The Nitric Oxide (NO) Donor Molsidomine Attenuates Memory Impairments Induced by the D1/D2 Dopaminergic Receptor Agonist Apomorphine in the Rat
Abstract
1. Introduction
2. Results
2.1. Experiment 1: Effects of Acute Treatment with Molsidomine on Attenuating Apomorphine-Induced Performance Deficits in the OLT
2.2. Experiment 2: Effects of Acute Treatment with Molsidomine on Attenuating Apomorphine-Induced Performance Deficits in the STPAT
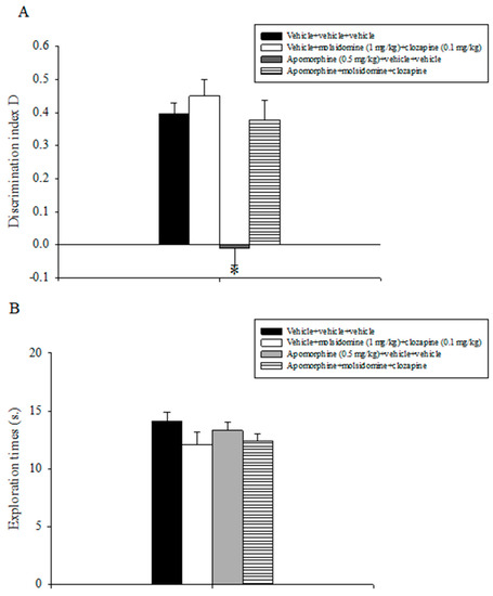
2.3. Experiment 3: Effects of Acute Treatment with Sub-Threshold Doses of Molsidomine and Clozapine on Attenuating Apomorphine-Induced Performance Deficits in the ORT
2.4. Experiment 4: Effects of Acute Treatment with Sub-Threshold Doses of Molsidomine and Risperidone on Natural Forgetting Assessed in the ORT
2.5. Experiment 5: Effects of Acute Treatment with Sub-Threshold Doses of Molsidomine and Risperidone on Attenuating Apomorphine-Induced Performance Deficits in the ORT
3. Discussion
4. Materials and Methods
4.1. Animals
4.2. Behavior
4.2.1. Object Location Task (OLT)
4.2.2. Step-Through Passive Avoidance Task (STPAT)
4.2.3. Object Recognition Task (ORT)
4.3. Drugs
4.4. Experimental Protocol
4.4.1. Experiment 1: Effects of Acute Treatment with Molsidomine on Attenuating Apomorphine-Induced Performance Deficits in the OLT
4.4.2. Experiment 2: Effects of Acute Treatment with Molsidomine on Attenuating Apomorphine-Induced Performance Deficits in the STPAT
4.4.3. Experiment 3: Effects of Acute Treatment with Sub-Threshold Doses of Molsidomine and Clozapine on Attenuating Apomorphine-Induced Performance Deficits on the ORT
4.4.4. Experiment 4: Effects of Acute Treatment with Sub-Threshold Doses of Molsidomine and Risperidone on Natural Forgetting Assessed in the ORT
4.4.5. Experiment 5: Effects of Acute Treatment with Sub-Threshold Doses of Molsidomine and Risperidone on Apomorphine-Induced Non-Spatial Recognition Memory Deficits Assessed in the ORT
4.5. Statistical Analysis
5. Conclusions
Author Contributions
Funding
Institutional Review Board Statement
Informed Consent Statement
Data Availability Statement
Conflicts of Interest
Sample Availability
References
- Mc Grath, J.; Saha, S.; Chant, T.; Welham, J. Schizophrenia: A concise overview of incidence, prevalence and mortality. Epidemiol. Rev. 2008, 30, 67–76. [Google Scholar] [CrossRef] [PubMed]
- Freedman, R. Schizophrenia. N. Engl. J. Med. 2003, 349, 1738–1749. [Google Scholar] [CrossRef] [PubMed]
- Iversen, S.D.; Iversen, L.L. Dopamine: 50 years in perspective. Trends Neurosci. 2007, 30, 188–193. [Google Scholar] [CrossRef]
- Gibbs, S.E.; D’Esposito, M. A functional MR1 study of the effects of bromocriptine, a dopamine receptor agonist, on component processes of working memory. Psychopharmacology 2005, 180, 644–653. [Google Scholar] [CrossRef]
- Vijayraghavan, S.; Wang, M.; Birnbaum, S.G.; Williams, G.V.; Arnsten, A.F. Inverted-U dopamine D1 receptor actions on prefrontal neurons engaged in working memory. Nat. Neurosci. 2007, 10, 376–384. [Google Scholar] [CrossRef] [PubMed]
- Cools, R. Role of dopamine in the motivational and cognitive control of behavior. Neuroscientist 2008, 14, 381–395. [Google Scholar] [CrossRef] [PubMed]
- Gourgiotis, I.; Kampouri, N.; Koulouri, V.; Lempesis, I.; Prasinou, M.; Georgiadou, G.; Pitsikas, N. Nitric oxide modulates apomorphine-induced recognition memory deficits in rats. Pharmacol. Biochem. Behav. 2012, 102, 507–514. [Google Scholar] [CrossRef]
- Field, J.R.; Walker, A.G.; Conn, P.J. Targeting glutamate synapses in schizophrenia. Trends Mol. Med. 2011, 17, 689–698. [Google Scholar] [CrossRef]
- Garthwaite, J.; Charles, S.L.; Chess-Williams, R. Endothelium-derived relaxing factor release on activation of NMDA receptors suggests a role as intercellular messenger in the brain. Nature 1988, 336, 385–387. [Google Scholar] [CrossRef]
- Bernstein, H.G.; Keilhoff, G.; Steiner, J.; Dobrowonly, H.; Bogerts, B. Nitric oxide and schizophrenia. Present knowledge and emerging concepts of therapy. CNS Neurol. Disord. Drug Targets 2011, 10, 792–807. [Google Scholar] [CrossRef]
- Zoupa, E.; Pitsikas, N. The nitric oxide (NO) donor sodium nitroprusside (SNP) and its potential for the schizophrenia therapy: Lights and shadows. Molecules 2021, 26, 3196. [Google Scholar] [CrossRef] [PubMed]
- Hallak, J.C.E.; Maia-De-Oliveira, J.P.; Abrao, J.; Evora, P.R.; Zuardi, A.W.; Crippa, J.E.; Belmonte-de-Abreu, P.; Baker, G.B.; Dursun, S.M. Rapid improvement of acute schizophrenia symptoms after intravenous sodium nitroprusside: A randomized, double-blind, placebo-controlled trial. JAMA Psychiatry 2013, 70, 668–676. [Google Scholar] [CrossRef] [PubMed]
- Friedrich, J.A.; Butterworth, I.V. Sodium nitroprusside: Twenty years and counting. Anesth. Analg. 1995, 81, 152–162. [Google Scholar]
- Trevlopoulou, A.; Touzlatzi, N.; Pitsikas, N. The nitric oxide donor sodium nitroprusside attenuates recognition memory deficits and social withdrawal produced by the NMDA receptor antagonist ketamine and induces anxiolytic-like behaviour in rats. Psychopharmacology 2016, 233, 1045–1054. [Google Scholar] [CrossRef] [PubMed]
- Orfanidou, M.A.; Lafioniatis, A.; Trevlopoulou, A.; Touzlatzi, N.; Pitsikas, N. Acute and repeated exposure with nitric oxide (NO) donor sodium nitroprusside (SNP) differentially modulate response in a rat model of anxiety. Nitric Oxide 2017, 69, 56–60. [Google Scholar] [CrossRef] [PubMed]
- Miller, M.R.; Megson, L.L. Recent development in nitric oxide donor drugs. Br. J. Pharmacol. 2007, 151, 305–321. [Google Scholar] [CrossRef]
- Rosenkranz, B.; Winkelmann, B.R.; Parnham, M.J. Clinical pharmacokinetics of molsidomine. Clin. Pharmacokinet. 1996, 30, 372–384. [Google Scholar] [CrossRef]
- Kreye, V.A.W.; Reske, S.N. Possible site of the in vivo disposition of sodium nitroprusside in the rat. Naunyn Schmiedbergs Arch. Pharmacol. 1982, 320, 260–265. [Google Scholar] [CrossRef]
- Pitsikas, N.; Zisopoulou, S.; Sakellaridis, N. Nitric oxide donor molsidomine attenuates psychotomimetic effects of the NMDA receptor antagonist MK-801. J. Neurosci. Res. 2006, 84, 299–305. [Google Scholar] [CrossRef]
- Katsanou, L.; Fragkiadaki, E.; Kampouris, S.; Konstanta, A.; Vontzou, A.; Pitsikas, N. The nitric oxide (NO) donor molsidomine counteract social withdrawal and cognition deficits induced by blockade of the NMDA receptor in the rat. Int. J. Mol. Sci. 2023, 24, 6866. [Google Scholar] [CrossRef]
- Geyer, M.A.; Krebs-Thompson, K.; Braff, D.L.; Swerdlow, N.R. Pharmacological studies of prepulse inhibition models of sensorimotor gating deficits in schizophrenia: A decade in review. Psychopharmacology 2001, 156, 117–154. [Google Scholar] [CrossRef] [PubMed]
- Fletcher, P.C.; Frith, C.D.; Grasby, B.M.; Friston, K.J.; Dolan, R.J. Local and distributed effects of apomorphine on fronto-temporal function in acute unmedicated schizophrenia. J. Neurosci. 1996, 16, 7055–7062. [Google Scholar] [CrossRef] [PubMed]
- Picada, J.N.; Schroder, N.; Izquierdo, I.; Henriques, J.A.P.; Roesler, R. Differential neurobehavioral deficits induced by apomorphine and its oxidation product 8-oxo-apomorphine-semiquinone, in rats. Eur. J. Pharmacol. 2002, 443, 105–111. [Google Scholar] [CrossRef] [PubMed]
- Edwards, J.; Jackson, H.J.; Pattison, P.E. Emotion recognition via facial expression and affective prosody in schizophrenia. A methodological review. Clin. Psychol. Rev. 2002, 22, 789–832. [Google Scholar] [CrossRef] [PubMed]
- Herbener, E.S. Emotional memory in schizophrenia. Schizophr. Bull. 2008, 34, 875–887. [Google Scholar] [CrossRef]
- Ennaceur, A.; Neave, N.; Aggleton, J.P. Spontaneous object recognition and object location memory in rats: The effects of lesions in the cingulated cortices, the medial prefrontal cortex, the cingulum bundle and the fornix. Exp. Brain Res. 1997, 113, 500–519. [Google Scholar] [CrossRef]
- Ogren, S.E. Evidence for a role of brain serotonergic neurotransmission in avoidance learning. Acta Physiol. Scand. 1985, 125 (Suppl. S544), 1–71. [Google Scholar]
- Issy, A.C.; dos Santos-Pereira, M.; Cordeiro-Pedrazzi, J.F.; Cussa-Kubrusly, R.C.; Del-Bel, E.A. The role of striatum and prefrontal cortex in the prevention of amphetamine-induced schizophrenia-like effects mediated by nitric oxide compounds. Prog. Neuropsychopharmacol. Biol. Psychiatry 2018, 86, 353–362. [Google Scholar] [CrossRef]
- Ennaceur, A.; Delacour, J. A new one-trial test for neurobiological studies of memory in rats: I. Behavioral data. Behav. Brain Res. 1988, 31, 47–59. [Google Scholar] [CrossRef]
- Pitsikas, N.; Zoupa, E.; Gravanis, A. The novel dehydroepiandrosterone (DHEA) derivative BNN27 counteracts cognitive deficits induced by the D1/D2 dopaminergic receptor agonist apomorphine in rats. Psychopharmacology 2021, 238, 227–237. [Google Scholar] [CrossRef]
- Issy, A.C.; Pedrazzi, J.F.C.; Yoneyama, B.H.; Del-Bel, E.A. Critical role of nitric oxide in modulation of prepulse inhibition in Swiss mice. Psychopharmacology 2014, 231, 663–672. [Google Scholar] [CrossRef] [PubMed]
- Titulaer, J.; Malmefert, A.; Marcus, M.M.; Svensson, T.H. Enhancement of antipsychotic effect of risperidone by sodium nitroprusside in rats. Eur. Neuropsychopharmacol. 2019, 29, 1282–1287. [Google Scholar] [CrossRef] [PubMed]
- Titulaer, J.; Radhe, O.; Mazrina, J.; Strom, A.; Svensson, T.H.; Konradsson-Geuken, A. Sodium nitroprusside enhances the antipsychotic-like effect of olanzapine but not clozapine in the conditioned avoidance response test in rats. Eur. Neuropsychopharmacol. 2022, 60, 48–54. [Google Scholar] [CrossRef] [PubMed]
- Baldessarini, R.J.; Centorrino, F.; Flood, J.G.; Volpiceelli, S.A.; Huston-Lyons, D.; Cohen, B.M. Tissue concentrations of clozapine and its metabolites in the rat. Neuropsychopharmacology 1993, 9, 117–124. [Google Scholar] [CrossRef]
- van Beijsterveldt, L.E.C.; Geerts, R.J.F.; Leysen, J.E.; Megens, A.A.H.P.; van der Eynde, H.M.J.; Meuldermans, W.E.G.; Heykants, J.J.P. Regional brain distribution of risperidone and its active metabolite 9-hydroxy-risperidone in the rat. Psychopharmacology 1994, 114, 53–62. [Google Scholar] [CrossRef]
- Fidecka, S.; Lalewicz, S. Studies on the antinociceptive effects of sodium nitroprusside and molsidomine in mice. Pol. J. Pharmacol. 1997, 49, 395–400. [Google Scholar]
- Xu, T.X.; Sotnikova, T.D.; Liang, C.; Zhang, J.; Jung, J.U.; Spealman, R.D.; Gainetdinov, R.R.; Yao, W.D. Hyperdopaminergic tone erodes prefrontal long-term potential via a D2 receptor operated protein phosphatase gate. J. Neurosci. 2009, 29, 14086–14099. [Google Scholar] [CrossRef]
- Arroyo-Garcia, L.E.; Rodriguez-Moreno, A.; Flores, G. Apomorphine effects on hippocampus. Neural Regen. Res. 2018, 13, 2064–2066. [Google Scholar]
- Bohme, G.A.; Bon, C.; Stutzmann, J.M.; Doble, A.; Blanchard, J.C. Possible involvement of nitric oxide in long-term potentiation. Eur. J. Pharmacol. 1991, 199, 379–381. [Google Scholar] [CrossRef]
- Schaefer, M.L.; Wang, M.; Perez, P.I.; Coca Peralta, W.; Xu, J.; Johns, R.A. Nitric oxide donor prevents neonatal isoflurane-induced impairments in synaptic plasticity and memory. Anesthesiology 2019, 130, 347–362. [Google Scholar] [CrossRef]
- Bitanihirwe, B.K.; Woo, T.U. Oxidative stress in schizophrenia: An integrated approach. Neurosci. Biobehav. Rev. 2011, 35, 878–893. [Google Scholar] [CrossRef] [PubMed]
- Moreira, J.C.F.; Dal Pizzol, F.; Bonato, F.; Gomez Da Silva, E.; Flores, D.G.; Picada, J.N.; Roesler, L.; Pegas Henriques, J.A. Oxidative damage in brain of mice treated with apomorphine and its oxidized derivative. Brain Res. 2003, 992, 246–251. [Google Scholar] [CrossRef] [PubMed]
- Picada, J.N.; Roesler, L.; Henriques, J.A.P. Genotoxic, neurotoxic and neuroprotective activities of apomorphine and its oxidized derivative 8-oxo-apomorphine. Braz. J. Med. Biol. Res. 2005, 38, 477–486. [Google Scholar] [CrossRef] [PubMed]
- Godinez-Rubi, M.; Rojas-Mayorquin, A.E.; Ortuno-Sahagun, D. Nitric oxide donors as neuroprotective agents after an ischemic stroke-related inflammatory reaction. Oxid. Med. Cell. Long. 2013, 2013, 297357. [Google Scholar] [CrossRef]
- Kuroki, T.; Meltzer, H.Y.; Ichikawa, J. Effects of antipsychotic drugs on extracellular dopamine levels in rat medial prefrontal cortex and nucleus accumbens. J. Pharmacol. Exp. Ther. 1999, 288, 774–781. [Google Scholar]
- Chung, Y.C.; Li, Z.; Dai, J.; Meltzer, H.Y.; Ichikawa, J. Clozapine increases both acetylcholine and dopamine release in rat ventral hippocampus. Role of the 5-HT1A receptor agonism. Brain Res. 2004, 1023, 54–63. [Google Scholar] [CrossRef]
- Meltzer, H.Y.; McGurk, S.R. The effects of clozapine, risperidone and olanzapine on cognitive functions in schizophrenia. Schizophr. Bull. 1999, 25, 235–255. [Google Scholar] [CrossRef]
- Prast, H.; Philippu, A. Nitric oxide releases acetylcholine in the basal forebrain. Eur. J. Pharmacol. 1992, 216, 139–140. [Google Scholar] [CrossRef]
- Ichikawa, J.; Dai, J.; O’Laughin, I.A.; Fowler, W.L.; Meltzer, H.Y. Atypical but not typical antipsychotic drugs increase acetylcholine release without an effect in the nucleus accumbens or striatum. Neuropsychopharmacology 2002, 26, 323–339. [Google Scholar] [CrossRef]
- Stip, E.; Chouinard, S.; Boulay, L.J. On the trail of a cognitive enhancer for the treatment of schizophrenia. Prog. Neuropsychopharmacol. Biol. Psychiatry 2005, 29, 219–232. [Google Scholar] [CrossRef]
- Caruso, G.; Grasso, M.; Fidilio, A.; Tascedda, F.; Drago, F.; Caraci, F. Antioxidant properties of second generation antipsychotics: Focus on microglia. Pharmaceuticals 2020, 13, 457. [Google Scholar] [CrossRef] [PubMed]
- Price, R.; Salavati, B.; Graff-Guerrero, A.; Blumberger, D.M.; Mulsant, B.H.; Daskalakis, Z.J.; Rajji, T.K. Effects of antipsychotic D2 antagonists on long-term potentiation in animals and implication in human studies. Prog. Neuropsychopharmacol. Biol. Psychiatry 2014, 54, 83–91. [Google Scholar] [CrossRef] [PubMed][Green Version]
- Cavoy, A.; Delacour, J. Spatial but not object recognition is impaired by aging in rats. Physiol. Behav. 1993, 53, 527–530. [Google Scholar] [CrossRef] [PubMed]
- King, R.A.; Glasser, R.L. Duration of electroconvulsive shock-induced retrograde amnesia in rats. Physiol. Behav. 1970, 5, 335–339. [Google Scholar] [CrossRef]
- Horiguchi, M.; Huang, M.; Meltzer, H.Y. Interaction of mGlu2/3 agonism with clozapine and lurasidone to restore novel object recognition in subchronic phencyclidine-treated rats. Psychopharmacology 2011, 217, 13–24. [Google Scholar] [CrossRef]
- Potasiewicz, A.; Holuj, M.; Kos, T.; Popik, P.; Arias, H.R.; Nikiforuk, A. 3-Furan-2-yl-N-p-tolyl-acrylamide, a positive allosteric modulator of the α7 nicotinic receptor, reverses schizophrenia-like cognitive and social deficits in rats. Neuropharmacology 2017, 113, 188–197. [Google Scholar] [CrossRef]
- Kirk, R.E. Experimental Design: Procedures for the Behavioral Science; Brooks/Cole: Belmont, CA, USA, 1968. [Google Scholar]





| Treatment | Pre-Shock Latencies (s.) | Retention Latencies (s.) |
|---|---|---|
| Vehicle+vehicle | 24 (13.75–58.5) | 180 (180–180) |
| Vehicle+molsidomine (2 mg/kg) | 30.5 (15.75–47.25) | 180 (180–180) |
| Vehicle+molsidomine (4 mg/kg) | 31.5 (12.25–62.25) | 180 (180–180) |
| Apomorphine (0.5 mg/kg) + vehicle | 30 (25.75–45.75) | 40.5 (15.5–70) * |
| Apomorphine+molsidomine (2 mg/kg) | 32 (13.25–47) | 93 (67.75–180) |
| Apomorphine+molsidomine (4 mg/kg) | 30 (22.25–52.25) | 180 (34.5–180) |
Disclaimer/Publisher’s Note: The statements, opinions and data contained in all publications are solely those of the individual author(s) and contributor(s) and not of MDPI and/or the editor(s). MDPI and/or the editor(s) disclaim responsibility for any injury to people or property resulting from any ideas, methods, instructions or products referred to in the content. |
© 2023 by the authors. Licensee MDPI, Basel, Switzerland. This article is an open access article distributed under the terms and conditions of the Creative Commons Attribution (CC BY) license (https://creativecommons.org/licenses/by/4.0/).
Share and Cite
Vartzoka, F.; Ozenoglu, E.; Pitsikas, N. The Nitric Oxide (NO) Donor Molsidomine Attenuates Memory Impairments Induced by the D1/D2 Dopaminergic Receptor Agonist Apomorphine in the Rat. Molecules 2023, 28, 6861. https://doi.org/10.3390/molecules28196861
Vartzoka F, Ozenoglu E, Pitsikas N. The Nitric Oxide (NO) Donor Molsidomine Attenuates Memory Impairments Induced by the D1/D2 Dopaminergic Receptor Agonist Apomorphine in the Rat. Molecules. 2023; 28(19):6861. https://doi.org/10.3390/molecules28196861
Chicago/Turabian StyleVartzoka, Foteini, Elif Ozenoglu, and Nikolaos Pitsikas. 2023. "The Nitric Oxide (NO) Donor Molsidomine Attenuates Memory Impairments Induced by the D1/D2 Dopaminergic Receptor Agonist Apomorphine in the Rat" Molecules 28, no. 19: 6861. https://doi.org/10.3390/molecules28196861
APA StyleVartzoka, F., Ozenoglu, E., & Pitsikas, N. (2023). The Nitric Oxide (NO) Donor Molsidomine Attenuates Memory Impairments Induced by the D1/D2 Dopaminergic Receptor Agonist Apomorphine in the Rat. Molecules, 28(19), 6861. https://doi.org/10.3390/molecules28196861

