Deep Eutectic Solvents Based on Carboxylic Acids and Glycerol or Propylene Glycol as Green Media for Extraction of Bioactive Substances from Chamaenerion angustifolium (L.) Scop.
Abstract
:1. Introduction
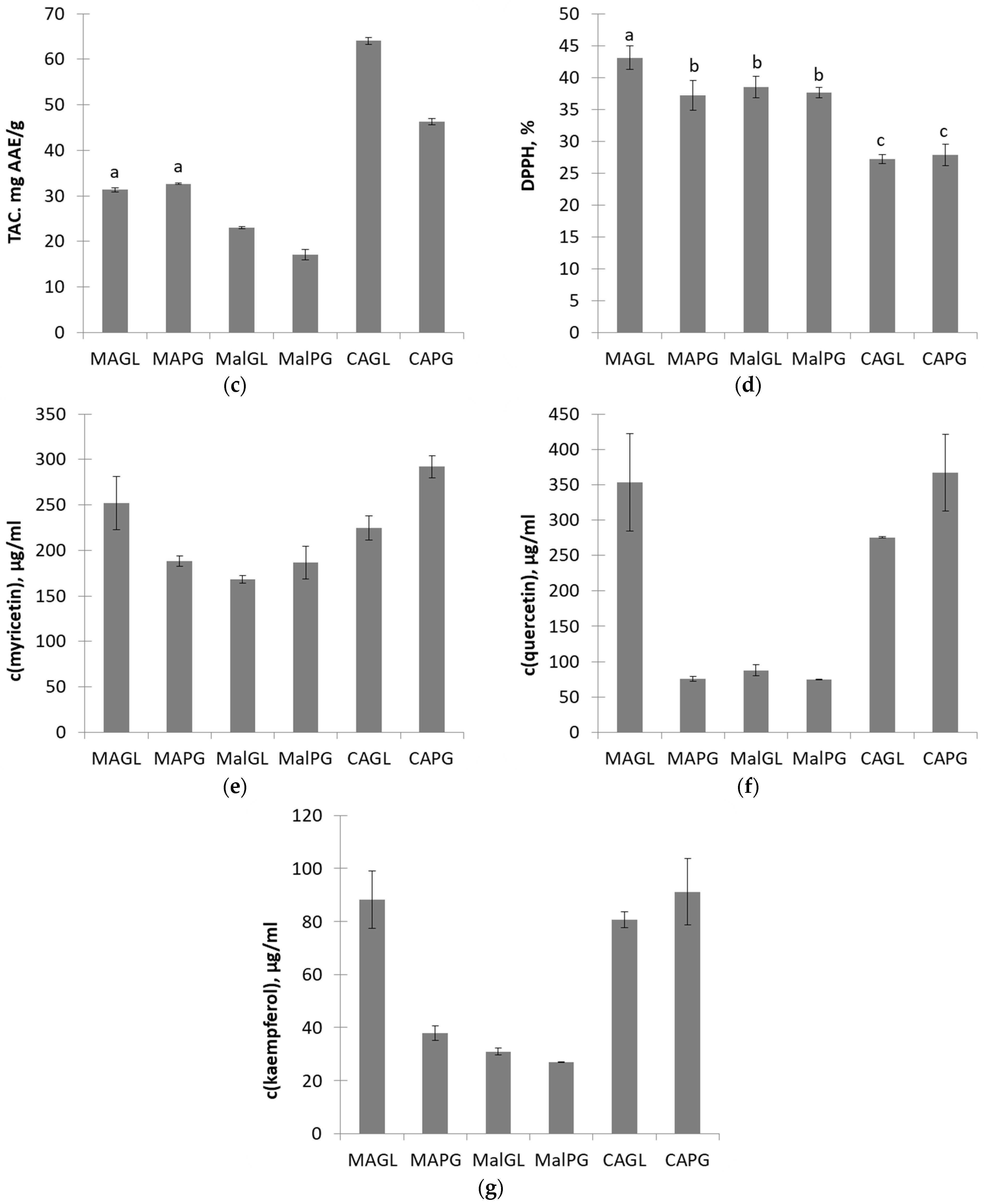
2. Results and Discussion
3. Materials and Methods
3.1. Plant Material
3.2. Chemicals and Reagents
3.3. Deep Eutectic Solvents Preparation
3.4. Characterization of (D)ESs
3.5. Ultrasound-Assisted Extraction, Kinetics and Box–Behnken Design Optimization
3.6. Chemical Analysis of Extracts
3.7. Antioxidant Activity Measuring
3.8. LC-UV Analysis for Quantification of Aglycons of Extracted Flavonoids
3.9. Statistical Analysis
4. Conclusions
Supplementary Materials
Author Contributions
Funding
Institutional Review Board Statement
Informed Consent Statement
Data Availability Statement
Acknowledgments
Conflicts of Interest
Sample Availability
References
- Stepanova, E.M.; Lugovaya, E.A. Mineral Composition of Wild Berry Fruits from the Forest Zone of the City Of Magadan. Chem. Plant Raw Mater. 2022, 343–350. [Google Scholar] [CrossRef]
- Kaminskii, I.P.; Kadyrova, T.V.; Kalinkina, G.I.; Larkina, M.S.; Ermilova, E.V.; Belousov, M.V. Comparative Pharmacognostic Research of Centaurea Scabiosa L. Wild-Growing and Culti-Vated in the Conditions of Tomsk. Chem. Plant Raw Mater. 2020, 119–126. [Google Scholar] [CrossRef]
- Velikorodov, A.V.; Pilipenko, V.N.; Pilipenko, T.A.; Malyi, S.V. Studying the Chemical Composition of Essential Oil Received From Fruits of Prangos Odon-Talgica Wild-Growing in Astrakhan Region. Chem. Plant Raw Mater. 2019, 95–101. [Google Scholar] [CrossRef]
- Sergeeva, I.; Zaushintsena, A.; Bryukhachev, E. Photosynthetic Pigments and Phenolic Potential of Rhodiola Rosea L. from Plant Communities of Different Ecology and Geography. Food Process. Tech. Technol. 2020, 50, 393–403. [Google Scholar] [CrossRef]
- Pasichnik, E.A.; Paukshta, O.I.; Nikolaev, V.G.; Tsvetov, N.S. Extraction of Bioactive Components from Chamaenerion angustifolium (L.) Herb Growing in Kola Peninsula Using Deep Eutectic Solvents. IOP Conf. Ser. Earth Environ. Sci. 2022, 981, 032080. [Google Scholar] [CrossRef]
- Tsarev, V.N.; Bazarnova, N.G.; Dubenskiy, M.M. Narrow-Leaved Cypress (Chamerion angustifolium L.) Chemical Composition, Biological Activity (Review). Chem. Plant Raw Mater. 2016, 15–26. (In Russian) [Google Scholar] [CrossRef]
- Irinina, O.I.; Eliseeva, S.A. Study of the Biochemical Composition and Medicinal Properties of the Narrow-Leaved Cypress Plant (Ivan-Tea). Polzunovskiy Vestn. 2021, 2, 44–54. (In Russian) [Google Scholar] [CrossRef]
- Huttunen, S.; Riihinen, K.; Kauhanen, J.; Tikkanen-Kaukanen, C. Antimicrobial Activity of Different Finnish Monofloral Honeys against Human Pathogenic Bacteria. APMIS 2013, 121, 827–834. [Google Scholar] [CrossRef]
- Volodina, S.O.; Volodin, V.V.; Nekrasova, E.V.; Syrov, V.N.; Khushbaktova, Z.A. Stress-Protective Effect of Aqueous Infusion of Fermented Leaves Chamaenerion An-Gustifolium (L.) Scop. Chem. Plant Raw Mater. 2020, 267–272. [Google Scholar] [CrossRef]
- Zainal-Abidin, M.H.; Hayyan, M.; Hayyan, A.; Jayakumar, N.S. New Horizons in the Extraction of Bioactive Compounds Using Deep Eutectic Solvents: A Review. Anal. Chim. Acta 2017, 979, 1–23. [Google Scholar] [CrossRef]
- Dai, Y.; Witkamp, G.J.; Verpoorte, R.; Choi, Y.H. Tailoring Properties of Natural Deep Eutectic Solvents with Water to Facilitate Their Applications. Food Chem. 2015, 187, 14–19. [Google Scholar] [CrossRef] [PubMed]
- Jurić, T.; Mićić, N.; Potkonjak, A.; Milanov, D.; Dodić, J.; Trivunović, Z.; Popović, B.M. The Evaluation of Phenolic Content, in Vitro Antioxidant and Antibacterial Activity of Mentha Piperita Extracts Obtained by Natural Deep Eutectic Solvents. Food Chem. 2021, 362, 130226. [Google Scholar] [CrossRef] [PubMed]
- Shishov, A.; Gagarionova, S.; Bulatov, A. Deep Eutectic Mixture Membrane-Based Microextraction: HPLC-FLD Determination of Phenols in Smoked Food Samples. Food Chem. 2020, 314, 126097. [Google Scholar] [CrossRef] [PubMed]
- Abbott, A.P.; Boothby, D.; Capper, G.; Davies, D.L.; Rasheed, R. Deep Eutectic Solvents Formed Between Choline Chloride and Carboxylic Acids. J. Am. Chem. Soc. 2004, 126, 9142. [Google Scholar]
- Piemontese, L.; Sergio, R.; Rinaldo, F.; Brunetti, L.; Perna, F.M.; Santos, M.A.; Capriati, V. Deep Eutectic Solvents as Effective Reaction Media for the Synthesis of 2-Hydroxyphenylbenzimidazole-Based Scaffolds En Route to Donepezil-Like Compounds. Molecules 2020, 25, 574. [Google Scholar] [CrossRef]
- Boldrini, C.L.; Quivelli, A.F.; Manfredi, N.; Capriati, V.; Abbotto, A. Deep Eutectic Solvents in Solar Energy Technologies. Molecules 2022, 27, 709. [Google Scholar] [CrossRef]
- Santana, A.P.R.; Mora-Vargas, J.A.; Guimarães, T.G.S.; Amaral, C.D.B.; Oliveira, A.; Gonzalez, M.H. Sustainable Synthesis of Natural Deep Eutectic Solvents (NADES) by Different Methods. J. Mol. Liq. 2019, 293, 17–20. [Google Scholar] [CrossRef]
- Arnaboldi, S.; Mezzetta, A.; Grecchi, S.; Longhi, M.; Emanuele, E.; Rizzo, S.; Arduini, F.; Micheli, L.; Guazzelli, L.; Mussini, P.R. Natural-Based Chiral Task-Specific Deep Eutectic Solvents: A Novel, Effective Tool for Enantiodiscrimination in Electroanalysis. Electrochim. Acta 2021, 380, 138189. [Google Scholar] [CrossRef]
- Afonso, J.; Mezzetta, A.; Marrucho, I.M.; Guazzelli, L. History Repeats Itself Again: Will the Mistakes of the Past for ILs Be Repeated for DESs? From Being Considered Ionic Liquids to Becoming Their Alternative: The Unbalanced Turn of Deep Eutectic Solvents. Green Chem. 2023, 25, 59–105. [Google Scholar] [CrossRef]
- Morais, E.S.; Lopes, A.M.d.C.; Freire, M.G.; Freire, C.S.R.; Coutinho, J.A.P.; Silvestre, A.J.D. Use of Ionic Liquids and Deep Eutectic Solvents in Polysaccharides Dissolution and Extraction Processes towards Sustainable Biomass Valorization. Molecules 2020, 25, 3652. [Google Scholar] [CrossRef]
- Cunha, S.C.; Fernandes, J.O. Extraction Techniques with Deep Eutectic Solvents. TrAC Trends Anal. Chem. 2018, 105, 225–239. [Google Scholar] [CrossRef]
- Choi, Y.H.; van Spronsen, J.; Dai, Y.; Verberne, M.; Hollmann, F.; Arends, I.W.C.E.; Witkamp, G.J.; Verpoorte, R. Are Natural Deep Eutectic Solvents the Missing Link in Understanding Cellular Metabolism and Physiology? Plant Physiol. 2011, 156, 1701–1705. [Google Scholar] [CrossRef] [PubMed]
- Ijardar, S.P.; Singh, V.; Gardas, R.L. Revisiting the Physicochemical Properties and Applications of Deep Eutectic Solvents. Molecules 2022, 27, 1368. [Google Scholar] [CrossRef] [PubMed]
- Santana, A.P.R.; Andrade, D.F.; Guimarães, T.G.S.; Amaral, C.D.B.; Oliveira, A.; Gonzalez, M.H. Synthesis of Natural Deep Eutectic Solvents Using a Mixture Design for Extraction of Animal and Plant Samples Prior to ICP-MS Analysis. Talanta 2020, 216, 120956. [Google Scholar] [CrossRef]
- Dai, Y.; van Spronsen, J.; Witkamp, G.-J.; Verpoorte, R.; Choi, Y.H. Natural Deep Eutectic Solvents as New Potential Media for Green Technology. Anal. Chim. Acta 2013, 766, 61–68. [Google Scholar] [CrossRef]
- Zhang, X.; Su, J.; Chu, X.; Wang, X. A Green Method of Extracting and Recovering Flavonoids from Acanthopanax Senticosus Using Deep Eutectic Solvents. Molecules 2022, 27, 923. [Google Scholar] [CrossRef]
- Chen, W.; Jiang, J.; Lan, X.; Zhao, X.; Mou, H.; Mu, T. A Strategy for the Dissolution and Separation of Rare Earth Oxides by Novel Brønsted Acidic Deep Eutectic Solvents. Green Chem. 2019, 21, 4748–4756. [Google Scholar] [CrossRef]
- Nastasi, J.R.; Daygon, V.D.; Kontogiorgos, V.; Fitzgerald, M.A. Qualitative Analysis of Polyphenols in Glycerol Plant Extracts Using Untargeted Metabolomics. Metabolites 2023, 13, 566. [Google Scholar] [CrossRef]
- Ciganović, P.; Jakupović, L.; Momchev, P.; Nižić Nodilo, L.; Hafner, A.; Zovko Končić, M. Extraction Optimization, Antioxidant, Cosmeceutical and Wound Healing Potential of Echinacea Purpurea Glycerolic Extracts. Molecules 2023, 28, 1177. [Google Scholar] [CrossRef]
- Juszczak, A.M.; Marijan, M.; Jakupović, L.; Tomczykowa, M.; Tomczyk, M.; Zovko Končić, M. Glycerol and Natural Deep Eutectic Solvents Extraction for Preparation of Luteolin-Rich Jasione Montana Extracts with Cosmeceutical Activity. Metabolites 2022, 13, 32. [Google Scholar] [CrossRef]
- de Brito, V.P.; de Souza Ribeiro, M.M.; Viganó, J.; de Moraes, M.A.; Veggi, P.C. Silk Fibroin Hydrogels Incorporated with the Antioxidant Extract of Stryphnodendron Adstringens Bark. Polymers 2022, 14, 4806. [Google Scholar] [CrossRef] [PubMed]
- Tsvetov, N.; Pasichnik, E.; Korovkina, A.; Gosteva, A. Extraction of Bioactive Components from Chamaenerion angustifolium (L.) Scop. with Choline Chloride and Organic Acids Natural Deep Eutectic Solvents. Molecules 2022, 27, 4216. [Google Scholar] [CrossRef]
- Tsvetov, N.; Sereda, L.; Korovkina, A.; Artemkina, N.; Kozerozhets, I.; Samarov, A. Ultrasound-Assisted Extraction of Phytochemicals from Empetrum Hermafroditum Hager. Using Acid-Based Deep Eutectic Solvent: Kinetics and Optimization. Biomass Convers. Biorefinery 2022, 12, 145–156. [Google Scholar] [CrossRef]
- World Health Organization. Pharmaceuticals Unit Quality Control Methods for Medicinal Plant Materials; WHO: Geneva, Switzerland, 1998; p. 122. [Google Scholar]
- Rodriguez Rodriguez, N.; Van Den Bruinhorst, A.; Kollau, L.J.B.M.; Kroon, M.C.; Binnemans, K. Degradation of Deep-Eutectic Solvents Based on Choline Chloride and Carboxylic Acids. ACS Sustain. Chem. Eng. 2019, 7, 11521–11528. [Google Scholar] [CrossRef]







| Component 1 | Assignment, cm−1 | Component 2 | Assignment, cm−1 | (D)ES + 10 H2O |
|---|---|---|---|---|
| MA | ν(C=O) 1693 | Gly | ν(O-H) 3278 | 3358, 1711, 1640 |
| PG | ν(O-H) 3300 | 3357, 1709, 1644 | ||
| Mal | ν(C=O) 1737, 1678 | Gly | ν(O-H) 3278 | 3297, 1719, 1644 |
| PG | ν(O-H) 3300 | 3357, 1713, 1648 | ||
| CA | ν(C=O) 1741, 1685 | Gly | ν(O-H) 3278 | 3289, 1720, 1644 |
| PG | ν(O-H) 3300 | 3360, 1711, 1640 |
| Intercept | A | B | C | AB | AC | BC | A2 | B2 | C2 | A2B | A2C | AB2 | |
|---|---|---|---|---|---|---|---|---|---|---|---|---|---|
| TPC | 160.140 | 15.700 | 19.750 | −22.125 | −6.525 | −1.400 | −7.675 | 28.405 | −17.970 | −1.745 | 35.725 | −10.575 | |
| p-values | 0.090 | 0.014 | 0.032 | 0.423 | 0.859 | 0.352 | 0.011 | 0.057 | 0.820 | 0.020 | 0.363 | ||
| TFC | 45.800 | 3.225 | 15.925 | −7.225 | −2.275 | 3.225 | −5.025 | 14.688 | 0.138 | 2.788 | 8.200 | −2.400 | |
| p-values | 0.016 | <0.0001 | 0.001 | 0.053 | 0.016 | 0.003 | <0.0001 | 0.882 | 0.025 | 0.001 | 0.119 | ||
| TAC | 16.100 | 2.013 | 3.463 | 0.200 | 2.775 | 2.650 | −0.650 | 4.938 | −2.213 | 2.113 | 3.100 | ||
| p-values | 0.013 | 0.001 | 0.814 | 0.014 | 0.017 | 0.455 | 0.001 | 0.032 | 0.037 | 0.036 | |||
| Myricetin | 178.420 | 4.708 | −12.700 | 0.017 | 1.042 | 3.935 | −0.747 | −35.169 | −21.229 | 2.908 | 13.489 | 6.482 | |
| p-values | 0.113 | 0.015 | 0.996 | 0.776 | 0.308 | 0.838 | 0.0001 | 0.002 | 0.429 | 0.040 | 0.244 | ||
| Quercetin | 91.060 | 5.633 | −24.525 | −2.389 | −2.954 | 5.350 | −0.685 | 17.285 | 14.206 | −16.995 | −22.855 | 2.857 | |
| p-values | 0.047 | 0.001 | 0.468 | 0.377 | 0.139 | 0.831 | 0.002 | 0.005 | 0.002 | 0.003 | 0.537 | ||
| Kaempferol | 32.991 | 2.330 | −7.112 | −1.141 | −8.938 | 1.878 | 0.081 | −0.404 | −1.846 | 0.850 | 1.955 | 9.326 | |
| p-values | 0.020 | 0.0002 | 0.068 | <0.0001 | 0.043 | 0.912 | 0.577 | 0.042 | 0.265 | 0.104 | 0.0002 |
| Component 1 | Component 2 | Abbreviation | Molar Ratio Component 1: Component 2: Water |
|---|---|---|---|
![]() Malonic acid | ![]() Glycerol | MAGL | 1:1:10 |
![]() Propylene glycol | MAPG | 1:2:10 | |
![]() Malic acid | ![]() Glycerol | MalGL | 1:2:10 |
![]() Propylene glycol | MalPG | 1:2:10 | |
![]() Citric acid | ![]() Glycerol | CAGL 10 H2O CAGL 15 H2O CAGL 20 H2O | 1:4:10 1:4:15 1:4:20 |
![]() Propylene glycol | CAPG | 1:4:10 |
| Temperature °C | Volume to Mass Ratio | Molar Parts of H2O |
|---|---|---|
| 30 (−1) | 20 (0) | 5 (−1) |
| 30 (−1) | 10 (−1) | 10 (0) |
| 30 (−1) | 30 (+1) | 10 (0) |
| 30 (−1) | 20 (0) | 15 (+1) |
| 45 (0) | 10 (−1) | 5 (−1) |
| 45 (0) | 30 (+1) | 5 (−1) |
| 45 (0) | 20 (0) | 10 (0) |
| 45 (0) | 20(0) | 10 (0) |
| 45 (0) | 20 (0) | 10 (0) |
| 45 (0) | 20 (0) | 10 (0) |
| 45 (0) | 20 (0) | 10 (0) |
| 45 (0) | 10 (−1) | 15 (+1) |
| 45 (0) | 30 (+1) | 15 (+1) |
| 60 (+1) | 20 (0) | 5 (−1) |
| 60 (+1) | 10 (−1) | 10 (0) |
| 60 (+1) | 30 (+1) | 10 (0) |
| 60 (+1) | 20 (0) | 15 (+1) |
Disclaimer/Publisher’s Note: The statements, opinions and data contained in all publications are solely those of the individual author(s) and contributor(s) and not of MDPI and/or the editor(s). MDPI and/or the editor(s) disclaim responsibility for any injury to people or property resulting from any ideas, methods, instructions or products referred to in the content. |
© 2023 by the authors. Licensee MDPI, Basel, Switzerland. This article is an open access article distributed under the terms and conditions of the Creative Commons Attribution (CC BY) license (https://creativecommons.org/licenses/by/4.0/).
Share and Cite
Koigerova, A.; Gosteva, A.; Samarov, A.; Tsvetov, N. Deep Eutectic Solvents Based on Carboxylic Acids and Glycerol or Propylene Glycol as Green Media for Extraction of Bioactive Substances from Chamaenerion angustifolium (L.) Scop. Molecules 2023, 28, 6978. https://doi.org/10.3390/molecules28196978
Koigerova A, Gosteva A, Samarov A, Tsvetov N. Deep Eutectic Solvents Based on Carboxylic Acids and Glycerol or Propylene Glycol as Green Media for Extraction of Bioactive Substances from Chamaenerion angustifolium (L.) Scop. Molecules. 2023; 28(19):6978. https://doi.org/10.3390/molecules28196978
Chicago/Turabian StyleKoigerova, Alena, Alevtina Gosteva, Artemiy Samarov, and Nikita Tsvetov. 2023. "Deep Eutectic Solvents Based on Carboxylic Acids and Glycerol or Propylene Glycol as Green Media for Extraction of Bioactive Substances from Chamaenerion angustifolium (L.) Scop." Molecules 28, no. 19: 6978. https://doi.org/10.3390/molecules28196978
APA StyleKoigerova, A., Gosteva, A., Samarov, A., & Tsvetov, N. (2023). Deep Eutectic Solvents Based on Carboxylic Acids and Glycerol or Propylene Glycol as Green Media for Extraction of Bioactive Substances from Chamaenerion angustifolium (L.) Scop. Molecules, 28(19), 6978. https://doi.org/10.3390/molecules28196978










