Rational Design of Cost-Effective 4-Styrylcoumarin Fluorescent Derivatives for Biomolecule Labeling
Abstract
:1. Introduction
2. Results and Discussion
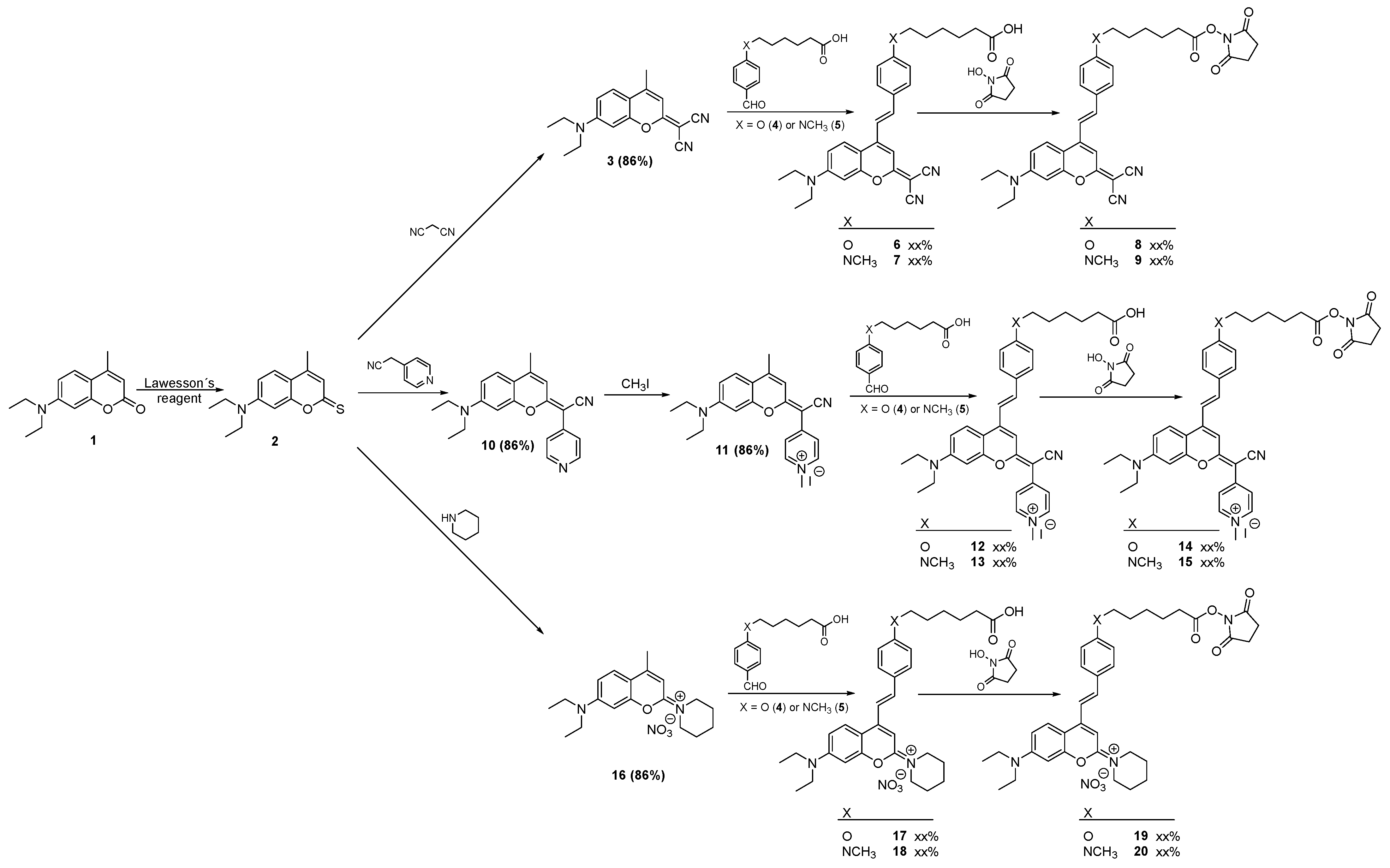
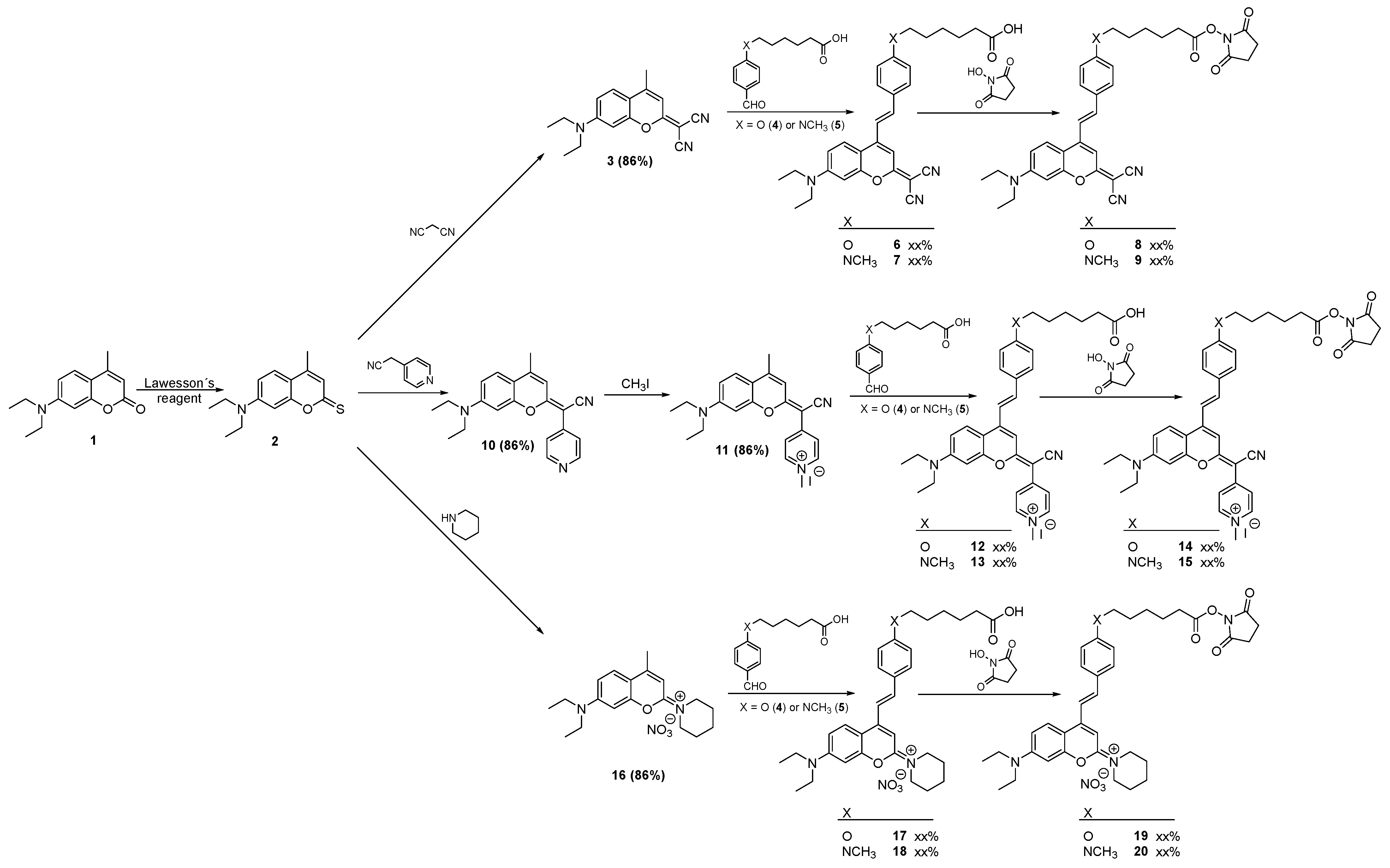
2.1. Synthesis and Characterization
2.2. Photophysical Characterization
2.3. Theoretical Calculations
3. Experimental Section
3.1. Materials and Equipment
3.2. Synthesis
3.2.1. Synthesis of 2-(7-(Diethylamino)-4-methyl-2H-chromen-2-ylidene)malononitrile (3)
3.2.2. Synthesis of 6-(4-Formylphenoxy)hexanoic Acid (4)
3.2.3. Synthesis of 6-((4-Formylphenyl)(methyl)amino)hexanoic Acid (5)
3.2.4. Synthesis of (E)-6-(4-(2-(2-(Dicyanomethylene)-7-(diethylamino)-2H-chromen-4-il)vinyl)phenoxy)hexanoic Acid (6)
3.2.5. Synthesis of (E)-6-((4-(2-(2-(Dicyanomethylene)-7-(diethylamino)-2H-chromen-4yl)vinyl)phenyl)(methyl) amino)hexanoic Acid (7)
3.2.6. Synthesis of (E)-2,5-Dioxopyrrolidin-1-il 6-(4-(2-(2-(dicyanomethylene)-7-(diethylamino)-2H-chromen-4-yl)vinyl)phenoxy)hexanoate (8)
3.2.7. Synthesis of (E)-2,5-Dioxopyrrolidin-1-yl 6-((4-(2-(2-(dicyanomethylene)-7-(diethylamino)-2H-chromen-4-yl) vinyl)phenyl)(methyl)amino)hexanoate (9)
3.2.8. Synthesis of (E)-2-(7-(Diethylamino)-4-methyl-2H-chromen-2-ylidene)-2-(pyridin-4-yl)acetonitrile (10)
3.2.9. Synthesis of (E)-4-(Cyano(7-(diethylamino)-4-methyl-2H-chromen-2-ylidene)methyl)-1-methylpyridin-1-ium Iodide (11)
3.2.10. Synthesis of 4-(((E)-4-((E)-4-((5-Carboxypentyl)oxy)styryl)-7-(diethylamino)-2H-chromen-2-ylidene)(cyano)methyl)-1-methylpyridin-1-ium Iodide (12)
3.2.11. Synthesis of 4-(((E)-4-((E)-4-((5-Carboxypentyl)(methyl)amino)styryl)-7-(diethylamino)-2H-chromen-2-ylidene)(cyano)methyl)-1-methylpyridin-1-ium Iodide (13)
3.2.12. Synthesis of 4-(Cyano((E)-7-(diethylamino)-4-((E)-4-((6-((2,5-dioxopyrrolidin-1-yl)oxy)-6-oxohexyl)oxy)styryl)-2H-chromen-2-ylidene)methyl)-1-methylpyridin-1-ium Iodide (14)
3.2.13. Synthesis of 4-(Cyano((E)-7-(diethylamino)-4-((E)-4-((6-((2,5-dioxopyrrolidin-1-yl)oxy)-6-oxohexyl)(methyl)amino)styryl)-2H-chromen-2-ylidene)methyl)-1-methyl-pyridin-1-ium Iodide (15)
3.2.14. Synthesis of 1-(7-(Diethylamino)-4-methyl-2H-chromen-2-ylidene)-piperidin-1-ium Nitrate (16)
3.2.15. Synthesis of (E)-1-(4-(4-((5-Carboxypentyl)oxy)styryl)-7-(diethylamino)-2H-chromen-2-ylidene)piperidin-1-ium Nitrate (17)
3.2.16. Synthesis of (E)-1-(4-(4-((5-Carboxypentyl)(methyl)amino)styryl)-7-(diethylamino)-2H-chromen-2-ylidene)piperidin-1-ium Nitrate (18)
3.2.17. Synthesis of (E)-1-(7-(Diethylamino)-4-(4-((6-((2,5-dioxopyrrolidin-1-yl)oxy)-6-oxohexyl)oxy)styryl)-2H-chromen-2-ylidene)piperidin-1-ium Nitrate (19)
3.2.18. Synthesis of (E)-1-(7-(Diethylamino)-4-(4-((6-((2,5-dioxopyrrolidin-1-yl)oxy)-6-oxohexyl)(methyl)amino)styryl)-2H-chromen-2-ylidene)piperidin-1-ium Nitrate (20)
3.3. Quantum Chemical Calculations
4. Conclusions
Supplementary Materials
Author Contributions
Funding
Institutional Review Board Statement
Informed Consent Statement
Data Availability Statement
Conflicts of Interest
Sample Availability
References
- Cavazos-Elizondo, D.; Aguirre-Soto, A. Photophysical properties of fluorescent labels: A meta-analysis to guide probe selection amidst challenges with available data. Anal. Sens. 2022, 2, e202200004. [Google Scholar]
- Pereira, A.; Martins, S.; Caldeira, A.T. Coumarins as fluorescent labels of biomolecules. In Applications of Coumarin Derivatives; IntechOpen Publications: London, UK, 2019; pp. 1–19. [Google Scholar]
- Fang, X.; Zheng, Y.; Duan, Y.; Liu, Y.; Zhong, W. Recent advances in design of fluorescence-based assays for high-throughput screening. Anal. Chem. 2019, 91, 482–504. [Google Scholar] [CrossRef] [PubMed]
- Johnson, I.; Spence, M. Molecular Probes™ Handbook—A Guide to Fluorescent Probes and Labeling Technologies, 11th ed.; Life Technologies: Carlsbad, CA, USA; Thermo Fischer Scientific: Waltham, MA, USA, 2010. [Google Scholar]
- Kobayashi, H.; Ogawa, M.; Alford, R.; Choyke, P.; Urano, Y. New strategies for fluorescent probe design in medical diagnostic imaging. Chem. Rev. 2009, 110, 2620–2640. [Google Scholar] [CrossRef]
- Zhang, Z.; Yang, S.; Dong, B.; Kong, X.; Tian, M. Chameleon-like fluorescent probe for monitoring interplays between three organelles and reporting cell damage processes through dramatic color change. Small 2022, 18, 2205026. [Google Scholar] [CrossRef] [PubMed]
- Yang, S.; Zhang, Z.; Dai, C.; Li, J.; Tian, M. Visualizing voltage in mitochondria via a unique polarity-responsive fluorescent probe. Chem. Eng. J. 2023, 451, 139032. [Google Scholar] [CrossRef]
- Jun, J.V.; Chenoweth, D.M.; Petersson, E.J. Rational design of small molecule fluorescent probes for biological applications. Org. Biomol. Chem. 2020, 18, 5747–5763. [Google Scholar] [CrossRef]
- Lavis, L.D.; Raines, R.T. Bright building blocks for chemical biology. ACS Chem. Biol. 2014, 9, 855–866. [Google Scholar] [CrossRef]
- Cao, D.; Liu, Z.; Verwilst, P.; Koo, S.; Jangjili, P.; Kim, J.S.; Weiying, L. Coumarin-based small-molecule fluorescent chemosensors. Chem. Rev. 2019, 119, 10403–10519. [Google Scholar] [CrossRef]
- Fu, Y.; Finney, N.S. Small-molecule fluorescent probes and their design. RSC Adv. 2018, 8, 29051–29061. [Google Scholar] [CrossRef]
- Liu, X.; Xu, Z.; Cole, J.M. Molecular design of UV−vis absorption and emission properties in organic fluorophores: Toward larger bathochromic shifts, enhanced molar extinction coefficients, and greater stokes shifts. J. Phys. Chem. C 2013, 117, 16584–16595. [Google Scholar] [CrossRef]
- Zheng, Q.; Juette, M.F.; Jockusch, S.; Wasserman, M.R.; Zhou, Z.; Altmana, R.B.; Blanchard, S.C. Ultra-stable organic fluorophores for single-molecule research. Chem. Soc. Rev. 2014, 43, 1044–1056. [Google Scholar] [CrossRef] [PubMed]
- Tian, R.; Ren, X.; Niu, P.; Yang, L.; Sun, A.; Li, Y.; Liu, X.; Wei, L. Development of chromenoquinoline-fused coumarin dyes and their application in bioimaging. Dyes Pigm. 2022, 205, 110530. [Google Scholar] [CrossRef]
- Martynov, V.I.; Pakhomov, A.A.; Popova, N.V.; Deyev, I.E.; Petrenko, A.G. Synthetic fluorophores for visualizing biomolecules in living systems. Acta Naturae 2016, 8, 33–46. [Google Scholar] [CrossRef] [PubMed]
- Sahoo, H. Fluorescent labeling techniques in biomolecules: A flashback. RSC Adv. 2012, 2, 7017–7029. [Google Scholar] [CrossRef]
- Hanson, G.; Hanson, B. Fluorescent probes for cellular assays. Comb. Chem. High Throughput Screen. 2008, 11, 505–513. [Google Scholar] [CrossRef]
- Maurel, D.; Comps-Agrar, L.; Brock, C.; Rives, M.; Bourrier, E.; Ayoub, M.; Bazin, H.; Tinel, N.; Durroux, T.; Prézeau, L.; et al. Cell-surface protein–protein interaction analysis with time-resolved FRET and snap-tag technologies: Application toGPCR oligomerization. Nat. Methods 2008, 5, 561–567. [Google Scholar] [CrossRef]
- Sednev, M.V.; Belov, V.N.; Hell, S.W. Fluorescent dyes with large Stokes shifts for super-resolution optical microscopy of biological objects: A review. Methods Appl. Fluoresc. 2015, 3, 042004. [Google Scholar] [CrossRef]
- Schill, H.; Nizamov, S.; Bottanelli, F.; Bierwagen, J.; Belov, V.N.; Hell, S.W. 4-Trifluoromethyl-substituted coumarins with large Stokes shifts: Synthesis, bioconjugates, and their use in super-resolution fluorescence microscopy. Chem. Eur. J. 2013, 19, 16556–16656. [Google Scholar] [CrossRef]
- Gao, Z.; Hao, Y.; Zheng, M.; Chen, Y. A fluorescent dye with large Stokes shift and high stability: Synthesis and application to live cell imaging. RSC Adv. 2017, 7, 7604–7609. [Google Scholar] [CrossRef]
- Li, C.; Wang, D.; Xue, W.; Peng, J.; Wang, T.; Zhang, Z. Synthesis and photophysical properties of vertically π-expanded coumarins. Dyes Pigm. 2021, 186, 108956. [Google Scholar] [CrossRef]
- Matta, A.; Bahadur, V.; Taniike, T.; Van der Eycken, J.; Singh, B.K. Synthesis, characterisation and photophysical studies of oxadiazolyl coumarin: A new class of blue light emitting fluorescent dyes. Dyes Pigm. 2017, 140, 250–260. [Google Scholar] [CrossRef]
- Stringlis, I.A.; de Jonge, R.; Pieterse, C.M.J. The age of coumarins in plant–microbe interactions. Plant Cell Physiol. 2019, 60, 1405–1419. [Google Scholar] [CrossRef] [PubMed]
- Schultz, M.; Müller, R.; Ermakova, Y.; Hoffmann, J.E.; Schultz, C. Membrane-permeant, bioactivatable coumarin derivatives for in-cell labelling. ChemBioChem 2022, 23, e202100699. [Google Scholar] [CrossRef] [PubMed]
- Sun, X.; Liu, T.; Sun, J.; Wang, X. Synthesis and application of coumarin fluorescence probes. RSC Adv. 2020, 10, 10826–10847. [Google Scholar] [CrossRef] [PubMed]
- Eustáquio, R.; Ramalho, J.P.P.; Caldeira, A.T.; Pereira, A. New red-shifted 4-styrylcoumarin derivatives as potential fluorescent labels for biomolecules. Molecules 2022, 27, 1461. [Google Scholar] [CrossRef]
- Eustáquio, R.; Ramalho, J.P.P.; Caldeira, A.T.; Pereira, A. Development of new 2-piperidinium-4-styrylcoumarin derivatives with large Stokes shifts as potential fluorescent labels for biomolecules. RSC Adv. 2022, 12, 8477–8484. [Google Scholar] [CrossRef]
- Martins, S.; Candeias, A.; Caldeira, A.T.; Pereira, A. 7-(diethylamino)-4-methyl-3-vinylcoumarin as a new important intermediate to the synthesis of photosensitizers for DSSCs and fluorescent labels for biomolecules. Dyes Pigm. 2020, 174, 108026. [Google Scholar] [CrossRef]
- Martins, S.; Branco, P.; Pereira, A. An efficient methodology for the synthesis of 3-styryl coumarins. J. Braz. Chem. Soc. 2012, 23, 688–693. [Google Scholar] [CrossRef]
- Gordo, J.; Avó, J.; Parola, J.; Lima, J.; Pereira, A.; Branco, P. Convenient synthesis of 3-vinyl and 3-styryl coumarins. Org. Lett. 2011, 13, 5112–5115. [Google Scholar] [CrossRef]
- Martins, S.; Avó, J.; Lima, J.; Nogueira, J.; Andrade, L.; Mendes, A.; Pereira, A.; Branco, P. Styryl and phenylethynyl based coumarin chromophores for dye sensitized solar cells. J. Photochem. Photobiol. A Chem. 2018, 353, 564–569. [Google Scholar] [CrossRef]
- Gandioso, A.; Contreras, S.; Melnyk, I.; Oliva, J.; Nonell, S.; Velasco, D.; Garcia-Amorós, J.; Marchán, V. Development of green/red-absorbing chromophores based on a coumarin scaffold useful as caging groups. J. Org. Chem. 2017, 82, 5398–5408. [Google Scholar] [CrossRef]
- Gandioso, A.; Bresolí-Obach, R.; Nin-Hill, A.; Bosch, M.; Palau, M.; Galindo, A.; Contreras, S.; Rovira, A.; Rovira, C.; Nonell, S.; et al. Redesigning the coumarin scaffold into small bright fluorophores with far-red to NIR emission and large Stokes shifts useful for cell imaging. J. Org. Chem. 2018, 83, 1185–1195. [Google Scholar] [CrossRef] [PubMed]
- Pradhan, R.; Dahiya, H.; Bag, B.P.; Keshtov, M.L.; Singhal, R.; Sharma, G.D.; Mishra, A. Energy-level modulation of coumarin-based molecular donors for efficient all small molecule fullerene-free organic solar cells. J. Mater. Chem. A 2021, 9, 1563–1573. [Google Scholar] [CrossRef]
- Seo, K.D.; Choi, I.T.; Park, Y.G.; Kang, S.; Lee, J.Y.; Kim, H.K. Novel D–A–π–A coumarin dyes containing low band-gap chromophores for dye-sensitised solar cells. Dyes Pigm. 2012, 94, 469–474. [Google Scholar] [CrossRef]
- Chen, J.X.; Liu, W.; Zheng, C.J.; Kai Wang, K.; Liang, K.; Shi, Y.Z.; Ou, X.M.; Zhang, X.H. Coumarin-based thermally activated delayed fluorescence emitters with high external quantum efficiency and low efficiency roll-off in the devices. ACS Appl. Mater. Interfaces. 2017, 9, 8848–8854. [Google Scholar] [CrossRef] [PubMed]
- Xiao, Y.; Qian, X. Substitution of oxygen with silicon: A big step forward for fluorescente dyes in life science. Coord. Chem. Rev. 2020, 423, 213513. [Google Scholar] [CrossRef]
- Guido, C.; Cortona, P.; Mennucci, B.; Adamo, C. On the Metric of Charge Transfer Molecular Excitations: A Simple Chemical Descriptor. J. Chem. Theory Comput. 2013, 9, 3118–3126. [Google Scholar] [CrossRef]
- Kasha, M. Characterization of electronic transitions in complex molecules, Discuss. Faraday Soc. 1950, 9, 14–19. [Google Scholar] [CrossRef]
- Chen, Y.; Zhao, J.; Guo, H.; Xie, L. Geometry Relaxation-Induced Large Stokes Shift in Red-Emitting Borondipyrromethenes (BODIPY) and Applications in Fluorescent Thiol Probes. J. Org. Chem. 2012, 77, 2192–2206. [Google Scholar] [CrossRef]
- Ma, J.; Zhang, Y.; Zhang, H.; He, X. Near infrared absorption/emission perylenebisimide fluorophores with geometry relaxation-induced large Stokes shift. RSC Adv. 2020, 10, 35840–35847. [Google Scholar] [CrossRef]
- Frisch, M.J.; Trucks, G.W.; Schlegel, H.B.; Scuseria, G.E.; Robb, M.A.; Cheeseman, J.R.; Scalmani, G.; Barone, V.; Petersson, G.A.; Nakatsuji, H.; et al. Gaussian 16, Revision B.01; Gaussian, Inc.: Wallingford, CT, USA, 2016. [Google Scholar]
- Adamo, C.; Barone, V. Toward reliable density functional methods without adjustable parameters: The PBE0 model. J. Chem. Phys. 1999, 110, 6158–6170. [Google Scholar] [CrossRef]
- Amovilli, C.; Barone, V.; Cammi, R.; Cancès, E.; Cossi, M.; Mennucci, B.; Pomelli, C.S.; Tomasi, J. Recent advances in the description of solvent effects with the polarizable continuum model. J. Adv. Quantum Chem. 1998, 32, 227–261. [Google Scholar]
- Cossi, M.; Barone, V. Time-dependent density functional theory for molecules in liquid solutions. J. Chem. Phys. 2001, 115, 4708–4717. [Google Scholar] [CrossRef]





| Compound | λabs a (nm) | λem b (nm) | Stokes Shift (nm, cm−1) | ε c (cm−1 M−1) | ΦF d |
|---|---|---|---|---|---|
| 1 | 371 | 434 | 63, 3913 | 22,910 | 0.73 |
| 3 | 477 | 519 | 42, 1697 | 38,000 | 0.05 |
| 6 | 519 | 596 | 77, 2489 | 24,000 | 0.28 |
| 7 | 500 (578) e | 628 | 128, 4076 | 59,000 | 0.27 |
| 8 | 523 | 597 | 74, 2370 | 24,000 | 0.29 |
| 9 | 498 (576) e | 624 | 126, 4055 | 59,000 | 0.27 |
| 11 | 550 | 603 | 53, 1598 | 80,000 | 0.36 |
| 12 | 593 (615) e | 663 | 70, 1780 | 55,000 | 0.07 |
| 13 | 634 | 685 | 51, 1174 | 113,500 | 0.05 |
| 14 | 589 (615) e | 663 | 74, 1895 | 55,000 | 0.10 |
| 15 | 634 | 683 | 49, 1132 | 113,500 | 0.07 |
| 16 | 437 | 490 | 53, 2475 | 21,000 | 0.14 |
| 17 | 406 (476) e | 578 | 172, 7330 | 30,000 | 0.90 |
| 18 | 489 | 628 | 139, 4526 | 64,000 | 0.54 |
| 19 | 404 (480) e | 577 | 173, 7421 | 30,000 | 0.92 |
| 20 | 487 | 628 | 141, 4610 | 64,000 | 0.56 |
Disclaimer/Publisher’s Note: The statements, opinions and data contained in all publications are solely those of the individual author(s) and contributor(s) and not of MDPI and/or the editor(s). MDPI and/or the editor(s) disclaim responsibility for any injury to people or property resulting from any ideas, methods, instructions or products referred to in the content. |
© 2023 by the authors. Licensee MDPI, Basel, Switzerland. This article is an open access article distributed under the terms and conditions of the Creative Commons Attribution (CC BY) license (https://creativecommons.org/licenses/by/4.0/).
Share and Cite
Eustáquio, R.; Ramalho, J.P.P.; Caldeira, A.T.; Pereira, A. Rational Design of Cost-Effective 4-Styrylcoumarin Fluorescent Derivatives for Biomolecule Labeling. Molecules 2023, 28, 6822. https://doi.org/10.3390/molecules28196822
Eustáquio R, Ramalho JPP, Caldeira AT, Pereira A. Rational Design of Cost-Effective 4-Styrylcoumarin Fluorescent Derivatives for Biomolecule Labeling. Molecules. 2023; 28(19):6822. https://doi.org/10.3390/molecules28196822
Chicago/Turabian StyleEustáquio, Raquel, João P. Prates Ramalho, Ana Teresa Caldeira, and António Pereira. 2023. "Rational Design of Cost-Effective 4-Styrylcoumarin Fluorescent Derivatives for Biomolecule Labeling" Molecules 28, no. 19: 6822. https://doi.org/10.3390/molecules28196822
APA StyleEustáquio, R., Ramalho, J. P. P., Caldeira, A. T., & Pereira, A. (2023). Rational Design of Cost-Effective 4-Styrylcoumarin Fluorescent Derivatives for Biomolecule Labeling. Molecules, 28(19), 6822. https://doi.org/10.3390/molecules28196822

