Bioconjugation of Vegetable Oils with UV Absorbers: New Approach in Skin Photoprotection
Abstract
:1. Introduction
2. Results
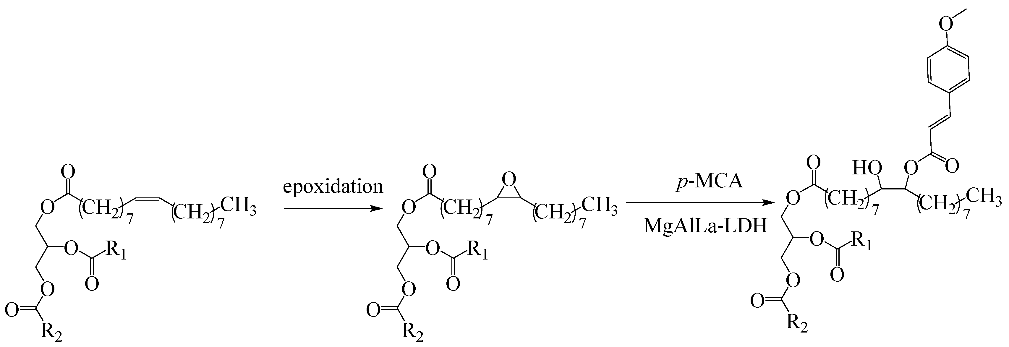
2.1. Epoxidation Reactions
2.2. Ring-Opening Reactions
2.3. Oleogel Preparation
2.4. The SPF Values Correlation
3. Discussion
3.1. Epoxidation Reaction
3.2. Ring-Opening Reaction
3.3. The UV-Absorber Bioconjugate Photoprotective Activity
4. Materials and Methods
4.1. Materials
4.2. Methods
4.2.1. Nuclear Magnetic Resonance (NMR) Spectrometry
4.2.2. RAMAN Spectrometry
4.2.3. UV-Vis Spectrometry
4.2.4. Melting Point Measurements
4.2.5. Graphical Representations
4.3. Epoxidation of SBO
4.4. p-Methoxycinnamic Acid Synthesis
4.5. ESBO Ring-Opening Reaction
4.6. SBO-Based Oleogel Synthesis
4.7. Oleogel’s Analysis and SPF Calculation
5. Conclusions
Supplementary Materials
Author Contributions
Funding
Institutional Review Board Statement
Informed Consent Statement
Data Availability Statement
Acknowledgments
Conflicts of Interest
References
- Smith, G.J.; Miller, I.J. The Effect of Molecular Environment on the Photochemistry of P-Methoxycinnamic Acid and Its Esters. J. Photochem. Photobiol. A Chem. 1998, 118, 93–97. [Google Scholar] [CrossRef]
- MacManus-Spencer, L.A.; Tse, M.L.; Klein, J.L.; Kracunas, A.E. Aqueous Photolysis of the Organic Ultraviolet Filter Chemical Octyl Methoxycinnamate. Environ. Sci. Technol. 2011, 45, 3931–3937. [Google Scholar] [CrossRef]
- Hanson, K.M.; Narayanan, S.; Nichols, V.M.; Bardeen, C.J. Photochemical Degradation of the UV Filter Octyl Methoxycinnamate in Solution and in Aggregates. Photochem. Photobiol. Sci. 2015, 14, 1607–1616. [Google Scholar] [CrossRef]
- Stein, H.V.; Berg, C.J.; Maung, J.N.; O’Connor, L.E.; Pagano, A.E.; Macmanus-Spencer, L.A.; Paulick, M.G. Photolysis and Cellular Toxicities of the Organic Ultraviolet Filter Chemical Octyl Methoxycinnamate and Its Photoproducts. Environ. Sci. Process. Impacts 2017, 19, 851–860. [Google Scholar] [CrossRef]
- Serpone, N. Sunscreens and Their Usefulness: Have We Made Any Progress in the Last Two Decades? Springer International Publishing: Cham, Switzerland, 2021; Volume 20, ISBN 0123456789. [Google Scholar]
- Garcia, R.D.; Maltarollo, V.G.; Honório, K.M.; Trossini, G.H.G. Benchmark Studies of UV–Vis Spectra Simulation for Cinnamates with UV Filter Profile. J. Mol. Model. 2015, 21, 150. [Google Scholar] [CrossRef]
- Płowuszyńska, A.; Gliszczyńska, A. Recent Developments in Therapeutic and Nutraceutical Applications of P-Methoxycinnamic Acid from Plant Origin. Molecules 2021, 26, 3827. [Google Scholar] [CrossRef]
- Crauste, C.; Galano, J.M.; Guy, A.; Lehoux, J.; Durand, T.; Balas, L. Synthesis of Fatty Acid Bioconjugates and Related Derivatives. Eur. J. Org. Chem. 2022, 2022, e202101502. [Google Scholar] [CrossRef]
- Blaaw, R. Vegetable oils as feedstock for the chemical industry. In CMBP Symposium; Drake Performance and Event Center, Ohio State University: Columbus, OH, USA, 2022. [Google Scholar]
- Cakir, A. Essential Oil and Fatty Acid Composition of the Fruits of Hippophae rhamnoides L. (Sea Buckthorn) and Myrtus communis L. from Turkey. Biochem. Syst. Ecol. 2004, 32, 809–816. [Google Scholar] [CrossRef]
- Kumar, A.; Sharma, A.; Upadhyaya, K.C. Vegetable Oil: Nutritional and Industrial Perspective. Curr. Genom. 2016, 17, 230–240. [Google Scholar] [CrossRef]
- Ribeiro, A.R.; Silva, S.S.; Reis, R.L. Challenges and Opportunities on Vegetable Oils Derived Systems for Biomedical Applications. Biomater. Adv. 2022, 134, 112720. [Google Scholar] [CrossRef]
- Ren, R.; Li, N.; Su, C.; Wang, Y.; Zhao, X.; Yang, L.; Li, Y.; Zhang, B.; Chen, J.; Ma, X. The Bioactive Components as Well as the Nutritional and Health Effects of Sea Buckthorn. RSC Adv. 2020, 10, 44654–44671. [Google Scholar] [CrossRef]
- Dong, K.; Binosha Fernando, W.M.A.D.; Durham, R.; Stockmann, R.; Jayasena, V. Nutritional Value, Health-Promoting Benefits and Food Application of Sea Buckthorn. Food Rev. Int. 2023, 39, 2122–2137. [Google Scholar] [CrossRef]
- Olas, B.; Skalski, B.; Ulanowska, K. The Anticancer Activity of Sea Buckthorn [Elaeagnus rhamnoides (L.) A. Nelson]. Front. Pharmacol. 2018, 9, 232. [Google Scholar] [CrossRef]
- Koskovac, M.; Cupara, S.; Kipic, M.; Barjaktarevic, A.; Milovanovic, O.; Kojicic, K.; Markovic, M. Sea Buckthorn Oil—A Valuable Source for Cosmeceuticals. Cosmetics 2017, 4, 40. [Google Scholar] [CrossRef]
- Gęgotek, A.; Jastrzab, A.; Jarocka-Karpowicz, I.; Muszyńska, M.; Skrzydlewska, E. The Effect of Sea Buckthorn (Hippophae rhamnoides L.) Seed Oil on UV-Induced Changes in Lipid Metabolism of Human Skin Cells. Antioxidants 2018, 7, 110. [Google Scholar] [CrossRef]
- Istrati, D.; Lacatusu, I.; Bordei, N.; Badea, G.; Oprea, O.; Stefan, L.M.; Stan, R.; Badea, N.; Meghea, A. Phyto-Mediated Nanostructured Carriers Based on Dual Vegetable Actives Involved in the Prevention of Cellular Damage. Mater. Sci. Eng. C 2016, 64, 249–259. [Google Scholar] [CrossRef]
- Chaiyasut, C.; Sivamaruthi, B.S.; Jungsinyatam, P.; Tansrisook, C.; Jinarat, D.; Chaiyasut, K.; Peerajan, S.; Rungseevijitprapa, W. Development and Evaluation of Elaeagnus rhamnoides (L.) A. Nelson Oil-Loaded Nanostructured Lipid Carrier for Improved Skin Hydration. Appl. Sci. 2022, 12, 8324. [Google Scholar] [CrossRef]
- Eisinaitė, V.; Vinauskienė, R.; Syrpas, M.; Venskutonis, P.R.; Leskauskaitė, D. Oleogel Formulation Using Lipophilic Sea Buckthorn Extract Isolated from Pomace with Supercritical CO2. J. Texture Stud. 2021, 52, 520–533. [Google Scholar] [CrossRef]
- Slabu, A.I.; Banu, I.; Pavel, O.D.; Teodorescu, F.; Stan, R. Sustainable Ring-Opening Reactions of Epoxidized Linseed Oil in Heterogeneous Catalysis. Sustainability 2023, 15, 4197. [Google Scholar] [CrossRef]
- Ruszkiewicz, J.A.; Pinkas, A.; Ferrer, B.; Peres, T.V.; Tsatsakis, A.; Aschner, M. Neurotoxic Effect of Active Ingredients in Sunscreen Products, a Contemporary Review. Toxicol. Rep. 2017, 4, 245–259. [Google Scholar] [CrossRef]
- Gravelle, A.J.; Marangoni, A.G. Ethylcellulose Oleogels: Structure, Functionality, and Food Applications, 1st ed.; Elsevier Inc.: Amsterdam, The Netherlands, 2018; Volume 84. [Google Scholar]
- Perugini, P.; Simeoni, S.; Scalia, S.; Genta, I.; Modena, T.; Conti, B. Effect of nanoparticle encapsulation on the photostability of the sunscreen agent, 2-ethylhexyl-p-methoxycinnamate. Int. J. Pharm. 2002, 246, 37–45. [Google Scholar] [CrossRef] [PubMed]
- Ma, X.; Liu, Y.; Fan, L.; Yan, W. Ethyl Cellulose Particles Loaded with α-Tocopherol for Inhibiting Thermal Oxidation of Soybean Oil. Carbohydr. Polym. 2021, 252, 117169. [Google Scholar] [CrossRef] [PubMed]
- Li, X.; Saleh, A.S.M.; Wang, P.; Wang, Q.; Yang, S.; Zhu, M.; Duan, Y.; Xiao, Z. Characterization of Organogel Prepared from Rice Bran Oil with Cinnamic Acid. Food Biophys. 2017, 12, 356–364. [Google Scholar] [CrossRef]
- Hayden, D.R.; Kibbelaar, H.V.M.; Imhof, A.; Velikov, K.P. Size and Optically Tunable Ethyl Cellulose Nanoparticles as Carriers for Organic UV Filters. ChemNanoMat 2018, 4, 301–308. [Google Scholar] [CrossRef]
- Zetzl, A.K.; Gravelle, A.J.; Kurylowicz, M.; Dutcher, J.; Barbut, S.; Marangoni, A.G. Microstructure of Ethylcellulose Oleogels and Its Relationship to Mechanical Properties. Food Struct. 2014, 2, 27–40. [Google Scholar] [CrossRef]
- Bǎlǎnucǎ, B.; Stan, R.; Hanganu, A.; Iovu, H. Novel Linseed Oil-Based Monomers: Synthesis and Characterization. UPB Sci. Bull. Ser. B Chem. Mater. Sci. 2014, 76, 129–140. [Google Scholar]
- Regulamentul (CE) nr. 1223/2009 al Parlamentului European și al Consiliului din 30 Noiembrie 2009 Privind Produsele Cosmetice (Reformare) (Text cu Relevanță Pentru SEE). Available online: http://data.europa.eu/eli/reg/2009/1223/oj (accessed on 5 September 2023).
- Balanuca, B.; Stan, R.; Hanganu, A.; Lungu, A.; Iovu, H. Design of New Camelina Oil-Based Hydrophilic Monomers for Novel Polymeric Materials. JAOCS J. Am. Oil Chem. Soc. 2015, 92, 881–891. [Google Scholar] [CrossRef]
- Vedad, J.; Domaradzki, M.E.; Mojica, E.R.E.; Chang, E.J.; Profit, A.A.; Desamero, R.Z.B. Conformational Differentiation of α-Cyanohydroxycinnamic Acid Isomers: A Raman Spectroscopic Study. J. Raman Spectrosc. 2017, 48, 1282–1288. [Google Scholar] [CrossRef] [PubMed]
- Chaban, V.V.; Khandelia, H. Lipid Structure in Triolein Lipid Droplets. J. Phys. Chem. B 2014, 118, 10335–10340. [Google Scholar] [CrossRef]
- Chira, N.; Maganu, M.; Ros, S.; Hanganu, A.; Todas, M. The Compositional Characterisation of Romanian Grape Seed Oils Using Spectroscopic Methods. Food Chem. 2012, 134, 2453–2458. [Google Scholar] [CrossRef]
- Balanuca, B.; Lungu, A.; Hanganu, A.M.; Stan, L.R.; Vasile, E.; Iovu, H. Hybrid Nanocomposites Based on POSS and Networks of Methacrylated Camelina Oil and Various PEG Derivatives. Eur. J. Lipid Sci. Technol. 2014, 116, 458–469. [Google Scholar] [CrossRef]
- Zazeri, G.; Povinelli, A.P.R.; Le Duff, C.S.; Tang, B.; Cornelio, M.L.; Jones, A.M. Synthesis and Spectroscopic Analysis of Piperine- And Piperlongumine-Inspired Natural Product Scaffolds and Their Molecular Docking with IL-1β and NF-ΚB Proteins. Molecules 2020, 25, 2841. [Google Scholar] [CrossRef] [PubMed]
- Zhan, K.; Lu, P.; Dong, J.; Hou, X. Polymer Hydrogel Confined Palladium Nanoparticles as Recyclable Catalysts for Suzuki and Heck Cross-Coupling Reactions. Chin. Chem. Lett. 2020, 31, 1630–1634. [Google Scholar] [CrossRef]
- Dutra, E.A.; Da Costa E Oliveira, D.A.G.; Kedor-Hackmann, E.R.M.; Miritello Santoro, M.I.R. Determination of Sun Protection Factor (SPF) of Sunscreens by Ultraviolet Spectrophotometry. Rev. Bras. Ciencias Farm. J. Pharm. Sci. 2004, 40, 381–385. [Google Scholar] [CrossRef]
- Sayre, R.M.; Agin, P.P.; LeVee, G.J.; Marlowe, E. A Comparison of In Vivo and In Vitro Testing of Sunscreening Formulas. Photochem. Photobiol. 1979, 29, 559–566. [Google Scholar] [CrossRef]





| Test Annotation | Epoxidation Degree, % | % p-MCA in Oleogel |
|---|---|---|
| 55A | 55 | - |
| 55B | 55 | - |
| 100B4 | 100 | 4 |
| 80B6 | 80 | 6 |
| 55B10 | 55 | 10 |
| The Degree of Epoxidation | ||||
|---|---|---|---|---|
| t, h | Reaction 1 | Reaction 2 | Reaction 3 | Distribution |
| 0.5 | 2.60 | 3.87 | 4.01 | 3.31 ± 0.71 |
| 1 | 33.10 | 33.39 | 31.98 | 32.69 ± 0.71 |
| 2 | 63.80 | 64.39 | 64.10 | 64.10 ± 0.30 |
| 3 | 83.90 | 83.39 | 84.20 | 83.80 ± 0.40 |
| 4 | 93.80 | 95.39 | 95.02 | 94.74 ± 0.79 |
| 5 | 97.80 | 98.52 | 97.99 | 98.16 ± 0.36 |
| 6 | 97.90 | 98.76 | 98.10 | 98.33 ± 0.43 |
| 7 | 98.15 | 99.00 | 98.89 | 98.58 ± 0.42 |
| 8 | 98.40 | 98.00 | 99.20 | 98.60 ± 0.60 |
| 24 | 97.70 | 98.00 | 99.10 | 98.40 ± 0.70 |
Disclaimer/Publisher’s Note: The statements, opinions and data contained in all publications are solely those of the individual author(s) and contributor(s) and not of MDPI and/or the editor(s). MDPI and/or the editor(s) disclaim responsibility for any injury to people or property resulting from any ideas, methods, instructions or products referred to in the content. |
© 2023 by the authors. Licensee MDPI, Basel, Switzerland. This article is an open access article distributed under the terms and conditions of the Creative Commons Attribution (CC BY) license (https://creativecommons.org/licenses/by/4.0/).
Share and Cite
Slabu, A.I.; Miu, L.; Ghibu, E.; Stavarache, C.E.; Stan, R.; Teodorescu, F. Bioconjugation of Vegetable Oils with UV Absorbers: New Approach in Skin Photoprotection. Molecules 2023, 28, 7550. https://doi.org/10.3390/molecules28227550
Slabu AI, Miu L, Ghibu E, Stavarache CE, Stan R, Teodorescu F. Bioconjugation of Vegetable Oils with UV Absorbers: New Approach in Skin Photoprotection. Molecules. 2023; 28(22):7550. https://doi.org/10.3390/molecules28227550
Chicago/Turabian StyleSlabu, Andrei Iulian, Laura Miu, Emilian Ghibu, Cristina Elena Stavarache, Raluca Stan, and Florina Teodorescu. 2023. "Bioconjugation of Vegetable Oils with UV Absorbers: New Approach in Skin Photoprotection" Molecules 28, no. 22: 7550. https://doi.org/10.3390/molecules28227550
APA StyleSlabu, A. I., Miu, L., Ghibu, E., Stavarache, C. E., Stan, R., & Teodorescu, F. (2023). Bioconjugation of Vegetable Oils with UV Absorbers: New Approach in Skin Photoprotection. Molecules, 28(22), 7550. https://doi.org/10.3390/molecules28227550

