FT-MIR-ATR Associated with Chemometrics Methods: A Preliminary Analysis of Deterioration State of Brazil Nut Oil
Abstract
1. Introduction
2. Results and Discussion
2.1. Experimental Analyses
2.1.1. Acidity Index (AI)
2.1.2. Peroxide Index (PI)
2.1.3. FT-MIR Spectroscopy
2.2. Chemometrics
2.2.1. PCA Modeling Results
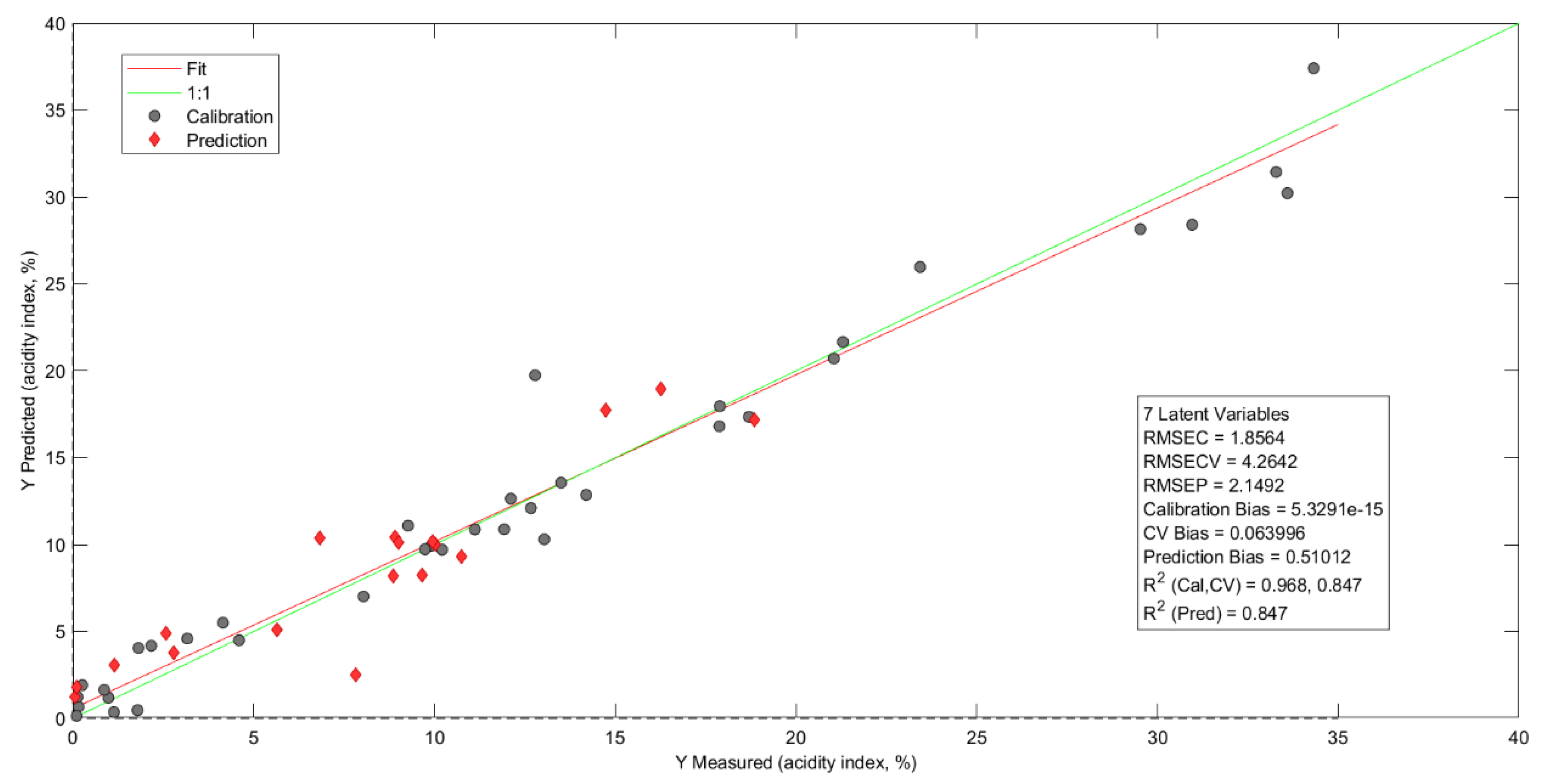
2.2.2. Results of Calibration and Prediction through PLSR
3. Materials and Methods
3.1. Obtaining Samples
3.2. Experimental Analyses
3.2.1. Acidity Index
3.2.2. Peroxide Index
3.2.3. FT-MIR Spectroscopy
3.3. Statistical Treatment
3.3.1. Principal Components Analysis (PCA)
3.3.2. Partial Least Squares Regression (PLSR)
4. Conclusions
Author Contributions
Funding
Institutional Review Board Statement
Informed Consent Statement
Data Availability Statement
Acknowledgments
Conflicts of Interest
Correction Statement
Sample Availability
References
- Dos Santos, O.V.; Langley, A.C.D.C.P.; de Lima, A.J.M.; Moraes, V.S.V.; Soares, S.D.; Teixeira-Costa, B.E. Nutraceutical potential of Amazonian oilseeds in modulating the immune system against COVID-19–A narrative review. J. Funct. Foods 2022, 94, 105123. [Google Scholar] [CrossRef] [PubMed]
- Perez-Nakai, A.; Lerma-Canto, A.; Dominguez-Candela, I.; Ferri, J.M.; Fombuena, V. Novel Epoxidized Brazil Nut Oil as a Promising Plasticizing Agent for PLA. Polymers 2023, 15, 1997. [Google Scholar] [CrossRef] [PubMed]
- Perez-Nakai, A.; Lerma-Canto, A.; Domingez-Candela, I.; Garcia-Garcia, D.; Ferri, J.M.; Fombuena, V. Comparative study of the properties of plasticized polylactic acid with maleinized hemp seed oil and a novel maleinized brazil nut seed oil. Polymers 2021, 13, 2376. [Google Scholar] [CrossRef] [PubMed]
- Rojas-Bringas, P.M.; De-La-Torre, G.E.; Torres, F.G. Influence of the source of starch and plasticizers on the environmental burden of starch-Brazil nut fiber biocomposite production: A life cycle assessment approach. Sci. Total Environ. 2021, 769, 144869. [Google Scholar] [CrossRef]
- Vasquez-Rojas, W.V.; Martín, D.; Fornari, T.; Cano, M.P. Brazil Nut (Bertholletia excelsa) Beverage Processed by High-Pressure Homogenization: Changes in Main Components and Antioxidant Capacity during Cold Storage. Molecules 2023, 28, 4675. [Google Scholar] [CrossRef]
- Balachandar, J.; Ahamed, S.H.I.; Agrawal, A.K.; Khanna, B.; Khanna, D.; Jayachandran, M. Omega-3 and Its Anti-Inflammatory Properties–The Key to Fight Inflammation Effectively. Int. J. Nutr. Food Sci. 2023, 12, 86. [Google Scholar] [CrossRef]
- Sinha, S.; Haque, M.; Lugova, H.; Kumar, S. The Effect of Omega-3 Fatty Acids on Insulin Resistance. Life 2023, 13, 1322. [Google Scholar] [CrossRef]
- Mohsen, G.; Stroemer, A.; Mayr, A.; Kunsorg, A.; Stoppe, C.; Wittmann, M.; Velten, M. Effects of Omega-3 Fatty Acids on Postoperative Inflammatory Response: A Systematic Review and Meta-Analysis. Nutrients 2023, 15, 3414. [Google Scholar] [CrossRef]
- Derbyshire, E.; Higgs, J.; Feeney, M.J.; Carughi, A. Believe It or ‘Nut’: Why It Is Time to Set the Record Straight on Nut Protein Quality: Pistachio (Pistacia vera L). Focus Nutr. 2023, 15, 2158. [Google Scholar] [CrossRef]
- Ferrari, C.K. Anti-atherosclerotic and cardiovascular protective benefits of Brazilian nuts. Front. Biosci. Sch. 2020, 12, 38–56. [Google Scholar] [CrossRef]
- Rajaram, S.; Damasceno, N.R.T.; Braga, R.A.M.; Martinez, R.; Kris-Etherton, P.; Sala-Vila, A. Effect of Nuts on Markers of Inflammation and Oxidative Stress: A Narrative Review. Nutrients 2023, 15, 1099. [Google Scholar] [CrossRef]
- Mehta, P.; Tawfeeq, S.; Padte, S.; Sunasra, R.; Desai, H.; Surani, S.; Kashyap, R. Plant-based diet and its effect on coronary artery disease: A narrative review. World J. Clin. Cases 2023, 11, 4752. [Google Scholar] [CrossRef]
- Dludla, P.V.; Ziqubu, K.; Mabhida, S.E.; Mazibuko-Mbeje, S.E.; Hanser, S.; Nkambule, B.B.; Kengne, A.P. Dietary Supplements Potentially Target Plasma Glutathione Levels to Improve Cardiometabolic Health in Patients with Diabetes Mellitus: A Systematic Review of Randomized Clinical Trials. Nutrients 2023, 15, 944. [Google Scholar] [CrossRef] [PubMed]
- Sartori, A.G.O.; Regitano-D’Arce, M.A.B.; Skibsted, L.H. Brazil nuts: Nutritional benefits of a unique combination of antioxidants. J. Food Bioact. 2020, 9, 36–39. [Google Scholar] [CrossRef]
- ANVISA. Technical Regulation for Identity and Quality Standards for Vegetable Oils, Vegetable Fats and Vegetable Cream. RDC Number 270. 2005. Available online: https://bvsms.saude.gov.br/bvs/saudelegis/anvisa/2005/rdc0270_22_09_2005.html (accessed on 27 July 2021).
- Iwuchukwu, A.B.; Agu, H.O.; Mba, J.C.; Igwe, N.P. Conformability of Five Brands of Vegetable Oil Sold in Roban Stores Awka, Nigeria to NAFDAC Set Standards. In E-Proceedings of the Faculty of Agriculture International Conference; Faculty of Agriculture, Nnamdi Azikiwe University: Awka, Nigeria, 2023; Volume 1, pp. 207–212. Available online: https://journals.unizik.edu.ng/faic/article/view/1924 (accessed on 6 September 2023).
- Abed, H.M.; Khairy, H.L. The Effect of Adding Pumpkin Seed Oil on Physicochemical and Sensory Properties of the Mayonnaise. IOP Conf. Ser. Earth Environ. Sci. 2023, 1214, 12037. [Google Scholar] [CrossRef]
- Ambreen, G.; Siddiq, A.; Hussain, K. Association of long-term consumption of repeatedly heated mixed vegetable oils in different doses and hepatic toxicity through fat accumulation. Lipids Health Dis. 2020, 19, 69. [Google Scholar] [CrossRef]
- Codex Alimentarius Commission. Codex Standard for Named Vegetable Oils; Codex Alimentarius Commission: Rome, Italy, 2001; Volume 8, pp. 1–13. [Google Scholar]
- Tavolaro, P.; Catalano, S.; Tavolaro, A. Anticancer activity modulation of an innovative solid formulation of extra virgin olive oil by cultured zeolite scaffolds. Food Chem. Toxicol. 2019, 124, 139–150. [Google Scholar] [CrossRef]
- Chen, X.; Ran, J.; Mazhar, M.; Zhu, Y.; Lin, Y.; Qin, L.; Miao, S. The balanced unsaturated fatty acid supplement constituted by woody edible oils improved lipid metabolism and gut microbiota in high-fat diet mice. Front. Nutr. 2023, 10, 1203932. [Google Scholar] [CrossRef]
- Dodoo, D.; Adjei, F.; Tulashie, S.K.; Adukpoh, K.E.; Agbolegbe, R.K.; Gawou, K.; Manu, G.P. Quality evaluation of different repeatedly heated vegetable oils for deep-frying of yam fries. Meas. Food 2022, 7, 100035. [Google Scholar] [CrossRef]
- Rodríguez, J.L.; Berrios, P.; Clavo, Z.M.; Marin-Bravo, M.; Inostroza-Ruiz, L.; Ramos-Gonzalez, M.; Goya, L. Chemical Characterization, Antioxidant Capacity and Anti-Oxidative Stress Potential of South American Fabaceae Desmodium tortuosum. Nutrients 2023, 15, 746. [Google Scholar] [CrossRef]
- García-Ruíz, A.B.; Chova-Martínez, M.; Bermejo-Román, R. Improvement of physico-chemical properties of arbequina extra virgin olive oil enriched with β-carotene from fungi. J. Oleo Sci. 2021, 70, 459–469. [Google Scholar] [CrossRef]
- Du, Q.W.; Zhu, M.T.; Shi, T.; Luo, X.; Gan, B.; Tang, L.; Chen, Y. Detection of adulteration of corn oil, rapeseed oil and sunflower oil in camellia oil by near-infrared spectroscopy and diffuse reflectance chemometrics in situ. Food Control 2021, 121, 107577. [Google Scholar] [CrossRef]
- Tittlemier, S.A.; Cramer, B.; Dall’Asta, C.; Iha, M.H.; Lattanzio, V.M.T.; Malone, R.J.; Stroka, J. Developments in mycotoxin analysis: An update for 2017–2018. World Mycotoxin J. 2019, 12, 3–29. [Google Scholar] [CrossRef]
- Se, K.W.; Wahab, R.A.; Yaacob, S.N.S.; Ghoshal, S.K. Detection techniques for adulterants in honey: Challenges and recent trends. J. Food Compos. Anal. 2019, 80, 16–32. [Google Scholar] [CrossRef]
- Derman, D.; Şenel, E.C.; Opar, E.; Ferhanoğlu, O.; Polat, Ö. Optical characterization of olive and sun flower oils via Mueller matrix polarimetry in combination with principal component analysis. J. Food Meas. Charact. 2021, 15, 2309–2317. [Google Scholar] [CrossRef]
- Herculano, L.S.; Lukasievicz, G.V.; Sehn, E.; Torquato, A.S.; Belançon, M.P.; Savi, E.; Kimura, N.M.; Malacarne, L.C.; Baesso, M.L.; Astrath, N.G. The correlation of physicochemical properties of edible vegetable oils by chemometric analysis of spectroscopic data. Spectrochim. Acta Part A Mol. Biomol. Spectrosc. 2021, 245, 118877. [Google Scholar] [CrossRef] [PubMed]
- Aghili, N.S.; Rasekh, M.; Karami, H.; Edriss, O.; Wilson, A.D.; Ramos, J. Aromatic fingerprints: VOC analysis with E-nose and GC-MS for rapid detection of adulteration in sesame oil. Sensors 2023, 23, 6294. [Google Scholar] [CrossRef]
- Serra, J.L.; Rodrigues, A.M.C.; de Freitas, R.A.; Meirelles, A.J.A.; Darnet, S.H.; Silva, L.H.M. Alternative sources of oils and fats from Amazonian plants: Fatty acids, methyl tools, total carotenoids and chemical composition. Food Res. Int. 2019, 116, 12–19. [Google Scholar] [CrossRef]
- Bruni, A.R.S.; de Oliveira, V.M.A.T.; Fernandez, A.S.T.; Sakai, O.A.; Março, P.H.; Valderrama, P. Attenuated total reflectance Fourier transform (ATR-FTIR) spectroscopy and chemometrics for organic cinnamon evaluation. Food Chem. 2021, 365, 130466. [Google Scholar] [CrossRef]
- dos Santos, J.X.; Vieira, H.C.; Souza, D.V.; de Menezes, M.C.; de Muñiz, G.I.B.; Soffiatti, P.; Nisgoski, S. Discrimination of “Louros” wood from the Brazilian Amazon by near-infrared spectroscopy and machine learning techniques. Eur. J. Wood Wood Prod. 2021, 79, 989–998. [Google Scholar] [CrossRef]
- Alonso-Salces, R.M.; Berrueta, L.Á.; Quintanilla-Casas, B.; Vichi, S.; Tres, A.; Collado, M.I.; Asensio-Regalado, C.; Viacava, G.E.; Poliero, A.A.; Valli, E.; et al. Stepwise strategy based on 1H-NMR fingerprinting in combination with chemometrics to determine the content of vegetable oils in olive oil mixtures. Food Chem. 2022, 366, 130588. [Google Scholar] [CrossRef]
- Loh, A.; Soon, Z.Y.; Ha, S.Y.; Yim, U.H. High-throughput screening of oil fingerprint using FT-IR coupled with chemometrics. Sci. Total Environ. 2021, 760, 143354. [Google Scholar] [CrossRef] [PubMed]
- Zhang, X.; Huaizhi, L.; Zhang, Y.; Qi, H.; Yang, X.; Wang, Q. Quantitative analysis of the oil mixture using PLS combined with spectroscopy detection. Optik 2021, 244, 167611. [Google Scholar] [CrossRef]
- Marinho, V.H.; Holanda, F.H.; Araújo, I.F.; Jimenez, D.E.; Pereira, R.R.; Porto, A.L.; Ferreira, A.M.; Carvalho, J.C.; de Freitas, A.C.A.; Fernandes, C.P.; et al. Nanoparticles from silk fibroin and Amazon oils: Potential larvicidal activity and oviposition deterrence against Aedes aegypti. Ind. Crops Prod. 2023, 203, 117133. [Google Scholar] [CrossRef]
- Castro, V.R.; Furtado, M.C.S.; Bermúdez, V.M.S.; DA Silva, E.F.; Do Nascimento, V.L.V. Evaluation of the oleochemical quality of sesame (Sesamum indicum) and sunflower (Helianthus annus) seeds. Res. Soc. Dev. 2021, 10, e3510716226. [Google Scholar] [CrossRef]
- da Silva, E.C.C.; da Rocha, C.B.; da Cunha, F.F. Brazil nut oil: Contextualizing the presence of selenium and vitamin E Pará chestnut oil: Contextualizing the presence of selenium and vitamin E. Braz. J. Dev. 2021, 19, 7. [Google Scholar] [CrossRef]
- Wang, L.; Wang, J.; Xu, J.; Liu, S.; Huang, S.; Han, S.; Liu, Y.; Lv, M. Highly sensitive qualitative and quantitative detection of saturated fatty aldehydes in edible vegetable oils using a “turn-on” fluorescent probe by high-performance liquid chromatography. J. Chromatogr. 2020, 1621, 461063. [Google Scholar] [CrossRef]
- Rincón, L.A.; Cadavid, J.G.; Orjuela, A. Used cooking oils as potential oleochemical feedstock for urban biorefineries–Study case in Bogota, Colombia. Waste Manag. 2019, 88, 200–210. [Google Scholar] [CrossRef]
- Aghel, B.; Gouran, A.; Parandi, E.; Jumeh, B.H.; Nodeh, H.R. Production of biodiesel from high acidity waste cooking oil using nano GO@MgO catalyst in a microreactor. Renew. Energy 2022, 200, 294–302. [Google Scholar] [CrossRef]
- Mitrea, L.; Teleky, B.E.; Leopold, L.F.; Nemes, S.A.; Plamada, D.; Dulf, F.V.; Pop, I.D.; Vodnar, D.C. The physicochemical properties of five vegetable oils exposed at high temperature for a short time interval. J. Food Compos. Anal. 2022, 106, 104305. [Google Scholar] [CrossRef]
- Kharbach, M.; Alaoui Mansouri, M.; Taabouz, M.; Yu, H. Current Application of Advancing Spectroscopy Techniques in Food Analysis: Data Handling with Chemometric Approaches. Foods 2023, 12, 2753. [Google Scholar] [CrossRef] [PubMed]
- Cardoso, I.C.C.; Santos, A.C.; Cardoso, L.C.C.; DE Almeida, M.B. Antimicrobial potential of ozonized vegetable oils against bacterial species: An integrative review. Res. Soc. Dev. 2021, 10, e22410212451. [Google Scholar] [CrossRef]
- Antonic, B.; Dordevic, D.; Dordevic, S.; Tremlová, B.; Nejezchlebova, M.; Goldová, K.; Treml, J. Reused vegetable frying oil: A case study with homemade soaps. Processos 2021, 9, 529. [Google Scholar] [CrossRef]
- Ramírez, L.M.; Cadavid, J.G.; Orjuela, A.; Gutiérrez, M.F.; Bohórquez, W.F. Epoxidation of used cooking oils: Kinetic modeling and reaction optimization. Chem. Eng. Process. Process Intensif. 2022, 176, 108963–108975. [Google Scholar] [CrossRef]
- Purwadi, R.; Adisasmito, S.; Pramudita, D.; Indarto, A. Strategies for Restoration and Utilization of Degraded Lands for Sustainable Oil Palm Plantation and Industry. In Agroecological Approaches for Sustainable Soil Management; Wiley: Hoboken, NJ, USA, 2023; pp. 373–408. [Google Scholar] [CrossRef]
- Sharma, S.; Kundu, A.; Basu, S.; Shetti, N.P.; Aminabhavi, T.M. Sustainable environmental management and related biofuel technologies. J. Environ. Manag. 2020, 273, 11096. [Google Scholar] [CrossRef] [PubMed]
- Gharby, D. Refining Vegetable Oils: Chemical and Physical Refining. Sci. World J. 2020, 2022, 6627013. [Google Scholar] [CrossRef]
- Pérez-Saucedo, M.R.; Jiménez-Ruiz, E.I.; Rodríguez-Carpena, J.G.; Ragazzo-Sánchez, J.A.; Ulloa, J.A.; Ramírez-Ramírez, J.C.; Gastón-Peña, C.R.; Bautista-Rosales, P.U. Properties of the avocado oil extracted using centrifugation and ultrasound-assisted methods. Food Sci. Biotechnol. 2021, 30, 1051–1061. [Google Scholar] [CrossRef]
- de Menezes, L.C.; de Sousa, E.R.; da Silva, G.S.; Marques, A.L.B.; Viegas, H.D.C.; Dos Santos, M.J.C. Investigations on Storage and Oxidative Stability of Biodiesel from Different Feedstocks Using the Rancimat Method, Infrared Spectroscopy, and Chemometry. ACS Omega 2022, 7, 30746–30755. [Google Scholar] [CrossRef]
- Brandão Júnior, J.; Andrade do Nascimento, J.G.; França Silva, M.P.; Lima Brandão, E.d.A.; de Castro Bizerra, V.; dos Santos, K.M.; Serpa, J.d.F.; Santos, J.C.S.d.; da Fonseca, A.M.; Vasconcelos de Oliveira, D.L.; et al. Performance of Eversa Transform 2.0 Lipase in Ester Production Using Babassu Oil (Orbignya sp.) and Tucuman Oil (Astrocaryum vulgar): A Comparative Study between Liquid and Immobilized Forms in Fe3O4 Nanoparticles. Catalysts 2023, 13, 571. [Google Scholar] [CrossRef]
- Okoye, S.I.; Waziri, A.Y.; Mohammed, A.; Abubakar, A.M. Synthesis and characterization of vegetable oil-based polyol from Jatropha curcas (euphorbiaceae) seed oil. Niger. J. Eng. Sci. Technol. Res. 2023, 9, 144–148. [Google Scholar]
- Vicentini-Polette, C.M.; Ramos, P.R.; Gonçalves, C.B.; De Oliveira, A.L. Determination of free fatty acids in crude vegetable oil samples obtained by high-pressure processes. Food Chem. X 2021, 12, 100166. [Google Scholar] [CrossRef] [PubMed]
- Hoffmann, J.F.; Fasquelle, T.; Vaitilingom, G.; Olives, R.; Py, X.; Goetz, V. Compatibility of vegetable oils with solid filler materials for thermocline thermal energy storage systems. Sol. Energy Mater. Sol. Cells 2019, 200, 109932. [Google Scholar] [CrossRef]
- Vilela, J.; Coelho, L.; de Almeida, J.M.M.M. Investigation of adulteration of sunflower oil with thermally deteriorated oil using Fourier transform mid-infrared spectroscopy and chemometrics. Cogent Food Agric. 2015, 1, 1020254. [Google Scholar] [CrossRef]
- de Sousa, E.R.; Frota, C.S.; Costa, C.H.C.; da Silva, G.S.; Sampaio, D.G. Evaluation of oxidation and quality parameters of Babassu oil by medium infrared spectroscopy with Fourier transform (FTIR) and multivariate calibration. Rev. Virtual Quim. 2019, 11, 849–865. [Google Scholar] [CrossRef]
- de Santana, F.B.; de Souza, A.M.; Almeida, M.R.; Breitkreitz, M.C.; Filgueiras, P.R.; Sena, M.M.; Jesus Poppi, R. Experimento didático de quimiometria para classificação de óleos vegetais comestíveis por espectroscopia no infravermelho médio combinado com análise discriminante por mínimos quadrados parciais: Um tutorial, PARTE V. Quim. Nova 2020, 43, 371–381. [Google Scholar] [CrossRef]
- Zhang, Z.; Hao, N.; Wang, L.; Li, S.; Yan, X.; Guo, X.; Lian, Y.; Li, W. Rapid quality assessment of Gentianae Macrophyllae Radix based on near infrared spectroscopy and capillary electrophoresis. Electrophoresis 2023, 44, 1068–1079. [Google Scholar] [CrossRef]
- Qiao, L.; Mu, Y.; Lu, B.; Tang, X. Calibration maintenance application of near-infrared spectrometric model in food analysis. Food Rev. Int. 2023, 39, 1628–1644. [Google Scholar] [CrossRef]
- Rohman, A.; Indrayanto, G. Fourier transform infrared spectroscopy combined with multivariate analysis for quality analysis of fats and oils. Food Qual. Anal. 2023, 1, 49–70. [Google Scholar] [CrossRef]
- Fetter, L.F.; Filoda, P.F.; Tischer, B.; de Cassia de Souza Schneider, R.; Teichmann, A.; Santos, R.O.; Helfer, G.A.; da Costa, A.B. At-line monitoring of industrial frying processes using the ATR-FTIR-PLS method. J. Food Process Eng. 2018, 41, e12891. [Google Scholar] [CrossRef]
- Yan, Y.; Borhani, T.N.; Subraveti, S.G.; Pai, K.N.; Prasad, V.; Rajendran, A.; Nkulikiyinka, P.; Asibor, J.O.; Zhang, Z.; Shao, D.; et al. Harnessing the power of machine learning for carbon capture, utilisation, and storage (CCUS)—A state-of-the-art review. Energy Environ. Sci. 2021, 14, 6122–6157. [Google Scholar] [CrossRef]
- Ríos-Reina, R.; Camiña, J.M.; Callejón, R.M.; Azcarate, S.M. Spectralprint techniques for wine and vinegar characterization, authentication and quality control: Advances and projections. TrAC Trends Anal. Chem. 2021, 134, 116121. [Google Scholar] [CrossRef]
- Li, C.; Wang, Y. Non-Targeted Analytical Technology in Herbal Medicines: Applications, Challenges, and Perspectives. Crit. Rev. Anal. Chem. 2022. [Google Scholar] [CrossRef]
- Ordoudi, S.A.; Strani, L.; Cocchi, M. Toward the Non-Targeted Detection of Adulterated Virgin Olive Oil with Edible Oils via FTIR Spectroscopy & Chemometrics: Research Methodology Trends, Gaps and Future Perspectives. Molecules 2023, 28, 337. [Google Scholar] [CrossRef] [PubMed]
- Vasquez, W.V.; Hernández, D.M.; del Hierro, J.N.; Martin, D.; Cano, M.P.; Fornari, T. Supercritical carbon dioxide extraction of oil and minor lipid compounds of cake byproduct from Brazil nut (Bertholletia excelsa) beverage production. J. Supercrit. Fluids 2021, 171, 105188. [Google Scholar] [CrossRef]
- Castro, R.C.; Ribeiro, D.S.M.; Santos, J.L.M.; Páscoa, R.N.M.J. The use of in-situ Raman spectroscopy to monitor at real time the quality of different types of edible oils under frying conditions. Food Control 2022, 136, 108879. [Google Scholar] [CrossRef]
- Okere, E.E.; Arendse, E.; Nieuwoudt, H.; Perold, W.J.; Opara, U.L. Non-destructive Evaluation of the Quality Characteristics of Pomegranate Kernel Oil by Fourier Transform Near-Infrared and Mid-Infrared Spectroscopy. Front. Plant Sci. 2022, 13, 867555. [Google Scholar] [CrossRef]
- Borba, K.R.; Spricigo, P.C.; Aykas, D.P.; MitsuyukI, M.C.; Colnago, L.A.; Ferreira, M.D. Non-invasive quantification of vitamin C, citric acid, and sugar in ‘Valência’ oranges using infrared spectroscopies. J. Food Sci. Technol. 2021, 58, 731–738. [Google Scholar] [CrossRef]
- Borghi, F.T.; Santos, P.C.; Santos, F.D.; Nascimento, M.H.C.; Corrêa, T.; Cesconetto, M.; Pires, A.A.; Ribeiro, A.V.F.N.; Lacerda, V.; Romão, W.; et al. Quantification and classification of vegetable oils in extra virgin olive oil samples using a portable near-infrared spectrometer associated with chemometrics. Microchem. J. 2020, 159, 105544. [Google Scholar] [CrossRef]
- Deus, V.L.; Resende, L.M.; Bispo, E.S.; Franca, A.S.; Gloria, M.B.A. FTIR and PLS regression in the evaluation of bioactive amines, total phenolic compounds and antioxidant potential of dark chocolates. Food Chem. 2021, 357, 129754–129763. [Google Scholar] [CrossRef]
- Elmasry, G.; Mandour, N.; Ejeez, Y.; Demilly, D.; Al-Rejaie, S.; Verdier, J.; Belin, E.; Rousseau, D. Multichannel imaging to monitor the chemical composition and germination capacity of cowpea (Vigna unguiculata) seeds during development and maturation. Crop J. 2022, 10, 1399–1411. [Google Scholar] [CrossRef]
- Kaufmann, K.C.; Sampaio, K.A.; García-Martín, J.F.; Barbin, D.F. Identification of coriander oil adulteration using a portable NIR spectrometer. Food Control 2022, 132, 108536. [Google Scholar] [CrossRef]
- Lamas, S.; Rodrigues, N.; Fernandes, I.P.; Barreiro, M.F.; Pereira, J.A.; Peres, A.M. Fourier transforms infrared spectroscopy-chemometric approach as a non-destructive olive cultivar tool for discriminating Portuguese monovarietal olive oils. Eur. Food Res. Technol. 2021, 247, 2473–2484. [Google Scholar] [CrossRef]
- AOCS. Official Methods and Recommended Practices of the American Oil Chemists’ Society Method Cd 3d-63 Acid Value of Fats and Oils, 7th ed.; AOCS: Urbana, IL, USA, 2017. [Google Scholar]
- AOCS. Official Methods and Recommended Practices of the American Oil Chemists’ Society Method Cd 8b-90 Peroxide Value, Acetic Acid, Isooctane Method, 7th ed.; AOCS: Urbana, IL, USA, 2017. [Google Scholar]









| IV | N | LV | RMSEC | RMSECV | R2cal | RMSEP | R2val | R2pred |
|---|---|---|---|---|---|---|---|---|
| AI | 451 | 7 | 1.8564 | 4.2641 | 0.9679 | 2.1491 | 0.8474 | 0.8468 |
| PI | 450 | 7 | 0.0005 | 0.0016 | 0.9670 | 0.00079 | 0.7149 | 0.9099 |
Disclaimer/Publisher’s Note: The statements, opinions and data contained in all publications are solely those of the individual author(s) and contributor(s) and not of MDPI and/or the editor(s). MDPI and/or the editor(s) disclaim responsibility for any injury to people or property resulting from any ideas, methods, instructions or products referred to in the content. |
© 2023 by the authors. Licensee MDPI, Basel, Switzerland. This article is an open access article distributed under the terms and conditions of the Creative Commons Attribution (CC BY) license (https://creativecommons.org/licenses/by/4.0/).
Share and Cite
da Silva, B.S.F.; Ferreira, N.R.; Alamar, P.D.; de Melo e Silva, T.; Pinheiro, W.B.d.S.; dos Santos, L.N.; Alves, C.N. FT-MIR-ATR Associated with Chemometrics Methods: A Preliminary Analysis of Deterioration State of Brazil Nut Oil. Molecules 2023, 28, 6878. https://doi.org/10.3390/molecules28196878
da Silva BSF, Ferreira NR, Alamar PD, de Melo e Silva T, Pinheiro WBdS, dos Santos LN, Alves CN. FT-MIR-ATR Associated with Chemometrics Methods: A Preliminary Analysis of Deterioration State of Brazil Nut Oil. Molecules. 2023; 28(19):6878. https://doi.org/10.3390/molecules28196878
Chicago/Turabian Styleda Silva, Braian Saimon Frota, Nelson Rosa Ferreira, Priscila Domingues Alamar, Thiago de Melo e Silva, Wandson Braamcamp de Souza Pinheiro, Lucely Nogueira dos Santos, and Cláudio Nahum Alves. 2023. "FT-MIR-ATR Associated with Chemometrics Methods: A Preliminary Analysis of Deterioration State of Brazil Nut Oil" Molecules 28, no. 19: 6878. https://doi.org/10.3390/molecules28196878
APA Styleda Silva, B. S. F., Ferreira, N. R., Alamar, P. D., de Melo e Silva, T., Pinheiro, W. B. d. S., dos Santos, L. N., & Alves, C. N. (2023). FT-MIR-ATR Associated with Chemometrics Methods: A Preliminary Analysis of Deterioration State of Brazil Nut Oil. Molecules, 28(19), 6878. https://doi.org/10.3390/molecules28196878

