and Well in Proteins. J. Biol. Chem. 1998, 273, 15458–15463. [Google Scholar] [CrossRef]
- Hao, G.; Xu, Z.P.; Li, L. Manipulating Extracellular Tumour pH: An Effective Target for Cancer Therapy. RSC Adv. 2018, 8, 22182–22192. [Google Scholar] [CrossRef] [PubMed]
- Bogdanov, A.; Bogdanov, A.; Chubenko, V.; Volkov, N.; Moiseenko, F.; Moiseyenko, V. Tumor Acidity: From Hallmark of Cancer to Target of Treatment. Front. Oncol. 2022, 12, 979154. [Google Scholar] [CrossRef]
- Panczyk, T.; Wolski, P.; Lajtar, L. Coadsorption of Doxorubicin and Selected Dyes on Carbon Nanotubes. Theoretical Investigation of Potential Application as a pH-Controlled Drug Delivery System. Langmuir 2016, 32, 4719–4728. [Google Scholar] [CrossRef]
- Kordzadeh, A.; Zarif, M.; Amjad-Iranagh, S. Molecular Dynamics Insight of Interaction between the Functionalized-Carbon Nanotube and Cancerous Cell Membrane in Doxorubicin Delivery. Comput. Methods Programs Biomed. 2023, 230, 107332. [Google Scholar] [CrossRef] [PubMed]
- Yahyavi, M.; Badalkhani-Khamseh, F.; Hadipour, N.L. Folic Acid Functionalized Carbon Nanotubes as pH Controlled Carriers of Fluorouracil: Molecular Dynamics Simulations. J. Mol. Liq. 2023, 377, 121393. [Google Scholar] [CrossRef]
- Wolski, P.; Nieszporek, K.; Panczyk, T. Carbon Nanotubes and Short Cytosine-Rich Telomeric DNA Oligomeres as Platforms for Controlled Release of Doxorubicin—A Molecular Dynamics Study. Int. J. Mol. Sci. 2020, 21, 3619. [Google Scholar] [CrossRef] [PubMed]
- Wolski, P.; Nieszporek, K.; Panczyk, T. Cytosine-Rich DNA Fragments Covalently Bound to Carbon Nanotube as Factors Triggering Doxorubicin Release at Acidic pH. A Molecular Dynamics Study. Int. J. Mol. Sci. 2021, 22, 8466. [Google Scholar] [CrossRef] [PubMed]
- Schrödinger. Release 2021-1: Maestro; Schrödinger, LLC: New York, NY, USA, 2021. [Google Scholar]
- PubChem 2019 Update: Improved Access to Chemical Data|Nucleic Acids Research|Oxford Academic. Available online: https://academic.oup.com/nar/article/47/D1/D1102/5146201?login=true (accessed on 13 June 2022).
- Dodda, L.S.; Cabeza de Vaca, I.; Tirado-Rives, J.; Jorgensen, W.L. LigParGen Web Server: An Automatic OPLS-AA Parameter Generator for Organic Ligands. Nucleic Acids Res. 2017, 45, W331–W336. [Google Scholar] [CrossRef]
- Lindahl; Abraham; Hess; Spoel, van der. GROMACS 2021.4 Source Code 2021. Available online: https://zenodo.org/records/5636567 (accessed on 6 December 2021).
- Valdés-Tresanco, M.S.; Valdés-Tresanco, M.E.; Valiente, P.A.; Moreno, E. gmx_MMPBSA: A New Tool to Perform End-State Free Energy Calculations with GROMACS. J. Chem. Theory Comput. 2021, 17, 6281–6291. [Google Scholar] [CrossRef] [PubMed]
- Case, D.A.; Aktulga, H.M.; Belfon, K.; Ben-Shalom, I.; Berryman, J.T.; Brozell, S.R.; Cerutti, D.S.; Cheatham, T.; Cisneros, G.A.; Cruzeiro, V.W.D.; et al. Amber 2022; University of California: San Francisco, CA, USA, 2022. [Google Scholar]
- Miller, B.R.; McGee, T.D.; Swails, J.M.; Homeyer, N.; Gohlke, H.; Roitberg, A.E. MMPBSA.Py: An Efficient Program for End-State Free Energy Calculations. J. Chem. Theory Comput. 2012, 8, 3314–3321. [Google Scholar] [CrossRef] [PubMed]
- Swails, J.; Hernandez, C.; Mobley, D.L.; Nguyen, H.; Wang, L.-P.; Janowski, P. ParmEd. Available online: https://github.com/parmed/parmed2010 (accessed on 2 May 2022).












| PTX Locations | ΔGBind (kJ/mol) | ΔEVDW (kJ/mol) | ΔEEEL (kJ/mol) | ΔGPB (kJ/mol) | ΔGNP (kJ/mol) | ΔEMM (kJ/mol) | ΔGSolv (kJ/mol) |
|---|---|---|---|---|---|---|---|
| K1-RNT with PTX | |||||||
| Inner Channel (horizontal) 1 | 3384.14 | 3239.34 | −118.74 | 291.29 | −27.74 | 3120.64 | 263.51 |
| Inner Channel (vertical) 2 | −45.81 | −214.35 | −49.37 | 240.29 | −22.34 | −263.76 | 217.94 |
| Outer surfaces | −3.93 | −0.88 | −4.94 | 99.87 | −0.17 | −5.82 | 9.75 |
| Upper end | −110.92 | −203.01 | −58.74 | 171.67 | −20.84 | −261.75 | 150.83 |
| Lower end | −117.74 | −198.36 | −31.46 | 66.94 | −17.82 | −166.90 | 49.16 |
| xK1-RNT with PTX | |||||||
| Inner Channel (horizontal) 3 | −101.50 | −173.64 | 16.23 | 71.76 | −15.82 | −157.44 | 55.94 |
| Inner Channel (vertical) 2 | −53.51 | −98.74 | −147.82 | 205.94 | −12.84 | −246.60 | 193.09 |
| Outer surfaces 4 | −78.87 | −139.41 | 62.47 | 10.25 | −12.18 | −76.94 | −1.88 |
| Upper end | −69.29 | −120.00 | 21.80 | 41.09 | −12.18 | −98.20 | 28.91 |
| Lower End | −87.45 | −131.00 | −67.78 | 123.60 | −12.26 | −198.78 | 111.34 |
| iET-xK1-RNT with PTX | |||||||
| Inner Channel (horizontal) 2 | −40.88 | −87.95 | −20.75 | 79.91 | −12.13 | −108.70 | 67.78 |
| Inner Channel (vertical) 3 | −91.34 | −170.21 | −2.43 | 97.95 | −16.65 | −172.63 | 81.30 |
| Outer surfaces 4 | −80.25 | −122.93 | −36.86 | 90.92 | −11.42 | −159.75 | 79.50 |
| Upper end | −71.71 | −117.78 | −54.68 | 112.63 | −11.88 | −172.42 | 100.75 |
| Lower end | −87.45 | −131.00 | −67.78 | 123.60 | −12.26 | −198.78 | 111.34 |
Disclaimer/Publisher’s Note: The statements, opinions and data contained in all publications are solely those of the individual author(s) and contributor(s) and not of MDPI and/or the editor(s). MDPI and/or the editor(s) disclaim responsibility for any injury to people or property resulting from any ideas, methods, instructions or products referred to in the content. |
© 2023 by the authors. Licensee MDPI, Basel, Switzerland. This article is an open access article distributed under the terms and conditions of the Creative Commons Attribution (CC BY) license (https://creativecommons.org/licenses/by/4.0/).
Share and Cite
Ali, H.N.M.; Gonzales, A.A., III. In Silico Investigation on the Molecular Behavior and Structural Stability of the Rosette Nanotubes as the Drug Vehicles for Paclitaxel, an Anti-Cancer Drug. Molecules 2023, 28, 7853. https://doi.org/10.3390/molecules28237853
Ali HNM, Gonzales AA III. In Silico Investigation on the Molecular Behavior and Structural Stability of the Rosette Nanotubes as the Drug Vehicles for Paclitaxel, an Anti-Cancer Drug. Molecules. 2023; 28(23):7853. https://doi.org/10.3390/molecules28237853
Chicago/Turabian StyleAli, Hanah Nasifa M., and Arthur A. Gonzales, III. 2023. "In Silico Investigation on the Molecular Behavior and Structural Stability of the Rosette Nanotubes as the Drug Vehicles for Paclitaxel, an Anti-Cancer Drug" Molecules 28, no. 23: 7853. https://doi.org/10.3390/molecules28237853
APA StyleAli, H. N. M., & Gonzales, A. A., III. (2023). In Silico Investigation on the Molecular Behavior and Structural Stability of the Rosette Nanotubes as the Drug Vehicles for Paclitaxel, an Anti-Cancer Drug. Molecules, 28(23), 7853. https://doi.org/10.3390/molecules28237853

