Next Article in Journal
The Use of Iron-Doped Anatase TiO2 Nanofibers for Enhanced Photocatalytic Fenton-like Reaction to Degrade Tylosin
Previous Article in Journal
Sensitive Silver-Enhanced Microplate Apta-Enzyme Assay of Sb3+ Ions in Drinking and Natural Waters
 
 
Font Type:
Arial Georgia Verdana
Font Size:
Aa Aa Aa
Line Spacing:
Column Width:
Background:
Article

Synthesis and Characterization of New Spirooxindoles Including Triazole and Benzimidazole Pharmacophores via [3+2] Cycloaddition Reaction: An MEDT Study of the Mechanism and Selectivity

by
Saeed Alshahrani
1,
Abdullah Mohammed Al-Majid
1,
Abdullah Saleh Alamary
1,
M. Ali
1,
Mezna Saleh Altowyan
2,
Mar Ríos-Gutiérrez
3,
Sammer Yousuf
4 and
Assem Barakat
1,*
1
Department of Chemistry, College of Science, King Saud University, P.O. Box 2455, Riyadh 11451, Saudi Arabia
2
Department of Chemistry, College of Science, Princess Nourah bint Abdulrahman University, P.O. Box 84428, Riyadh 11671, Saudi Arabia
3
Department of Organic Chemistry, University of Valencia, Dr. Moliner 50, 46100 Burjassot, Valencia, Spain
4
H.E.J. Research Institute of Chemistry, International Centre for Chemical and Biological Sciences, University of Karachi, Karachi 75270, Pakistan
*
Author to whom correspondence should be addressed.
Molecules 2023, 28(19), 6976; https://doi.org/10.3390/molecules28196976
Submission received: 1 August 2023 / Revised: 1 October 2023 / Accepted: 4 October 2023 / Published: 8 October 2023

Abstract

:
A new series of spirooxindoles based on benzimidazole, triazole, and isatin moieties were synthesized via a [3+2] cycloaddition reaction protocol in one step. The single X-ray crystal structure of the intermediate triazole-benzimidazole 4 was solved. The new chemical structures of these spirooxindole molecules have been achieved for the first time. The final synthesized chemical architecture has differently characterized electronic effects. An MEDT study of the key 32CA reaction between in situ generated azomethine ylide (AY) and chalcones explained the low reaction rates and the total selectivities observed. The supernucleophilic character of AY and the strong electrophilicity of chalcones favor these reactions through a highly polar two-stage one-step mechanism in which bond formation at the β-conjugated carbon of the chalcones is more advanced. The present combined experimental and theoretical study reports the synthesis of new spirooxindoles with potential biological activities and fully characterizes the molecular mechanisms for their formation through the key 32CA reaction step.

1. Introduction

There are excellent moieties in spiro-heterocyclic compounds that have garnered the attention of researchers due to their numerous biological activities. Among these moieties, the 1,2,3-triazole moiety represents an important class of pharmacophore in medicinal chemistry with a wide range of biological activities, such as antimicrobial, anticancer, anti-inflammatory, and antiviral activity, among others. Because of their higher stability toward light, oxygen, moisture, and metabolism in the body, they are useful building blocks in chemistry and play an important role in pharmacological applications [1,2,3,4]. On the other hand, isatin derivatives have recently drawn considerable attention from researchers worldwide due to their wide applications as anti-HIV, anti-tubercular, sedative, hypnotic, and anticancer agents [5,6]. The important biological activities of both isatin and triazole derivatives as discussed above impelled us to take up the synthesis of these new combined heterocycles, which are likely to have augmented, diverse types of biological activity.
To develop potent anticancer candidates, Bin Yu et al. [4] reported, in 2016, a series of new isatin/triazole conjugates with anti-proliferative activity and evaluated their cytotoxic potential against MGC-803 and MCF-7 (breast) cells. Some of these conjugates are shown in Figure 1 (compounds IIII). These compounds showed selective inhibition toward MGC-803 cells and were less toxic to normal cells HL-7702 and GES-1. Of these compounds, compound IV showed the best inhibitory activity against MGC-803 cells (IC50 = 9.78 µM), induced apoptosis through multiple mechanisms, and inhibited the migration of MGC-803 cells.
Senwar et al. [7], in 2015, synthesized a series of new spirooxindole-derived morpholine-fused-1,2,3-triazole derivatives from isatin spiro-epoxides. These compounds were evaluated for their antiproliferative activity against lung (A549), breast (MCF–7), cervical (HeLa), and prostate (DU–145) tumor cell lines. Among the tested compounds, V–VIII (see Figure 1) showed potent growth inhibition against the A549 cell line, with IC50 values in the range of 1.87–4.36 µM, and decreased migration potential, constituting results that are comparable to those obtained for the reference standards 5-flourouracil and doxorubicin. In another study, Kishore Kumar et al. [8], in 2016, synthesized and developed a new series of 1,2,3-triazole derivatives. The products were tested for their anti-inflammatory activity in vivo. The several tested compounds demonstrated potent anti-inflammatory activity compared to the reference drug ibuprofen [8]. In 2016, Rajeswari et al. [9] developed an efficient, one-pot, four-component condensation procedure for the synthesis of selective spirooxindole-pyrrolizine-linked 1,2,3-triazole conjugates via a [3+2] cycloaddition (32CA) reaction using coumarin-3-carboxylic acid, N-propargylated isatin, L-proline/sarcosine, and aryl azides and using Cu(I) as a catalyst in the presence of glacial CH3COOH at 60 °C [9]. In 2019, Malarkodi et al. [10] synthesized and compared 3’-(1-benzyl-5-methyl-1H-1,2,3-triazole-4carbonyl)-1’methyl-4’-phenyl-2H-spiro[acenaphthylene-1,2’-pyrrolidin]-2-one (BTANP) against a few bacterial and fungal strains as well as standard drugs. In addition, molecular docking mockups were developed on BTANP against topoisomerase II gyrase and human lanosterol 14 α demethylase enzymes [10].
Recently, Barakat et al. reported the synthesis of new spirooxindoles, IX, with the triazole moiety and a ferrocene scaffold using the 32CA reaction approach, and their mechanism was studied via molecular electron density theory (MEDT) [11,12]. Another representative example is the spirooxindole with a benzimidazole scaffold (see SP1 in Figure 1), which has been extensively studied and has shown to be a potent anti-cancer agent [13]. In continuation of our research program about spirooxindoles [14,15,16], we report herein the synthesis of new spiro compounds containing benzimidazole and 1,2,3–triazole scaffolds as well as the theoretical study of the reaction mechanisms of these relevant 32CA reactions based on MEDT [17].

2. Results and Discussion

1,2,3-Triazoles represent an important class of heterocyclic compounds with a wide range of biological activities, constituting useful building blocks in chemistry and pharmacological applications. In this context, an attempt was made to synthesize a novel series of spiro compounds having a triazole nucleus combined with the benzimidazole scaffold, as depicted in Scheme 1.

2.1. Synthesis of Chalcones (5a-n)

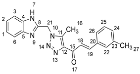
The four steps of the synthesis of the target α,β-unsaturated compounds (5a-n) are presented in (Scheme 1). The first step was to synthesize 2-(chloromethyl) benzimidazole (2) via the Phillip’s reaction, involving the condensation of o-phenylenediamine with chloroacetic acid in the presence of dilute hydrochloric acid. The second step was the reaction of a mixture of 2-(chloromethyl) benzimidazole (1.0 equiv.) and sodium azide (1.1 equiv.) in DMSO (15 mL), followed by stirring at room temperature. The reaction was completed in 3 h, affording 2-(azidomethyl) benzimidazole (3) in a 75% yield (1HNMR and 13CNMR data provided in Supplementary materials; Figures S1 and S2). In the third step, we used the cycloaddition reaction between 2-(azidomethyl) benzimidazole and acetylacetone in DMSO in the presence of an equimolar amount of K2CO3 at 25 °C (3 h); in this case, the yield of 1,2,3-triazole compound (4) was 85%, which is required for preparing chalcone derivatives.
As shown in Scheme 1, in the last step, a mixture of 1,2,3-triazolyl ketone (4, 1.0 eq), aromatic aldehydes (1.1 eq) and a 10% solution of KOH in ethanol (20 mL) was stirred at room temperature. The reaction was completed in 5–10 h, affording 1,2,3-triazolyl chalcone derivatives (5a-n) in an 81–97% yield. Thus, the diversity points in this scheme are the aromatic substituents in the 1,2,3-triazolyl chalcones, which are later used in the production of a variety of spiro compounds. The structures of the synthesized compounds were assigned based on spectroscopy techniques, including IR spectral analyses, 1H- and 13C-NMR, and CHN analysis, which showed that the synthesized structures had high consistency with the proposed chemical structures. The 1H-NMR spectrum of azide compound (3) showed the assigned protons and matched with the proposed structure (Figure S1). A singlet at δ 12.57 ppm was assigned to the -NH proton, and a singlet at δ 4.64 ppm was assigned to the –CH2 protons. The 13C-NMR spectrum showed the characteristic carbon signals of the proposed compound (Figure S2). Similarly, for 1,2,3-triazolyl ketone (4), the corresponding 1H-NMR spectrum (Figure S3) exhibited a singlet in the region at δ 12.62 ppm for one proton of the –NH group of benzimidazole, a singlet in the region at δ 5.86 ppm related to the two protons of the –CH2 group that was apparent, and two singlets at δ 2.54 ppm and δ 2.53 ppm corresponding to the protons present in the two methyl groups –CH3 and –COCH3, respectively. The 13C-NMR spectrum (Figure S4) exhibited a signal at δ 193.88 ppm for one carbon of the C=O group and two carbon signals for –COCH3 and –CH3 groups at δ 27.99 and 9.37 ppm, respectively. Additionally, compound (4) was obtained in a crystalline form suited for single-crystal X-ray diffraction analysis. Similarly, the proposed structures of 1,2,3-triazolyl chalcones (5a-n) were confirmed using the same spectroscopic analysis tools. The infrared (IR) spectrum (Figure S10) data for compound 5f supported the proposed structure of the compound. In the IR spectrum, (C=O) stretching was found in the expected region at 1666 cm−1. In addition, the derivative showed a typical absorption band due to (–NH) at 3430 cm−1. The 1H-NMR spectrum (Figure S11) of compound (5f) exhibited a singlet at δ 12.63 ppm for the –NH proton and two doublet peaks at δ 7.88 ppm and 7.75 ppm for the α,β-unsaturated protons Hβ and Hα, respectively, with a J value of 16 Hz, confirming trans coupling and indicating the presence of olefinic protons in the E form. The 13C-NMR spectrum (Figure S12) showed the characteristic carbon signals of the proposed compound 5f.

2.2. Synthesis of Spiro Compounds (8a-n)

Spiro compounds (8a-n) were synthesized via a three-component reaction in which the 32CA reaction between 1,2,3 triazolyl chalcones (5a-n) and the azomethine ylide (AY), generated by the interaction between isatin and octahydroindole-2-carboxylic acid, was a key-reaction step (Scheme 1). All three-component reactions were carried out by heating an equimolar mixture of the chalcones (5a-n), isatin (7), and octahydroindole-2-carboxylic acid (6) in MeOH under reflux conditions for 3–6 h. After the completion of the reaction (which was checked using TLC), the solvent was evaporated, and the cyclized spiro compounds were purified via column chromatography to afford target spiro compounds in a pure form and in a good to excellent yield (60–85%). The structures of the synthesized spiro compounds were characterized using different spectroscopic techniques, such as FT-IR, 1H-NMR, 13C-NMR, and CHN analysis. For example, the FT-IR spectrum (Figure S22) of compound (8f) showed two strong absorption bands at 1724 and 1684 cm−1 corresponding to the oxindole ring carbonyl and the benzimidazole ring carbonyl, respectively. The strongest absorption band appeared at 3428 cm−1 due to the –NH functionality in the oxindole ring and benzimidazole ring. The 1H-NMR spectrum (Figure S23) of compound (8f) showed a singlet at δ 12.48 ppm due to the –NH proton of the benzimidazole ring, a singlet at δ 9.91 ppm due to the –NH proton of the isatin ring, and a multiplet between δ 7.57 and 6.35 ppm due to the presence of aromatic protons. A singlet at δ 5.74 ppm due to –CH2 protons and two singlets at δ 2.23 ppm and δ 1.98 ppm corresponding to protons of the two –CH3 groups were also observed. The 13C-NMR spectrum (Figure S24) showed the characteristic carbon signals of the proposed compound 8f. The final cycloadduct stereochemistry was aligned with and matched a similar type of [3+2] cycloaddition reaction, which proceeded via complete ortho/endo selectivity [13]. Based on the reported X-ray single-crystal structure of the reported compound in Ref. [13] and a comparison of its 1H-NMR spectrum with the 1H-NMR data for compound 8a as an example, we observed that the chemical shifts of the protons for the stereogenic centers totally matched.

2.3. Structural Features

The synthesized 1,2,3-triazolyl ketone (4), a precursor of chalcones 5a-n, crystallizes in tetragonal space group P4(3), having four asymmetric units inside the unit cell (see Figure 2 and Table 1). The compound is a benzimidazole derivative that contains a methyl- and acetaldehyde-substituted triazole at the C8 position having a bond length of 1.450 Å. The nine-membered benzimidazole ring C1-C7/N1/N2 and the triazole ring N3-N5/C9/C10 form a dihedral angle [18] of 81.15°. All the other bond lengths and angles observed were not unusual. The mean plane deviation in the benzimidazole ring C1-C7/N1/N2 was 0.022 Å for C1. The CCDC number for the synthesized 1,2,3-triazolyl ketone (4) is 2282490.

2.4. Supramolecular Features

PLATON [19] analysis revealed the presence of both conventional and non-conventional hydrogen bonding [20]. Generally, this analysis showed that N(1)–H2A···N2, C8–H8AB···O1, and C4–H4···O1 inter-molecular interactions were involved in the unit-cell packing. Among them, the N1–H2A···N2 interaction, involved in connecting molecules along the c-axis, is the strongest one, having a bond distance of 2.06 Å. The O1 carbonyl oxygen of the acetaldehyde moiety is responsible for connecting two molecules along the a-axis via C8–H8AB···O1 and C4–H4···O1 interactions, with hydrogen bond distances of 2.50 and 2.58 Å, respectively (see Table 2). Hence, the unit-cell packing was determined to be two-dimensional, as chain elongation occurred in both a- and c-axis accordingly (see Figure 3).

2.5. MEDT Study of the 32CA Reaction between AY 9 and Chalcone 5a

In order to understand the experimental formation of spiro compounds 8a-n, the 32CA reaction of chalcone 5a with AY 9, generated in situ through the reaction between (2R)-octahydro-1H-indole-2-carboxylic acid 6 and isatin 7, was theoretically studied from the perspective of MEDT [17].

2.5.1. Analysis of Reactivity Indicators

The reactivity indices defined within Conceptual DFT (CDFT) [21,22] provide valuable insights into the prediction and comprehension of reactivity in polar reactions [23]. Table 3 summarizes the global reactivity indices, including the electronic chemical potential (μ), chemical hardness (η), electrophilicity (ω), and nucleophilicity (N), for both AY 9 and chalcone 5a.
The electronic chemical potential (μ) [24] of AY 9 is −2.92 eV, which is higher than that of chalcone 5a (−4.46 eV). This disparity indicates that in a polar 32CA reaction, a global electron density transfer (GEDT) [25] will occur between AY 9 and chalcone 5a. Consequently, AY 9 acts as a nucleophile, while chalcone 5a serves as an electrophile, classifying the corresponding 32CA reaction as a forward electron density flux (FEDF) process [26].
AY 9 exhibits an electrophilicity (ω) index [27] of 0.61 eV, categorizing it as a moderate electrophile according to the electrophilicity scale [22,28]. Additionally, it possesses a nucleophilicity (N) index [29] of 5.02 eV, classifying it as a strong nucleophile based on the nucleophilicity scale [22,28]. In fact, its nucleophilic character exceeds 4.0 eV, earning it the title of a supernucleophile [23,28]. On the other hand, chalcone 5a presents electrophilicity (ω) and nucleophilicity (N) indices of 1.25 eV and 2.96 eV, respectively. This characterizes it as a strong electrophile and positions it at the borderline between moderate and strong nucleophiles.
The combination of the supernucleophilic character of AY 9 and the strong electrophilic character of chalcone 5a suggests that the corresponding FEDF 32CA reaction will possess a highly polar character [23]. This heightened polarity enhances reaction rates by reducing activation energies due to the generation of more favorable nucleophilic/electrophilic interactions.

2.5.2. Study of the Competitive Reaction Paths

Due to the non-symmetry of the reagents, the 32CA reaction between AY 9 and chalcone 5a can take place along two ortho/meta regioisomeric reaction paths, two endo/exo stereoisomeric paths, and two facial diastereoisomeric paths, thus leading to up to eight different cycloadducts. However, as the octahydroindole substituent of AY 9 hinders one of its two diastereoisomeric faces, only the less-hindered approach leading to the four isomeric reaction paths depicted in Scheme 2 was studied. For clarity, a reaction mechanism roadmap showing the main isomeric possibilities is provided in Figure S32 in the Supplementary Materials. Note that due to the presence of a methylene (–CH2) in chalcone 5a, the benzimidazole (–BIZ) substituent can be oriented either towards or away from AY 9, thus adding four possible isomeric paths. All of the eight paths were studied, but only the most favourable ones, with the –BIZ fragment situated away from the AY framework, are discussed herein. In addition, a conformational analysis of the reagents and products was performed whenever different conformers were possible in order to consider only the most stable structures. The Gibbs free energy profiles associated with the four competitive reaction paths are represented in Figure 4, while full thermodynamic data are given in Table S1 in the Supplementary Materials.
Upon analyzing the stationary points along the four reaction paths, it becomes evident that the 32CA reaction occurs through a one-step mechanism. Each reaction path exhibits a stable molecular complex (MC) formed through weak intermolecular interactions between the reagents. However, due to the thermodynamic equilibrium between the several MCs, only the most stable complex, MC-on, was chosen as the energy reference. The formation of MC-on is slightly exergonic, releasing 1.2 kcal·mol−1 of energy (see Figure 4). Considering the formation of MC-on, the activation Gibbs free energies for the selected isomeric paths range from 11.1 kcal·mol−1 (TS-on) to 16.6 kcal·mol−1 (TS-mx). On the other hand, the reaction Gibbs free energies fall between −18.1 kcal·mol−1 (10a) and −24.0 kcal·mol−1 (8a). The highly exergonic nature of this reaction suggests irreversibility under the experimental conditions, indicating that the reaction is controlled kinetically. Using the Eyring–Polanyi kinetics equation [30], the following product distribution was predicted: 97.0% (8a), 0.1% (10a), 2.8% (11a), and 0.0% (12a). This demonstrates complete ortho/endo selectivity, exclusively yielding the formation of 8a through TS-on, aligning with the experimental data.
Figure 5 presents the optimized geometries of the four isomeric transition states (TSs) in methanol. The C–C distances between the interacting carbons provide insights into the C–C single-bond formation processes. Except for the most unfavorable TS-mx, the other three TSs exhibit an asynchronous behavior, with the shorter C–C distance involving the most electrophilic β-conjugated C4 carbon of chalcone 5a. The most favorable TS-on, characterized by C3–C4 and C1–C5 distances of 2.094 and 2.711 Å, respectively, has the highest degree of asynchronicity. Examining the intrinsic reaction coordinate (IRC) path [31] from the highly asynchronous TS-on to 8a reveals that the 32CA reaction follows a non-concerted two-stage, one-step mechanism [32]. In this mechanism, the formation of the second C1–C5 single bond commences only after the first C3–C4 single bond is fully formed (see Figure S33 in the Supplementary Materials).
Figure 5 also provides the GEDT [25] values for the four isomeric TSs. The GEDT taking place in the TS is a measure of the polarity of the 32CA reaction. GEDT values below 0.05 e indicate non-polar processes, while values above 0.20 e indicate polar processes. Among the TSs, the most favorable TS-on exhibits a GEDT value of 0.27 e. This high value arises from the supernucleophilic nature of AY 9 and the strong electrophilic character of chalcone 5a (refer to Table 3). Consequently, the 32CA reaction through TS-on possesses a significant polar character, which accounts for its low activation Gibbs free energy of 11.1 kcal·mol−1 and the overall endo stereoselectivity observed. Note that polar cycloaddition reactions typically exhibit endo stereoselectivity. Furthermore, the positive GEDT sign computed at the AY framework of the TS indicates an electron density flow from AY 9 to chalcone 5a, classifying this 32CA reaction as FEDF, [26] in accordance with the previous analysis of the reactivity indices.

3. Materials and Methods

3.1. Synthesis of Chalcones (5a-n) and Spiro Compounds (8a-n)

3.1.1. Synthesis of 2-(Chloromethyl)-1H-benzo[d]imidazole 2

In accordance with the Phillip’s reaction, a mixture of o-phenylenediamine (10 mmol, 1.08 g) and chloroacetic acid (10 mmol, 0.945 g) was stirred under reflux conditions in the presence of 4N HCl (40 mL) for approximately 4 h. Then, the reaction mixture was cooled at room temperature, and the pH was adjusted to 9 by adding NH4OH solution. The obtained precipitate was collected via filtration, washed with water, dried, and recrystallized from ethanol. The pure product was a pale-yellow-colored solid whose melting point was approximately 150–152 °C, and the yield was 92%.

3.1.2. Synthesis of 2-(Azidomethyl)-1H-benzo[d]imidazole 3

NaN3 (11 mmol, 0.715 g) was added to a solution of 2-(chloromethyl)-1H-benzo[d]imidazole 2 (10 mmol, 1.66 g) in DMSO (10 mL), and the mixture was stirred for 3–4 h. After completion of reaction (as indicated via TLC), water (50 mL) was added with consistent stirring for 10 min. Then, the organic phase was separated using ethyl acetate. The extract was dried over anhydrous sodium sulphate. Evaporation of the solvent gave the crude product which was purified via column chromatography using hexane: ethylacetate (80:20), as an eluent, which was recrystallized from absolute ethanol.
Molecules 28 06976 i001
Yield: 75%; m.p.: 119–121 °C; a pale-yellow-colored solid compound; 1H-NMR (500 MHz, DMSO-d6) δ 12.57 (s, 1H, NH), 7.52–7.50 (m, 2H, ArH), 7.16–7.13 (m, 2H, ArH), and 4.64 (s, 2H, CH2); 13C-NMR (126 MHz, DMSO-d6) δ 149.8 (C-8), 134.4 (C-5), 122.5 (C-4), 118.6 (C-6), 113.9 (C-3), 109.4 (C-2, C-1), and 47.8 (C-10); Anal. for C8H7N5; Calcd: C, 55.48; H, 4.07; N, 40.44 Found: C, 55.52; H, 4.03; N, 40.38; [M+] m/z: 173.

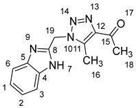
3.1.3. Synthesis of 1-(1-((1H-Benzo[d]imidazol-2-yl)methyl)-5-methyl-1H-1,2,3-triazol-4-yl)ethan-1-one 4

2-(Azidomethyl)-1H-benzo[d]imidazole 3 (2 mmol, 0.346 g) was added to a solution of (2 mmol, 0.2 g) of acetylacetone and (2 mmol, 0.276 g) of K2CO3 in 10 mL of DMSO. The mixture was stirred for 3 h at 25 °C and poured into ice water, and the precipitate was filtered off and recrystallized from ethylacetate/ethanol. The yield was 0.4 g (78%) of white crystalline compound 4.
Molecules 28 06976 i002
Yield: 78%; m.p.: 192–194 °C; a white, solid compound; 1H-NMR (500 MHz, DMSO-d6) δ 12.62 (s, 1H, NH), 7.49 (m, 2H, ArH), 7.14 (m, 2H, ArH), 5.86 (s, 2H, CH2), 2.54 (s, 3H, CH3), and 2.53 (s, 3H, COCH3). 13C-NMR (126 MHz, DMSO-d6) δ 193.9 (C-15), 148.5 (C-11), 143.4 (C-8), 138.6 (C-5), 134.0 (C-4), 123.2 (C-12), 122.1 (C-2, C-1), 119.4 (C-6), 112.1 (C-3), 45.9 (C-19), 28.0 (C-18), and 9.4 (C-16); Anal. for C13H13N5O; Calcd: C, 61.17; H, 5.13; N, 27.43 Found: C, 61.12; H, 5.08; N, 27.39; [M+] m/z: 255.

3.1.4. General Procedure for Synthesis of Chalcones 5a-n

A mixture of 1.1 mmol of aromatic aldehydes was added to a solution of acetyl derivative 4 (1 mmol, 0.255 g) in EtOH (20 mL). Then, a 10% solution of KOH was added dropwise at 20 °C with stirring. The reaction mixture was stirred for 10 h. After the completion of the reaction (monitored via TLC), the mixture was poured over crushed ice. The separated precipitate was filtered, washed with water, and dried. The residue was purified via column chromatography (30% ethyl acetate/n-hexane) to afford purely derived chalcones 5a-n.
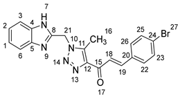
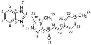
1-(1-((1H-Benzo[d]imidazol-2-yl)methyl)-5-methyl-1H-1,2,3-triazol-4-yl)-3-phenylprop-2-en-1-one 5a.
Molecules 28 06976 i003
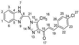
Yield: 83%; m.p.: 158–160 °C; a yellow, solid compound; 1H-NMR (500 MHz, DMSO-d6) δ 12.64 (s, 1H, NH), 7.94 (d, J = 16.0 Hz, 1H, CHβ), 7.83–7.73 (m, 4H, ArH, CHα), 7.42 (m, 4H, ArH), 7.18–7.12 (m, 2H, ArH), 5.91 (s, 2H, CH2), 2.63 (s, 3H, CH3); 13C-NMR (126 MHz, DMSO-d6) δ 183.9 (C-15), 148.5 (C-11), 143.6 (C-19), 143.5 (C-8), 143.4 (C-5), 139.9 (C-4), 135.1 (C-20), 134.9 (C-12), 131.3 and 130.0 (C-26, (C-22), 129.8 (C-24), 129.7 and 129.6 ((C-23, C-25), 129.2 (C-2), 123.3 (C-1), 122.2 (C-18), 119.4 (C-6), 112.1 (C-3), 46.0 (C-21), and 9.6 (C-16); Anal. for C20H17N5O; Calcd: C, 69.96; H, 4.99; N, 20.40 Found: C, 69.92; H, 5.03; N, 20.35; [M+] m/z: 343; IR (KBr, cm−1): 1572 (C=N), 1663 (C=O), 3431 (NH).
1-(1-((1H-Benzo[d]imidazol-2-yl)methyl)-5-methyl-1H-1,2,3-triazol-4-yl)-3-(4-methoxyphenyl)prop-2-en-1-one 5b.
Molecules 28 06976 i004
Yield: 94%; m.p.: 215–217 °C; a yellow, solid compound; 1H-NMR (500 MHz, DMSO-d6) δ 12.69 (s, 1H, NH), 7.83 (d, J = 10.3 Hz, 1H, CHβ), 7.77 (m, 2H, ArH, CHα), 7.59 (d, J = 8.1 Hz, 1H, ArH), 7.50 (d, J = 7.3 Hz, 1H, ArH), 7.27–7.11 (m, 3H, ArH), 7.02 (d, J = 8.8 Hz, 2H, ArH), 5.95 (s, 2H, CH2), 3.82 (s, 3H, OCH3), and 2.67 (s, 3H, CH3); 13C-NMR (126 MHz, DMSO-d6) δ 183.9 (C-15), 162.0 (C-24), 148.6 (C-11), 143.8 (C-19), 143.5 (C-8), 143.4 (C-5), 139.7 (C-4), 134.9 (C-12), 131.2 and 127.6 (C-26, C-22), 123.2 (C-20), 122.2 (C-2), 120.9 (C-1), 119.5 (C-18), 115.2 (C-6, C-3), 112.2 (C-25, C-23), 56.0 (C-27), 46.0 (C-21), and 9.6 (C-16); Anal. for C21H19N5O2; Calcd: C, 67.55; H, 5.13; N, 18.76 Found: C, 67.64; H, 5.10; N, 18.69; [M+] m/z: 373; IR (KBr, cm−1): 1568 (C=N), 1665 (C=O), 3432 (NH).
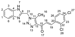
1-(1-((1H-Benzo[d]imidazol-2-yl)methyl)-5-methyl-1H-1,2,3-triazol-4-yl)-3-(2,4-dichlorophenyl)prop-2-en-1-one 5c.
Molecules 28 06976 i005
Yield: 88%; m.p.: 182–185 °C; a yellow, solid compound; 1H-NMR (500 MHz, DMSO-d6) δ 12.60 (s, 1H, NH), 8.03 (d, J = 12.1 Hz, 1H, CHβ), 7.97 (d, J = 12.9 Hz, 1H, CHα), 7.83 (d, J = 8.4 Hz, 1H, Ar-H), 7.58 (d, J = 8.4 Hz, 2H, Ar-H), 7.06–7.01 (m, 3H, Ar-H), 6.86 (d, J = 8.4 Hz, 1H, Ar-H), 5.92 (s, 2H, CH2), and 2.63 (s, 3H, CH3); 13C-NMR (126 MHz, DMSO-d6) δ 189.4 (C-15), 149.6 (C-11), 148.4 (C-19), 144.6 (C-8), 143.4 (C-5), 143.2 (C-4), 140.4 (C-22), 138.9 (C-12), 137.1 (C-20), 131.7 (C-28), 130.8 (C-23), 130.2 (C-25), 129.6 (C-24), 128.8 (C-2), 128.7 (C-1), 125.6 (C-18), 122.2 (C-6, C-3), 45.9 (C-21), and 9.6 (C-16); Anal. for C20H15Cl2N5O; calcd: C, 58.27; H, 3.67; N, 16.99 Found: C, 58.22; H, 3.63; N, 16.94; [M+] m/z: 411; IR (KBr, cm−1): 1570 (C=N), 1664 (C=O), 3430 (NH).
1-(1-((1H-Benzo[d]imidazol-2-yl)methyl)-5-methyl-1H-1,2,3-triazol-4-yl)-3-(4-chlorophenyl)prop-2-en-1-one 5d.
Molecules 28 06976 i006
Yield: 84%; m.p.: 200–202 °C; a pale-yellow, solid compound; 1H-NMR (500 MHz, DMSO-d6) δ 12.63 (s, 1H, NH), 7.93 (d, J = 16.1 Hz, 1H, CHβ), 7.81 (d, J = 8.6 Hz, 2H, ArH), 7.77 (d, J = 16.1 Hz, 1H, COCHα), 7.53 (d, J = 7.9 Hz, 1H, ArH), 7.48 (d, J = 8.6 Hz, 2H, ArH), 7.45 (d, J = 7.9 Hz, 1H, ArH), 7.17 (t, J = 7.5 Hz, 1H, ArH), 7.12 (t, J = 7.5 Hz, 1H, ArH), 5.91 (s, 2H, CH2), and 2.62 (s, 3H, CH3); 13C-NMR (126 MHz, DMSO-d6) δ 183.8 (C-15), 148.5 (C-11), 143.6 (C-19), 143.4 (C-8), 142.1 (C-5), 140.0 (C-4), 135.8 (C-24), 134.9 (C-20), 133.9 (C-12), 131.0 (C-22, C-28), 129.7 (C-25, C-23), 124.0 (C-2), 123.2 (C-1), 122.1 (C-18), 119.4 (C-6), 112.1 (C-3), 46.0 (C-21), and 9.6 (C-16); Anal. for C20H16ClN5O; Calcd: C, 63.58; H, 4.27; N, 18.54 Found: C, 63.61; H, 4.21; N, 18.59; [M+] m/z: 377; IR (KBr, cm−1): 1567 (C=N), 1665 (C=O), 3433 (NH).
1-(1-((1H-Benzo[d]imidazol-2-yl)methyl)-5-methyl-1H-1,2,3-triazol-4-yl)-3-(4-fluorophenyl)prop-2-en-1-one 5e.
Molecules 28 06976 i007
Yield: 98%; m.p.: 220–222 °C; a pale-yellow, solid compound; 1H-NMR (500 MHz, DMSO-d6) δ 12.63 (s, 1H, NH), 7.88 (d, J = 16.0 Hz, 1H, CHβ), 7.85 (dd, J = 6.0, 2.8 Hz, 2H, ArH), 7.78 (d, J = 16.0 Hz, 1H, COCHα), 7.54–7.44 (m, 2H, ArH), 7.26 (t, J = 8.8 Hz, 2H, ArH), 7.17–7.11 (m, 2H, ArH), 5.91 (s, 2H, CH2), and 2.62 (s, 3H, CH3); 13C-NMR (126 MHz, DMSO-d6) δ 183.8 (C-15), 165.0 and 163.0 (C-24), 148.5 (C-11), 143.6 (C-19), 142.3 (C-8), 139.9 (C-5), 131.7 (C-4), 131.6 (C-12), 123.2 (C-20), 122.2 (C-26, C-22), 119.4 (C-2, C-1), 116.7 (C-18), 116.6 (C-6, C-3), 112.1 (C-25, C-23), 46.0 (C-21), and 9.6 (C-16); Anal. for C20H16FN5O; Calcd: C, 66.47; H, 4.46; N, 19.38 Found: C, 66.41; H, 4.49; N, 19.43; [M+] m/z: 361; IR (KBr, cm−1): 1568 (C=N), 1661 (C=O), 3431 (NH).
1-(1-((1H-benzo[d]imidazol-2-yl)methyl)-5-methyl-1H-1,2,3-triazol-4-yl)-3-(p-tolyl)prop-2-en-1-one 5f.
Molecules 28 06976 i008
Yield: 84%; m.p.: 207–209 °C; a yellow, solid compound; 1H-NMR (500 MHz, DMSO-d6) δ 12.63 (s, 1H, NH), 7.88 (d, J = 16.0 Hz, 1H, CHβ), 7.75 (d, J = 16.0 Hz, 1H, COCHα), 766 (d, J = 8.1 Hz, 2H, ArH), 7.54 (d, J = 7.6 Hz, 1H, ArH), 7.45 (d, J = 7.6 Hz, 1H, ArH), 7.24 (d, J = 8.1 Hz, 2H, ArH), 7.16 (t, J = 7.5 Hz, 1H, ArH), 7.14 (t, J = 7.5 Hz, 1H, ArH), 5.91 (s, 2H, CH2), 2.62 (s, 3H, CH3), and 2.31 (s, 3H, Ph-CH3); 13C-NMR (126 MHz, DMSO-d6) δ 183.9 (C-15), 148.5 (C-11), 143.7 (C-19), 143.6 (C-8), 143.4 (C-5), 141.4 (C-4), 139.8 (C-24), 134.9 (C-20), 132.2 (C-25), 130.3 (C-23), 129.3 (C-26), 123.2 (C-22), 122.3 (C-2), 122.1 (C-1), 119.4 (C-18), 112.1 (C-6, C-3), 46.0 (C-21), 21.6 (C-27), and 9.6 (C-16); Anal. for C21H19N5O; Calcd: C, 70.57; H, 5.36; N, 19.59 Found: C, 70.62; H, 5.40; N, 19.54; [M+] m/z: 357; IR (KBr, cm−1): 1569 (C=N), 1666 (C=O), 3430 (NH).
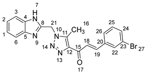
1-(1-((1H-Benzo[d]imidazol-2-yl)methyl)-5-methyl-1H-1,2,3-triazol-4-yl)-3-(4-bromophenyl)prop-2-en-1-one 5g.
Molecules 28 06976 i009
Yield: 82%; m.p.: 194–196 °C; a yellow, solid compound; 1H-NMR (500 MHz, DMSO-d6) δ 12.61 (s, 1H, NH), 7.89 (d, J = 16.1 Hz, 1H, CHβ), 7.83 (d, J = 8.5 Hz, 2H, ArH), 7.76 (d, J = 16.1 Hz, 1H, COCHα), 7.55 (d, J = 8.0 Hz, 1H, ArH), 7.46 (d, J = 8.5 Hz, 2H, ArH), 7.45 (d, J = 8.0 Hz, 1H, ArH), 7.16 (t, J = 7.5 Hz, 1H, ArH), 7.13 (t, J = 7.5 Hz, 1H, ArH), 5.92 (s, 2H, CH2), and 2.61 (s, 3H, CH3); 13C-NMR (126 MHz, DMSO-d6) δ 184.8 (C-15), 149.5 (C-11), 142.6 (C-19), 142.2 (C-8), 140.1 (C-5), 134.8 (C-4), 133.9 (C-20), 132.9 (C-25), 131.0 (C-23), 129.6 (C-12), 124.0 (C-26), 123.2 (C-22), 122.1 (C-2, C-1), 119.4 (C-18), 118.6 (C-24), 112.1 (C-6, C-3), 46.1 (C-21), and 9.6 (C-16); Anal. for C20H16BrN5O; Calcd: C, 56.89; H, 3.82; N, 16.58 Found: C, 56.85; H, 3.86; N, 16.55; [M+] m/z: 421; IR (KBr, cm−1): 1573 (C=N), 1664 (C=O), 3433 (NH).
1-(1-((1H-Benzo[d]imidazol-2-yl)methyl)-5-methyl-1H-1,2,3-triazol-4-yl)-3-(m-tolyl)prop-2-en-1-one 5h.
Molecules 28 06976 i010
Yield: 93%; m.p.: 220–222 °C; a pale-yellow, solid compound; 1H-NMR (500 MHz, DMSO-d6) δ 12.63 (s, 1H, NH), 7.92 (d, J = 16.0 Hz, 1H, CHβ), 7.75 (d, J = 16.0 Hz, 1H, COCHα), 7.60 (s, 1H, ArH), 7.54 (dd, J = 7.9, 3.7 Hz, 2H ArH), 7.46 (d, J = 7.5 Hz, 1H, ArH), 7.31 (t, J = 7.6 Hz, 1H ArH), 7.24 (d, J = 8.7 Hz, 1H, ArH), 7.17 (t, J = 7.6 Hz, 1H, ArH), 7.12 (t, J = 7.6 Hz, 1H, ArH), 5.91 (s, 2H, CH2), 2.62 (s, 3H, CH3), and 2.32 (s, 3H, CH3); 13C-NMR (126 MHz, DMSO-d6) δ 183.9 (C-15), 148.5 (C-11), 143.6 (C-19), 143.4 (C-8), 139.9 (C-5), 138.9 (C-4), 134.9 (C-23), 132.1 (C-20), 129.5 (C-12), 129.4 (C-25), 126.7 (C-24), 123.2 (C-22), 123.1 (C-26), 122.1 (C-2, C-1), 119.4 (C-18), 112.1 (C-6, C-3), 46.0 (C-21), 21.4 (C-27), and 9.6 (C-16); Anal. for C21H19N5O; Calcd: C, 70.57; H, 5.36; N, 19.59 Found: C, 70.62; H, 5.31; N, 19.54; [M+] m/z: 357; IR (KBr, cm−1): 1567 (C=N), 1666 (C=O), 3431 (NH).
1-(1-((1H-Benzo[d]imidazol-2-yl)methyl)-5-methyl-1H-1,2,3-triazol-4-yl)-3-(thiophen-2-yl)prop-2-en-1-one 5i.
Molecules 28 06976 i011
Yield: 95%; m.p.: 212–214 °C; a pale-yellow, solid compound; 1H-NMR (500 MHz, DMSO-d6) δ 12.62 (s, 1H, NH), 7.95 (d, J = 15.8 Hz, 1H, CHβ), 7.75 (d, J = 5.1 Hz, 1H, thiophene), 7.63 (d, J = 15.8 Hz, 1H, COCHα), 7.62 (d, J = 5.1 Hz, 1H, thiophene), 7.53 (d, J = 7.8 Hz, 1H, ArH), 7.45 (d, J = 7.8 Hz, 1H, ArH), 7.18–7.15 (m, 2H, ArH, thiophene), 7.11 (t, J = 7.5 Hz, 1H, ArH), 5.90 (s, 2H, CH2), 2.61 (s, 3H, CH3); 13C-NMR (126 MHz, DMSO-d6) δ 183.3 (C-15), 148.5 (C-11), 143.5 (C-8), 143.4 (C-20), 140.2 (C-5), 139.8 (C-4), 136.3 (C-19), 134.9 (C-12), 134.0 (C-24), 130.9 (C-22), 129.4 (C-23), 123.2 (C-18), 122.1 (C-2), 121.6 (C-1), 119.4 (C-6), 112.1 (C-3), 46.0 (C-21), and 9.6 (C-16); Anal. for C18H15N5OS; Calcd: C, 61.87; H, 4.33; N, 20.04 Found: C, 61.82; H, 4.36; N, 20.07; [M+] m/z: 349; IR (KBr, cm−1): 1567 (C=N), 1665 (C=O), 3428 (NH).
1-(1-((1H-Benzo[d]imidazol-2-yl)methyl)-5-methyl-1H-1,2,3-triazol-4-yl)-3-(3,4,5-trimethoxyphenyl)prop-2-en-1-one 5j.
Molecules 28 06976 i012
Yield: 89%; m.p.: 203–205 °C; a yellow, solid compound; 1H-NMR (500 MHz, DMSO-d6) δ 12.65 (s, 1H, NH), 7.90 (d, J = 16.0 Hz, 1H, CHβ), 7.79 (d, J = 16.0 Hz, 1H, COCHα), 7.61 (d, J = 8.0 Hz, 2H, ArH), 7.24 (d, J = 8.0 Hz, 2H, ArH), 7.12 (s, 2H, ArH), 5.93 (s, 2H, CH2), 3.69 (s, 6H, OCH3), 3.48 (s, 3H, OCH3), and 2.64 (s, 3H, CH3); 13C-NMR (126 MHz, DMSO-d6) δ 185.91 (C-15), 158.33 (C-25, C-23), 148.41 (C-11), 143.65 (C-19), 143.50 (C-8), 143.27 (C-5), 141.42 (C-4), 139.78 (C-24), 134.82 (C-12), 132.21 (C-20), 131.26 (C-2), 129.25 (C-1), 123.14 (C-18), 122.45 (C-6), 121.76 (C-3), 122.11 (C-26), 119.42 (C-22), 60.45 (C-27), 52.12 (C-29, C-28), 45.99 (C-21), and 9.57 (C-16); Anal. for C23H23N5O4; Calcd: C, 63.73; H, 5.35; N, 16.16 Found: C, 63.75; H, 5.31; N, 16.14; [M+] m/z: 433; IR (KBr, cm−1): 1568 (C=N), 1668 (C=O), 3432 (NH).
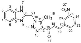
1-(1-((1H-Benzo[d]imidazol-2-yl)methyl)-5-methyl-1H-1,2,3-triazol-4-yl)-3-(3-nitrophenyl)prop-2-en-1-one 5k.
Molecules 28 06976 i013
Yield: 86%; m.p.: 188–190 °C; a brown, solid compound; 1H-NMR (500 MHz, DMSO-d6) δ 12.63 (s, 1H, NH), 8.13–8.02 (m, 2H, ArH), 7.84 (d, J = 16.0 Hz, 1H, CHβ), 7.75 (d, J = 16.0 Hz, 1H, COCHα), 7.61 (d, J = 8.1 Hz, 2H, ArH), 7.59 (d, J = 7.5 Hz, 1H, ArH), 7.55 (d, J = 7.5 Hz, 1H, ArH), 7.24 (d, J = 8.1 Hz, 2H, ArH), 5.95 (s, 2H, CH2), 2.63 (s, 3H, CH3); 13C-NMR (126 MHz, DMSO-d6) δ 185.9 (C-15), 148.5 (C-11), 146.8 (C-25), 143.7 (C-19), 143.4 (C-8), 141.5 (C-5), 139.9 (C-4), 134.9 (C-20), 132.2 (C-22), 130.3 (C-12), 129.3 (C-23), 123.3 (C-24), 122.4 (C-2, C-1), 122.1 (C-26), 119.5 (C-18), 112.2 (C-6, C-3), 46.0 (C-21), and 9.6 (C-16); Anal. for C20H16N6O3; Calcd: C, 61.85; H, 4.15; N, 21.64 Found: C, 61.78; H, 4.10; N, 21.68; [M+] m/z: 388; IR (KBr, cm−1): 1569 (C=N), 1667 (C=O), 3429 (NH).
1-(1-((1H-Benzo[d]imidazol-2-yl)methyl)-5-methyl-1H-1,2,3-triazol-4-yl)-3-(4-(dimethylamino)phenyl)prop-2-en-1-one 5l.
Molecules 28 06976 i014
Yield: 83%; m.p.: 197–198 °C; a red, solid compound; 1H-NMR (500 MHz, DMSO-d6) δ 12.61 (s, 1H, NH), 7.68 (d, J = 6.6 Hz, 2H), 7.61–7.55 (m, 2H), 7.49 (d, J = 3.3 Hz, 2H), 7.14 (dd, J = 6.1, 3.1 Hz, 2H), 6.71 (d, J = 9.1 Hz, 2H), 5.88 (s, 2H, CH2), 2.96 (s, 6H, NCH3), and 2.60 (s, 3H, CH3); 13C-NMR (126 MHz, DMSO-d6) δ 183.6 (C-15), 152.6 (C-24), 148.6 (C-11), 144.5 (C-19), 144.0 (C-8), 139.2 (C-5, C-4), 131.1 (C-12), 122.2 (C-26, C-22), 117.5 (C-20), 112.4 (C-2, C-1), 111.6 (C-25, C-23), 45.9 (C-27), and 9.5 (C-16); Anal. for C22H22N6O; Calcd: C, 68.38; H, 5.74; N, 21.75 Found: C, 68.34; H, 5.69; N, 21.80; [M+] m/z: 386; IR (KBr, cm−1): 1575(C=N), 1669 (C=O), 3434 (NH).
1-(1-((1H-Benzo[d]imidazol-2-yl)methyl)-5-methyl-1H-1,2,3-triazol-4-yl)-3-(3-bromophenyl)prop-2-en-1-one 5m.
Molecules 28 06976 i015
Yield: 95%; m.p.: 185–187 °C; a pale-yellow, solid compound; 1H-NMR (500 MHz, DMSO-d6) δ 12.59 (s, 1H, NH), 7.87 (d, J = 16.1 Hz, 1H, CHβ), 7.81 (d, J = 8.5 Hz, 2H, ArH), 7.74 (d, J = 16.1 Hz, 1H, COCHα), 7.52 (d, J = 8.0 Hz, 1H, ArH), 7.41 (d, J = 8.5 Hz, 2H, ArH), 7.45 (d, J = 8.0 Hz, 1H, ArH), 7.18 (t, J = 7.5 Hz, 1H, ArH), 7.15 (t, J = 7.5 Hz, 1H, ArH), 5.89 (s, 2H, CH2), and 2.63 (s, 3H, CH3); 13C-NMR (126 MHz, DMSO-d6) δ 185.2 (C-15), 149.5 (C-11), 142.6 (C-19), 143.4 (C-8), 142.2 (C-5, C-4), 140.1 (C-12), 134.8 (C-20), 133.9 (C-22), 132.9 (C-24), 131.0 (C-25), 129.6 (C-26), 124.0 (C-2), 123.2 (C-1), 122.1 (C-23), 119.4 (C-18), 112.1 (C-6, C-3), 46.1 (C-21), and 9.6 (C-16); Anal. for C20H16BrN5O; Calcd: C, 56.89; H, 3.82; N, 16.58 Found: C, 56.89; H, 3.78; N, 16.52; [M+] m/z: 421; IR (KBr, cm−1): 1568 (C=N), 1666 (C=O), 3431 (NH).
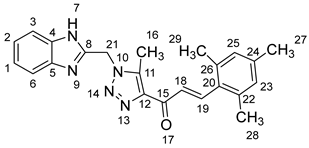
1-(1-((1H-Benzo[d]imidazol-2-yl)methyl)-5-methyl-1H-1,2,3-triazol-4-yl)-3-mesitylprop-2-en-1-one 5n.
Molecules 28 06976 i016
Yield: 92%; m.p.: 195–197 °C; a yellow, solid compound; 1H-NMR (400 MHz, DMSO-d6) δ 12.82 (s, 1H, NH), 7.95 (d, J = 16.1 Hz, 1H, CHβ), 7.62–7.50 (m, 3H, CHα, ArH), 7.20 (m, 2H, ArH), 6.97 (s, 2H, ArH), 5.96 (s, 2H, CH2), 2.67 (s, 3H, CH3), 2.36 (s, 6H, CH3), and 2.25 (s, 3H, CH3); 13C NMR (101 MHz, DMSO-d6) δ 183.9 (C-15), 148.5 (C-11), 143.7 (C-19), 141.3 (C-8), 140.1 (C-5), 138.9 (C-4), 137.6 (C-24), 131.2 (C-26, C-22), 129.9 (C-20), 129.9 (C-12), 127.9 (C-25, C-23), 122.8 (C-2, C-1), 45.9 (C-21), 21.6 (C-27), 21.5 (C-29, C-29), and 9.6 (C-16); Anal. for C23H23N5; Calcd: C,71.67; H,6.01; N,18.17 Found: C,71.63; H,5.97; N, 18.20; [M+] m/z: 385; IR (KBr, cm−1): 1567 (C=N), 1665 (C=O), 3430 (NH).

3.1.5. General Procedure for [3+2] Cycloaddition Reactions for the Synthesis of Spiro Compounds 8a-n

A mixture of the chalcone derivatives 5a-n (0.5 mmol), isatin (0.5 mmol, 73.5 mg), and octahydroindole-2-carboxylic acid (0.5 mmol, 84.5 mg) in methanol (15 mL) was refluxed using an oil bath for an appropriate time of 3–4 h. After completion of the reaction (Monitored using TLC), the solvent volume was removed under vacuum. The crude was purified via column chromatography on silica gel (30% ethyl acetate in n-hexane), yielding the spiro compounds as solids in a pure form.
(1’S,2’R,3S)-2’-(1-((1H-Benzo[d]imidazol-2-yl)methyl)-5-methyl-1H-1,2,3-triazole-4-carbonyl)-1’-phenyl-1’,2’,4a’,5’,6’,7’,8’,8a’,9’,9a’-decahydrospiro[indoline-3,3’-pyrrolo [1,2-a]indol]-2-one 8a.
Molecules 28 06976 i017
Yield: 81%; m.p.: 195–197 °C; a pale-yellow, solid compound; 1H-NMR (500 MHz, DMSO-d6) δ 12.43 (s, 1H, NH), 9.87 (s, 1H, NH), 7.52 (d, J = 8.0 Hz, 1H, ArH), 7.42 (d, J = 8.0 Hz, 1H, ArH), 7.33 (t, J = 7.4 Hz, 2H, ArH), 7.26 (t, J = 7.4 Hz, 2H, ArH), 7.19–7.09 (m, 4H, ArH), 6.89 (t, J = 7.6 Hz, 1H, ArH), 6.81 (t, J = 7.6 Hz, 1H, ArH), 6.29 (d, J = 7.5 Hz, 1H, ArH), 5.69 (s, 2H, CH2), 5.05 (d, J = 12.3 Hz, 1H, COCH), 4.05–3.98 (m, 1H), 3.81 (t, J = 11.1 Hz, 1H), 3.18 (d, J = 7.2 Hz, 1H, aliphatic-H), 2.08–2.01 (m, 1H, aliphatic-H), 1.92 (s, 3H, CH3), 1.83 (dt, J = 12.4, 6.4 Hz, 1H, aliphatic-H), 1.53 (dd, J = 12.1, 6.5 Hz, 1H, aliphatic-H), 1.47–1.37 (m, 2H, aliphatic-H), 1.33–1.24 (m, 2H, aliphatic-H), 1.07–0.95 (m, 2H, aliphatic-H), 0.76 (d, J = 8.8 Hz, 1H, aliphatic-H), and 0.66 (d, J = 11.1 Hz, 1H, aliphatic-H); 13C-NMR (126 MHz, DMSO-d6) δ 191.6 (C-38), 180.3 (C-9), 148.1 (C-12), 143.2 (C-36), 142.5 (C-23), 140.3 (C-11), 138.5 (C-24), 134.8 (C-27), 129.3 (C-26), 129.1 (C-15), 128.3 (C-35), 128.0 (C-44, C-42), 127.2 (C-45, C-41), 124.3 (C-14), 123.1 (C-43), 122.1 (C-31, C-30), 120.7 (C-16), 119.4 (C-32, 29), 112.1 (C-13), 109.5 (C-2), 71.3 (C-6), 65.9 (C-4), 57.1 (C-1), 52.9 (C-40), 45.7 (C-7), 41.7 (C-20), 37.2 (C-17), 28.3 (C-5), 28.0 (C-8), 25.0 (C-19), 19.8 (C-18), and 8.5 (37); Anal. for C36H35N7O2; Calcd: C, 72.34; H, 5.90; N, 16.40 Found: C, 72.32; H, 5.88; N, 16.44; [M+] m/z: 597; IR (KBr, cm−1): 1617 (C=N), 1681–1724 (C=O), 3427(NH).
(1’S,2’R,3S)-2’-(1-((1H-Benzo[d]imidazol-2-yl)methyl)-5-methyl-1H-1,2,3-triazole-4-carbonyl)-1’-(4-methoxyphenyl)-1’,2’,4a’,5’,6’,7’,8’,8a’,9’,9a’-decahydrospiro[indoline-3,3’-pyrrolo[1,2-a]indol]-2-one 8b.
Molecules 28 06976 i018
Yield: 89%; m.p.: 178–180 °C; a pale-yellow, solid compound; 1H-NMR (400 MHz, DMSO-d6) δ 12.50 (s, 1H, NH), 9.92 (s, 1H, NH), 7.57 (d, J = 8.1 Hz, 1H, ArH), 7.47 (d, J = 8.1 Hz, 1H, ArH), 7.29 (d, J = 8.8 Hz, 2H, ArH), 7.18 (m, 3H, ArH), 6.94 (t, J = 7.7 Hz, 1H, ArH), 6.86 (dd, J = 7.7, 5.5 Hz, 3H, ArH), 6.35 (d, J = 8.1 Hz, 1H, ArH), 5.74 (s, 2H, CH2), 5.04 (d, J = 12.5 Hz, 1H, COCH), 4.04 (q, J = 8.1 Hz, 1H), 3.79 (t, J = 11.4 Hz, 1H), 3.69 (s, 3H, OCH3), 3.21 (d, J = 4.4 Hz, 1H, aliphatic-H), 2.08–2.03 (m, 1H, aliphatic-H), 1.98 (s, 3H, CH3), 1.88–1.79 (m, 1H, aliphatic-H), 1.56 (dd, J = 12.1, 6.2 Hz, 1H, aliphatic-H), 1.52–1.41 (m, 2H, aliphatic-H), 1.34 (d, J = 13.2 Hz, 2H, aliphatic-H), 0.98 (dt, J = 24.2, 11.0 Hz, 2H, aliphatic-H), 0.80 (t, J = 12.8 Hz, 1H, aliphatic-H), and 0.70 (d, J = 11.7 Hz, 1H, aliphatic-H); 13C-NMR (126 MHz, DMSO-d6) δ 191.7 (C-38), 180.3 (C-9), 158.5 (C-43), 148.1 (C-12), 143.2 (C-36), 142.5 (C-23), 138.5 (C-11), 135.3 (C-27), 132.0 (C-26), 129.3 (C-15), 129.0 (C-35), 128.3 (C-24), 124.4 (C-45, C-41), 123.2 (C-14), 122.1 (C-31, C-30), 120.6 (C-16), 119.4 (C-32, C-29), 114.5 (C-13), 112.1 (C-44, C-42), 109.5 (C-2), 71.3 (C-6), 71.2 (C-4), 66.0 (C-51), 65.5 (C-1), 57.1 (C-40), 55.5 (C-7), 52.2 (C-20), 45.7 (C-17), 41.7 (C-5), 37.2 (C-8), 28.3 (C-19), 28.0 (C-18), and 8.5 (C-37); Anal. for C37H37N7O3; Calcd: C, 70.79; H, 5.94; N, 15.62 Found: C, 70.82; H, 5.90; N, 15.64; [M+] m/z: 627; IR (KBr, cm−1): 1618 (C=N), 1682–1722 (C=O), 3429 (NH).
(1’S,2’R,3S)-2’-(1-((1H-Benzo[d]imidazol-2-yl)methyl)-5-methyl-1H-1,2,3-triazole-4-carbonyl)-1’-(2,4-dichlorophenyl)-1’,2’,4a’,5’,6’,7’,8’,8a’,9’,9a’-decahydrospiro[indoline-3,3’-pyrrolo[1,2-a]indol]-2-one 8c.
Molecules 28 06976 i019
Yield: 71%; m.p.: 202–204 °C; a yellow, solid compound; 1H-NMR (500 MHz, DMSO-d6) δ 12.44 (s, 1H, NH), 9.94 (s, 1H, NH), 7.53 (s, 1H, ArH), 7.37 (dd, J = 8.5, 2.3 Hz, 2H, ArH), 7.14–6.82 (m, 7H, ArH), 6.30 (d, J = 7.6 Hz, 1H, ArH), 5.68 (s, 2H, CH2), 5.13 (d, J = 12.2 Hz, 1H, COCH), 4.40–4.32 (m, 1H), 3.93 (t, J = 6.6 Hz, 1H), 3.15 (d, J = 4.3 Hz, 1H, aliphatic-H), 2.24–2.14 (m, 2H, aliphatic-H), 1.93 (s, 3H, CH3), and 1.83–0.71 (m, 7H, aliphatic-H); 13C-NMR (126 MHz, DMSO-d6) δ 191.2 (C-38), 180.0 (C-9), 148.1 (C-12), 142.9 (C-36), 142.7 (C-23), 139.6 (C-11), 138.7 (C-27), 136.2 (C-26), 135.2 (C-15), 132.3 (C-43), 129.8 (C-41), 129.5 (C-24), 128.4 (C-35), 127.7 (C-45), 124.6 (C-42), 124.1 (C-44), 121.8 (C-14), 121.4 (C-31, 30), 120.9 (C-16), 114.7 (C-32, C-29), 112.4 (C-13), 109.7 (C-2), 71.7 (C-6), 71.1 (C-4), 66.2 (C-1), 57.2 (C-40), 52.7 (C-7), 48.1 (C-20), 45.7 (C-8), 41.6 (C-17), 36.8, 35.0, 30.3, 24.8 (C-19), 22.6 (C-18), 19.8 (C-5), and 8.6 (C-37); Anal. for C36H33Cl2N7O2; Calcd: C, 64.87; H, 4.99; N, 14.71 Found: C, 64.83; H, 5.02; N, 14.73; [M+] m/z: 665; IR (KBr, cm−1): 1615 (C=N), 1683–1724 (C=O), 3428 (NH).
(1’S,2’R,3S)-2’-(1-((1H-Benzo[d]imidazol-2-yl)methyl)-5-methyl-1H-1,2,3-triazole-4-carbonyl)-1’-(4-chlorophenyl)-1’,2’,4a’,5’,6’,7’,8’,8a’,9’,9a’-decahydrospiro[indoline-3,3’-pyrrolo[1,2-a]indol]-2-one 8d.
Molecules 28 06976 i020
Yield: 85%; m.p.: 179–181 °C; a yellow, solid compound; 1H-NMR (400 MHz, DMSO-d6) δ 12.48 (s, 1H, NH), 9.93 (s, 1H, NH), 7.57 (d, J = 8.1 Hz, 1H, ArH), 7.47 (d, J = 8.1 Hz, 1H, ArH), 7.41 (d, J = 8.1 Hz, 2H, ArH), 7.37 (d, J = 8.1 Hz, 2H, ArH), 7.22 (d, J = 7.3 Hz, 1H, ArH), 7.17 (m, 2H, ArH), 6.93 (t, J = 7.7 Hz, 1H, ArH), 6.84 (t, J = 7.7 Hz, 1H, ArH), 6.34 (d, J = 8.1 Hz, 1H, ArH), 5.74 (s, 2H, CH2), 5.03 (d, J = 12.5 Hz, 1H,COCH), 4.05 (q, J = 8.8, 8.1 Hz, 1H), 3.86 (t, J = 11.0 Hz, 1H), 3.21 (d, J = 3.7 Hz, 1H, aliphatic-H), 2.08 (dd, J = 11.0, 5.9 Hz, 1H, aliphatic-H), 1.97 (s, 3H, CH3), 1.86 (q, J = 6.2 Hz, 1H, aliphatic-H), 1.56 (dd, J = 11.7, 6.6 Hz, 1H, aliphatic-H), 1.47 (t, J = 16.5 Hz, 2H, aliphatic-H), 1.37–1.28 (m, 2H, aliphatic-H), 1.07–0.93 (m, 2H, aliphatic-H), 0.80 (t, J = 12.8 Hz, 1H, aliphatic-H), and 0.70 (d, J = 13.9 Hz, 1H, aliphatic-H); 13C-NMR (101 MHz, DMSO-d6) δ 191.5 (C-38), 180.3 (C-9), 148.1 (C-12), 143.3 (C-36), 143.2 (C-23), 142.6 (C-11), 139.4 (C-27), 138.6 (C-26), 134.9 (C-24), 131.8 (C-15), 130.0 (C-43), 129.1 (C-35), 128.3 (C-45, C-41), 127.1 (C-44, C-42), 124.3 (C-14), 123.2 (C-31, C-30), 122.2 (C-16), 120.7 (C-32), 119.2 (C-29), 112.2 (C-13), 109.6 (C-2), 71.9 (C-6), 66.1 (C-4), 58.1 (C-1), 50.9 (C-40), 45.6 (C-7), 41.3 (C-20), 36.6 (C-17), 28.3 (C-5), 27.6 (C-8), 24.6 (C-19), 18.8 (C-18), and 8.5 (C-37); Anal. for C36H34ClN7O2; Calcd: C, 68.40; H, 5.42; N, 15.51 Found: C, 68.45; H, 5.44; N, 15.48; [M+] m/z: 631; IR (KBr, cm−1): 1617 (C=N), 1684–1723 (C=O), 3426 (NH).
(1’S,2’R,3S)-2’-(1-((1H-Benzo[d]imidazol-2-yl)methyl)-5-methyl-1H-1,2,3-triazole-4-carbonyl)-1’-(4-fluorophenyl)-1’,2’,4a’,5’,6’,7’,8’,8a’,9’,9a’-decahydrospiro[indoline-3,3’-pyrrolo[1,2-a]indol]-2-one 8e.
Molecules 28 06976 i021
Yield: 96%; m.p.: 183–185 °C; a white, solid compound; 1H-NMR (400 MHz, DMSO-d6) δ 12.50 (s, 1H, NH), 9.94 (s, 1H, NH), 7.57 (d, J = 8.1 Hz, 1H, ArH), 7.47 (d, J = 7.3 Hz, 1H, ArH), 7.44–7.39 (m, 2H, ArH), 7.22 (d, J = 7.3 Hz, 1H, ArH), 7.18 (d, J = 7.3 Hz, 1H, ArH), 7.14 (t, J = 8.8 Hz, 3H, ArH), 6.93 (t, J = 7.3 Hz, 1H, ArH), 6.85 (t, J = 7.3 Hz, 1H, ArH), 6.34 (d, J = 7.3 Hz, 1H, ArH), 5.74 (s, 2H, CH2), 5.03 (d, J = 11.7 Hz, 1H, COCH), 4.06 (q, J = 8.8, 8.1 Hz, 1H), 3.86 (t, J = 11.4 Hz, 1H), 3.21 (d, J = 3.7 Hz, 1H, aliphatic-H), 2.07 (dt, J = 11.0, 5.5 Hz, 1H, aliphatic-H), 1.97 (s, 3H, CH3), 1.90–1.81 (m, 1H, aliphatic-H), 1.56 (dd, J = 11.7, 5.9 Hz, 1H, aliphatic-H), 1.52–1.41 (m, 2H, aliphatic-H), 1.33 (d, J = 12.5 Hz, 2H, aliphatic-H), 1.06–0.91 (m, 2H, aliphatic-H), 0.80 (t, J = 13.2 Hz, 1H, aliphatic-H), and 0.70 (d, J = 11.7 Hz, 1H, aliphatic-H); 13C-NMR (101 MHz, DMSO-d6) δ 191.6 (C-38), 180.3 (C-9), 162.8 and 160.4 (C-43), 148.2 (C-12), 143.3 (C-36), 143.2 (C-23), 142.6 (C-11), 138.6 (C-27), 136.4 (C-26), 134.9 (C-24), 130.5 (C-15), 129.8 (C-35), 129.2 (C-45, C-41), 124.3 (C-14), 122.4 (C-31, C-30), 120.2 (C-16), 118.7 (C-44, C-42), 115.5 (C-32, C-29), 113.4 (C-13), 109.4 (C-2) 71.3 (C-6), 64.2 (C-4), 60.1 (C-1), 52.9 (C-40), 45.8 (C-7), 41.9 (C-20), 37.4 (C-17), 28.9 (C-5), 28.8 (C-8), 24.2 (C-19), 19.2 (C-18), and 9.9 (C-37); Anal. for C36H34FN7O2; Calcd: C, 70.23; H, 5.57; N, 15.92 Found: C, 70.19; H, 5.60; N, 15.56; [M+] m/z: 615; IR (KBr, cm−1): 1618 (C=N), 1686–1725 (C=O), 3429 (NH).
(1’S,2’R,3S)-2’-(1-((1H-Benzo[d]imidazol-2-yl)methyl)-5-methyl-1H-1,2,3-triazole-4-carbonyl)-1’-(p-tolyl)-1’,2’,4a’,5’,6’,7’,8’,8a’,9’,9a’-decahydrospiro[indoline-3,3’-pyrrolo[1,2-a]indol]-2-one 8f.
Molecules 28 06976 i022
Yield: 88%; m.p.: 182–184 °C; a yellow, solid compound; 1H-NMR (400 MHz, DMSO-d6) δ 12.48 (s, 1H, NH), 9.91 (s, 1H, NH), 7.57 (d, J = 8.1 Hz, 1H, ArH), 7.47 (d, J = 8.1 Hz, 1H, ArH), 7.26 (d, J = 8.1 Hz, 2H, ArH), 7.20 (t, J = 6.6 Hz, 2H, ArH), 7.15 (d, J = 8.8 Hz, 1H, ArH), 7.10 (d, J = 8.1 Hz, 2H, ArH), 6.93 (t, J = 7.7 Hz, 1H, ArH), 6.85 (t, J = 7.7 Hz, 1H, ArH), 6.35 (d, J = 8.1 Hz, 1H, ArH), 5.74 (s, 2H, CH2), 5.08 (d, J = 11.7 Hz, 1H,COCH), 4.03 (m, 1H), 3.80 (t, J = 11.0 Hz, 1H), 3.22 (d, J = 4.4 Hz, 1H, aliphatic-H), 2.23 (s, 3H, Ph-CH3), 2.08 (d, J = 5.9 Hz, 1H, aliphatic-H), 1.98 (s, 3H, CH3), 1.84 (dt, J = 13.9, 6.2 Hz, 1H, aliphatic-H), 1.56 (dd, J = 12.1, 6.2 Hz, 1H, aliphatic-H), 1.46 (m, 2H, aliphatic-H), 1.34 (m, 2H, aliphatic-H), 1.07–0.93 (m, 2H, aliphatic-H), 0.79 (d, J = 12.5 Hz, 1H, aliphatic-H), and 0.70 (d, J = 13.9 Hz, 1H, aliphatic-H); 13C-NMR (101 MHz, DMSO-d6) δ 191.7 (C-38), 180.4 (C-9), 148.2 (C-12), 143.3 (C-36), 142.6 (C-23), 138.5 (C-11), 137.2 (C-27), 136.3 (C-26), 135.0 (C-24), 129.7 (C-43), 129.3 (C-15), 128.3 (C-35), 128.0 (C-44, C-42), 127.9 (C-45, C-41), 124.4 (C-14), 123.6 (C-31, C-30), 120.7 (C-16), 119.6 (C-32, C-29), 112.4 (C-13), 109.6 (C-2), 71.4 (C-6), 65.9 (C-4), 57.2 (C-1), 52.7 (C-40), 45.8 (C-7), 41.8 (C-20), 37.3 (C-17), 28.0 (C-5), 25.0 (C-8), 21.1 (C-19), 19.8 (C-18), 14.7 (C-51), and 8.6 (C-37); Anal. for C37H37N7O2; Calcd: C, 72.65; H, 6.10; N, 16.03 Found: C, 72.68; H, 6.06; N, 15.97; [M+] m/z: 611; IR (KBr, cm−1): 1617 (C=N), 1684–1724 (C=O), 3428 (NH).
(1’S,2’R,3S)-2’-(1-((1H-Benzo[d]imidazol-2-yl)methyl)-5-methyl-1H-1,2,3-triazole-4-carbonyl)-1’-(4-bromophenyl)-1’,2’,4a’,5’,6’,7’,8’,8a’,9’,9a’-decahydrospiro[indoline-3,3’-pyrrolo[1,2-a]indol]-2-one 8g.
Molecules 28 06976 i023
Yield: 82%; m.p.: 186–188 °C; a yellow, solid compound; 1H-NMR (400 MHz, DMSO-d6) δ 12.46 (s, 1H, NH), 9.91 (s, 1H, NH), 7.57 (d, J = 7.3 Hz, 1H, ArH), 7.50 (d, J = 8.8 Hz, 2H, ArH), 7.47 (d, J = 8.1 Hz, 1H, ArH), 7.35 (d, J = 8.1 Hz, 2H, ArH), 7.22–7.12 (m, 3H, ArH), 6.93 (t, J = 7.7 Hz, 1H, ArH), 6.84 (t, J = 7.7 Hz, 1H, ArH), 6.33 (d, J = 8.1 Hz, 1H, ArH), 5.73 (s, 2H, CH2), 5.02 (d, J = 11.7 Hz, 1H, COCH), 4.04 (q, J = 9.2 Hz, 1H), 3.85 (t, J = 11.0 Hz, 1H), 3.21 (d, J = 4.4 Hz, 1H, aliphatic-H), 2.08 (dt, J = 11.0, 5.5 Hz, 1H, aliphatic-H), 1.97 (s, 3H, CH3), 1.90–1.83 (m, 1H, aliphatic-H), 1.56 (dd, J = 11.7, 5.9 Hz, 1H, aliphatic-H), 1.45 (dt, J = 15.4, 3.3 Hz, 2H, aliphatic-H), 1.32 (dd, J = 14.7, 7.3 Hz, 2H, aliphatic-H), 1.07–0.95 (m, 2H, aliphatic-H), 0.83–0.75 (m, 1H, aliphatic-H), 0.69 (d, J = 13.9 Hz, 1H, aliphatic-H); 13C-NMR (101 MHz, DMSO-d6) δ 191.5 (C-38), 180.2 (C-9), 148.1 (C-12), 143.3 (C-36), 143.1 (C-23), 142.6 (C-11), 139.8 (C-27), 138.6 (C-26), 134.9 (C-24), 132.0 (C-15), 131.6 (C-35), 131.3 (C-44, C-42),130.3 (C-45, C-41), 124.3 (C-14), 122.7 (C-43), 121.8 (C-31, C-30), 120.7 (C-16), 120.3 (C-32, C-29), 112.1 (C-13), 109.6 (C-2), 71.3 (C-6), 65.3 (C-4), 57.2 (C-1), 52.4 (C-40), 45.8 (C-7), 41.7 (C-20), 37.3 (C-17), 28.3 (C-5), 28.0 (C-8), 25.0 (C-19), 19.8 (C-18), and 8.5 (C-37); Anal. for C36H34BrN7O2; Calcd: C, 63.91; H, 5.07; N, 14.49 Found: C, 63.94; H, 5.10; N, 14.45; [M+] m/z: 675; IR (KBr, cm−1): 1616 (C=N), 1684–1724(C=O), 3427 (NH).
(1’S,2’R,3S)-2’-(1-((1H-Benzo[d]imidazol-2-yl)methyl)-5-methyl-1H-1,2,3-triazole-4-carbonyl)-1’-(m-tolyl)-1’,2’,4a’,5’,6’,7’,8’,8a’,9’,9a’-decahydrospiro[indoline-3,3’-pyrrolo[1,2-a]indol]-2-one 8h.
Molecules 28 06976 i024
Yield: 71%; m.p.: 175–177 °C; a pale-yellow, solid compound; 1H-NMR (500 MHz, DMSO-d6) δ 12.44 (s, 1H, NH), 9.86 (s, 1H, NH), 7.51 (d, J = 8.1 Hz, 1H, ArH), 7.43 (d, J = 8.1 Hz, 1H, ArH), 7.19–7.10 (m, 6H, ArH), 6.95 (dd, J = 6.7, 1.9 Hz, 1H, ArH), 6.88 (t, J = 7.5 Hz, 1H, ArH), 6.80 (t, J = 7.5 Hz, 1H, ArH), 6.28 (d, J = 7.8 Hz, 1H, ArH), 5.68 (s, 2H, CH2), 5.02 (d, J = 12.2 Hz, 1H, COCH), 4.02 (q, J = 5.1, 4.6 Hz, 1H), 3.78–3.71 (m, 1H), 3.17 (d, J = 4.4 Hz, 1H, aliphatic-H), 2.23 (s, 3H, Ph-CH3), 2.06–2.00 (m, 1H, aliphatic-H), 1.91 (s, 3H, CH3), 1.83–1.77 (m, 1H, aliphatic-H), 1.52 (dd, J = 11.9, 6.2 Hz, 1H, aliphatic-H), 1.47–1.38 (m, 2H, aliphatic-H), 1.32–1.25 (m, 2H, aliphatic-H), 1.02–0.97 (m, 1H, aliphatic-H), 0.96–0.87 (m, 1H, aliphatic-H), 0.76 (t, J = 13.1 Hz, 1H, aliphatic-H), 0.66 (d, J = 11.4 Hz, 1H, aliphatic-H); 13C-NMR (126 MHz, DMSO-d6) δ 191.6 (C-38), 180.3 (C-9), 148.1 (C-12), 143.2 (C-36), 142.5 (C-23), 140.3 (C-11), 138.5 (C-24), 138.1 (C-27), 130.1 (C-26), 129.3 (C-42), 129.0 (C-15), 128.6 (C-35), 128.2 (C-41), 127.9 (C-44), 125.3 (C-43), 124.3 (C-14), 122.9 (C-45), 121.9 (C-31,C-30), 120.6 (C-16), 119.3 (C-32, C-29), 113.2 (C-13), 109.5 (C-2), 71.3 (C-6), 66.0 (C-4), 57.1 (C-1), 52.9 (C-40), 45.7 (C-7), 41.7 (C-20), 37.3 (C-17), 28.3 (C-5), 28.0 (C-8), 25.0 (C-19), 21.6 (C-51), 19.8 (C-18), and 8.5 (C-37); Anal. for C37H37N7O2; Calcd: C, 72.65; H, 6.10; N, 16.03 Found: C, 72.62; H, 6.13; N, 15.98; [M+] m/z: 611; IR (KBr, cm−1): 1617 (C=N), 1682–1721 (C=O), 3432 (NH).
(1’R,2’R,3S)-2’-(1-((1H-Benzo[d]imidazol-2-yl)methyl)-5-methyl-1H-1,2,3-triazole-4-carbonyl)-1’-(thiophen-2-yl)-1’,2’,4a’,5’,6’,7’,8’,8a’,9’,9a’-decahydrospiro[indoline-3,3’-pyrrolo[1,2-a]indol]-2-one 8i.
Molecules 28 06976 i025
Yield: 89%; m.p.: 193–195 °C; a yellow, solid compound; 1H-NMR (400 MHz, DMSO-d6) δ 12.52 (s, 1H, NH), 9.94 (s, 1H, NH), 7.58 (d, J = 8.8 Hz, 1H, ArH), 7.48 (d, J = 8.8 Hz, 1H,ArH), 7.34 (d, J = 5.1 Hz, 1H, thiophene-H), 7.19 (m, 3H, ArH), 6.98–6.91 (m, 3H, ArH, thiophene-H), 6.84 (t, J = 7.7 Hz, 1H, thiophene-H), 6.34 (d, J = 8.1 Hz, 1H, ArH), 5.76 (s, 2H, CH2), 4.93 (d, J = 11.7 Hz, 1H, COCH), 4.19–4.09 (m, 2H), 3.22 (d, J = 4.4 Hz, 1H, aliphatic-H), 2.09 (q, J = 5.1 Hz, 1H, aliphatic-H), 2.01 (s, 3H, CH3), 1.88 (q, J = 6.2 Hz, 1H, aliphatic-H), 1.70 (dd, J = 11.7, 5.9 Hz, 1H, aliphatic-H), 1.53–1.44 (m, 2H, aliphatic-H), 1.34 (t, J = 10.3 Hz, 2H, aliphatic-H), 1.08–0.94 (m, 2H, aliphatic-H), 0.80 (t, J = 13.2 Hz, 1H, aliphatic-H), and 0.68 (d, J = 13.9 Hz, 1H, aliphatic-H); 13C-NMR (101 MHz, DMSO-d6) δ 191.4 (C-38), 180.1 (C-9), 148.1 (C-12), 143.4 (C-36), 143.2 (C-24), 142.5 (C-23), 138.7 (C-11), 134.5 (C-27), 129.4 (C-26), 128.4 (C-15), 127.6 (C-35), 125.1 (C-47), 124.6 (C-14), 124.1 (C-46), 123.1 (C-48), 122.6 (C-31, C-30), 122.2 (C-16), 120.7 (C-32), 119.5 (C-29), 112.3 (C-13), 109.6 (C-2), 71.4 (C-6), 71.0, 67.2 (C-6), 57.2 (C-1), 48.1 (C-40), 45.8 (C-7), 41.7 (C-20), 37.3 (C-17), 28.2 (C-5), 28.1 (C-8), 25.0 (C-19), 19.8 (C-18), and 8.6 (C-37); Anal. for C34H33N7O2S; Calcd: C, 67.64; H, 5.51; N, 16.24 Found: C, 67.61; H, 5.48; N, 16.21; [M+] m/z: 603; IR (KBr, cm−1): 1682–1724 (C=N), 1665 (C=O), 3426 (NH).
(1’S,2’R,3S)-2’-(1-((1H-Benzo[d]imidazol-2-yl)methyl)-5-methyl-1H-1,2,3-triazole-4-carbonyl)-1’-(3,4,5-trimethoxyphenyl)-1’,2’,4a’,5’,6’,7’,8’,8a’,9’,9a’-decahydrospiro[indoline-3,3’-pyrrolo[1,2-a]indol]-2-one 8j.
Molecules 28 06976 i026
Yield: 68%; m.p.: 193–195 °C; a yellow, solid compound; 1H-NMR (500 MHz, DMSO-d6) δ 12.46 (s, 1H, NH), 9.88 (s, 1H, NH), 7.52 (d, J = 7.8 Hz, 1H, ArH), 7.42 (d, J = 7.8 Hz, 1H, ArH), 7.24 (dd, J = 7.5, 1.3 Hz, 1H, ArH), 7.17–7.13 (m, 1H, ArH), 7.10 (td, J = 7.6, 1.3 Hz, 1H, ArH), 6.93 (td, J = 7.6, 1.3 Hz, 1H, ArH), 6.83 (td, J = 7.5, 1.3 Hz, 1H, ArH), 6.62 (s, 2H, ArH), 6.35 (dd, J = 7.7, 1.3 Hz, 1H, ArH), 5.70 (s, 2H, CH2), 5.08 (d, J = 12.4 Hz, 1H, COCH), 4.03–3.98 (m, 1H), 3.77 (dd, J = 12.4, 9.9 Hz, 1H), 3.71 (s, 6H, OCH3), 3.56 (s, 3H, OCH3), 3.16 (d, J = 4.4 Hz, 1H, aliphatic-H), 2.08–2.03 (m, 1H, aliphatic-H), 1.96 (s, 3H, CH3), 1.87–1.83 (m, 1H, aliphatic-H), 1.57 (dd, J = 11.7, 7.2 Hz, 1H, aliphatic-H), 1.48–1.39 (m, 2H, aliphatic-H), 1.30 (dd, J = 13.0, 10.1 Hz, 2H, aliphatic-H), 1.01 (dd, J = 12.0, 3.7 Hz, 1H, aliphatic-H), 0.97–0.89 (m, 1H, aliphatic-H), 0.81–0.75 (m, 1H, aliphatic-H), and 0.68 (d, J = 11.7 Hz, 1H, aliphatic-H); 13C-NMR (126 MHz, DMSO-d6) δ 191.7 (C-38), 180.2 (C-9), 153.4 (C-44, C-42), 148.2 (C-12), 143.3 (C-36), 143.3 (C-11), 142.4 (C-23), 138.6 (C-24), 136.7 (C-27), 135.8 (C-26), 134.8 (C-43), 129.3 (C-15), 128.5 (C-35), 124.4 (C-14), 123.2 (C-31, C-30), 122.1, 120.7 (C-16), 119.4 (C-32, C-29), 112.1 (C-13), 109.6 (C-2), 105.0 (C-45, C-41), 71.5 (C-6), 71.0, 65.0 (C-4), 60.4 (C-51), 57.1 (C-1), 56.3 (C-53, C-52), 53.4 (C-40), 45.8 (C-7), 41.7 (C-20), 37.1 (C-17), 28.2 (C-5), 27.9 (C-8), 24.9 (C-19), 21.6, 19.8 (C-18), and 8.6 (C-37); Anal. for C39H41N7O5; Calcd: C, 68.11; H, 6.01; N, 14.26 Found: C, 68.14; H, 5.96; N, 14.23; [M+] m/z: 687; IR (KBr, cm−1): 1615 (C=N), 1684–1724 (C=O), 3429 (NH).
(1’S,2’R,3S)-2’-(1-((1H-Benzo[d]imidazol-2-yl)methyl)-5-methyl-1H-1,2,3-triazole-4-carbonyl)-1’-(3-nitrophenyl)-1’,2’,4a’,5’,6’,7’,8’,8a’,9’,9a’-decahydrospiro[indoline-3,3’-pyrrolo[1,2-a]indol]-2-one 8k.
Molecules 28 06976 i027
Yield: 73%; m.p.: >250 °C; a brown, solid compound; 1H-NMR (500 MHz, DMSO-d6) δ 12.47 (s, 1H, NH), 9.88 (s, 1H, NH), 7.53 (d, J = 8.0 Hz, 1H, ArH), 7.45 (d, J = 8.0 Hz, 1H, ArH), 7.21–7.12 (m, 6H, ArH), 6.93 (d, J = 7.5 Hz, 1H, ArH), 6.85 (t, J = 7.5 Hz, 1H, ArH), 6.82 (t, J = 7.5 Hz, 1H, ArH), 6.38 (d, J = 8.0 Hz, 1H, ArH), 5.70 (s, 2H, CH2), 5.05 (d, J = 12.2 Hz, 1H, COCH), 4.03 (m, 1H, CH), 3.76–3.72 (m, 1H, CH), 3.16 (d, J = 5.4 Hz, 1H, aliphatic-H), 2.06–2.01 (m, 1H, aliphatic-H), 1.93 (s, 3H, CH3), 1.83–1.76 (m, 1H, aliphatic-H), 1.52 (dd, J = 11.9, 6.2 Hz, 1H, aliphatic-H), 1.48–1.38 (m, 2H, aliphatic-H), 1.34–1.26 (m, 2H, aliphatic-H), 1.02–0.98 (m, 1H, aliphatic-H), 0.96–0.87 (m, 1H, aliphatic-H), 0.75 (t, J = 13.1 Hz, 1H, aliphatic-H), and 0.66 (d, J = 11.2 Hz, 1H, aliphatic-H); 13C-NMR (126 MHz, DMSO-d6) δ 191.4 (C-38), 180.5 (C-9), 148.1 (C-12), 143.1 (C-36), 142.5 (C-23), 140.2 (C-11), 138.4(C-24), 138.2 (C-27), 130.2 (C-26), 129.3 (C-42), 129.0 (C-15), 128.6 (C-35), 128.2 (C-41), 127.9 (C-44), 125.3 (C-43), 124.4 (C-14), 122.9 (C-45), 121.9 (C-31,C-30), 120.7 (C-16), 119.3 (C-32, C-29), 113.2 (C-13), 109.5 (C-2), 71.3 (C-6), 66.0 (C-4), 57.1 (C-1), 52.9 (C-40), 45.7 (C-7), 41.7 (C-20), 37.3 (C-17), 28.3 (C-5), 28.0 (C-8), 25.0 (C-19), 19.8 (C-18), and 8.5 (C-37); Anal. for C36H34N8O4; Calcd: C, 67.28; H, 5.33; N, 17.43 Found: C, 67.25; H, 5.37; N, 17.41; [M+] m/z: 642; IR (KBr, cm−1): 1619 (C=N), 1685–1727 (C=O), 3428 (NH).
(1’S,2’R,3S)-2’-(1-((1H-Benzo[d]imidazol-2-yl)methyl)-5-methyl-1H-1,2,3-triazole-4-carbonyl)-1’-(4-(dimethylamino)phenyl)-1’,2’,4a’,5’,6’,7’,8’,8a’,9’,9a’-decahydrospiro[indoline-3,3’-pyrrolo[1,2-a]indol]-2-one 8l.
Molecules 28 06976 i028
Yield: 84%; m.p.: 185–187 °C; a yellow, solid compound; 1H-NMR (500 MHz, DMSO-d6) δ 12.44 (s, 1H, NH), 9.84 (s, 1H, NH), 7.52 (d, J = 8.1 Hz, 1H, ArH), 7.42 (d, J = 7.1 Hz, 1H, ArH), 7.17–7.09 (m, 5H, ArH), 6.89 (td, J = 7.6, 1.3 Hz, 1H, ArH), 6.81 (td, J = 7.6, 1.3 Hz, 1H, ArH), 6.62 (d, J = 8.8 Hz, 2H, ArH), 6.30 (dd, J = 7.8, 1.1 Hz, 1H, ArH), 5.69 (s, 2H, CH2), 4.99 (d, J = 12.3 Hz, 1H, COCH), 4.01–3.95 (m, 1H), 3.68 (t, J = 10.3 Hz, 1H), 3.16 (d, J = 4.4 Hz, 1H, aliphatic-H), 2.78 (s, 6H, NCH3), 2.06–2.00 (m, 1H, aliphatic-H), 1.94 (s, 3H, CH3), 1.80–1.73 (m, 1H, aliphatic-H), 1.52 (dd, J = 11.1, 6.8 Hz, 1H, aliphatic-H), 1.46 (dd, J = 8.2, 3.9 Hz, 1H, aliphatic-H), 1.40 (dd, J = 8.9, 4.8 Hz, 1H, aliphatic-H), 1.34–1.26 (m, 2H, aliphatic-H), 1.02–0.91 (m, 2H, aliphatic-H), 0.78–0.72 (m, 1H, aliphatic-H), 0.66 (d, J = 10.2 Hz, 1H, aliphatic-H); 13C-NMR (126 MHz, DMSO-d6) δ 191.8 (C-38), 180.4 (C-9), 149.9 (C-43), 148.1 (C-12), 143.3 (C-36), 142.5 (C-23), 138.4 (C-11), 134.8 (C-27), 129.2 (C-26), 128.5 (C-15), 128.3 (C-35), 127.5 (C-45, C-41), 124.5 (C-24), 123.1 (C-14), 122.1 (C-31, C-30), 120.6 (C-16), 119.5 (C-32, C-29), 113.3 (C-44, C-42), 112.1(C-13), 109.5 (C-2), 71.4 (C-6), 71.1, 65.9 (C-4), 57.1 (C-1), 52.3 (C-40), 45.8 (C-7), 41.8 (C-20), 37.4 (C-17), 28.3 (C-5), 28.0 (C-8), 25.0 (C-19), 19.8 (C-18), and 8.6 (C-37); Anal. for C38H40N8O2; Calcd: C, 71.23; H, 6.29; N, 17.49 Found: C, 71.25; H, 6.32; N, 17.46; [M+] m/z: 640; IR (KBr, cm−1): 1617 (C=N), 1684–1723 (C=O), 3427 (NH).
(1’S,2’R,3S)-2’-(1-((1H-Benzo[d]imidazol-2-yl)methyl)-5-methyl-1H-1,2,3-triazole-4-carbonyl)-1’-(3-bromophenyl)-1’,2’,4a’,5’,6’,7’,8’,8a’,9’,9a’-decahydrospiro[indoline-3,3’-pyrrolo[1,2-a]indol]-2-one 8m.
Molecules 28 06976 i029
Yield: 87%; m.p.: 181–183 °C; a yellow, solid compound; 1H-NMR (500 MHz, DMSO-d6) δ 12.43 (s, 1H, NH), 9.89 (s, 1H, NH), 7.53 (t, J = 1.9 Hz, 2H, ArH), 7.45 (s, 1H, ArH), 7.36 (m, 3H, ArH), 7.24 (t, J = 7.8 Hz, 2H, ArH), 7.19 (d, J = 6.2 Hz, 1H, ArH), 6.90–6.87 (m, 1H, ArH), 6.80 (t, J = 7.5 Hz, 1H, ArH), 6.28 (d, J = 8.8 Hz, 1H, ArH), 5.69 (s, 2H, CH2), 4.97 (d, J = 12.2 Hz, 1H, COCH), 4.02 (q, J = 8.2 Hz, 1H), 3.86–3.80 (m, 1H), 3.16 (d, J = 4.3 Hz, 1H, aliphatic-H), 2.03 (d, J = 4.3 Hz, 1H, aliphatic-H), 1.92 (s, 3H, CH3), 1.88–1.86 (m, 1H, aliphatic-H), 1.50–1.46 (m, 2H, aliphatic-H), 1.39–1.37 (m, 1H, aliphatic-H), 1.28–0.65 (m, 6H, aliphatic-H); 13C-NMR (126 MHz, DMSO-d6) δ 191.4 (C-38), 180.2 (C-9), 148.1 (C-12), 143.2 (C-36), 143.1(C-23), 142.5 (C-11), 138.6 (C-24), 131.4 (C-27), 131.1 (C-26), 130.2 (C-15), 129.4 (C-24), 128.2 (C-35), 126.9 (C-44), 124.1 (C-43), 122.3 (C-45), 120.7 (C-14), 119.5 (C-31, C-30), 109.6 (C-2), 71.2 (C-6), 66.1 (C-4), 57.2 (C-1), 52.7 (C-40), 52.4, 45.8 (C-7), 41.67 (C-20), 38.36, 36.82 (C-17), 34.30, 30.91, 29.52, 28.64, 28.21 (C-5), 27.96 (C-8), 27.60, 24.93 (C-19), 19.8 (C-18), and 8.5 (C-37); Anal. for C36H34BrN7O2; Calcd: C, 63.91; H, 5.07; N, 14.49 Found: C, 63.89; H, 5.10; N, 14.45; [M+] m/z: 675; IR (KBr, cm−1): 1616 (C=N), 1681–1724 (C=O), 3428 (NH).
(1’S,2’R,3S)-2’-(1-((1H-Benzo[d]imidazol-2-yl)methyl)-5-methyl-1H-1,2,3-triazole-4-carbonyl)-1’-(3,4,5-trimethylphenyl)-1’,2’,4a’,5’,6’,7’,8’,8a’,9’,9a’-decahydrospiro[indoline-3,3’-pyrrolo[1,2-a]indol]-2-one 8n.
Molecules 28 06976 i030
Yield: 86%; m.p.: 179–181 °C; a yellow, solid compound; 1H-NMR (400 MHz, DMSO-d6) δ 12.46 (s, 1H, NH), 9.94 (s, 1H, NH), 7.57 (d, J = 7.3 Hz, 1H, ArH), 7.46 (d, J = 8.1 Hz, 1H, ArH), 7.32 (d, J = 4.4 Hz, 1H, ArH), 7.14 (t, J = 7.3 Hz, 2H, ArH), 6.92 (t, J = 7.3 Hz, 1H, ArH), 6.87 (t, J = 7.3 Hz, 1H, ArH), 6.79 (s, 1H, ArH), 6.74 (s, 1H, ArH), 6.34 (d, J = 7.3 Hz, 1H, ArH), 5.72 (s, 2H, CH2), 4.47 (d, J = 4 Hz, 1H, COCH), 4.44 (q, J = 8.2 Hz, 1H), 4.31 (t, J = 11.4 Hz, 1H), 3.21 (d, J = 4.3 Hz, 1H, aliphatic-H), 2.66 (s, 3H, CH3), 2.61 (s, 3H, CH3), 2.19 (m, 1H, aliphatic-H), 2.13 (s, 3H, CH3), 2.09 (d, J = 5.1 Hz, 1H, aliphatic-H), 1.97 (s, 3H, CH3), 1.62–1.49 (m, 3H, aliphatic-H), 1.44 (m, 1H, aliphatic-H), 1.34 (m, 2H, aliphatic-H), 1.21 (d, J = 7.3 Hz, 1H, aliphatic-H), and 0.81 (d, J = 11.7 Hz, 2H, aliphatic-H); 13C-NMR (101 MHz, DMSO-d6) δ 192.7 (C-38), 180.6 (C-9), 148.1 (C-12), 143.3 (C-36), 142.6 (C-23), 138.5 (C-11), 136.4 (C-27), 135.6 (C-26), 134.9 (C-24), 132.2 (C-45, C-41), 131.6 (C-43), 129.7 (C-15), 129.2 (C-35), 128.6 (C-44, C-42), 128.2 (C-14), 127.0 (C-31, C-30), 124.6 (C-16), 123.2 (C-32, C-29), 119.5 (C-13), 109.6 (C-2), 72.0 (C-6), 67.9 (C-4), 63.5 (C-1), 57.3 (C-40), 52.8 (C-7), 47.8, 45.8 (C-20), 41.8 (C-17), 28.5 (C-5), 27.8 (C-8), 24.8 (C-19), 23.0 (C-18), 22.2 (C-52), 21.8 (C-51, C-53), and 8.7 (C-37); Anal. for C39H41N7O2; Calcd: C,73.21; H,6.46; N,15.32 Found: C, 73.32; H, 6.41; N, 15.29; [M+] m/z: 639; IR (KBr, cm−1): 1617 (C=N), 1682–1723 (C=O), 3428 (NH).

3.2. Computational Protocol

Computational protocol has been provided in the Supplementary Materials.

4. Conclusions

A new set of spirooxindoles with different pharmacophores like benzimidazole, triazoles, and isatin moieties were achieved via the 32CA reaction between the in situ generated AY and the synthesized chalcones containing a wide range of substituents. The final spirooxindoles were obtained with total selectivity and at an up to 90% yield, yielding only one of the possible isomeric products. The X-ray crystal structure of triazole-benzimdiazole 4 was identified. Several spirooxindoles molecules were created, whose final chemical architectures with different electronic effects constitute material for future studies.
The mechanism of the 32CA reactions between AY 9 and the simplest chalcone 5a was theoretically studied by means of MEDT at the ωB97X-D/6-311g(d,p) DFT level. Out of the 16 possible isomeric reaction paths, the reported ortho/endo path leading to 8a via TS-on is the most favorable one, with a very low activation Gibbs free energy of 11.1 kcal·mol−1 and a strong exergonic character of 24.0 kcal·mol−1. The formation of spirooxindole 8a is completely selective because the other competitive isomeric reaction paths are at least 2.3 kcal·mol−1 higher in energy.
This low activation energy is a consequence of the supernucleophilicity of AY 9 and the strong electrophilicity of 5a, which favor a highly polar 32CA reaction of FEDF, as characterized by the high GEDT computed at the most-favorable TS-on.
Finally, the geometrical analysis of TS-on and the corresponding vibrational modes observed indicate that the polar 32CA reaction follows a two-stage, one-step mechanism in which the formation of the C3–C4 single bond involving the β-conjugated C4 carbon of the chalcone derivative is more advanced. The present combined experimental and theoretical MEDT study reports the synthesis of new spirooxindoles with promising biological activity and sheds light on the mechanistic aspects of the key 32CA reaction step, with the aim of achieving a wider set of this relevant type of compound and a better understanding of the processes for potential future designs.

Supplementary Materials

The following supporting information can be downloaded at https://www.mdpi.com/1420-3049/28/19/6976/s1. General remarks about solvents, chemical reagents, and instrumentations; Computational protocol [21,22,25,31,33,34,35,36,37,38,39,40,41,42,43,44,45,46,47,48,49]; Figures S1–S31: NMR and IR spectrum; Figure S32: reaction mechanism roadmap of the competitive isomeric reaction paths in the 32CA reaction of AY 9 with chalcone 5a; Figure S33: ωB97X-D/6-311G(d,p) IRC path associated with the most-favorable ortho/endo reaction path via TS-on in methanol.; Table S1: ωB97X-D/6-311G(d,p) enthalpies, entropies, and Gibbs free energies, as well as the relative versions of these measures with respect to the separated reagents, computed at 60 °C and 1 atm in methanol, for the stationary points involved in the 32CA reaction of AY 9 with chalcone 5a; Cartesian coordinates and electronic energies of the stationary points involved in the 32CA reaction between AY 9 and chalcone 5a in methanol. Imaginary frequencies for TSs at 60 °C are included.

Author Contributions

Conceptualization, A.B.; methodology, S.A. and A.S.A.; software, M.R.-G.; validation, S.A., A.S.A. and M.R.-G.; formal analysis, S.A., A.S.A. and M.A.; X-ray single-crystal data, S.Y.; investigation, S.A. and A.S.A.; resources, A.B.; data curation, M.A., M.S.A., A.B. and M.R.-G.; writing—original draft preparation, A.B. and M.R.-G.; writing—review and editing, A.B. and M.R.-G.; supervision, A.B. and A.M.A.-M.; funding acquisition, A.B. All authors have read and agreed to the published version of the manuscript.

Funding

The authors extend their appreciation to the Deputyship for Research and Innovation, “Ministry of Education” in Saudi Arabia for funding this research work through the project number IFKSUOR3–128-2. This work has also been supported by the Ministry of Science and Innovation (MICINN) of the Spanish Government, through the project PID2019-110776GB-I00 (AEI/FEDER, UE).

Data Availability Statement

The data presented in this study are available in this article and Supplementary Materials.

Acknowledgments

The authors extend their appreciation to the Deputyship for Research and Innovation, “Ministry of Education”, of Saudi Arabia for funding this research work through the project number IFKSUOR3–128-2. The authors also express their gratitude to the Ministry of Science and Innovation (MICINN) of the Spanish Government for financial support through the project PID2019-110776GB-I00 (AEI/FEDER, UE).

Conflicts of Interest

The authors declare no conflict of interest.

References

  1. Dehaen, W.; Bakulev, V.A. Chemistry of 1,2,3-Triazoles; Springer International Publishing: Cham, Switzerland, 2015. [Google Scholar]
  2. Ashok, D.; Chiranjeevi, P.; Kumar, A.V.; Sarasija, M.; Krishna, V.S.; Sriramc, D.; Balasubramanian, S. 1,2,3-Triazole-fused spirochromenes as potential anti-tubercular agents: Synthesis and biological evaluation. RSC Adv. 2018, 8, 16997–17007. [Google Scholar] [CrossRef] [PubMed]
  3. Mishra, D.R.; Nayak, S.; Raiguru, B.P.; Mohapatra, S.; Podh, M.B.; Sahoo, C.R.; Padhy, R.N. Synthesis of (4S)-4-C-spiro-glycosyl-chromeno-[3,4-d][1,2,3]triazoles: Biological evaluation and molecular docking investigation. J. Heterocycl. Chem. 2021, 58, 111–126. [Google Scholar] [CrossRef]
  4. Yu, B.; Wang, S.-Q.; Qi, P.-P.; Yang, D.-X.; Tang, T.; Liu, H.-M. Design and synthesis of isatin/triazole conjugates that induce apoptosis and inhibit migration of MGC-803 cells. Eur. J. Med. Chem. 2016, 124, 350–360. [Google Scholar] [CrossRef]
  5. Verma, M.; Pandeya, S.N.; Singh, K.N.; Stables, J.P. Anticonvulsant activity of Schiff bases of isatin derivatives. Acta Pharm. 2004, 54, 49–56. [Google Scholar] [PubMed]
  6. Pandeya, S.N.; Sriram, D.; Nath, G.; De Clercq, E. HIV Evaluation of Schiff and Mannich Bases of Isatin and its Derivatives with Triazole. Drug Res. 2000, 50, 55–59. [Google Scholar]
  7. Senwar, K.R.; Sharma, P.; Reddy, T.S.; Jeengar, M.K.; Nayak, V.L.; Naidu, V.G.M.; Kamal, A.; Shankaraiah, N. Spirooxindole-derived morpholine-fused-1,2,3-triazoles: Design, synthesis, cytotoxicity and apoptosis inducing studies. Eur. J. Med. Chem. 2015, 102, 413–424. [Google Scholar] [CrossRef]
  8. Kishore Kumar, A.; Sunitha, V.; Shankar, B.; Ramesh, M.; Murali Krishna, T.; Jalapathi, P. Synthesis, biological evaluation, and molecular docking studies of novel 1,2,3-triazole derivatives as potent anti-inflammatory agents. Russ. J. Gen. Chem. 2016, 86, 1154–1162. [Google Scholar] [CrossRef]
  9. Rajeswari, M.; Kumari, S.; Khurana, J.M. One-pot four component domino strategy for the synthesis of novel spirooxindole pyrrolizine linked 1,2,3-triazoles via stereo- and regioselective [3 + 2] cycloaddition reaction in acidic medium. RSC Adv. 2016, 6, 9297–9303. [Google Scholar]
  10. Helda Malarkodi, J.; Murugavel, S.; Rosaline Ezhilarasi, J.; Dinesh, M.; Ponnuswamy, A. Structure investigation, spectral characterization, electronic properties, and antimicrobial and molecular docking studies of 3′-(1-benzyl-5-methyl-1H-1,2,3-triazole-4-carbonyl)-1′-methyl-4′-phenyl-2H-spiro[acenaphthylene-1,2′-pyrrolidine]-2-one. J. Chin. Chem. Soc. 2019, 66, 205–217. [Google Scholar] [CrossRef]
  11. Domingo, L.R.; Ríos-Gutiérrez, M.; Barakat, A. A Molecular Electron Density Theory Study of the [3+2] Cycloaddition Reaction of an Azomethine Ylide with an Electrophilic Ethylene Linked to Triazole and Ferrocene Units. Molecules 2022, 27, 6532. [Google Scholar] [CrossRef]
  12. Altowyan, M.S.; Soliman, S.M.; Haukka, M.; Al-Shaalan, N.H.; Alkharboush, A.A.; Barakat, A. Synthesis and Structure Elucidation of Novel Spirooxindole Linked to Ferrocene and Triazole Systems via [3 + 2] Cycloaddition Reaction. Molecules 2022, 27, 4095. [Google Scholar] [CrossRef]
  13. Barakat, A.; Alshahrani, S.; Al-Majid, A.M.; Alamary, A.S.; Haukka, M.; Abu-Serie, M.M.; Dömling, A.; Mazyed, E.A.; Badria, F.A.; El-Senduny, F.F. Novel spirooxindole based benzimidazole scaffold: In vitro, nanoformulation and in vivo studies on anticancer and antimetastatic activity of breast adenocarcinoma. Bioorg. Chem. 2022, 129, 106124. [Google Scholar]
  14. Alshahrani, S.; Al-Majid, A.M.; Alamary, A.S.; Ríos-Gutiérrez, M.; Barakat, A. Exploring Regio- and Stereoselectivity in [3+2] Cycloaddition: Molecular Electron Density Theory Approach for Novel Spirooxindole-Based Benzimidazole with Pyridine Spacer. Crystals 2023, 13, 1085. [Google Scholar] [CrossRef]
  15. Alshahrani, S.; Al-Majid, A.M.; Ali, M.; Alamary, A.S.; Abu-Serie, M.M.; Dömling, A.; Shafiq, M.; Ul-Haq, Z.; Barakat, A. Rational Design, Synthesis, Separation, and Characterization of New Spiroxindoles Combined with Benzimidazole Scaffold as an MDM2 Inhibitor. Separations 2023, 10, 225. [Google Scholar] [CrossRef]
  16. Islam, M.S.; Al-Majid, A.M.; Sholkamy, E.N.; Barakat, A.; Viale, M.; Menichini, P.; Speciale, A.; Loiacono, F.; Azam, M.; Verma, V.P.; et al. Optimized spirooxindole-pyrazole hybrids targeting the p53-MDM2 interplay induce apoptosis and synergize with doxorubicin in A549 cells. Sci. Rep. 2023, 13, 7441. [Google Scholar] [CrossRef]
  17. Domingo, L.R. Molecular Electron Density Theory: A Modern View of Reactivity in Organic Chemistry. Molecules 2016, 21, 1319. [Google Scholar] [CrossRef]
  18. Stout, G.H.; Jensen, L.H. X-Ray Structure Determination, A Practical Guide, 2nd ed.; John Wiley & Sons: New York, NY, USA; Chichester, UK, 1989; p. 453. ISBN 0-471-60711-8. [Google Scholar]
  19. Spek, A.L. Single-crystal structure validation with the program PLATON. J. Appl. Cryst. 2003, 36, 7–13. [Google Scholar] [CrossRef]
  20. Jeffrey, G.; Maluszynska, H.; Mitra, J. Hydrogen bonding in nucleosides and nucleotides. Int. J. Biol. Macromol. 1985, 7, 336–348. [Google Scholar] [CrossRef]
  21. Parr, R.G.; Yang, W. Density Functional Theory of Atoms and Molecules; Oxford University Press: New York, NY, USA, 1989. [Google Scholar]
  22. Domingo, L.R.; Ríos-Gutiérrez, M.; Pérez, P. Applications of the conceptual density functional indices to organic chemistry reactivity. Molecules 2016, 21, 748. [Google Scholar] [CrossRef]
  23. Domingo, L.R.; Ríos-Gutiérrez, M. Application of Reactivity Indices in the Study of Polar Diels–Alder Reactions in Conceptual Density Functional Theory: Towards a New Chemical Reactivity Theory; Liu, S., Ed.; Wiley-VCH GmbH: Weinheim, Germany, 2022; Volume 2, pp. 481–502. [Google Scholar]
  24. Parr, R.G.; Pearson, R.G. Absolute hardness: Companion parameter to absolute electronegativity. J. Am. Chem. Soc. 1983, 105, 7512–7516. [Google Scholar] [CrossRef]
  25. Domingo, L.R. A new C-C bond formation model based on the quantum chemical topology of electron density. RSC Adv. 2014, 4, 32415–32428. [Google Scholar] [CrossRef]
  26. Domingo, L.R.; Ríos-Gutiérrez, M. A Useful Classification of Organic Reactions Based on the Flux of the Electron Density. SciRad 2023, 2, 1–24. [Google Scholar] [CrossRef]
  27. Parr, R.G.; Szentpaly, L.V.; Liu, S. Electrophilicity index. J. Am. Chem. Soc. 1999, 121, 1922–1924. [Google Scholar] [CrossRef]
  28. Ríos-Gutiérrez, M.; Saz Sousa, A.; Domingo, L.R. Electrophilicity and nucleophilicity scales at different DFT computational levels. J. Phys. Org. Chem. 2023, 36, e4503. [Google Scholar] [CrossRef]
  29. Domingo, L.R.; Chamorro, E.; Pérez, P. Understanding the reactivity of captodative ethylenes in polar cycloaddition reactions. A theoretical study. J. Org. Chem. 2008, 73, 4615–4624. [Google Scholar]
  30. Evans, M.G.; Polanyi, M. Some applications of the transition state method to the calculation of reaction velocities, especially in solution. Trans. Faraday Soc. 1935, 31, 875–894. [Google Scholar] [CrossRef]
  31. Fukui, K. Formulation of the reaction coordinate. J. Phys. Chem. 1970, 74, 4161–4163. [Google Scholar] [CrossRef]
  32. Domingo, L.R.; Sáez, J.A.; Zaragozá, R.J.; Arnó, M. Understanding the Participation of Quadricyclane as Nucleophile in Polar Cycloadditions toward Electrophilic Molecules. J. Org. Chem. 2008, 73, 8791–8799. [Google Scholar] [CrossRef]
  33. Chai, J.-D.; Head-Gordon, M. Long-range corrected hybrid density functionals with damped atom–atom dispersion corrections. Phys. Chem. Chem. Phys. 2008, 10, 6615–6620. [Google Scholar] [CrossRef]
  34. Hehre, M.J.; Radom, L.; Schleyer, P.v.R.; Pople, J. Ab initio Molecular Orbital Theory; Wiley: New York, NY, USA, 1986. [Google Scholar]
  35. Domingo, L.R.; Pérez. Lithium cation-catalyzed benzene Diels−Alder reaction: Insights on the molecular mechanism within the Molecular Electron Density Theory. J. Org. Chem. 2020, 85, 13121–13132. [Google Scholar] [CrossRef]
  36. Schlegel, H.B. Optimization of equilibrium geometries and transition structures. J. Comput. Chem. 1982, 3, 214–218. [Google Scholar] [CrossRef]
  37. Schlegel, H.B. Modern Electronic Structure Theory; Yarkony, D.R., Ed.; World Scientific Publishing: Singapore, 1994. [Google Scholar]
  38. Hratchian, H.P.; Schlegel, H.B. Theory and Applications of Computational Chemistry: The First 40 Years; Elsevier: Amsterdam, The Netherlands, 2005; pp. 195–249. [Google Scholar]
  39. Hratchian, H.P.; Schlegel, H.B. Accurate reaction paths using a Hessian based predictor–corrector integrator. J. Chem. Phys. 2004, 120, 9918–9924. [Google Scholar] [CrossRef] [PubMed]
  40. Hratchian, H.P.; Schlegel, H.B. Using Hessian Updating To Increase the Efficiency of a Hessian Based Predictor-Corrector Reaction Path Following Method. J. Chem. Theory Comput. 2005, 1, 61–69. [Google Scholar] [CrossRef]
  41. Tomasi, J.; Persico, M. Molecular interactions in solution: And overview of methods based on continuous distributions of the solvent. Chem. Rev. 1994, 94, 2027–2094. [Google Scholar] [CrossRef]
  42. Simkin, B.Y.; Sheikhet, I.I. Quantum Chemical and Statistical Theory of Solutions–Computational Approach; Ellis Horwood: London, UK, 1995. [Google Scholar]
  43. Cossi, M.; Barone, V.; Cammi, R.; Tomasi, J. Ab initio study of solvated molecules: A new implementation of the polarizable continuum model. Chem. Phys. Lett. 1996, 255, 327–335. [Google Scholar] [CrossRef]
  44. Cances, E.; Mennucci, B.; Tomasi, J. A new integral equation formalism for the polarizable continuum model: Theoretical background and applications to isotropic and anisotropic dielectrics. J. Chem. Phys. 1997, 107, 3032–3041. [Google Scholar] [CrossRef]
  45. Barone, V.; Cossi, M.; Tomasi, J. Geometry optimization of molecular structures in solution by the polarizable continuum model. J. Comput. Chem. 1998, 19, 404–417. [Google Scholar] [CrossRef]
  46. Reed, A.E.; Weinstock, R.B.; Weinhold, F. Natural population analysis. J. Chem. Phys. 1985, 83, 735–746. [Google Scholar] [CrossRef]
  47. Reed, A.E.; Curtiss, L.A.; Weinhold, F. Intermolecular interactions from a natural bond orbital, donor-acceptor viewpoint. Chem. Rev. 1988, 88, 899–926. [Google Scholar] [CrossRef]
  48. Frisch, M.J.; Trucks, G.W.; Schlegel, H.B.; Scuseria, G.E.; Robb, M.A.; Cheeseman, J.R.; Scalmani, G.; Barone, V.; Petersson, G.A.; Nakatsuji, H.; et al. Gaussian 16, Revision A.03; Gaussian Inc.: Wallingford, CT, USA, 2016. [Google Scholar]
  49. Dennington, R.; Keith, T.A.; Millam, J.M. GaussView, Version 6.0; Semichem Inc.: Shawnee Mission, KS, USA, 2016. [Google Scholar]
Figure 1. Selective bioactive fused triazoles and spirooxindoles derivatives. Spirooxindole-Benzimidazole Lead compound for breast adenocarcinoma treatment.
Figure 1. Selective bioactive fused triazoles and spirooxindoles derivatives. Spirooxindole-Benzimidazole Lead compound for breast adenocarcinoma treatment.
Molecules 28 06976 g001
Scheme 1. Synthesis of chalcones (5a-n) and spiro compounds (8a-n).
Scheme 1. Synthesis of chalcones (5a-n) and spiro compounds (8a-n).
Molecules 28 06976 sch001
Figure 2. ORTEP view of the synthesized 1,2,3-triazolyl ketone (4).
Figure 2. ORTEP view of the synthesized 1,2,3-triazolyl ketone (4).
Molecules 28 06976 g002
Figure 3. Molecular-packing diagram for 1,2,3-triazolyl ketone (4).
Figure 3. Molecular-packing diagram for 1,2,3-triazolyl ketone (4).
Molecules 28 06976 g003
Scheme 2. Competitive reaction paths associated with the 32CA reaction of AY 9 with chalcone 5a.
Scheme 2. Competitive reaction paths associated with the 32CA reaction of AY 9 with chalcone 5a.
Molecules 28 06976 sch002
Figure 4. ωB97X-D/6-311G(d,p) Gibbs free energy profile, in kcal·mol−1 as well as in methanol at 60 °C, for the 32CA reaction of AY 9 with chalcone 5a.
Figure 4. ωB97X-D/6-311G(d,p) Gibbs free energy profile, in kcal·mol−1 as well as in methanol at 60 °C, for the 32CA reaction of AY 9 with chalcone 5a.
Molecules 28 06976 g004
Figure 5. ωB97X-D/6-311G(d,p) optimized geometries in methanol of the TSs involved in the 32CA reaction of AY 9 with chalcone 5a. Distances between the interacting carbon atoms, highlighted in green, are given in angstroms, Å, while GEDT values, in red, are given in average number of electrons, e.
Figure 5. ωB97X-D/6-311G(d,p) optimized geometries in methanol of the TSs involved in the 32CA reaction of AY 9 with chalcone 5a. Distances between the interacting carbon atoms, highlighted in green, are given in angstroms, Å, while GEDT values, in red, are given in average number of electrons, e.
Molecules 28 06976 g005
Table 1. Crystal data and structural refinement data for 1,2,3-triazolyl ketone (4).
Table 1. Crystal data and structural refinement data for 1,2,3-triazolyl ketone (4).
Compound4
Empirical formula C13H13N5O
Formula weight 255.28
Temperature 102(2) K
Wavelength 1.54178 Å
Crystal system Tetragonal
Space group P(4)3
Unit-cell dimensionsa = 8.1744(2) Å σ = 90
b = 8.1744(2) Å β = 90°
c = 19.3863(8) Å δ = 90°.
Volume1295.41(8) Å3
Z4
Density (calculated)1.309 Mg/m3
Absorption coefficient0.724 mm−1
F(000)536
Crystal size0.280 × 0.070 × 0.040 mm3
Theta range for data collection5.411 to 67.814°
Index ranges−9 ≤ h ≤ 9, −9 ≤ k ≤ 9, −22 ≤ l ≤ 23
Reflections collected10,956
Independent reflections2023 [R(int) = 0.0591]
Completeness to theta = 67.679°86.8%
Absorption correctionSemi-empirical from equivalents
Refinement methodFull-matrix least-squares on F2
Data/restraints/parameters2023/1/180
Goodness-of-fit on F21.061
Final R indices [I > 2sigma(I)]R1 = 0.0319, wR2 = 0.0762
R indices (all data)R1 = 0.0337, wR2 = 0.0771
Absolute structure parameter0.4(4)
Extinction coefficient0.0147(16)
Largest diff. peak and hole0.172 and −0.186 e.Å−3
Table 2. Hydrogen bonds of 1,2,3-triazolyl ketone (4). Distances are given in angstroms Å, and angles are given in degrees °.
Table 2. Hydrogen bonds of 1,2,3-triazolyl ketone (4). Distances are given in angstroms Å, and angles are given in degrees °.
D–H···Ad(D–H)d(H···A)d(D···A)<(DHA)
N1–H2A···N2 0.87(4)2.01(4)2.878(3)178(4)
C8–H8AB···O10.992.503.029(3)113
C8–H8AB···N40.992.573.400(3)142
C4–H4···O10.952.583.448(4)151
C11–H11B···010.982.543.189(4)123
C11–H11C···N50.982.533.388(4)146
Table 3. ωB97X-D/6-311G(d,p) gas-phase electronic chemical potential (μ), chemical hardness (η), electrophilicity (ω), and nucleophilicity (N) indices, in eV, of AY 9 and chalcone 5a.
Table 3. ωB97X-D/6-311G(d,p) gas-phase electronic chemical potential (μ), chemical hardness (η), electrophilicity (ω), and nucleophilicity (N) indices, in eV, of AY 9 and chalcone 5a.
μηωN
Chalcone 5a−4.467.971.252.96
AY 9−2.926.920.615.02
Disclaimer/Publisher’s Note: The statements, opinions and data contained in all publications are solely those of the individual author(s) and contributor(s) and not of MDPI and/or the editor(s). MDPI and/or the editor(s) disclaim responsibility for any injury to people or property resulting from any ideas, methods, instructions or products referred to in the content.

Share and Cite

MDPI and ACS Style

Alshahrani, S.; Al-Majid, A.M.; Alamary, A.S.; Ali, M.; Altowyan, M.S.; Ríos-Gutiérrez, M.; Yousuf, S.; Barakat, A. Synthesis and Characterization of New Spirooxindoles Including Triazole and Benzimidazole Pharmacophores via [3+2] Cycloaddition Reaction: An MEDT Study of the Mechanism and Selectivity. Molecules 2023, 28, 6976. https://doi.org/10.3390/molecules28196976

AMA Style

Alshahrani S, Al-Majid AM, Alamary AS, Ali M, Altowyan MS, Ríos-Gutiérrez M, Yousuf S, Barakat A. Synthesis and Characterization of New Spirooxindoles Including Triazole and Benzimidazole Pharmacophores via [3+2] Cycloaddition Reaction: An MEDT Study of the Mechanism and Selectivity. Molecules. 2023; 28(19):6976. https://doi.org/10.3390/molecules28196976

Chicago/Turabian Style

Alshahrani, Saeed, Abdullah Mohammed Al-Majid, Abdullah Saleh Alamary, M. Ali, Mezna Saleh Altowyan, Mar Ríos-Gutiérrez, Sammer Yousuf, and Assem Barakat. 2023. "Synthesis and Characterization of New Spirooxindoles Including Triazole and Benzimidazole Pharmacophores via [3+2] Cycloaddition Reaction: An MEDT Study of the Mechanism and Selectivity" Molecules 28, no. 19: 6976. https://doi.org/10.3390/molecules28196976

APA Style

Alshahrani, S., Al-Majid, A. M., Alamary, A. S., Ali, M., Altowyan, M. S., Ríos-Gutiérrez, M., Yousuf, S., & Barakat, A. (2023). Synthesis and Characterization of New Spirooxindoles Including Triazole and Benzimidazole Pharmacophores via [3+2] Cycloaddition Reaction: An MEDT Study of the Mechanism and Selectivity. Molecules, 28(19), 6976. https://doi.org/10.3390/molecules28196976

Article Metrics

Back to TopTop