Design and Synthesis of Scopoletin Sulfonate Derivatives as Potential Insecticidal Agents
Abstract
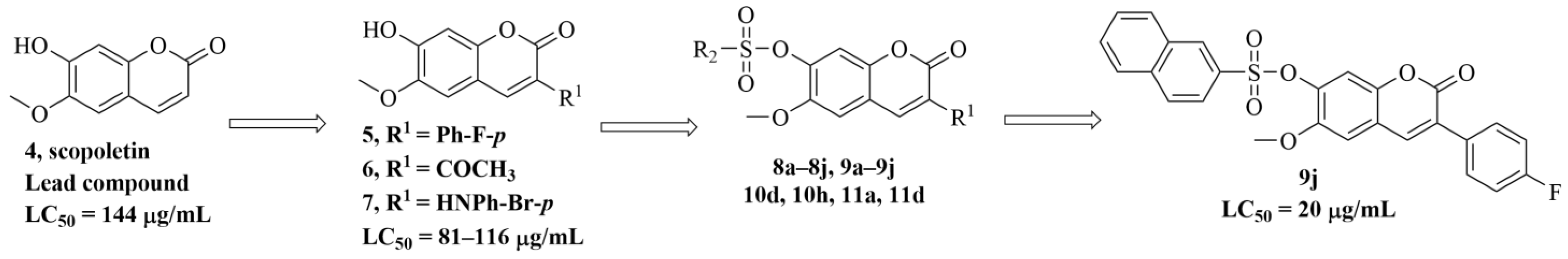
1. Introduction
2. Results and Discussion
2.1. Insecticidal Activities against T. cinnabarinus
2.2. Insecticidal Activities against Artemia
2.3. AChE Inhibition
2.4. Molecular Docking
3. Materials and Methods
3.1. General Remarks
3.2. Procedures for the Synthesis of Compounds in Scheme 1
3.2.1. Preparation of 2,4-dihydroxy-5-methoxybenzaldehyde (2) [23]
3.2.2. Preparation of 7-hydroxy-6-methoxy-2-oxo-2H-chrom-ene-3-carboxylic Acid (3) [25]
3.2.3. Preparation of 7-hydroxy-6-methoxy-2H-chromen-2-one (4) [26]
3.2.4. Preparation of 3-(4-fluorophenyl)-7-hydroxy-6-methoxy-2H-chromen-2-one (5) [27]
3.2.5. Preparation of 3-acetyl-7-hydroxy-6-methoxy-2H-chromen-2-one (6) [28]
3.2.6. Preparation of 3-(4-bromoaniline formyl)-7-hydroxy-6-methoxy-2H-chromen-2-one (7) [29]
3.2.7. General Procedure for the Synthesis of Compounds 4a–4j, 5a–5j, 6d, 6h, 7a, and 7d [30]
3.3. Acaricidal Activities against T. cinnabarinus
3.4. Toxicity to Artemia
3.5. AChE Inhibition
3.6. Molecular Docking
4. Conclusions
Supplementary Materials
Author Contributions
Funding
Institutional Review Board Statement
Informed Consent Statement
Data Availability Statement
Conflicts of Interest
Sample Availability
References
- Jeppson, R.; Keifer, H.H.; Baker, E.W. Mites Injurious to Economic Plants; University of California Press: Berkeley, CA, USA, 1975. [Google Scholar]
- Zhang, Q. Mites of Greenhouses: Identification, Biology and Control; CABI Publishing: Oxon, UK, 2003. [Google Scholar]
- Zhang, Y.Z.; Yutaka, S.; Liu, Q.; Ji, J. On the causes of mite pest outbreaks in mono- and poly-cultured moso bamboo forests. J. Appl. Ecol. 2004, 15, 1161–1165. [Google Scholar]
- Sarwar, M. Management of spider mite Tetranychus cinnabarinus (Boisduval) (Tetranychidae) infestation in cotton by releasing the predatory mite Neoseiulus pseudolongispinosus (Xin, Liang and Ke) (Phytoseiidae). Biol. Control 2013, 65, 37–42. [Google Scholar] [CrossRef]
- Cakmak, I.; Baspinar, H. Control of the carmine spider mite Tetranychus cinnabarinus boisduval by the predatory mite Phytoseinlus persimilis (Athias-Henriot) in protected strawberries in Aydin, Turkey. Turk. J. Agric. For. 2005, 29, 259–265. [Google Scholar]
- Stumpf, N.; Nauen, R. Cross-resistance, inheritance, and biochemistry of mitochondrial electron transport inhibitor- acaricide resistance in Tetranychus urticae (Acari: Tetranychidae). J. Econ. Entomol. 2001, 94, 1577–1583. [Google Scholar] [CrossRef] [PubMed]
- Nicastro, R.L.; Sato, M.E.; Arthur, V.; Silva, M.Z. Chlorfenapyr resistance in the spider mite Tetranychus urticae: Stability, crossresistance and monitoring of resistance. Phytoparasitica 2013, 41, 503–513. [Google Scholar] [CrossRef]
- Dekeyser, M.A. Acaricide mode of action. Pest Manag. Sci. 2005, 61, 103–110. [Google Scholar] [CrossRef]
- Marcic, D. Acaricides in modern management of plant-feeding mites. J. Pest Sci. 2012, 85, 395–408. [Google Scholar] [CrossRef]
- Van Leeuwen, T.; Vontas, J.; Tsagkarakou, A.; Dermauw, W.; Tirry, L. Acaricide resistance mechanisms in the two-spotted spider mite Tetranychus urticae and other important Acari: A review. Insect Biochem. Mol. Biol. 2010, 40, 563–572. [Google Scholar] [CrossRef]
- Bi, J.L.; Niu, Z.M.; Yu, L.; Toscano, N.C. Resistance status of the carmine spider mite, Tetranychus cinnabarinus and the twospotted spider mite, Tetranychus urticae to selected acaricides on strawberries. Insect Sci. 2016, 23, 88–93. [Google Scholar] [CrossRef]
- Zhang, G.Z.; Zha, Z. Pesticide resistance of Tetranychus cinnabarinus (Acari: Tetranychidae) in China: A review. Syst. Appl. Acarol. 1998, 3, 3–7. [Google Scholar]
- Van Leeuwen, T.; Van Pottelberge, S.; Tirry, L. Biochemical analysis of a chlorfenapyr-selected resistant strain of Tetranychus urticae Koch. Pest Manag. Sci. 2006, 62, 425–433. [Google Scholar] [CrossRef]
- Tal, B.; Robeson, D. The induction, by fungal inoculation, of ayapin and scopoletin biosynthesis in Helianthus annuus. Phytochemistry 1985, 25, 77–79. [Google Scholar] [CrossRef]
- Lerat, S.; Babana, A.H.; Oirdi, M.E. Streptomyces scabiei and its toxin thaxtomin A induce scopoletin biosynthesis in tobacco and Arabidopsis thaliana. Plant Cell Rep. 2009, 28, 1895–1903. [Google Scholar] [CrossRef]
- Tripathi, A.K.; Bhakuni, B.H.; Upadhyay, S.; Gaur, R. Insect feeding deterrent and growth inhibitory activities of scopoletin isolated from Artemisia annua against Spilarctia obliqua (Lepidoptera: Noctuidae). Insect Sci. 2011, 18, 189–194. [Google Scholar] [CrossRef]
- Zhang, Y.Q.; Ding, W.; Zhao, Z.M.; Wu, J.; Fan, Y.H. Studies on acaricidal bioactivities of Artemisia annua L. extracts against Tetranychus cinnabarinus Bois. (Acari: Tetranychidae). Agric. Sci. China 2008, 7, 577–584. [Google Scholar] [CrossRef]
- Yong, X.J.; Zhang, Y.Q.; Ding, W. Repellent and oviposition deterrent properties of scopoletin to Tetranychus cinnabarinus. Chin. J. Appl. Entomol. 2012, 49, 422–427. [Google Scholar]
- Liang, W.; Bai, X.; Ma, L.Q.; Shi, G.L.; Wang, Y.N. Preliminary study on scopoletin toxicity to Tetranychus cinnabarinus and its acaricidal mechanism. Guangdong Agric. Sci. 2011, 8, 68–71. [Google Scholar]
- Hou, Q.L.; Wang, D.; Zhang, B.C.; Ding, W.; Zhang, Y.Q. Biochemical evidences for scopoletin inhibits Ca2+-ATPase activity in the carmine spider mite, Tetranychus cinnabarinus (Boisduval). Agric. Sci. Technol. 2015, 4, 826–831. [Google Scholar]
- Hou, Q.L.; Luo, J.X.; Zhang, B.C. 3d-QSAR and molecular docking studies on the tcpmca1-mediated detoxification of scopoletin and coumarin derivatives. Int. J. Mol. Sci. 2017, 18, 1372–1380. [Google Scholar] [CrossRef]
- Luo, J.X.; Lai, T.; Guo, T. Synthesis and acaricidal activities of scopoletin phenolic ether derivatives: QSAR, molecular docking study and in silico ADME predictions. Molecules 2018, 23, 995. [Google Scholar] [CrossRef]
- Nisachon, K.; Nitirat, C.; Patchreenart, S. Synthesis and anti-acetylcholinesterase activity of scopoletin derivatives. Bioorg. Chem. 2016, 65, 137–145. [Google Scholar]
- Li, L.H.; Zhao, P.; Hu, J.L. Synthesis, in vitro and in vivo antitumor activity of scopoletin-cinnamic acid hybrids. Eur. J. Med. Chem. 2015, 93, 300–307. [Google Scholar] [CrossRef] [PubMed]
- Syed, S.S.; Amir, A.K.; Misbahul, A.K. Green synthesis and characterization of 3-carboxycoumarin and ethylcoumarin -3-carboxylate via Knoevenagel condensation. Asian J. Chem. 2017, 29, 261–266. [Google Scholar]
- Liu, W.K.; Hua, J.; Zhou, J.P. Synthesis and in vitro antitumor activity of novel scopoletin derivatives. Bioorg. Med. Chem. Lett. 2012, 22, 5008–5012. [Google Scholar] [CrossRef] [PubMed]
- Sebastian, D.; Mateusz, D.; Witold, K. Synthesis and biological evaluation of fluorinated 3-phenylcoumarin-7-o-sulfamate derivatives as steroid sulfatase inhibitors. Chem. Biol. Drug Des. 2016, 87, 233–238. [Google Scholar]
- Milanc, M.M.; Ivica, S. Synthesis and biological evaluation of a novel series of 1,3-dicoumarinyl-5-aryl-2-pyrazolines. Heterocycles 2011, 83, 1553–1566. [Google Scholar]
- Yang, Y.; Liu, Q.W.; Shi, Y. Design and synthesis of coumarin-3-acylamino derivatives to scavenge radicals and to protect DNA. Eur. J. Med. Chem. 2014, 84, 1–7. [Google Scholar] [CrossRef]
- Chen, S.L.; Zhang, Y.; Liu, Y.X.; Wang, Q.M. Design, synthesis, acaricidal activities, and structure-activity relationship studies of novel oxazolines containing sulfonate moieties. J. Agric. Food Chem. 2019, 67, 13544–13549. [Google Scholar] [CrossRef]
- Shinzo, K.; Misa, S.; Kazuko, I. Synthesis and acaricidal activity of 1-arylmethyl-2-arylimidazolidines. J. Pestic. Sci. 2001, 26, 393–398. [Google Scholar]
- Hartl, M.H.; Humpf, U. Toxicity assessment of fumonisins using the brine shrimp (Artemia salina) bioassay. Food Chem. Toxicol. 2000, 38, 1097–1102. [Google Scholar] [CrossRef]
- Cheung, J.; Mahmood, A.; Kalathur, R.; Liu, L.; Carlier, P.R. Structure of the G119S Mutant Acetylcholinesterase of the Malaria Vector Anopheles gambiae Reveals Basis of Insecticide Resistance. Structure 2018, 26, 130–136.e2. [Google Scholar] [CrossRef]






Disclaimer/Publisher’s Note: The statements, opinions and data contained in all publications are solely those of the individual author(s) and contributor(s) and not of MDPI and/or the editor(s). MDPI and/or the editor(s) disclaim responsibility for any injury to people or property resulting from any ideas, methods, instructions or products referred to in the content. |
© 2023 by the authors. Licensee MDPI, Basel, Switzerland. This article is an open access article distributed under the terms and conditions of the Creative Commons Attribution (CC BY) license (https://creativecommons.org/licenses/by/4.0/).
Share and Cite
Liu, C.; Zheng, P.; Wang, H.; Wei, Y.; Wang, C.; Hao, S. Design and Synthesis of Scopoletin Sulfonate Derivatives as Potential Insecticidal Agents. Molecules 2023, 28, 530. https://doi.org/10.3390/molecules28020530
Liu C, Zheng P, Wang H, Wei Y, Wang C, Hao S. Design and Synthesis of Scopoletin Sulfonate Derivatives as Potential Insecticidal Agents. Molecules. 2023; 28(2):530. https://doi.org/10.3390/molecules28020530
Chicago/Turabian StyleLiu, Congmin, Panyuan Zheng, Hongmei Wang, Yan Wei, Chuanping Wang, and Shuanghong Hao. 2023. "Design and Synthesis of Scopoletin Sulfonate Derivatives as Potential Insecticidal Agents" Molecules 28, no. 2: 530. https://doi.org/10.3390/molecules28020530
APA StyleLiu, C., Zheng, P., Wang, H., Wei, Y., Wang, C., & Hao, S. (2023). Design and Synthesis of Scopoletin Sulfonate Derivatives as Potential Insecticidal Agents. Molecules, 28(2), 530. https://doi.org/10.3390/molecules28020530
