Quercetin-1,2,3-Triazole Hybrids as Multifunctional Anti-Alzheimer’s Agents
Abstract
1. Introduction
2. Results and Discussion
2.1. Pharmacological Evaluation
2.1.1. Cholinesterases (ChEs) Inhibitory Activity
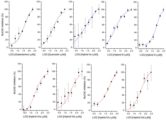
2.1.2. BuChE Inhibitory Assay
2.1.3. Kinetic Study for the Inhibition of eqBuChE
2.1.4. Antioxidant Activity
2.1.5. Cellular Viability and Antioxidant Protection
2.1.6. Toxicity Assays
3. Materials and Methods
- General Remarks
3.1. Quercetin-1,2,3-triazole Hybrids I–IV
3.2. In Vitro Cholinesterase Inhibitory Assay
3.3. DPPH Antioxidant Assay
3.4. Cytotoxicity Evaluation and Protective Assay against Hydrogen Peroxide-Induced Oxidative Stress in a Cellular Model
3.4.1. Preparation of the Solutions with the Compounds
3.4.2. Cell Culture
3.4.3. Stimulus Application and Cellular Viability Assessment
3.5. Artemia Salina Lethal Toxicity Assay
3.6. Statistical Analysis
4. Conclusions
Supplementary Materials
Author Contributions
Funding
Institutional Review Board Statement
Informed Consent Statement
Data Availability Statement
Conflicts of Interest
References
- Jia, J.; Wei, C.; Chen, S.; Li, F.; Tang, Y.; Qin, W.; Zhao, L.; Jin, H.; Xu, H.; Wang, F.; et al. The cost of Alzheimer’s disease in China and re-estimation of costs worldwide. Alzheimer’s Dement. J. Alzheimer’s Assoc. 2018, 14, 483–491. [Google Scholar] [CrossRef]
- Ahmed, N.Y.; Knowles, R.; Dehorter, N. New Insights Into Cholinergic Neuron Diversity. Front. Mol. Neurosci. 2019, 12, 204. [Google Scholar] [CrossRef] [PubMed]
- Balupuri, A.; Choi, K.-E.; Kang, N.S. Aggregation Mechanism of Alzheimer’s Amyloid β-Peptide Mediated by α-Strand/α-Sheet Structure. Int. J. Mol. Sci. 2020, 21, 1094. [Google Scholar] [CrossRef]
- Zhou, Y.; Shi, J.; Chu, D.; Hu, W.; Guan, Z.; Gong, C.-X.; Iqbal, K.; Liu, F. Relevance of Phosphorylation and Truncation of Tau to the Etiopathogenesis of Alzheimer’s Disease. Front. Aging Neurosci. 2018, 10, 27. [Google Scholar] [CrossRef] [PubMed]
- Greenough, M.A.; Camakaris, J.; Bush, A.I. Metal dyshomeostasis and oxidative stress in Alzheimer’s disease. Neurochem. Int. 2013, 62, 540–555. [Google Scholar] [CrossRef] [PubMed]
- Bonda, D.J.; Wang, X.; Perry, G.; Nunomura, A.; Tabaton, M.; Zhu, X.; Smith, M.A. Oxidative stress in Alzheimer disease: A possibility for prevention. Neuropharmacology 2010, 59, 290–294. [Google Scholar] [CrossRef]
- Andra Ionescu-Tucker, A.; Cotman, C.W. Emerging roles of oxidative stress in brain aging and Alzheimer’s disease. Neurobiol. Aging 2021, 107, 86–95. [Google Scholar] [CrossRef]
- Maruszak, A.; Żekanowski, C. Mitochondrial dysfunction and Alzheimer’s disease. Prog. Neuro-Psychopharmacol. Biol. Psychiatry 2011, 35, 320–330. [Google Scholar] [CrossRef]
- Heneka, M.T.; Carson, M.J.; El Khoury, J.; Landreth, G.E.; Brosseron, F.; Feinstein, D.L.; Jacobs, A.H.; Wyss-Coray, T.; Vitorica, J.; Ransohoff, R.M.; et al. Neuroinflammation in Alzheimer’s disease. Lancet Neurol. 2015, 14, 388–405. [Google Scholar] [CrossRef]
- Fu, W.Y.; Wang, X.; Ip, N.Y. Targeting neuroinflammation as a therapeutic strategy for alzheimer’s disease: Mechanisms, drug candidates, and new opportunities. ACS Chem. Neurosci. 2019, 10, 872–879. [Google Scholar] [CrossRef]
- Del Pino, J.; Marco-Contelles, J.; Lopez-Munoz, F.; Romero, A.; Ramos, E. Neuroinflammation signaling modulated by Ass234, a multitarget small molecule for Alzheimer’s disease therapy. ACS Chem. Neurosci. 2018, 9, 2880–2885. [Google Scholar] [CrossRef] [PubMed]
- Uddin, M.S.; Al Mamun, A.; Kabir, M.T.; Ashraf, G.M.; Bin-Jumah, M.N.; Abdel-Daim, M.M. Multi-Target Drug Candidates for Multifactorial Alzheimer’s Disease: AChE and NMDAR as Molecular Targets. Mol. Neurobiol. 2021, 58, 281–303. [Google Scholar] [CrossRef] [PubMed]
- Li, J.; Sun, M.; Cui, X.; Li, C. Protective Effects of Flavonoids against Alzheimer’s Disease: Pathological Hypothesis, Potential Targets, and Structure–Activity Relationship. Int. J. Mol. Sci. 2022, 23, 10020. [Google Scholar] [CrossRef] [PubMed]
- Aghababaei, F.; Hadidi, M. Recent Advances in Potential Health Benefits of Quercetin. Pharmaceuticals 2023, 16, 1020. [Google Scholar] [CrossRef]
- Khan, H.; Ullah, H.; Aschner, M.; Cheang, W.S.; Akkol, E.K. Neuroprotective Effects of Quercetin in Alzheimer’s Disease. Biomolecules 2020, 10, 59. [Google Scholar] [CrossRef]
- Costa, L.G.; Garrick, J.M.; Roquè, P.J.; Pellacani, C. Mechanisms of neuroprotection by quercetin: Counteracting oxidative stress and more. Oxidative Med. Cell. Longev. 2016, 2016, 2986796. [Google Scholar] [CrossRef]
- Testa, G.; Gamba, P.; Badilli, U.; Gargiulo, S.; Maina, M.; Guina, T.; Calfapietra, S.; Biasi, F.; Cavalli, R.; Poli, G.; et al. Loading into nanoparticles improves quercetin’s efficacy in preventing neuroinflammation induced by oxysterols. PLoS ONE 2014, 9, e96795. [Google Scholar] [CrossRef]
- Porat, Y.; Abramowitz, A.; Gazit, E. Inhibition of amyloid fibril formation by polyphenols: Structural similarity and aromatic interactions as a common inhibition mechanism. Chem. Biol. Drug Des. 2006, 67, 27–37. [Google Scholar] [CrossRef]
- Sabogal-Guáqueta, A.M.; Munoz-Manco, J.I.; Ramírez-Pineda, J.R.; Lamprea-Rodriguez, M.; Osorio, E.; Cardona-Gómez, G.P. The flavonoid quercetin ameliorates Alzheimer’s disease pathology and protects cognitive and emotional function in aged triple transgenic Alzheimer’s disease model mice. Neuropharmacology 2015, 93, 134–145. [Google Scholar] [CrossRef]
- Omar, S.H.; Scott, C.J.; Hamlin, A.S.; Obied, H.K. Biophenols: Enzymes (β-secretase, Cholinesterases, histone deacetylase and tyrosinase) inhibitors from olive (Olea europaea L.). Fitoterapia 2018, 128, 118–129. [Google Scholar] [CrossRef]
- Khan, S.A.; Akhtar, M.J.; Gogoi, U.; Meenakshi, D.U.; Das, A. An Overview of 1,2,3-triazole-Containing Hybrids and Their Potential Anticholinesterase Activities. Pharmaceuticals 2023, 16, 179. [Google Scholar] [CrossRef] [PubMed]
- Pereira, D.; Pinto, M.; Correia-da-Silva, M.; Cidade, H. Recent Advances in Bioactive Flavonoid Hybrids Linked by 1,2,3-Triazole Ring Obtained by Click Chemistry. Molecules 2022, 27, 230. [Google Scholar] [CrossRef] [PubMed]
- Lou, D.; Wang, G.; Xia, L.; Chen, L.; Wang, Q. Synthesis and Biological Activity of Novel Flavonoids Galactoconjugates. Chin. J. Org. Chem. 2013, 33, 535–541. [Google Scholar] [CrossRef][Green Version]
- Pan, G.; Xiao, N.; Shen, D.; Chen, M.; Li, Y.; Lu, K.; Yang, Y.; Meng, X.; Yu, P. Synthesis and Hypoglycemic Activity of Novel Quercetin Conjugates. Chin. J. Org. Chem. 2017, 37, 133–140. [Google Scholar] [CrossRef]
- Zhang, F.; Yan, Y.; Han, X.; Du, J.C.; Zhu, R.; Liu, X.H. Design and synthesis of the 4H-chromenone derivatives against psoriasis. Bioorg. Chem. 2022, 120, 105640. [Google Scholar] [CrossRef]
- Carreiro, E.P.; Gastalho, C.M.; Ernesto, S.; Costa, A.R.; Antunes, C.M.; Burke, A.J. Synthesis and Antiproliferative Activity of Novel Quercetin-1,2,3-Triazole Hybrids using the 1,3-Dipolar Cycloaddition (Click) Reaction. Synthesis 2022, 54, 4272. [Google Scholar] [CrossRef]
- Wen, X.; Walle, T. Methylated Flavonoids Have Greatly Improved Intestinal Absorption and Metabolic Stability. Drug Metab. Dispos. 2006, 34, 1786–1792. [Google Scholar] [CrossRef]
- Wu, C.; Zhang, G.; Zhang, Z.-W.; Jiang, X.; Zhang, Z.; Li, H.; Qin, H.-L.; Tang, W. Structure–activity relationship, in vitro and in vivo evaluation of novel dienyl sulphonyl fluorides as selective BuChE inhibitors for the treatment of Alzheimer’s disease. J. Enzym. Inhib. Med.Chem. 2021, 36, 1860–1873. [Google Scholar] [CrossRef]
- Ellman, G.L.; Courtney, K.D.; Andres, V.; Featherstone, R. A new and rapid colorimetric determination of acetylcholinesterase activity. Biochem. Pharmacol. 1961, 7, 88–95. [Google Scholar] [CrossRef]
- Cheke, R.S.; Patil, V.M.; Firke, S.D.; Ambhore, J.P.; Ansari, I.A.; Patel, H.M.; Shinde, S.D.; Pasupuleti, V.R.; Hassan, M.I.; Adnan, M.; et al. Therapeutic Outcomes of Isatin and Its Derivatives against Multiple Diseases: Recent Developments in Drug Discovery. Pharmaceuticals 2022, 15, 272. [Google Scholar] [CrossRef]
- Anderson, J.E.; Goetz, C.M.; McLaughlin, J.L.; Suffness, M. A blind comparison of simple bench-top bioassays and human tumour cell cytotoxicities as antitumor prescreens. Phytochem. Anal. 1991, 2, 107–111. [Google Scholar] [CrossRef]
- Bacalhau, P.; Fernandes, L.; Martins, M.R.; Candeias, F.; Carreiro, E.P.; López, Ó.; Caldeira, A.T.; Totobenazara, J.; Guedes, R.C.; Burke, A.J. In silico, NMR and pharmacological evaluation of an hydroxyoxindole cholinesterase inhibitor. Bioorg. Med. Chem. 2019, 27, 354–363. [Google Scholar] [CrossRef]
- Hofmanova, T.; Marques, C.; García-Sosa, A.T.; López, Ó.; Leitzbach, L.; Carreiro, E.P.; González-Bakker, A.; Puerta, A.; Stark, H.; Padrón, J.M.; et al. N-Substituted 3-Aminooxindoles and N-Propargyl Derivatives: Potential Biological Activities against Alzheimer’s Disease. Results Chem. 2023, 6, 101032. [Google Scholar] [CrossRef]








| Compound | % Inhibition | |
|---|---|---|
| eeAChE | eqBuChE | |
| Ia | 0.00 | 54.39 |
| Ib | 0.00 | 63.33 |
| IIa | 7.75 | 55.26 |
| IIb | 0.00 | 54.42 |
| IIc | 0.00 | 69.59 |
| IId | 0.00 | 60.59 |
| IIe | 4.13 | 81.70 |
| IIf | 24.31 | 100.00 |
| IIg | 0.00 | 53.84 |
| IIh | 38.57 | 7.97 |
| IIi | 0.00 | 74.40 |
| IIIa | 40.57 | 46.85 |
| IIIc | 17.19 | 26.86 |
| IIId | 15.07 | 27.32 |
| IIIf | 0.00 | 34.51 |
| IVa | 0.00 | 82.81 |
| IVb | 5.21 | 90.46 |
| IVc | 21.55 | 69.92 |
| IVd | 3.65 | 56.58 |
| IVe | 29.05 | 63.41 |
| Quercetin | 8.18 | 100.00 |
| Compound | IC50 Values (µM) |
|---|---|
| IIa | >300 |
| IIb | >300 |
| IIc | >300 |
| IId | >300 |
| IIe | 26.6 |
| IIf | 11.2 |
| IIg | >300 |
| IIh | >300 |
| IIi | 70.20 |
| IVa | 24.7 |
| IVb | 32.4 |
| IVc | 65.7 |
| IVd | 39.0 |
| IVe | >150 |
| Galantamine | 37.6 |
| Quercetin | 18.2 |
| KM or KM app * (mM) | Vmax or Vmax app * (U.mg−1) | Inhibition Type and Ki * | ||
|---|---|---|---|---|
| Without inhibitor | 0.4 ± 0.1 | 11.9 ± 2.3 | - | |
| IIf | 5 µM | 1.5 | 11.8 | Competitive Ki = 6.2 µM |
| 20 µM | 2.6 | 11.4 | ||
| 40 µM | 3.9 | 13.4 | ||
| IVb | 17.5 µM | 0.57 | 7.5 | Mixed (non-competitive) Ki = 30 µM |
| 35 µM | 0.53 | 6.5 | ||
| 70 µM | 0.52 | 4.5 | ||
| IVd | 17.5 µM | 1.0 | 9.6 | Competitive Ki = 36 µM |
| 35 µM | 1.6 | 9.0 | ||
| Compound | LC50 |
|---|---|
| K2Cr2O7 | 22.7 mg/L |
| IVb | 10–100 µM |
| IVd | ≥100 µM |
| IIf | 34.6 µM |
Disclaimer/Publisher’s Note: The statements, opinions and data contained in all publications are solely those of the individual author(s) and contributor(s) and not of MDPI and/or the editor(s). MDPI and/or the editor(s) disclaim responsibility for any injury to people or property resulting from any ideas, methods, instructions or products referred to in the content. |
© 2023 by the authors. Licensee MDPI, Basel, Switzerland. This article is an open access article distributed under the terms and conditions of the Creative Commons Attribution (CC BY) license (https://creativecommons.org/licenses/by/4.0/).
Share and Cite
Carreiro, E.P.; Costa, A.R.; Antunes, C.M.; Ernesto, S.; Pinto, F.; Rodrigues, B.; Burke, A.J. Quercetin-1,2,3-Triazole Hybrids as Multifunctional Anti-Alzheimer’s Agents. Molecules 2023, 28, 7495. https://doi.org/10.3390/molecules28227495
Carreiro EP, Costa AR, Antunes CM, Ernesto S, Pinto F, Rodrigues B, Burke AJ. Quercetin-1,2,3-Triazole Hybrids as Multifunctional Anti-Alzheimer’s Agents. Molecules. 2023; 28(22):7495. https://doi.org/10.3390/molecules28227495
Chicago/Turabian StyleCarreiro, Elisabete P., Ana R. Costa, Célia M. Antunes, Sofia Ernesto, Flávia Pinto, Beatriz Rodrigues, and Anthony J. Burke. 2023. "Quercetin-1,2,3-Triazole Hybrids as Multifunctional Anti-Alzheimer’s Agents" Molecules 28, no. 22: 7495. https://doi.org/10.3390/molecules28227495
APA StyleCarreiro, E. P., Costa, A. R., Antunes, C. M., Ernesto, S., Pinto, F., Rodrigues, B., & Burke, A. J. (2023). Quercetin-1,2,3-Triazole Hybrids as Multifunctional Anti-Alzheimer’s Agents. Molecules, 28(22), 7495. https://doi.org/10.3390/molecules28227495

