Chitosan–Glycolic Acid Gel Modification of Chloride Ion Transport in Mammalian Skin: An In Vitro Study
Abstract
1. Introduction
2. Results
3. Discussion
4. Materials and Methods
4.1. Animals
4.2. Experimental Procedure
- (1)
- In stationary conditions: transepithelial electric potential (PD, mV) continuously measured, transepithelial electric resistance (R, Ω*cm2) measured after stimulation and counted according to Ohm’s law.
- (2)
- During 15 s stimulation: minimal transepithelial electric potential (PDmin), maximal transepithelial electric potential (PDmax).
- -
- R—transepithelial electrical resistance recorded while the tissue sample was exposed to a current with a stimulus intensity of ±10 μA; then, after measuring the voltage change, calculations were made according to the Ohm’s law (Ω*cm2).
- -
- PD—changes in transepithelial electric potential difference measured in stationary conditions, i.e., without stimulation, recorded continuously (mV).
- -
- PDmax and PDmin—minimal and maximal transepithelial electric potential difference measured during a 15 s stimulation (mV).
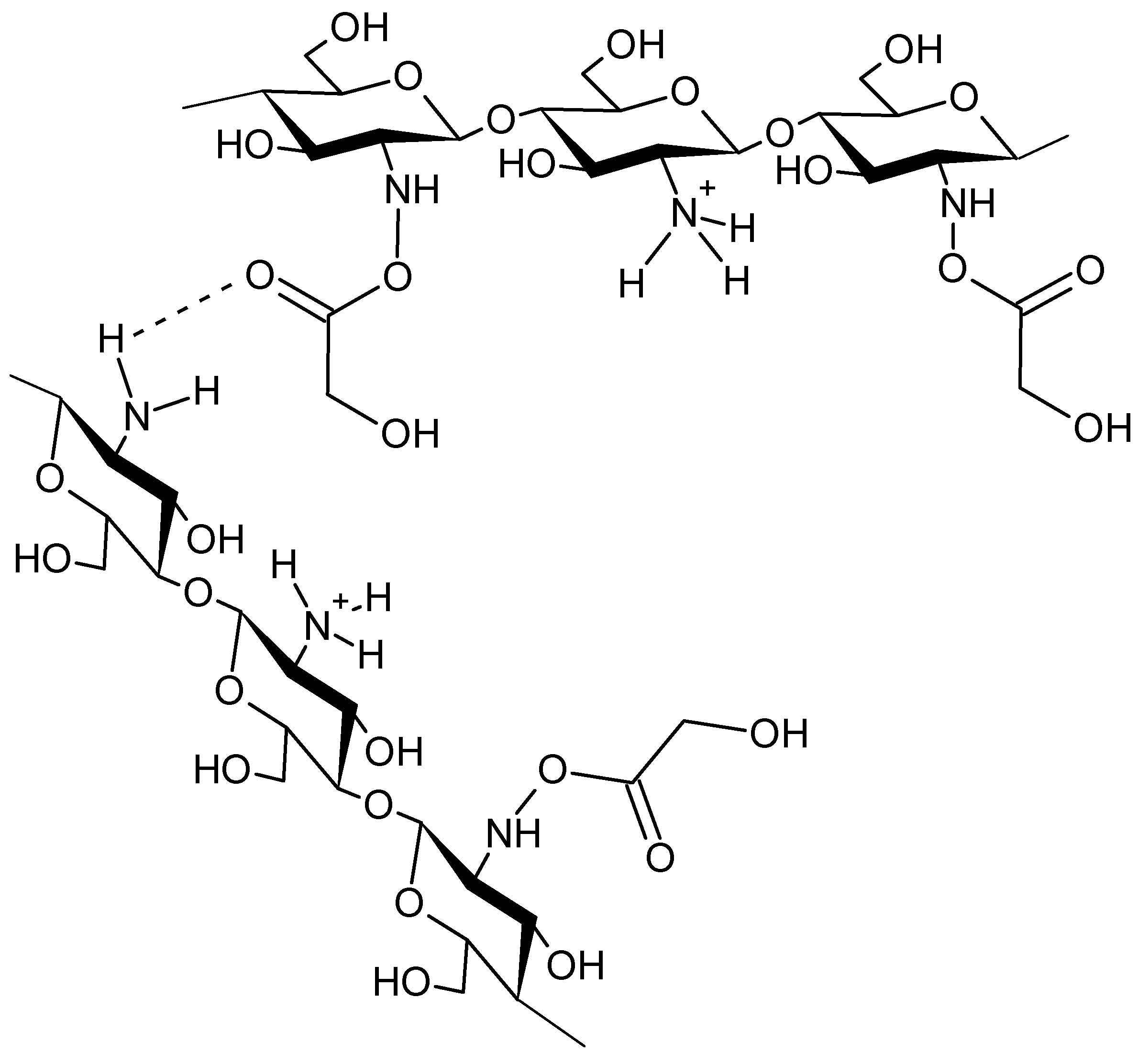
4.3. Chemicals
- -
- Ringer’s solution (RS)—(K+ 4.0 mM; Na+ 147.2 mM; Ca2+ 2.2 mM; Mg2+ 2.6 mM; Cl− 160.8 mM; Hepes 10.0 mM), solution with iso-osmotic properties.
- -
- Mineral compounds (NaCl, CaCl2, KCl, MgCl2) were purchased in Avantor Performance Materials Poland S.A., Poland.
- -
- Chitosan–glycolic acid gel in RS (CGG) was prepared by dissolving chitosan (2.6% w/v) in 30 mL of aqueous glycolic acid solutions and put away for 24 h in a dark place. After this time, it was diluted with 500 mL of the Ringer’s solution. Chitosan and glycolic acid were obtained from ACROS Organics, Poland, and used without further purification.
- -
- A—amiloride, 3,5-diamino-6-chloro-2-carboxylic acid, 0.1 mM, (Sigma-Aldrich, St. Louis, MO, USA), inhibitor of ENaCs, used as an inhibitor of transepithelial sodium transport pathways.
- -
- B—bumetanide, 3-butylamino-4-phenoxy-5-sulfamoylbenzoic acid, 0.1 mM (Sigma-Aldrich, St. Louis, MO, USA), inhibitor of Na-K-Cl cotransporter, used as an inhibitor of transepithelial chloride transport pathways.
- -
- AB—a solution of amiloride (A, 0.1 mM) and bumetanide (B, 0.1 mM).
4.4. Data Analysis
5. Conclusions
Author Contributions
Funding
Institutional Review Board Statement
Informed Consent Statement
Data Availability Statement
Conflicts of Interest
Sample Availability
References
- Dobrzeniecka, W.; Daca, M.; Nowakowska, B.; Sobiesiak, M.; Szewczyk-Golec, K.; Woźniak, A.; Hołyńska-Iwan, I. The Impact of Diclofenac Gel on Ion Transport in the Rabbit (Oryctolagus cuniculus) Skin: An In Vitro Study. Molecules 2023, 28, 1332. [Google Scholar] [CrossRef] [PubMed]
- Hołyńska-Iwan, I.; Sobiesiak, M.; Kowalczyk, W.; Wróblewski, M.; Cwynar, A.; Szewczyk-Golec, K. Nickel ions influence the transepithelial sodium transport in the trachea, intestine and skin. Sci. Rep. 2023, 13, 6931. [Google Scholar] [CrossRef] [PubMed]
- Guarnieri, A.; Triunfo, M.; Scieuzo, C.; Ianniciello, D.; Tafi, E.; Hahn, T.; Zibek, S.; Salvia, R.; De Bonis, A.; Falabella, P. Antimicrobial properties of chitosan from different developmental stages of the bioconverter insect Hermetia illucens. Sci. Rep. 2022, 12, 8084. [Google Scholar] [CrossRef] [PubMed]
- Fatullayeva, S.; Tagiyev, D.; Zeynalov, N.; Mammadova, S.; Aliyeva, E. Recent advances of chitosan-based polymers in biomedical applications and environmental protection. J. Polym. Res. 2022, 29, 259. [Google Scholar] [CrossRef]
- Madni, A.; Kousar, R.; Naeem, N.; Wahid, F. Recent Advancements in Applications of Chitosan-based Biomaterials for Skin Tissue Engineering. J. Biores Bioprod. 2021, 6, 11–25. [Google Scholar] [CrossRef]
- Jiménez-Gómez, C.P.; Cecilia, J.A. Chitosan: A Natural Biopolymer with a Wide and Varied Range of Applications. Molecules 2020, 25, 3981. [Google Scholar] [CrossRef] [PubMed]
- Foster, L.J.; Ho, S.; Hook, J.; Basuki, M.; Marçal, H. Chitosan as a Biomaterial: Influence of Degree of Deacetylation on Its Physiochemical, Material and Biological Properties. PLoS ONE 2015, 10, e0135153. [Google Scholar] [CrossRef]
- Chandrasekaran, M.; Kim, K.; Chun, S. Antibacterial Activity of Chitosan Nanoparticles: A Review. Processes 2020, 8, 1173. [Google Scholar] [CrossRef]
- Li, J.; Zhuang, S. Antibacterial Activity of Chitosan and Its Derivatives and Their Interaction Mechanism with Bacteria: Current State and Perspectives. Eur. Polym. J. 2020, 138, 109984. [Google Scholar] [CrossRef]
- Dhillon, G.S.; Kaur, S.; Sarma, S.J.; Brar, S.K.; Verma, M.; Surampalli, R.Y. Recent Development in Applications of Important Biopolymer Chitosan in Biomedicine, Pharmaceuticals and Personal Care Products. Curr. Tissue Engineering. 2013, 2, 20–40. [Google Scholar] [CrossRef]
- Rodríguez-Rodríguez, R.; Espinosa-Andrews, H.; Velasquillo-Martínez, C. Composite hydrogels based on gelatin, chitosan and polyvinyl alcohol to biomedical applications: A review. Int. J. Polym. Mat. Pol. Biomat. 2018, 69, 1–20. [Google Scholar] [CrossRef]
- Pouranvari, S.; Ebrahimi, F.; Javadi, G.; Maddah, B. Chemical cross-linking of chitosan/polivinyl Alcohol electrospun nanofibers. Mater. Technol. 2016, 50, 663–666. [Google Scholar] [CrossRef]
- Udrea, L.E.; Hritcu, D.; Popa, M.I.; Rotariu, O. Preparation and characterization of polyvinyl alcohol-chitosan biocompatible magnetic microparticles. J. Magn. Magn. Mater. 2011, 323, 7–13. [Google Scholar] [CrossRef]
- Singh, A.; Mittal, A.; Benjakul, S. Chitosan nanoparticles: Preparation, food applications and health benefits. SciAsia 2021, 47, 1–10. [Google Scholar] [CrossRef]
- Beleño Acosta, B.; Advincula, R.C.; Grande-Tovar, C.D. Chitosan-Based Scaffolds for the Treatment of Myocardial Infarction: A Systematic Review. Molecules 2023, 28, 1920. [Google Scholar] [CrossRef] [PubMed]
- Li, Z.; Chen, X.; Bao, C.; Liu, C.; Liu, C.; Li, D.; Yan, H.; Lin, Q. Fabrication and Evaluation of Alginate/Bacterial Cellulose Nanocrystals-Chitosan-Gelatin Composite Scaffolds. Molecules. 2021, 26, 5003. [Google Scholar] [CrossRef] [PubMed]
- Wang, C.-H.; Cherng, J.-H.; Liu, C.-C.; Fang, T.-J.; Hong, Z.-J.; Chang, S.-J.; Fan, G.-J.; Hsu, S.-D. Procoagulant and antimicrobial effects of chitosan in wound healing. Int. J. Mol. Sci. 2023, 22, 7067. [Google Scholar] [CrossRef]
- Sakthiguru, N.; Sithique, M.A. Fabrication of bioinspired chitosan/gelatin/allantoin biocomposite film for wound dressing application. Int. J. Biol. Macromol. 2020, 152, 873–883. [Google Scholar] [CrossRef]
- Moeini, A.; Pedram, P.; Makvandi, P.; Malinconico, M.; Gomez d’Ayala, G. Wound healing and antimicrobial effect of active secondary metabolites in chitosan-based wound dressings: A review. Carbohydr. Polym. 2020, 233, 115839. [Google Scholar] [CrossRef]
- Bano, I.; Arshad, M.; Yasin, T.; Ghauri, M.A.; Younus, M. Chitosan: A potential biopolymer for wound management. Int. J. Biol. Macromol. 2017, 102, 380–383. [Google Scholar] [CrossRef]
- Zavyalova, O.; Gajewska, S.; Dąbrowska-Wisłocka, D.; Sionkowska, A. Characteristics of physicochemical and rheological properties of chitosan hydrogels based on selected hydroxyl acids. Eng. Biomat. 2021, 161, 2–7. [Google Scholar] [CrossRef]
- Lukic, M.; Filipovic, M.; Pajic, N.; Lunter, D.; Bozic, D.; Savic, S. Formulation of topical acidic products and acidification of the skin—Contribution of glycolic acid. Int. J. Cosmet. Sci. 2021, 43, 419–431. [Google Scholar] [CrossRef] [PubMed]
- Fartasch, M.; Teal, J.; Menon, G.K. Mode of action of glycolic acid on human stratum corneum: Ultrastructural and functional evaluation of the epidermal barrier. Arch. Dermatol. Res. 1997, 289, 404–409. [Google Scholar] [CrossRef] [PubMed]
- Tang, S.C.; Yang, J.H. Dual Effects of Alpha-Hydroxy Acids on the Skin. Molecules 2018, 23, 863. [Google Scholar] [CrossRef] [PubMed]
- Kählig, H.; Hasanovic, A.; Biruss, B.; Höller, S.; Grim, J.; Valenta, C. Chitosan-glycolic acid: A possible matrix for progesterone delivery into skin. Drug Dev. Ind. Pharm. 2009, 35, 997–1002. [Google Scholar] [CrossRef] [PubMed]
- Ferreira, D.; Silva, C.; Souza, M. Electrical impedance model for evaluation of skin irritation in rabbits and human. Skin. Res. Technol. 2007, 13, 259–267. [Google Scholar] [CrossRef]
- Hołyńska-Iwan, I.; Szewczyk-Golec, K. Analysis of changes in sodium and chloride ion transport in the skin. Sci. Rep. 2020, 10, 18094. [Google Scholar] [CrossRef]
- Aioi, A.; Okuda, M.; Matsui, M.; Tonogaito, H.; Hamada, K. Effect of high population density environment on skin barrier function in mice. J. Dermatol. Sci. 2001, 25, 189–197. [Google Scholar] [CrossRef]
- Abdayem, R.; Callejon, S.; Portes, P.; Kirilov, P.; Demame, F.; Pirot, F.; Jannin, V.; Haftek, M. Modulation of transepithelial electric resistance (TEER) in reconstructed human epidermis by excipients known to permeate intestinal tight junctions. Exp. Dermatol. 2015, 24, 686–691. [Google Scholar] [CrossRef]
- Boer, M.; Duchnik, E.; Maleszka, R.; Marchlewicz, M. Structural and biophysical characteristics of human skin in maintaining proper epidermal barrier function. Adv. Dermatol. Allergol. 2016, 33, 1–5. [Google Scholar] [CrossRef]
- Hołyńska-Iwan, I.; Smyk, P.; Chrustek, A.; Olszewska-Słonina, D.; Szewczyk-Golec, K. The influence of hydration status on ion transport in the rabbit (Oryctolagus cuniculus) skin-An in vitro study. PLoS ONE 2021, 16, e0255825. [Google Scholar] [CrossRef] [PubMed]
- Hołyńska-Iwan, I.; Sobiesiak, M. Cisplatin influences the skin ion transport: An in vitro study. Biomed. Pharmacol. 2020, 129, 1–11. [Google Scholar] [CrossRef] [PubMed]
- Jung, E.; Maibach, H. Animal models for percutaneous absorption. J. Appl. Toxicol. 2015, 35, 1–10. [Google Scholar] [CrossRef] [PubMed]
- Raj, N.; Voegeli, R.; Rawlings, A.V.; Doppler, S.; Imfeld, D.; Munday, M.R.; Lane, M.E. A fundamental investigation into aspects of the physiology and biochemistry of the stratum corneum in subjects with sensitive skin. Int. J. Cosmet. Sci. 2017, 39, 2–10. [Google Scholar] [CrossRef] [PubMed]
- Denda, M.; Ashida, Y.; Inoue, K.; Kumazawa, N. Skin surface electric potential induced by ion-flux through epidermal cell layers. Biochem. Biophys. Res. Commun. 2001, 284, 112–117. [Google Scholar] [CrossRef] [PubMed]
- Tucker, M.; Six, A.; Moyen, N.; Satterfield, A.; Ganio, M. Effect of hypohydration on postsynaptic cutaneous vasodilation and sweating in healthy men. Am. J. Physiol. Regul. Integr. Comp. Physiol. 2017, 312, R637–R642. [Google Scholar] [CrossRef][Green Version]
- Hanukoglu, I.; Boggula, V.R.; Vaknine, H.; Sharma, S.; Klevman, T.; Hanukoglu, A. Expression of epithelial sodium channel (ENaC) and CFTR in the human epidermis and epidermal appendages. Histochem. Cell Biol. 2017, 147, 733–748. [Google Scholar] [CrossRef]
- Chiu, W.-T.; Vi Tran, T.T.; Pan, S.-C.; Huang, H.-K.; Chen, Y.-C.; Wong, W.-T. Cystic Fibrosis Transmembrane Conductance Regulator: A possible new target for photodynamic therapy enhances wound healing. Adv. Wound Care 2019, 8, 476–486. [Google Scholar] [CrossRef]
- Seltmann, K.; Meyer, M.; Sulcova, J.; Kockmann, T.; Wehkamp, U.; Weidinger SAuf Dem Keller, U.; Werner, S. Humidity-regulated, CLCA2 protects the epidermis from hyperosmotic stress. Sci. Transl. Med. 2018, 10, eaao4650. [Google Scholar] [CrossRef]
- Chen, J.; Chen, Y.; Chen, Y.; Yang, Z.; You, B.; Ruan, Y.C.; Peng, Y. Epidermal CFTR Suppresses MAPK/NF-κB to Promote Cutaneous Wound Healing. Cell Physiol. Biochem. 2016, 39, 2262–2274. [Google Scholar] [CrossRef]
- Yang, H.-Y.; Charles, R.-P.; Hummler, E.; Baines, D.L.; Isseroff, R.R. The epithelial sodium channel mediates the directionality of galvanotaxis in human keratinocytes. J. Cell Sci. 2013, 126, 1942–1951. [Google Scholar] [CrossRef] [PubMed]
- Baumauer, K.M.; DeBarry, J.J.; Adelman, P.C.; Miller, R.H.; Hashisuka, J.; Lee, K.H.; Ross, S.E.; Koerber, H.R.; Davis, B.M.; Albers, K.M. Keratinocytes can modulate and directly initiate nociceptive responses. eLife 2015, 4, e09674. [Google Scholar] [CrossRef] [PubMed]
- Xu, W.; Hong, S.J.; Zeitchek, M.; Cooper, G.; Jia, S.; Xie, P.; Quereshi, H.A.; Zhong, A.; Portetfield, M.D.; Galiano, R.D.; et al. Hydration status regulates sodium flux and inflammatory pathways through epithelial sodium channel (ENaC) in the skin. J. Investig. Dermatol. 2015, 135, 796–806. [Google Scholar] [CrossRef] [PubMed]
- Ferreira, P.; Ferreira, V.F.; de Carvalho da Silva, F.; Fretias, C.S.; Pereira, P.R.; Flosi Paschoalin, V.M. Chitosans and Nanochitosans: Recent Advances in Skin Protection, Regeneration, and Repair. Pharmaceutics 2022, 14, 1307. [Google Scholar] [CrossRef] [PubMed]
- Tangkijngamvong, N.; Phaiyarin, P.; Wanichwecharungruang, S.; Kumtornrut, C. The anti-sebum property of chitosan particles. J. Cosmet. Dermatol. 2020, 19, 2135–2140. [Google Scholar] [CrossRef] [PubMed]
- Kubiak, M.; Mucha, P.; Rotsztejn, H. Comparative study of 15% trichloroacetic acid peel combined with 70% glycolic acid and 35% trichloroacetic acid peel for the treatment of photodamaged facial skin in aging women. J. Cosmet. Dermatol. 2020, 19, 137–146. [Google Scholar] [CrossRef] [PubMed]
- Pavithra, S.; Gopalakrishnan, K.; Shanmugam, J. Efficacy of 70% Glycolic Acid Peel versus 30% Salicylic Acid Peel in the Treatment of Mild to Moderate Acne Vulgaris: A Retrospective Study. J. Clin. Diagn. Res. 2022, 16, 5–8. [Google Scholar] [CrossRef]
- Nautiyal, A.; Wairkar, S. Management of hyperpigmentation: Current treatments and emerging therapies. Pigment. Cell Melanoma Res. 2021, 34, 1000–1014. [Google Scholar] [CrossRef]
- Narda, M.; Trullas, C.; Brown, A.; Piquero-Casals, J.; Granger, C.; Fabbrocini, G. Glycolic acid adjusted to pH 4 stimulates collagen production and epidermal renewal without affecting levels of proinflammatory TNF-alpha in human skin explants. J. Cosmet. Dermatol. 2021, 20, 513–521. [Google Scholar] [CrossRef]
- Soares, L.; Perim, R.; Alvarenga, E.; Guimarães, L.; Carvalho Teixeira, A.; Coimbra, J.; Oliveira, E. Insights on physicochemical aspects of chitosan dispersion in aqueous solutions of acetic, glycolic, propionic or lactic acid. Int. J. Biol. Macromol. 2019, 128, 140. [Google Scholar] [CrossRef]
- Kolonko, A.; Bangel-Ruland, N.; Goycoolea, F.; Weber, W. Chitosan Nanocomplexes for the Delivery of ENaC Antisense Oligonucleotides to Airway Epithelial Cells. Biomoleculs. 2020, 10, 553. [Google Scholar] [CrossRef] [PubMed]
- Kolonko, A.; Fernández Fernández, E.; Santos-Carballal, B.; Goycoolea, F.M.; Weber, W.-M. Functional restoring of defect CFTR by transfection of CFTR- mRNA using chitosan. JSM Genet. Genomics. 2016, 3, 1016. [Google Scholar]
- Xu, W.; Hong, S.J.; Zhong, A.; Xie, P.; Jia, S.; Sie, Z.; Zeitchek, M.; Niknam-Bienia, S.; Zhao, J.; Porterfield, D.M.; et al. Sodium channel Nax is a regulator in epithelial sodium homeostasis. Sci. Transl. Med. 2015, 7, 312ra177. [Google Scholar] [CrossRef] [PubMed]
- Reddy, M.; Quinton, P. Bumetanide blocks CFTR GCl in the native sweat duct. Am. J. Physiol. 1999, 276, C231–C237. [Google Scholar] [CrossRef] [PubMed]
- Reddy, M.; Quinton, P. Rapid regulation of electrolyte absorption in sweat duct. J. Membr. Biol. 1994, 140, 57–67. [Google Scholar] [CrossRef]




| PD Initial (mV) | PD Final (mV) | Wilcoxon Test (p) | R Initial (Ω∗cm2) | R Final (Ω∗cm2) | Wilcoxon Test (p) | ||
|---|---|---|---|---|---|---|---|
| Incubation: RS (n = 40) | median | −0.53 | −0.86 | 0.000103 | 2721 | 3450 | 0.667697 |
| lower quartile | −0.24 | −1.31 | 1422 | 1467 | |||
| upper quartile | 0.23 | −0.15 | 4855 | 5024 | |||
| Incubation: CGG (n = 32) | median | −1.11 | −0.53 | 0.099541 | 2817 | 2474 | 0.379375 |
| lower quartile | −1.48 | −0.86 | 1050 | 1013 | |||
| upper quartile | −0.09 | 0 | 5916 | 5203 | |||
| Mann–Whitney test (p) | RS vs. Chitosan | 0.002873 | 0.219698 | 0.66735 | 0.62078 | ||
| Incubation: RS (n = 40) | Incubation: CGG (n = 32) | ||||||
|---|---|---|---|---|---|---|---|
| Stimulation | PDmin (mV) | PDmax (mV) | Stimulation | PDmin (mV) | PDmax (mV) | ||
| RS | median | −0.4 | 0.37 | CGG | Median | −1.31 | 0 |
| lower quartile | −0.98 | −0.23 | lower quartile | −2.06 | −0.97 | ||
| upper quartile | 0 | 0.97 | upper quartile | −0.36 | 0.58 | ||
| CGG | median | −0.57 | 0.23 | RS | Median | −1.06 | 0 |
| lower quartile | −1.16 | −0.34 | lower quartile | −2.04 | −0.26 | ||
| upper quartile | −0.15 | 0.69 | upper quartile | −0.27 | 0.45 | ||
| Wilcoxon test (p) | 0.014024 | 0.112656 | Wilcoxon test (p) | 0.378920 | 0.243286 | ||
| PDmin | p |
| RS stimulation in RS incubation vs. RS stimulation in CGG incubation | 0.000502 |
| CGG stimulation in RS incubation vs. CGG stimulation in CGG incubation | 0.002292 |
| PDmax | P |
| RS stimulation in RS incubation vs. RS stimulation in CGG incubation | 0.090533 |
| CGG stimulation in RS incubation vs. CGG stimulation in CGG incubation | 0.043357 |
| Incubation | RS (n = 40) | Chitosan (n = 32) | |||
|---|---|---|---|---|---|
| Stimulation | PDmin (mV) | PDmax (mV) | PDmin (mV) | PDmax (mV) | |
| B | Median | −0.64 | 0.08 | −0.63 | 0.36 |
| lower quartile | −1.45 | −0.43 | −1.28 | −0.06 | |
| upper quartile | −0.2 | 0.67 | −0.19 | 1.94 | |
| A | Median | −0.86 | −0.08 | −0.96 | 0.06 |
| lower quartile | −1.28 | −0.72 | −3.03 | 0 | |
| upper quartile | −0.21 | 0.69 | −0.26 | 0.98 | |
| AB | Median | −0.54 | 0.23 | −0.54 | 0.12 |
| lower quartile | −0.74 | −0.57 | −1.16 | −0.59 | |
| upper quartile | 0.07 | 0.92 | −0.12 | 2.12 | |
| Incubation: RS (n = 40) | p |
| PD vs. PDmin for RS stimulation | <0.001 |
| PD vs. PDmax for RS stimulation | <0.001 |
| PD vs. PDmin for CGG stimulation | <0.001 |
| PD vs. PDmax for CGG stimulation | <0.001 |
| Incubation: CGG (n = 32) | p |
| PD vs. PDmin for CGG stimulation | <0.001 |
| PD vs. PDmax for CGG stimulation | <0.001 |
| PD vs. PDmin for RS stimulation | <0.001 |
| PD vs. PDmax for RS stimulation | <0.001 |
Disclaimer/Publisher’s Note: The statements, opinions and data contained in all publications are solely those of the individual author(s) and contributor(s) and not of MDPI and/or the editor(s). MDPI and/or the editor(s) disclaim responsibility for any injury to people or property resulting from any ideas, methods, instructions or products referred to in the content. |
© 2023 by the authors. Licensee MDPI, Basel, Switzerland. This article is an open access article distributed under the terms and conditions of the Creative Commons Attribution (CC BY) license (https://creativecommons.org/licenses/by/4.0/).
Share and Cite
Zavyalova, O.; Dąbrowska-Wisłocka, D.; Misiura, K.; Hołyńska-Iwan, I. Chitosan–Glycolic Acid Gel Modification of Chloride Ion Transport in Mammalian Skin: An In Vitro Study. Molecules 2023, 28, 6581. https://doi.org/10.3390/molecules28186581
Zavyalova O, Dąbrowska-Wisłocka D, Misiura K, Hołyńska-Iwan I. Chitosan–Glycolic Acid Gel Modification of Chloride Ion Transport in Mammalian Skin: An In Vitro Study. Molecules. 2023; 28(18):6581. https://doi.org/10.3390/molecules28186581
Chicago/Turabian StyleZavyalova, Olga, Dominika Dąbrowska-Wisłocka, Konrad Misiura, and Iga Hołyńska-Iwan. 2023. "Chitosan–Glycolic Acid Gel Modification of Chloride Ion Transport in Mammalian Skin: An In Vitro Study" Molecules 28, no. 18: 6581. https://doi.org/10.3390/molecules28186581
APA StyleZavyalova, O., Dąbrowska-Wisłocka, D., Misiura, K., & Hołyńska-Iwan, I. (2023). Chitosan–Glycolic Acid Gel Modification of Chloride Ion Transport in Mammalian Skin: An In Vitro Study. Molecules, 28(18), 6581. https://doi.org/10.3390/molecules28186581

