Excited-State Dynamics of Bis(tetraethylammonium) Di-µ-bromo-dibromodicuprate(I) Thin Films
Abstract
1. Introduction
2. Results and Discussion
2.1. X-ray Diffraction of (TEA)2Cu2Br4 Thin Films
2.2. Steady-State Absorption and Photoluminescence of (TEA)2Cu2Br4 Thin Films
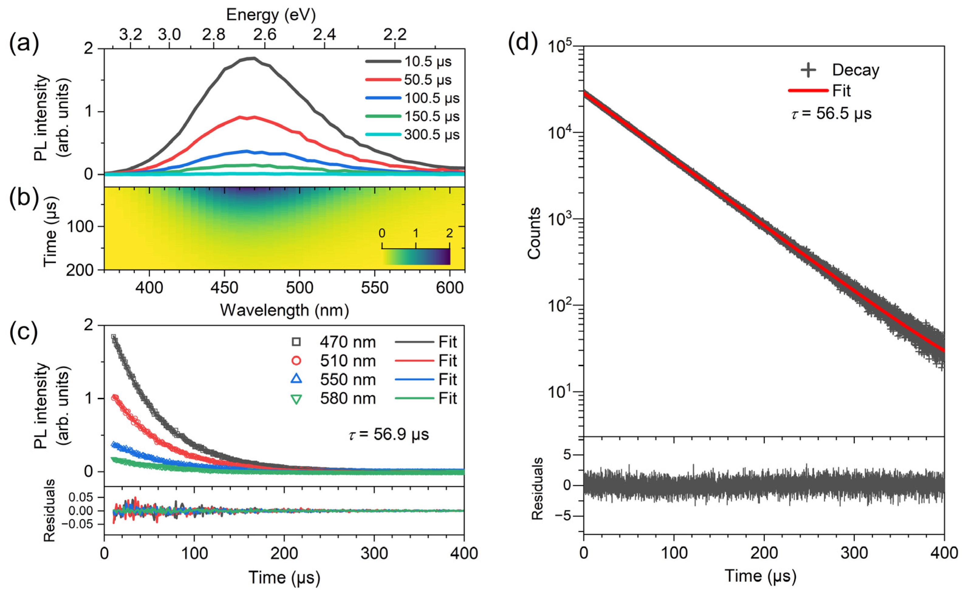
2.3. Transient PL Spectroscopy of (TEA)2Cu2Br4 Thin Films
2.4. Transient Absorption Spectroscopy of (TEA)2Cu2Br4 Thin Films
3. Materials and Methods
3.1. Preparation of (TEA)2Cu2Br4 Thin Films
3.2. X-ray Diffraction Experiments
3.3. Steady-State and Time-Resolved Broadband Photoluminescence Spectroscopy
3.4. Time-Correlated Single-Photon Counting
3.5. Femtosecond and Nanosecond Transient Absorption Spectroscopy
4. Conclusions
Author Contributions
Funding
Data Availability Statement
Acknowledgments
Conflicts of Interest
References
- Banerjee, D.; Saparov, B. Ultrabright Light Emission Properties of All-Inorganic and Hybrid Organic−Inorganic Copper(I) Halides. Chem. Mater. 2023, 35, 3364–3385. [Google Scholar] [CrossRef]
- Guo, Z.; Li, J.; Pan, R.; Cheng, J.; Chen, R.; He, T. All-inorganic copper(I)-based ternary metal halides: Promising materials toward optoelectronics. Nanoscale 2020, 12, 15560–15576. [Google Scholar] [CrossRef]
- Ravaro, L.P.; Zanoni, K.P.S.; de Camargo, A.S.S. Luminescent copper(I) complexes as promising materials for the next generation of energy-saving OLED devices. Energy Rep. 2020, 6, 37–45. [Google Scholar] [CrossRef]
- Creason, T.D.; McWhorter, T.M.; Bell, Z.; Du, M.-H.; Saparov, B. K2CuX3 (X = Cl, Br): All-Inorganic Lead-Free Blue Emitters with Near-Unity Photoluminescence Quantum Yield. Chem. Mater. 2020, 32, 6197–6205. [Google Scholar] [CrossRef]
- Jun, T.; Handa, T.; Sim, K.; Iimura, S.; Sasase, M.; Kim, J.; Kanemitsu, Y.; Hosono, H. One-step solution synthesis of white-light-emitting films via dimensionality control of the Cs–Cu–I system. APL Mater. 2019, 7, 111113. [Google Scholar] [CrossRef]
- Roccanova, R.; Yangui, A.; Nhalil, H.; Shi, H.; Du, M.-H.; Saparov, B. Near-Unity Photoluminescence Quantum Yield in Blue-Emitting Cs3Cu2Br5−xIx(0 ≤ x ≤ 5). ACS Appl. Electron. Mater. 2019, 1, 269–274. [Google Scholar] [CrossRef]
- Sebastia-Luna, P.; Navarro-Alapont, J.; Sessolo, M.; Palazon, F.; Bolink, H.J. Solvent-Free Synthesis and Thin-Film Deposition of Cesium Copper Halides with Bright Blue Photoluminescence. Chem. Mater. 2019, 31, 10205–10210. [Google Scholar] [CrossRef]
- Jagner, S.; Helgesson, G. On the Coordination Number of the Metal in Crystalline Halogenocuprates(I) and Halogenoargentates(I). Adv. Inorg. Chem. 1991, 37, 1–45. [Google Scholar]
- Hasselgren Arnby, C.; Jagner, S.; Dance, I. Questions for crystal engineering of halocuprate complexes: Concepts for a difficult system. CrystEngComm 2004, 6, 257–275. [Google Scholar] [CrossRef]
- Peng, R.; Li, M.; Li, D. Copper(I) halides: A versatile family in coordination chemistry and crystal engineering. Coord. Chem. Rev. 2010, 254, 1–18. [Google Scholar] [CrossRef]
- Hull, S.; Berastegui, P. Crystal structures and ionic conductivities of ternary derivatives of the silver and copper monohalides—II: Ordered phases within the (AgX)x − (MX)1−x and (CuX)x − (MX)1−x (M = K, Rb and Cs; X = Cl, Br and I) systems. J. Solid State Chem. 2004, 177, 3156–3173. [Google Scholar] [CrossRef]
- Yin, J.; Lei, Q.; Han, Y.; Bakr, O.M.; Mohammed, O.F. Luminescent Copper(I) Halides for Optoelectronic Applications. Phys. Status Solidi RRL 2021, 15, 2100138. [Google Scholar] [CrossRef]
- Du, Y.; Ma, L.; Yan, Z.; Xiao, J.; Wang, K.; Lin, T.; Han, X.; Xia, D. One-Dimensional Hybrid Copper(I) Iodide Single Crystal with Renewable Scintillation Properties. Inorg. Chem. 2023, 62, 11350–11359. [Google Scholar] [CrossRef] [PubMed]
- Zhou, S.; Chen, Y.; Li, K.; Liu, X.; Zhang, T.; Shen, W.; Li, M.; Zhou, L.; He, R. Photophysical studies for Cu(I)-based halides: Broad excitation bands and highly efficient single-component warm white-light-emitting diodes. Chem. Sci. 2023, 14, 5415–5424. [Google Scholar] [CrossRef] [PubMed]
- Gilley, I.W.; Creason, T.D.; McWhorter, T.M.; Saparov, B. Tunable Dual-Band White Light Emission from Gua3CuCl4 and Gua7Cu3X10·3DMF (X = Br, I). Adv. Photonics Res. 2022, 3, 2200172. [Google Scholar] [CrossRef]
- Meng, X.; Ji, S.; Wang, Q.; Wang, X.; Bai, T.; Zhang, R.; Yang, B.; Li, Y.; Shao, Z.; Jiang, J.; et al. Organic–Inorganic Hybrid Cuprous-Based Metal Halides for Warm White Light-Emitting Diodes. Adv. Sci. 2022, 9, 2203596. [Google Scholar] [CrossRef]
- Peng, H.; Wang, X.; Tian, Y.; Zou, B.; Yang, F.; Huang, T.; Peng, C.; Yao, S.; Yu, Z.; Yao, Q.; et al. Highly Efficient Cool-White Photoluminescence of (Gua)3Cu2I5 Single Crystals: Formation and Optical Properties. ACS Appl. Mater. Interfaces 2021, 13, 13443–13451. [Google Scholar] [CrossRef]
- Peng, H.; Yao, S.; Guo, Y.; Zhi, R.; Wang, X.; Ge, F.; Tian, Y.; Wang, J.; Zou, B. Highly Efficient Self-Trapped Exciton Emission of a (MA)4Cu2Br6 Single Crystal. J. Phys. Chem. Lett. 2020, 11, 4703–4710. [Google Scholar] [CrossRef]
- Kentsch, R.; Morgenroth, M.; Scholz, M.; Xu, K.; Schmedt auf der Günne, J.; Lenzer, T.; Oum, K. Direct Observation of the Exciton Self-Trapping Process in CsCu2I3 Thin Films. J. Phys. Chem. Lett. 2020, 11, 4286–4291. [Google Scholar] [CrossRef]
- Chen, C.-Y.; Lin, Y.-I.; Lai, P.-T.; Lin, H.-C.; Tan, G.-H.; Lin, H.-W.; Schaller, R.D. Self-Trapped and Free Exciton Dynamics in Vacuum-Deposited Cesium Copper Iodide Thin Films. Adv. Opt. Mater. 2022, 10, 2200005. [Google Scholar] [CrossRef]
- Xing, Z.; Zhou, Z.; Zhong, G.; Chan, C.C.S.; Li, Y.; Zou, X.; Halpert, J.E.; Su, H.; Wong, K.S. Barrierless Exciton Self-Trapping and Emission Mechanism in Low-Dimensional Copper Halides. Adv. Funct. Mater. 2022, 32, 2207638. [Google Scholar] [CrossRef]
- Merker, A.; Scholz, M.; Morgenroth, M.; Lenzer, T.; Oum, K. Photoinduced Dynamics of (CH3NH3)4Cu2Br6 Thin Films Indicating Efficient Triplet Photoluminescence. J. Phys. Chem. Lett. 2021, 12, 2736–2741. [Google Scholar] [CrossRef] [PubMed]
- Asplund, M.; Jagner, S. Crystal Structure of Bis(tetraethylammonium) Di-bromo-μ-dibromodicuprate(I), [N(C2H5)4]2[Cu2Br4]. Acta Chem. Scand. Ser. A 1984, 38, 135–139. [Google Scholar] [CrossRef]
- Papavassiliou, G.C.; Mousdis, G.A.; Terzis, A.; Raptopoulou, C.P. Excitonic Bands in the Optical Absorption Spectra of (Bu4N)CuBr2, (Et4N)2Cu2Br4, (Pr4N)2Cu4Br6, (Bu4N)2Cu2I4, (Me4N)Cu2I3, (Pr4N)4Ag4I8, (Me4N)Ag2I3, (Et4N)Ag2Br3, and Similar Compounds. Z. Für Naturforschung B 1999, 54, 109–112. [Google Scholar] [CrossRef][Green Version]
- Chen, S.; Gao, J.; Chang, J.; Li, Y.; Huangfu, C.; Meng, H.; Wang, Y.; Xia, G.; Feng, L. Family of Highly Luminescent Pure Ionic Copper(I) Bromide Based Hybrid Materials. ACS Appl. Mater. Interfaces 2019, 11, 17513–17520. [Google Scholar] [CrossRef] [PubMed]
- Liu, X.; Yuan, F.; Zhu, C.; Li, J.; Lv, X.; Xing, G.; Wei, Q.; Wang, G.; Dai, J.; Dong, H.; et al. Near-unity blue luminance from lead-free copper halides for light-emitting diodes. Nano Energy 2022, 91, 106664. [Google Scholar] [CrossRef]
- Bin, X.; Wu, L.; Liu, J.; Lin, T.; Zeng, R. Fast Synthesis of Organic Copper Halide Crystals for X-ray Imaging. Crystals 2022, 12, 1799. [Google Scholar] [CrossRef]
- Lutterotti, L. Total pattern fitting for the combined size-strain-stress-texture determination in thin film diffraction. Nucl. Instrum. Methods Phys. Res. Sect. B 2010, 268, 334–340. [Google Scholar] [CrossRef]
- Momma, K.; Izumi, F. VESTA 3 for three-dimensional visualization of crystal, volumetric and morphology data. J. Appl. Cryst. 2011, 44, 1272–1276. [Google Scholar] [CrossRef]
- Maderlehner, S.; Leitl, M.J.; Yersin, H.; Pfitzner, A. Halocuprate(I) zigzag chain structures with N-methylated DABCO cations—Bright metal-centered luminescence and thermally activated color shifts. Dalton Trans. 2015, 44, 19305–19313. [Google Scholar] [CrossRef]
- Boden, P.; Di Martino-Fumo, P.; Busch, J.M.; Rehak, F.R.; Steiger, S.; Fuhr, O.; Nieger, M.; Volz, D.; Klopper, W.; Bräse, S.; et al. Investigation of Luminescent Triplet States in Tetranuclear CuI Complexes: Thermochromism and Structural Characterization. Chem. Eur. J. 2021, 27, 5439–5452. [Google Scholar] [CrossRef] [PubMed]
- Du, M.-H. Emission Trend of Multiple Self-Trapped Excitons in Luminescent 1D Copper Halides. ACS Energy Lett. 2020, 5, 464–469. [Google Scholar] [CrossRef]
- Morgenroth, M.; Scholz, M.; Guy, L.; Oum, K.; Lenzer, T. Spatiotemporal Mapping of Efficient Chiral Induction by Helicene-Type Additives in Copolymer Thin Films. Angew. Chem. Int. Ed. 2022, 61, e202203075. [Google Scholar] [CrossRef] [PubMed]
- Oum, K.; Lenzer, T.; Scholz, M.; Jung, D.Y.; Sul, O.; Cho, B.J.; Lange, J.; Müller, A. Observation of Ultrafast Carrier Dynamics and Phonon Relaxation of Graphene from the Deep-Ultraviolet to the Visible Region. J. Phys. Chem. C 2014, 118, 6454–6461. [Google Scholar] [CrossRef]
- Dobryakov, A.L.; Kovalenko, S.A.; Weigel, A.; Pérez Lustres, J.L.; Lange, J.; Müller, A.; Ernsting, N.P. Femtosecond pump/supercontinuum-probe spectroscopy: Optimized setup and signal analysis for single-shot spectral referencing. Rev. Sci. Instrum. 2010, 81, 113106. [Google Scholar] [CrossRef]





| Description | Quantity (Unit) | Value |
|---|---|---|
| Position of absorption peak | Eabs (eV) | 4.38 |
| Position of direct band gap (from Tauc plot) | Egap (eV) | 4.04 |
| Position of PL peak | EPL (eV) | 2.66 |
| Width of PL spectrum | ΔEPL (eV) | 0.52 |
| Stokes shift (Egap − EPL) | ΔEStokes (eV) | 1.38 |
| Carrier-optical phonon scattering | τCO (ps) | 1.8 |
| S1 → T1 intersystem crossing (ISC) | τISC (ps) | 184 |
| Acoustic phonon relaxation | τa,1 (ns) | 8.3 |
| τa,2 (ns) | 465 | |
| T1 → S0 (mainly phosphorescence, ISC negligible) | τPL (μs) | 56.9 |
| τTCSPC (μs) | 56.5 |
Disclaimer/Publisher’s Note: The statements, opinions and data contained in all publications are solely those of the individual author(s) and contributor(s) and not of MDPI and/or the editor(s). MDPI and/or the editor(s) disclaim responsibility for any injury to people or property resulting from any ideas, methods, instructions or products referred to in the content. |
© 2023 by the authors. Licensee MDPI, Basel, Switzerland. This article is an open access article distributed under the terms and conditions of the Creative Commons Attribution (CC BY) license (https://creativecommons.org/licenses/by/4.0/).
Share and Cite
Gust, D.; Scholz, M.; Oum, K.; Lenzer, T. Excited-State Dynamics of Bis(tetraethylammonium) Di-µ-bromo-dibromodicuprate(I) Thin Films. Molecules 2023, 28, 7841. https://doi.org/10.3390/molecules28237841
Gust D, Scholz M, Oum K, Lenzer T. Excited-State Dynamics of Bis(tetraethylammonium) Di-µ-bromo-dibromodicuprate(I) Thin Films. Molecules. 2023; 28(23):7841. https://doi.org/10.3390/molecules28237841
Chicago/Turabian StyleGust, Domenic, Mirko Scholz, Kawon Oum, and Thomas Lenzer. 2023. "Excited-State Dynamics of Bis(tetraethylammonium) Di-µ-bromo-dibromodicuprate(I) Thin Films" Molecules 28, no. 23: 7841. https://doi.org/10.3390/molecules28237841
APA StyleGust, D., Scholz, M., Oum, K., & Lenzer, T. (2023). Excited-State Dynamics of Bis(tetraethylammonium) Di-µ-bromo-dibromodicuprate(I) Thin Films. Molecules, 28(23), 7841. https://doi.org/10.3390/molecules28237841

