Approach of Supercritical Carbon Dioxide for the Extraction of Kleeb Bua Daeng Formula
Abstract
:1. Introduction
2. Results
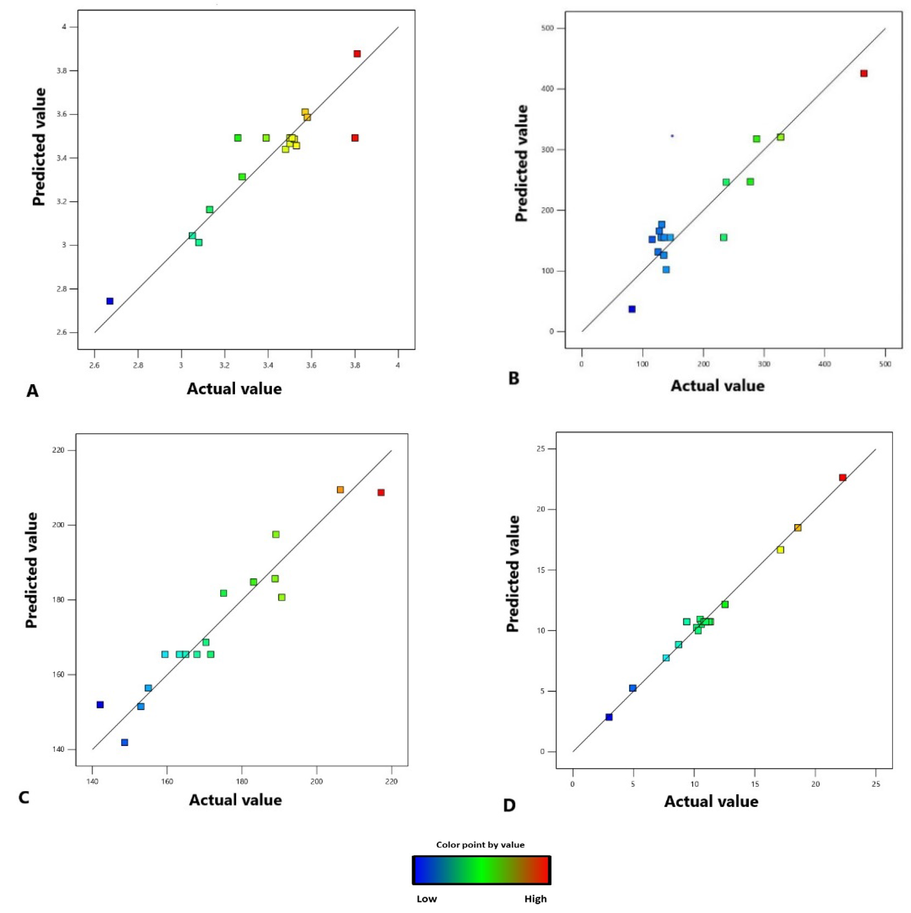
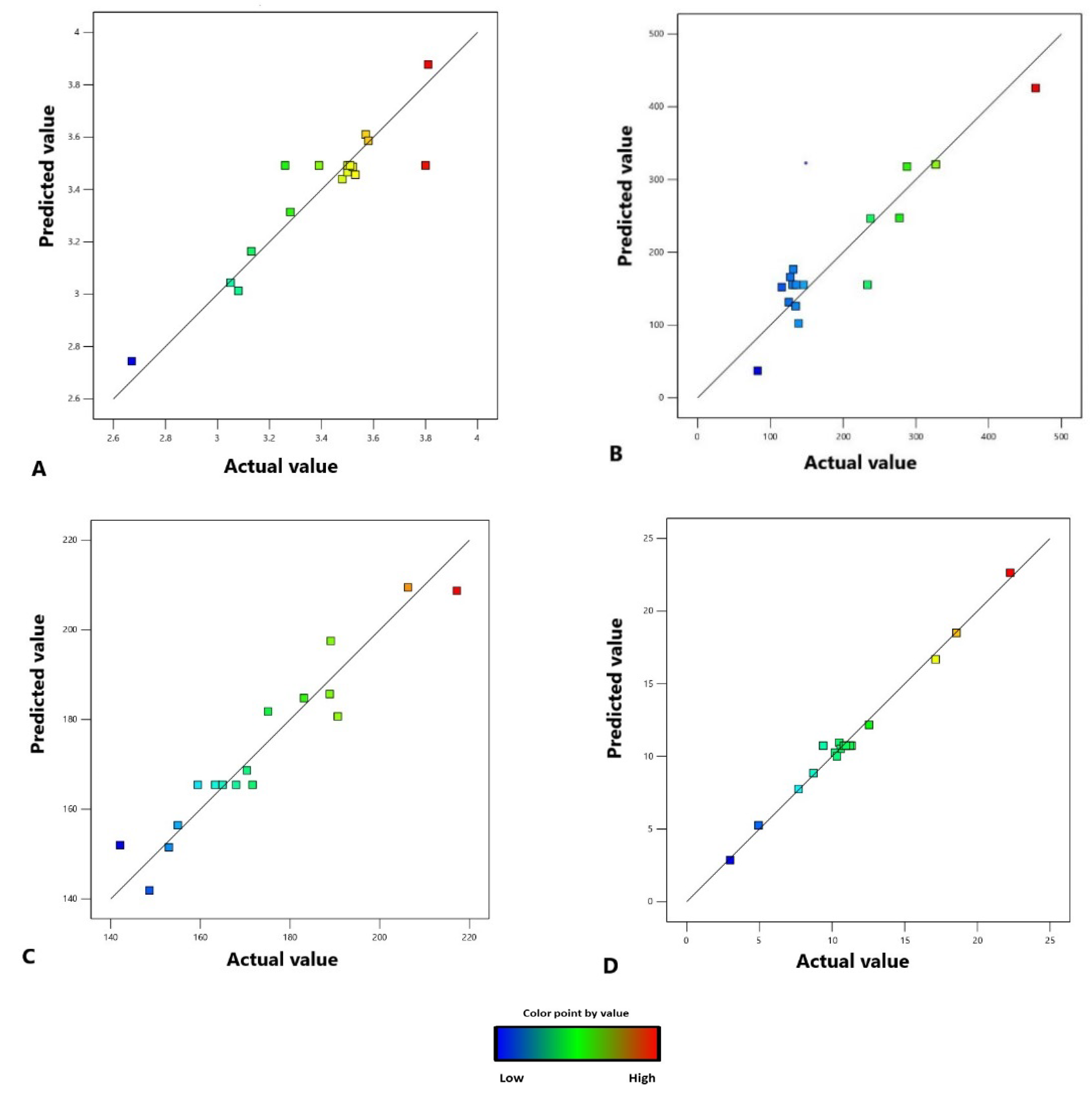
2.1. Optimization of Variable Conditions for SFE
2.2. Effects of SFE Conditions on the Percentage Extraction Yield
2.3. Effects of SFE Conditions on Total Phenolic Content (TPC)
2.4. Effects of SFE Conditions on Total Flavonoid Content (TFC)
2.5. Effects of SFE Conditions on Total Carotenoid Content (TCC)
2.6. Effects of SFE Conditions on Total Anthocyanin Content (TAC)
3. Discussion
4. Materials and Methods
4.1. Plant Materials
4.2. Chemicals and Reagents
4.3. Experimental Design
4.4. Supercritical Fluid Extraction (SFE) for KBD Formula
4.5. Determination of the Extraction Yield
4.6. Analysis of Phytochemical Content in KBD Extract
4.6.1. Determination of the Total Phenolic Content (TPC)
4.6.2. Determination of the Total Flavonoid Content (TFC)
4.6.3. Determination of the Total Carotenoid Content (TCC)
4.6.4. Determination of the Total Anthocyanin Content (TAC)
4.7. Statistical Analysis
5. Conclusions
Author Contributions
Funding
Institutional Review Board Statement
Informed Consent Statement
Data Availability Statement
Acknowledgments
Conflicts of Interest
Sample Availability
References
- Ngamkhae, N.; Monthakantirat, O.; Chulikhit, Y.; Boonyarat, C.; Khamphukdee, C.; Maneenat, J.; Kwankhao, P.; Pitiporn, S.; Daodee, S. Optimized Extraction Method for Kleeb Bua Daeng Formula with the Aid of the Experimental Design. J. Chem. 2021, 2021, 1457729. [Google Scholar] [CrossRef]
- Musigavong, N.; Boonyarat, C.; Chulikhit, Y.; Monthakantirat, O.; Limudomporn, M.; Pitiporn, S.; Kwankhao, P.; Daodee, S. Efficacy and Safety of Kleeb Bua Daeng Formula in Mild Cognitive Impairment Patients: A Phase I Randomized, Double-Blind, Placebo-Controlled Trial. Evidence-based complementary and alternative medicine. eCAM 2022, 2022, 1148112. [Google Scholar] [CrossRef]
- Deng, J.; Chen, S.; Yin, X.; Wang, K.; Liu, Y.; Li, S.; Yang, P. Systematic qualitative and quantitative assessment of anthocyanins, flavones and flavonols in the petals of 108 lotus (Nelumbo nucifera) cultivars. Food Chem. 2013, 139, 307–312. [Google Scholar] [CrossRef] [PubMed]
- Intui, K.; Nuchniyom, P.; Laoung-On, J.; Jaikang, C.; Quiggins, R.; Sudwan, P. Neuroprotective Effect of White Nelumbo nucifera Gaertn. Petal Tea in Rats Poisoned with Mancozeb. Foods 2023, 12, 2175. [Google Scholar] [CrossRef] [PubMed]
- Deng, Y.; Sriwiriyajan, S.; Tedasen, A.; Hiransai, P.; Graidist, P. Anti-cancer effects of Piper nigrum via inducing multiple molecular signaling in vivo and in vitro. J. Ethnopharmacol. 2016, 188, 87–95. [Google Scholar] [CrossRef] [PubMed]
- Hritcu, L.; Noumedem, J.A.; Cioanca, O.; Hancianu, M.; Postu, P.; Mihasan, M. Anxiolytic and antidepressant profile of the methanolic extract of Piper nigrum fruits in beta-amyloid (1-42) rat model of Alzheimer’s disease. Behav. Brain Funct. 2015, 11, 1–13. [Google Scholar] [CrossRef]
- Shityakov, S.; Bigdelian, E.; Hussein, A.A.; Hussain, M.B.; Tripathi, Y.C.; Khan, M.U.; Shariati, M.A. Phytochemical and pharmacological attributes of piperine: A bioactive ingredient of black pepper. Eur. J. Med. Chem. 2019, 176, 149–161. [Google Scholar] [CrossRef] [PubMed]
- Zhu, F.; Mojel, R.; Li, G. Physicochemical properties of black pepper (Piper nigrum) starch. Carbohydr. Polym. 2018, 181, 986–993. [Google Scholar] [CrossRef]
- Azis, H.A.; Taher, M.; Ahmed, A.S.; Sulaiman, W.M.A.W.; Susanti, D. In vitro and In vivo wound healing studies of methanolic fraction of Centella asiatica extract. S. Afr. J. Bot. 2017, 108, 163–174. [Google Scholar] [CrossRef]
- Park, J.H.; Choi, J.Y.; Son, D.J.; Park, E.K.; Song, M.J.; Hellstrom, M.; Hong, J.T. Anti-inflammatory effect of titrated extract of Centella asiatica in phthalic anhydride-induced allergic dermatitis animal model. Int. J. Mol. Sci. 2017, 18, 738. [Google Scholar] [CrossRef]
- Gunathilake, K.D.P.P.; Ranaweera, K.K.D.S.; Rupasinghe, H.P.V. Response surface optimization for recovery of polyphenols and carotenoids from leaves of Centella asiatica using an ethanol-based solvent system. Food Sci. Nutr. 2019, 7, 528–536. [Google Scholar] [CrossRef] [PubMed]
- Panja, P. Green extraction methods of food polyphenols from vegetable materials. Curr. Opin. Food Sci. 2018, 23, 173–182. [Google Scholar] [CrossRef]
- Usman, I.; Hussain, M.; Imran, A.; Afzaal, M.; Saeed, F.; Javed, M.; Afzal, A.; Ashfaq, I.; Jbawi, E.A.; Saewan, S.A. Traditional and innovative approaches for the extraction of bioactive compounds. Int. J. Food Prop. 2022, 25, 1215–1233. [Google Scholar] [CrossRef]
- Fraguela-Meissimilly, H.; José Miguel Bastías-Monte, J.M.B.; Vergara, C.; Ortiz-Viedma, J.; Lemus-Mondaca, R.; Flores, M.; Toledo-Merma, P.; Alcázar-Alay, S.; Gallón-Bedoya, M. New trends in supercritical fluid technology and pressurized liquids for the extraction and recovery of bioactive compounds from agro-industrial and marine food waste. Molecules 2023, 28, 4421. [Google Scholar] [CrossRef]
- Manjare, S.D.; Dhingra, K. Supercritical fluids in separation and purification: A review. Mater. Sci. Energy Technol. 2019, 2, 463–484. [Google Scholar] [CrossRef]
- Budisa, N.; Schulze-Makuch, D. Supercritical carbon dioxide and its potential as a life-sustaining solvent in a planetary environment. Life 2014, 4, 331–340. [Google Scholar] [CrossRef]
- Boumghar, H.; Sarrazin, M.; Banquy, X.; Boffito, D.C.; Patience, G.S.; Boumghar, Y. Optimization of supercritical carbon dioxide fluid extraction of medicinal cannabis from Quebec. Processes 2023, 11, 1953. [Google Scholar] [CrossRef]
- Ferreira, S.L.C.; Bruns, R.E.; Ferreira, H.S.; Matos, G.D.; David, J.M.; Brandão, G.C.; da Silva, E.G.P.; Portugal, L.A.; dos Reis, P.S.; Souza, A.S.; et al. Box-Behnken design: An alternative for the optimization of analytical methods. Anal. Chim. Acta 2007, 597, 179–186. [Google Scholar] [CrossRef] [PubMed]
- Ghadiri, K.; Raofie, F.; Davoodi, A. Response surface methodology for optimization of supercritical fluid extraction of orange peel essential oil. Pharm. Biomed. Res. 2020, 6, 303–312. [Google Scholar] [CrossRef]
- Moutinho, J.; Gouvinhas, I.; Domínguez-Perles, R.; Barros, A. Optimization of the extraction methodology of grape pomace polyphenols for food applications. Molecules 2023, 28, 3885. [Google Scholar] [CrossRef] [PubMed]
- Uwineza, P.A.; Waskiewicz, A. Recent advances in supercritical fluid extraction of natural bioactive compounds from natural plant materials. Molecules 2020, 25, 3847. [Google Scholar] [CrossRef] [PubMed]
- Ngamkhae, N.; Monthakantirat, O.; Chulikhit, Y.; Boonyarat, C.; Khamphukdee, C.; Maneenat, J.; Kwankhao, P.; Pitiporn, S.; Daodee, S. Optimization of extraction method for Kleeb Bua Daeng formula and comparison between ultrasound-assisted and microwave-assisted extraction. J. Appl. Res. Med. Aromat. Plants 2022, 28, 1–11. [Google Scholar] [CrossRef]
- Sodeifiana, G.; Sajadiana, A.S.; HOnarvarc, B. Mathematical Modelling for the Extraction of Oil from Dracocephalum kotschyi Seeds in Supercritical Fluid Extraction. Nat. Prod. Res. 2017, 32, 795–803. [Google Scholar] [CrossRef] [PubMed]
- Tyśkiewicz, K.; Konkol, M.; Rój, E. The Application of Supercritical Fluid Extraction in Phenolic Compounds Isolation from Natural Plant Materials. Molecules 2018, 23, 2625. [Google Scholar] [CrossRef]
- Da Porto, C.; Decorti, D.; Natolino, A. Water and ethanol as co-solvent in supercritical fluid extraction of proanthocyanidins from grape marc: A comparison and a proposal. J. Supercrit. Fluids 2014, 87, 1–8. [Google Scholar] [CrossRef]
- Georgiopoulou, I.; Louli, V.; Magoulas, K. Comparative of conventional, microwave-assisted and supercritical fluid extraction of bioactive compounds from microalgae: The case of Scenedesmus obliquus. Separations 2023, 10, 290. [Google Scholar] [CrossRef]
- Georgiopoulou, I.; Tzima, S.; Louli, V.; Magoulas, K. Process optimization of microwave-assisted extraction of chlorophyll, carotenoid and phenolic compounds from Chlorella vulgaris and comparison with conventional and supercritical fluid extraction. Appl. Sci. 2023, 13, 2740. [Google Scholar] [CrossRef]
- Orio, L.; Alexandru, L.; Cravotto, G.; Mantegna, S.; Barge, A. UAE, MAE, SFE-CO2 and classical methods for the extraction of Mitragyna speciosa leaves. Ultrason. Sonochem. 2012, 19, 591–595. [Google Scholar] [CrossRef]
- Das, A.K.; Mandal, V.; Mandal, S.C. A brief understanding of process optimisation in microwave-assisted extraction of botanical materials: Options and opportunities with chemometric tools. Phytochem. Anal. 2014, 25, 1–12. [Google Scholar] [CrossRef]
- Zapata, J.E.; Sepulveda, C.T.; Alvarez, A.C. Kinetics of the thermal degradation of phenolic compounds from achiote leaves (Bixa orellana L.) and its effect on the antioxidant activity. Food Sci. Technol. 2021, 40, e30920. [Google Scholar] [CrossRef]




| Run Order | Extraction Variables | Response | |||||||||
|---|---|---|---|---|---|---|---|---|---|---|---|
| Temperature (°C) | Pressure (bar) | Time (min) | Percentage Extraction Yield (%) | TPC (mg GAE/g Extract) | TFC (mg QE/g Extract) | TCC (mg β-CE/g Extract) | |||||
| Experimental | Predicted | Experimental | Predicted | Experimental | Predicted | Experimental | Predicted | ||||
| 1 | −1 (30) | 0 (250) | 1 (90) | 3.28 | 3.31 | 138.78 | 102.31 | 206.30 | 209.48 | 2.99 | 2.86 |
| 2 | 0 (45) | 0 (250) | 0 (60) | 3.26 | 3.49 | 135.33 | 155.38 | 164.97 | 165.46 | 9.39 | 10.74 |
| 3 | 0 (45) | 0 (250) | 0 (60) | 3.51 | 3.49 | 130.45 | 155.38 | 167.97 | 165.46 | 10.95 | 10.74 |
| 4 | 0 (45) | 1 (300) | 1 (90) | 3.53 | 3.46 | 131.45 | 176.63 | 175.08 | 181.82 | 10.33 | 10.01 |
| 5 | −1 (30) | 1 (300) | 0 (60) | 3.57 | 3.61 | 134.78 | 126.07 | 190.63 | 180.72 | 10.5 | 10.95 |
| 6 | 0 (45) | 0 (250) | 0 (60) | 3.39 | 3.49 | 145.36 | 155.38 | 159.41 | 165.46 | 11.34 | 10.74 |
| 7 | −1 (30) | 0 (250) | −1 (30) | 3.05 | 3.04 | 127.22 | 166.00 | 189.08 | 197.53 | 12.55 | 12.17 |
| 8 | −1 (30) | −1 (200) | 0 (60) | 3.08 | 3.01 | 125.22 | 131.62 | 170.37 | 168.66 | 7.70 | 7.76 |
| 9 | 0 (45) | −1 (200) | −1 (30) | 2.67 | 2.74 | 82.33 | 37.15 | 148.63 | 141.89 | 4.94 | 5.26 |
| 10 | 1 (60) | −1 (200) | 0 (60) | 3.48 | 3.44 | 237.67 | 246.38 | 142.08 | 151.99 | 17.13 | 16.68 |
| 11 | 1 (60) | 1 (300) | 0 (60) | 3.81 | 3.88 | 327.22 | 320.82 | 183.08 | 184.79 | 18.56 | 18.50 |
| 12 | 1 (60) | 0 (250) | −1 (30) | 3.50 | 3.47 | 115.56 | 152.03 | 188.86 | 185.68 | 8.72 | 8.85 |
| 13 | 0 (45) | 0 (250) | 0 (60) | 3.50 | 3.49 | 233.44 | 155.38 | 171.63 | 165.46 | 10.81 | 10.74 |
| 14 | 1 (60) | 0 (250) | 1 (90) | 3.58 | 3.59 | 464.56 | 425.78 | 217.19 | 208.74 | 22.26 | 22.64 |
| 15 | 0 (45) | −1 (200) | 1 (90) | 3.13 | 3.16 | 287.78 | 317.85 | 152.97 | 151.51 | 10.19 | 10.26 |
| 16 | 0 (45) | 1 (300) | −1 (30) | 3.52 | 3.49 | 277.33 | 247.26 | 154.97 | 156.43 | 10.59 | 10.52 |
| 17 | 0 (45) | 0 (250) | 0 (60) | 3.80 | 3.49 | 132.33 | 155.38 | 163.3 | 165.46 | 11.21 | 10.74 |
| Source | DF | Percentage Extraction Yield (%) | TPC (mg GAE/g Extract) | TFC (mg QE/g Extract) | TCC (mg β-CE/g Extract) | ||||
|---|---|---|---|---|---|---|---|---|---|
| F-Value | p-Value | F-Value | p-Value | F-Value | p-Value | F-Value | p-Value | ||
| Model | 9 | 4.72 | 0.0265 * | 5.66 | 0.0162 * | 8.67 | 0.0047 * | 77.70 | <0.0001 * |
| A | 1 | 9.03 | 0.0198 * | 17.16 | 0.0043 * | 1.01 | 0.3474 | 277.81 | <0.0001 * |
| B | 1 | 20.02 | 0.0029 * | 0.8500 | 0.3872 | 12.89 | 0.0089 * | 25.72 | 0.0014 * |
| C | 1 | 2.84 | 0.1357 | 7.90 | 0.0261 * | 7.85 | 0.0265 * | 20.61 | 0.0027 * |
| AB | 1 | 0.2392 | 0.6397 | 0.5730 | 0.4738 | 1.38 | 0.2789 | 0.9617 | 0.3594 |
| AC | 1 | 0.2102 | 0.6605 | 10.20 | 0.0152 * | 0.3953 | 0.5495 | 273.41 | <0.0001 * |
| BC | 1 | 1.89 | 0.2114 | 11.05 | 0.0127 * | 0.7964 | 0.4018 | 15.56 | 0.0056 |
| A2 | 1 | 0.6959 | 0.4317 | 1.73 | 0.2304 | 31.75 | 0.0008 * | 61.73 | 0.0001 * |
| B2 | 1 | 0.8501 | 0.3872 | 0.4367 | 0.5299 | 17.83 | 0.0039 * | 0.0280 | 0.8718 |
| C2 | 1 | 6.68 | 0.0363 * | 0.7516 | 0.4147 | 6.10 | 0.0428 * | 27.51 | 0.0012 * |
| R2 | 0.8584 | 0.8792 | 0.9177 | 0.9901 | |||||
| Adj-R2 | 0.6764 | 0.7239 | 0.8119 | 0.9773 | |||||
| Factor | Symbol | Levels | ||
|---|---|---|---|---|
| −1 | 0 | 1 | ||
| Extraction temperature (°C) | A | 30 | 45 | 60 |
| Extraction pressure (bar) | B | 200 | 250 | 300 |
| Extraction time (min) | C | 30 | 60 | 90 |
| Run Order | Extraction Variables | ||
|---|---|---|---|
| Extraction Temperature (°C) | Extraction Pressure (bar) | Extraction Time (min) | |
| 1 | 30 | 250 | 90 |
| 2 | 45 | 250 | 60 |
| 3 | 45 | 250 | 60 |
| 4 | 45 | 300 | 90 |
| 5 | 30 | 300 | 60 |
| 6 | 45 | 250 | 60 |
| 7 | 30 | 250 | 30 |
| 8 | 30 | 200 | 60 |
| 9 | 45 | 200 | 30 |
| 10 | 60 | 200 | 60 |
| 11 | 60 | 300 | 60 |
| 12 | 60 | 250 | 30 |
| 13 | 45 | 250 | 60 |
| 14 | 60 | 250 | 90 |
| 15 | 45 | 200 | 90 |
| 16 | 45 | 300 | 30 |
| 17 | 45 | 250 | 60 |
Disclaimer/Publisher’s Note: The statements, opinions and data contained in all publications are solely those of the individual author(s) and contributor(s) and not of MDPI and/or the editor(s). MDPI and/or the editor(s) disclaim responsibility for any injury to people or property resulting from any ideas, methods, instructions or products referred to in the content. |
© 2023 by the authors. Licensee MDPI, Basel, Switzerland. This article is an open access article distributed under the terms and conditions of the Creative Commons Attribution (CC BY) license (https://creativecommons.org/licenses/by/4.0/).
Share and Cite
Ngamkhae, N.; Monthakantirat, O.; Chulikhit, Y.; Maneenet, J.; Khamphukdee, C.; Chotritthirong, Y.; Limsakul, S.; Boonyarat, C.; Pitiporn, S.; Kwankhao, P.; et al. Approach of Supercritical Carbon Dioxide for the Extraction of Kleeb Bua Daeng Formula. Molecules 2023, 28, 6873. https://doi.org/10.3390/molecules28196873
Ngamkhae N, Monthakantirat O, Chulikhit Y, Maneenet J, Khamphukdee C, Chotritthirong Y, Limsakul S, Boonyarat C, Pitiporn S, Kwankhao P, et al. Approach of Supercritical Carbon Dioxide for the Extraction of Kleeb Bua Daeng Formula. Molecules. 2023; 28(19):6873. https://doi.org/10.3390/molecules28196873
Chicago/Turabian StyleNgamkhae, Nittaya, Orawan Monthakantirat, Yaowared Chulikhit, Juthamart Maneenet, Charinya Khamphukdee, Yutthana Chotritthirong, Suphatson Limsakul, Chantana Boonyarat, Supaporn Pitiporn, Pakakrong Kwankhao, and et al. 2023. "Approach of Supercritical Carbon Dioxide for the Extraction of Kleeb Bua Daeng Formula" Molecules 28, no. 19: 6873. https://doi.org/10.3390/molecules28196873
APA StyleNgamkhae, N., Monthakantirat, O., Chulikhit, Y., Maneenet, J., Khamphukdee, C., Chotritthirong, Y., Limsakul, S., Boonyarat, C., Pitiporn, S., Kwankhao, P., Kijjoa, A., & Daodee, S. (2023). Approach of Supercritical Carbon Dioxide for the Extraction of Kleeb Bua Daeng Formula. Molecules, 28(19), 6873. https://doi.org/10.3390/molecules28196873

