A Pharmacokinetic Study of Sixteen Major Bioactive Components of Jinshui-Huanxian Granules in Pulmonary Fibrosis Model and Control Rats Using Orbitrap Fusion Mass Spectrometry
Abstract
:1. Introduction
2. Results and Discussion
2.1. Method Validation
2.2. Histopathological Examination of PF Model Rats
2.3. Pharmacokinetics
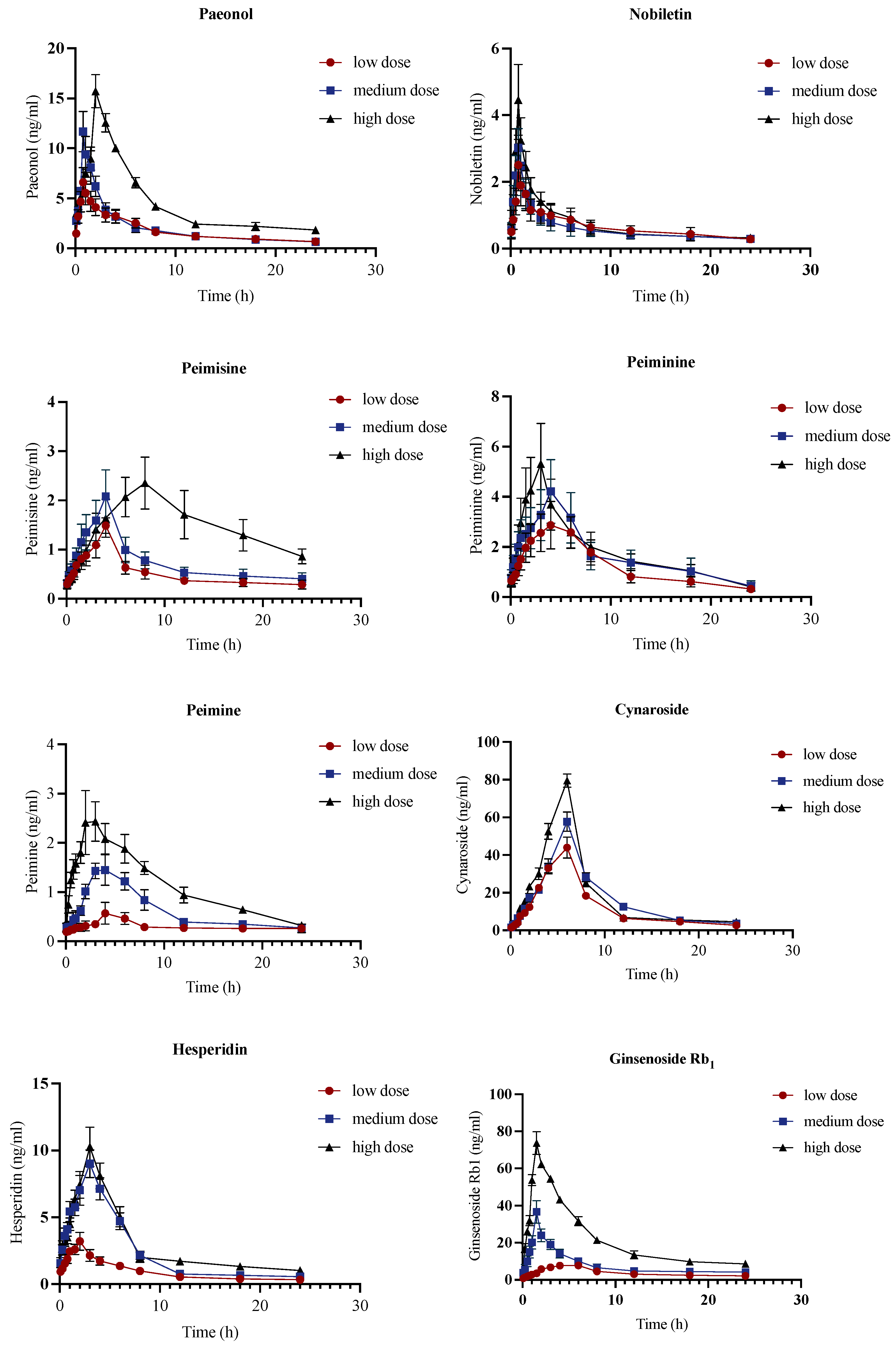
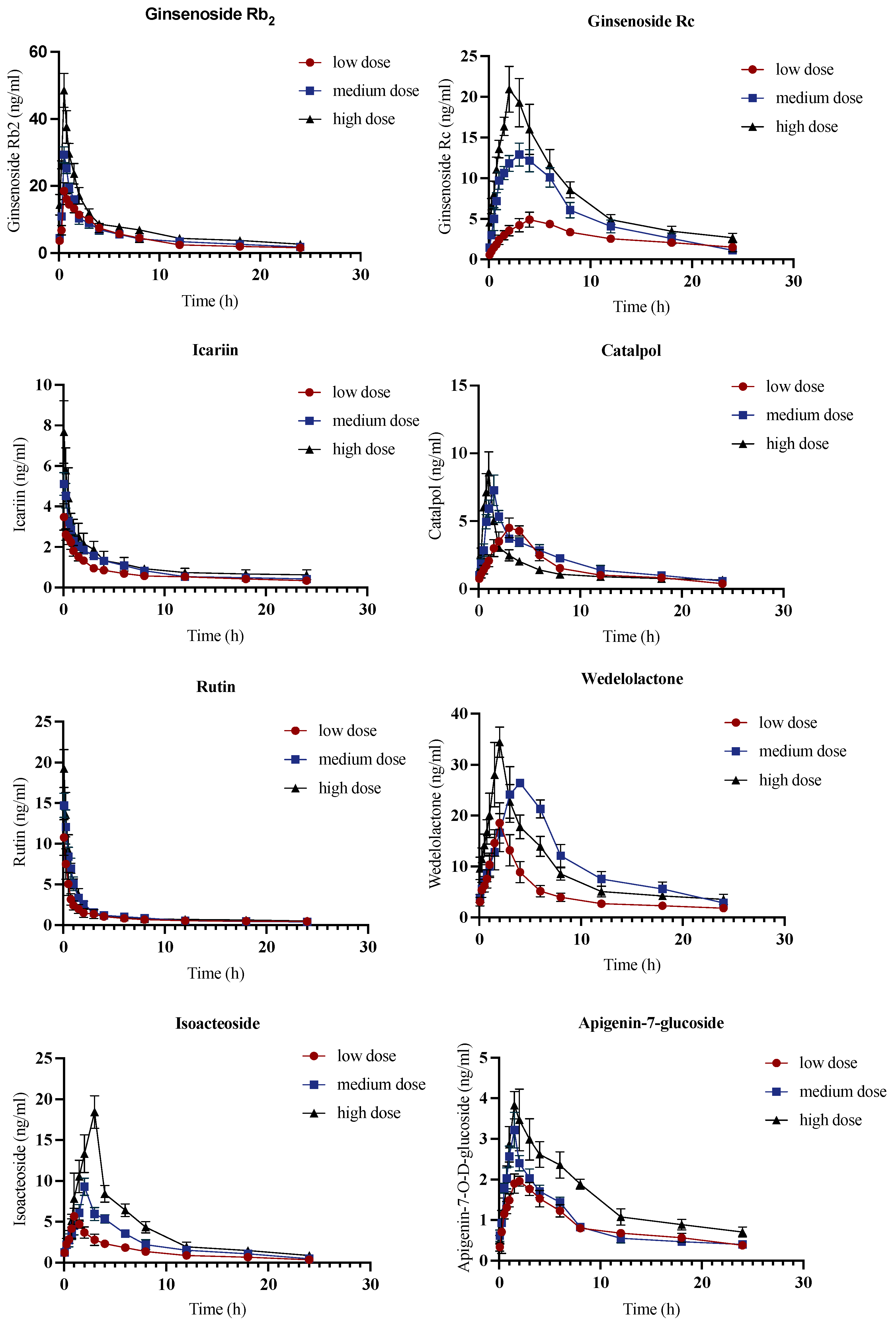
2.3.1. Pharmacokinetics Analysis of Control Group
2.3.2. Pharmacokinetics Analysis of PF Model Group
2.3.3. Pharmacokinetics Comparison Analysis of Control and PF Model Groups
3. Materials and Methods
3.1. Chemicals and Reagents
3.2. Instruments
3.3. Experimental Animals
3.4. Construction of the PF Model Rats
3.5. Preparation of Jinshui-Huanxian Granules
3.6. Preparation of Control Solution
3.7. Administration of Control Rats and PF Model Rats
3.8. Pretreatment of Biological Samples
3.9. Chemical Profiling of Plasma Obtained after JHG Administration
3.9.1. Chromatographic Condition
3.9.2. Mass Spectrometry Condition
3.10. Method Validation
3.11. Statistical Analyses
4. Conclusions
Supplementary Materials
Author Contributions
Funding
Institutional Review Board Statement
Informed Consent Statement
Conflicts of Interest
Sample Availability
Abbreviations
References
- Rackow, A.R.; Nagel, D.J.; McCarthy, C.; Judge, J.; Lacy, S.; Freeberg, M.A.T.; Thatcher, T.H.; Kottmann, R.M.; Sime, P.J. The Self-Fulfilling Prophecy of Pulmonary Fibrosis: A Selective Inspection of Pathological Signalling Loops. Eur. Respir. J. 2020, 56, 2000075. [Google Scholar] [CrossRef] [PubMed]
- Mandrioli, D.; Schlünssen, V.; Ádám, B.; Cohen, R.A.; Colosio, C.; Chen, W.; Fischer, A.; Godderis, L.; Göen, T.; Ivanov, I.D.; et al. WHO/ILO Work-Related Burden of Disease and Injury: Protocol for Systematic Reviews of Occupational Exposure to Dusts and/or Fibres and of the Effect of Occupational Exposure to Dusts and/or Fibres on Pneumoconiosis. Environ. Int. 2018, 119, 174–185. [Google Scholar] [CrossRef] [PubMed]
- Balestro, E.; Cocconcelli, E.; Tinè, M.; Biondini, D.; Faccioli, E.; Saetta, M.; Rea, F. Idiopathic Pulmonary Fibrosis and Lung Transplantation: When It Is Feasible. Medicina 2019, 55, 702. [Google Scholar] [CrossRef] [PubMed]
- Karim, F.; van Laar, J.; van Hagen, M.; Salvati, L.; Palterer, B.; Parronchi, P. Spectrum of Fibrotic Lung Diseases. N. Engl. J. Med. 2020, 383, 958–968. [Google Scholar]
- Rajan, S.K.; Cottin, V.; Dhar, R.; Danoff, S.; Flaherty, K.R.; Brown, K.K.; Mohan, A.; Renzoni, E.; Mohan, M.; Udwadia, Z.; et al. Progressive Pulmonary Fibrosis: An Expert Group Consensus Statement. Eur. Respir. J. 2023, 61, 2103187. [Google Scholar] [CrossRef]
- Nalysnyk, L.; Cid-Ruzafa, J.; Rotella, P.; Esser, D. Incidence and Prevalence of Idiopathic Pulmonary Fibrosis: Review of the Literature. Eur. Respir. Rev. 2012, 21, 355–361. [Google Scholar] [CrossRef]
- Meyer, K.C. Pulmonary Fibrosis, Part I: Epidemiology, Pathogenesis, and Diagnosis. Expert Rev. Respir. Med. 2017, 11, 343–359. [Google Scholar] [CrossRef]
- Li, J.; Li, K.; Tian, Y.; Zhao, P.; Liu, X.; Li, M.; Bai, Y. Effective-Compounds of Jinshui Huanxian Formula Ameliorates Fibroblast Activation in Pulmonary Fibrosis by Inhibiting the Activation of MTOR Signaling. Phytomedicine 2023, 109, 154604. [Google Scholar] [CrossRef]
- Bai, Y.; Li, J.; Zhao, P.; Li, Y.; Li, M.; Feng, S.; Qin, Y.; Tian, Y.; Zhou, T. A Chinese Herbal Formula Ameliorates Pulmonary Fibrosis by Inhibiting Oxidative Stress via Upregulating Nrf2. Front. Pharmacol. 2018, 9, 628. [Google Scholar] [CrossRef]
- Shao, D.; Liu, X.; Wu, J.; Zhang, A.; Bai, Y.; Zhao, P.; Li, J. Identification of the Active Compounds and Functional Mechanisms of Jinshui Huanxian Formula in Pulmonary Fibrosis by Integrating Serum Pharmacochemistry with Network Pharmacology. Phytomedicine 2022, 102, 154177. [Google Scholar] [CrossRef]
- Li, J.; Yu, X.; Xie, Y.; Yang, S.; Zhao, L.; Zhou, M.; Meng, Y. Efficacy and Safety of Traditional Chinese Medicine Treatment for Idiopathic Pulmonary Fibrosis: An Exploratory, Randomized, Double-Blinded and Placebo Controlled Trial. Front. Pharmacol. 2022, 13, 1053356. [Google Scholar] [CrossRef]
- Yang, S. Efficacy and Safety of Jin-Shui Huan-Xian Granule for Idiopathic Pulmonary Fibrosis: Study Protocol for a Multicenter, Randomized, Double-Blind, Placebo-Controlled Trial. Trials 2022, 23, 725. [Google Scholar]
- Yuan, J.; Zhao, D.; Liu, X.-F.; Tian, Y.-G.; Zhang, H.-J.; Feng, S.-X.; Li, J.-S. Systematic Characterization of the Components and Molecular Mechanisms of Jinshui Huanxian Granules Using UPLC-Orbitrap Fusion MS Integrated with Network Pharmacology. Sci. Rep. 2022, 12, 12476. [Google Scholar] [CrossRef] [PubMed]
- Hohmann, N.; Kocheise, F.; Carls, A.; Burhenne, J.; Weiss, J.; Haefeli, W.E.; Mikus, G. Dose-Dependent Bioavailability and CYP3A Inhibition Contribute to Non-Linear Pharmacokinetics of Voriconazole. Clin. Pharmacokinet. 2016, 55, 1535–1545. [Google Scholar] [CrossRef]
- Hanlon, N.; Coldham, N.; Gielbert, A.; Kuhnert, N.; Sauer, M.J.; King, L.J.; Ioannides, C. Absolute Bioavailability and Dose-Dependent Pharmacokinetic Behaviour of Dietary Doses of the Chemopreventive Isothiocyanate Sulforaphane in Rat. Br. J. Nutr. 2008, 99, 559–564. [Google Scholar] [CrossRef]
- Mei, Y.; Tong, X.; Hu, Y.; Liu, W.; Wang, J.; Lv, K.; Li, X.; Cao, L.; Wang, Z.; Xiao, W.; et al. Comparative Pharmacokinetics of Six Bioactive Components of Shen-Wu-Yi-Shen Tablets in Normal and Chronic Renal Failure Rats Based on UPLC-TSQ-MS/MS. J. Ethnopharmacol. 2023, 317, 116818. [Google Scholar] [CrossRef]
- Yang, X.-X.; Wang, S.; Cui, L.-L.; Li, T.-J.; Bai, G.; Bao, Y.-R.; Meng, X.-S. Pharmacological Effects of Bufei Jianpi Granule on Chronic Obstructive Pulmonary Disease and Its Metabolism in Rats. Front. Pharmacol. 2022, 13, 1090345. [Google Scholar] [CrossRef]
- Du, B.; Cao, L.; Wang, K.; Miu, J.; Yao, L.; Xu, Z.; Song, J. Peiminine Attenuates Acute Lung Injury Induced by LPS Through Inhibiting Lipid Rafts Formation. Inflammation 2020, 43, 1110–1119. [Google Scholar] [CrossRef]
- Liu, C.; Zhen, D.; Du, H.; Gong, G.; Wu, Y.; Ma, Q.; Quan, Z. Synergistic Anti-Inflammatory Effects of Peimine, Peiminine, and Forsythoside a Combination on LPS-Induced Acute Lung Injury by Inhibition of the IL-17-NF-ΚB/MAPK Pathway Activation. J. Ethnopharmacol. 2022, 295, 115343. [Google Scholar] [CrossRef] [PubMed]
- Bi, Z.; Zhang, W.; Yan, X. Anti-Inflammatory and Immunoregulatory Effects of Icariin and Icaritin. Biomed. Pharmacother. 2022, 151, 113180. [Google Scholar] [CrossRef] [PubMed]
- Chen, Y.; Zhao, Y.H.; Jia, X.B.; Hu, M. Intestinal Absorption Mechanisms of Prenylated Flavonoids Present in the Heat-Processed Epimedium Koreanum Nakai (Yin Yanghuo). Pharm. Res. 2008, 25, 2190–2199. [Google Scholar] [CrossRef] [PubMed]
- Li, Y.; Duan, J.; Guo, T.; Xie, W.; Yan, S.; Li, B.; Zhou, Y.; Chen, Y. In Vivo Pharmacokinetics Comparisons of Icariin, Emodin and Psoralen from Gan-Kang Granules and Extracts of Herba Epimedii, Nepal Dock Root, Ficus Hirta Yahl. J. Ethnopharmacol. 2009, 124, 522–529. [Google Scholar] [CrossRef] [PubMed]
- Yu, W.; Ilyas, I.; Aktar, N.; Xu, S. A Review on Therapeutical Potential of Paeonol in Atherosclerosis. Front. Pharmacol. 2022, 13, 950337. [Google Scholar] [CrossRef] [PubMed]
- Wang, Q.; Li, W.; Hu, H.; Lu, X.; Qin, S. Monomeric Compounds from Traditional Chinese Medicine: New Hopes for Drug Discovery in Pulmonary Fibrosis. Biomed. Pharmacother. 2023, 159, 114226. [Google Scholar] [CrossRef] [PubMed]
- Huang, S.; Zhai, B.; Fan, Y.; Sun, J.; Cheng, J.; Zou, J.; Zhang, X.; Shi, Y.; Guo, D. Development of Paeonol Liposomes: Design, Optimization, in Vitro and in Vivo Evaluation. IJN 2022, 17, 5027–5046. [Google Scholar] [CrossRef]
- Adki, K.M.; Kulkarni, Y.A. Chemistry, Pharmacokinetics, Pharmacology and Recent Novel Drug Delivery Systems of Paeonol. Life Sci. 2020, 250, 117544. [Google Scholar] [CrossRef] [PubMed]
- Liu, C.; Hu, M.; Guo, H.; Zhang, M.; Zhang, J.; Li, F.; Zhong, Z.; Chen, Y.; Li, Y.; Xu, P.; et al. Combined Contribution of Increased Intestinal Permeability and Inhibited Deglycosylation of Ginsenoside Rb1 in the Intestinal Tract to the Enhancement of Ginsenoside Rb1 Exposure in Diabetic Rats after Oral Administration. Drug. Metab. Dispos. 2015, 43, 1702–1710. [Google Scholar] [CrossRef]
- Zhao, J.; Su, C.; Yang, C.; Liu, M.; Tang, L.; Su, W.; Liu, Z. Determination of Ginsenosides Rb1, Rb2, and Rb3 in Rat Plasma by a Rapid and Sensitive Liquid Chromatography Tandem Mass Spectrometry Method: Application in a Pharmacokinetic Study. J. Pharm. Biomed. Anal. 2012, 64–65, 94–97. [Google Scholar] [CrossRef]
- Nouri, Z.; Fakhri, S.; Nouri, K.; Wallace, C.E.; Farzaei, M.H.; Bishayee, A. Targeting Multiple Signaling Pathways in Cancer: The Rutin Therapeutic Approach. Cancers 2020, 12, 2276. [Google Scholar] [CrossRef]
- Yang, J.; Tao, L.; Liu, B.; You, X.; Zhang, C.; Xie, H.; Li, R. Wedelolactone Attenuates Pulmonary Fibrosis Partly Through Activating AMPK and Regulating Raf-MAPKs Signaling Pathway. Front. Pharmacol. 2019, 10, 151. [Google Scholar] [CrossRef]
- Bhattamisra, S.K.; Yap, K.H.; Rao, V.; Choudhury, H. Multiple Biological Effects of an Iridoid Glucoside, Catalpol, and Its Underlying Molecular Mechanisms. Biomolecules 2019, 10, 32. [Google Scholar] [CrossRef] [PubMed]
- Lin, L.-C.; Pai, Y.-F.; Tsai, T.-H. Isolation of Luteolin and Luteolin-7-O.-Glucoside from Dendranthema Morifolium Ramat Tzvel and Their Pharmacokinetics in Rats. J. Agric. Food Chem. 2015, 63, 7700–7706. [Google Scholar] [CrossRef] [PubMed]
- Shao, J.; Wang, C.; Li, L.; Liang, H.; Dai, J.; Ling, X.; Tang, H. Luteoloside Inhibits Proliferation and Promotes Intrinsic and Extrinsic Pathway-Mediated Apoptosis Involving MAPK and MTOR Signaling Pathways in Human Cervical Cancer Cells. IJMS 2018, 19, 1664. [Google Scholar] [CrossRef] [PubMed]
- Yuan, J.; Liu, X.-F.; Zhao, D.; Tian, Y.-G.; Zhang, H.-J.; Cui, H.; Feng, S.-X. Simultaneous Determination of Multiple Components in Jinshui Huanxian Granules by UPLC–Orbitrap Fusion MS. Chromatographia 2023, 86, 21–30. [Google Scholar] [CrossRef]
- Liu, F.; Zeng, Y.; Dai, P.; Huang, K.; Zhang, K.; Tao, T.; Wang, M.; Zhu, C.; Lin, C. Comparative Pharmacokinetics of Three Bioactive Diterpenoids of Rabdosia Serra Extract in Normal and Con A-Induced Liver Injury Rats Using. Front. Pharmacol. 2022, 13, 944949. [Google Scholar] [CrossRef]
- Wang, X.; Zhang, J.; Luo, L.; Song, X.; Wang, P.; Liu, D. Comparative Pharmacokinetics of 24 Major Bioactive Components in Normal and ARDS Rats after Oral Administration of Xuanfei Baidu Granules. J. Ethnopharmacol. 2022, 296, 115472. [Google Scholar] [CrossRef] [PubMed]









| Compounds | Calibration Curves | Liner Range (ng/mL) | r |
|---|---|---|---|
| Paeonol | y = 0.00460 x − 0.00816 | 0.74–380.00 | 0.9995 |
| Nobiletin | y = 0.10179 x + 1.66932 | 0.40–204.00 | 0.9969 |
| Peimisine | y = 0.09487 x + 0.64909 | 0.39–200.00 | 0.9974 |
| Peiminine | y = 0.09893 x + 0.85198 | 0.75–386.00 | 0.9971 |
| Peimine | y = 0.08954 x + 1.13652 | 0.39–201.00 | 0.9963 |
| Cynaroside | y = 0.01271 x + 0.12944 | 1.70–872.00 | 0.9970 |
| Hesperidin | y = 0.01078 x − 0.00926 | 0.75–386.00 | 0.9989 |
| Ginsenoside Rb1 | y = 0.00328 x + 0.02746 | 0.79–406.00 | 0.9955 |
| Ginsenoside Rb2 | y = 0.00286 x + 0.08165 | 0.76–388.00 | 0.9968 |
| Ginsenoside Rc | y = 0.00442 x + 0.15620 | 0.76–390.00 | 0.9970 |
| Icariin | y = 0.01509 x + 0.11806 | 0.42–217.00 | 0.9979 |
| Catalpol | y = 0.00271 x − 0.00685 | 0.42–216.00 | 0.9994 |
| Rutin | y = 0.01117 x + 0.04823 | 0.79–404.00 | 0.9974 |
| Apigenin-7-glucoside | y = 0.01300 x + 0.18093 | 0.37–188.00 | 0.9964 |
| Wedelolactone | y = 0.00743 x + 0.05249 | 0.77–392.00 | 0.9955 |
| Isoacteoside | y = 0.00152 x − 0.01238 | 0.42–216.00 | 0.9972 |
| Compounds | Concentration (ng/mL) | Intra-Day | Inter-Day | ||||
|---|---|---|---|---|---|---|---|
| Mean ± SD (ng/mL) | Accuracy (RE, %) | Precision (RSD, %) | Mean ± SD (ng/mL) | Accuracy (RE, %) | Precision (RSD, %) | ||
| Paeonol | 2.97 | 2.93 ± 0.06 | −1.35 | 2.05 | 2.93 ± 0.09 | −1.35 | 3.07 |
| 11.88 | 11.87 ± 0.13 | −0.08 | 1.10 | 12.03 ± 0.15 | 1.26 | 1.25 | |
| 95.00 | 95.75 ± 3.56 | 0.79 | 3.72 | 94.91 ± 4.04 | −0.09 | 4.26 | |
| Nobiletin | 1.59 | 1.56 ± 0.06 | −1.89 | 3.85 | 1.58 ± 0.06 | −0.63 | 3.80 |
| 6.38 | 6.4 ± 0.15 | 0.31 | 2.34 | 6.42 ± 0.25 | 0.63 | 3.89 | |
| 51.00 | 51.32 ± 2.2 | 0.63 | 4.29 | 49.59 ± 3.85 | −2.76 | 7.76 | |
| Peimisine | 1.56 | 1.54 ± 0.04 | −1.28 | 2.60 | 1.6 ± 0.05 | 2.56 | 3.13 |
| 6.25 | 6.31 ± 0.16 | 0.96 | 2.54 | 6.31 ± 0.05 | 0.96 | 0.79 | |
| 50.00 | 50.53 ± 2.05 | 1.06 | 4.06 | 50.31 ± 3.43 | 0.62 | 6.82 | |
| Peiminine | 3.02 | 3.02 ± 0.1 | 0.00 | 3.31 | 3.01 ± 0.09 | −0.33 | 2.99 |
| 12.06 | 12.19 ± 0.05 | 1.08 | 0.41 | 12.22 ± 0.32 | 1.33 | 2.62 | |
| 96.50 | 96.74 ± 2.68 | 0.25 | 2.77 | 94.45 ± 2.16 | −2.12 | 2.29 | |
| Peimine | 1.57 | 1.56 ± 0.02 | −0.64 | 1.28 | 1.56 ± 0.04 | −0.64 | 2.56 |
| 6.28 | 6.47 ± 0.09 | 3.03 | 1.39 | 6.37 ± 0.34 | 1.43 | 5.34 | |
| 50.25 | 51.89 ± 1.82 | 3.26 | 3.51 | 51.28 ± 3.6 | 2.05 | 7.02 | |
| Cynaroside | 6.81 | 6.92 ± 0.22 | 1.62 | 3.18 | 6.9 ± 0.2 | 1.32 | 2.90 |
| 27.25 | 27.62 ± 1.04 | 1.36 | 3.77 | 27.74 ± 1.21 | 1.80 | 4.36 | |
| 218.00 | 215.85 ± 4.75 | −0.99 | 2.20 | 216.04 ± 7.9 | −0.90 | 3.66 | |
| Hesperidin | 3.02 | 3.13 ± 0.14 | 3.64 | 4.47 | 3 ± 0.13 | −0.66 | 4.33 |
| 12.06 | 11.98 ± 0.12 | −0.66 | 1.00 | 12.23 ± 0.22 | 1.41 | 1.80 | |
| 96.50 | 96.04 ± 1.12 | −0.48 | 1.17 | 92.88 ± 0.93 | −3.75 | 1.00 | |
| Ginsenoside Rb1 | 3.17 | 3.13 ± 0.12 | −1.26 | 3.83 | 3.21 ± 0.06 | 1.26 | 1.87 |
| 12.69 | 12.53 ± 0.17 | −1.26 | 1.36 | 12.53 ± 0.75 | −1.26 | 5.99 | |
| 101.50 | 100.11 ± 1.74 | −1.37 | 1.74 | 101.54 ± 2.93 | 0.04 | 2.89 | |
| Ginsenoside Rb2 | 3.03 | 2.99 ± 0.08 | −1.32 | 2.68 | 2.97 ± 0.16 | −1.98 | 5.39 |
| 12.13 | 11.87 ± 0.13 | −2.14 | 1.10 | 12.26 ± 0.4 | 1.07 | 3.26 | |
| 97.00 | 97.46 ± 1.71 | 0.47 | 1.75 | 95.55 ± 2.16 | −1.49 | 2.26 | |
| Ginsenoside Rc | 3.05 | 3.08 ± 0.11 | 0.98 | 3.57 | 3.02 ± 0.08 | −0.98 | 2.65 |
| 12.19 | 12.04 ± 0.25 | −1.23 | 2.08 | 12.31 ± 0.21 | 0.98 | 1.71 | |
| 97.50 | 98.22 ± 1.49 | 0.74 | 1.52 | 96.84 ± 2.78 | −0.68 | 2.87 | |
| Icariin | 1.70 | 1.66 ± 0.11 | −2.35 | 6.63 | 1.67 ± 0.04 | −1.76 | 2.40 |
| 6.78 | 6.58 ± 0.15 | −2.95 | 2.28 | 6.89 ± 0.22 | 1.62 | 3.19 | |
| 54.25 | 51.94 ± 1.22 | −4.26 | 2.35 | 54.38 ± 1.43 | 0.24 | 2.63 | |
| Catalpol | 1.69 | 1.7 ± 0.13 | 0.59 | 7.65 | 1.69 ± 0.05 | 0.00 | 2.96 |
| 6.75 | 6.59 ± 0.24 | −2.37 | 3.64 | 6.85 ± 0.2 | 1.48 | 2.92 | |
| 54.00 | 54.51 ± 1.92 | 0.94 | 3.52 | 53.73 ± 2.28 | −0.50 | 4.24 | |
| Rutin | 3.16 | 3.14 ± 0.1 | −0.63 | 3.18 | 3.21 ± 0.09 | 1.58 | 2.80 |
| 12.63 | 12.6 ± 0.18 | −0.24 | 1.43 | 12.31 ± 0.51 | −2.53 | 4.14 | |
| 101.00 | 101.76 ± 1.68 | 0.75 | 1.65 | 100.42 ± 3.67 | −0.57 | 3.65 | |
| Apigenin-7-glucoside | 1.47 | 1.52 ± 0.05 | 3.40 | 3.29 | 1.51 ± 0.03 | 2.72 | 1.99 |
| 5.88 | 5.94 ± 0.2 | 1.02 | 3.37 | 5.95 ± 0.16 | 1.19 | 2.69 | |
| 47.00 | 46.38 ± 1.8 | −1.32 | 3.88 | 47.19 ± 1.49 | 0.40 | 3.16 | |
| Wedelolactone | 3.06 | 3.11 ± 0.08 | 1.63 | 2.57 | 2.99 ± 0.08 | −2.29 | 2.68 |
| 12.25 | 11.93 ± 0.17 | −2.61 | 1.42 | 12.5 ± 0.14 | 2.04 | 1.12 | |
| 98.00 | 98.01 ± 1.34 | 0.01 | 1.37 | 100.16 ± 4.37 | 2.20 | 4.36 | |
| Isoacteoside | 1.69 | 1.74 ± 0.03 | 2.96 | 1.72 | 1.65 ± 0.05 | −2.37 | 3.03 |
| 6.75 | 6.63 ± 0.27 | −1.78 | 4.07 | 6.65 ± 0.14 | −1.48 | 2.11 | |
| 54.00 | 54.03 ± 1.34 | 0.06 | 2.48 | 52.27 ± 1.76 | −3.20 | 3.37 | |
| Compounds | Concentration | Matrix Effect | Recovery | ||
|---|---|---|---|---|---|
| (ng/mL) | Mean ± SD (%) | RSD (%) | Mean ± SD (%) | RSD (%) | |
| Paeonol | 2.97 | 93.14 ± 5.09 | 5.46 | 85.27 ± 2.28 | 2.67 |
| 11.88 | 98.88 ± 6.79 | 6.87 | 84.55 ± 2.86 | 3.38 | |
| 95.00 | 98.22 ± 3.67 | 3.74 | 93.2 ± 1.81 | 1.94 | |
| Nobiletin | 1.59 | 96.56 ± 4.54 | 4.70 | 94.68 ± 2.38 | 2.51 |
| 6.38 | 106.64 ± 2.58 | 2.42 | 97.51 ± 2.61 | 2.68 | |
| 51.00 | 103.78 ± 1.31 | 1.26 | 86.65 ± 6.09 | 7.03 | |
| Peimisine | 1.56 | 93.63 ± 5.26 | 5.62 | 99.11 ± 2.45 | 2.47 |
| 6.25 | 84.94 ± 6.23 | 7.33 | 91.58 ± 2.69 | 2.94 | |
| 50.00 | 93.78 ± 2.18 | 2.32 | 85.18 ± 4.54 | 5.33 | |
| Peiminine | 3.02 | 100.22 ± 6.53 | 6.52 | 96.97 ± 0.74 | 0.76 |
| 12.06 | 100.18 ± 3.75 | 3.74 | 96.55 ± 6.56 | 6.79 | |
| 96.50 | 99.6 ± 0.12 | 0.12 | 85.17 ± 3.5 | 4.11 | |
| Peimine | 1.57 | 96.05 ± 5.72 | 5.96 | 87.64 ± 0.99 | 1.13 |
| 6.28 | 92.11 ± 8.13 | 8.83 | 97.01 ± 4.23 | 4.36 | |
| 50.25 | 97.2 ± 0.19 | 0.20 | 88.13 ± 2.61 | 2.96 | |
| Cynaroside | 6.81 | 103.89 ± 4.92 | 4.74 | 86.15 ± 4.19 | 4.86 |
| 27.25 | 91.33 ± 1.38 | 1.51 | 86.72 ± 5.97 | 6.88 | |
| 218.00 | 99.35 ± 3.3 | 3.32 | 87.85 ± 2.27 | 2.58 | |
| Hesperidin | 3.02 | 100.33 ± 1.89 | 1.88 | 95.3 ± 3.9 | 4.09 |
| 12.06 | 84.75 ± 5.16 | 6.09 | 97.75 ± 2.87 | 2.94 | |
| 96.50 | 96.09 ± 1.72 | 1.79 | 93.26 ± 2.88 | 3.09 | |
| Ginsenoside Rb1 | 3.17 | 92.03 ± 2.51 | 2.73 | 94.95 ± 3.85 | 4.05 |
| 12.69 | 92.27 ± 3.22 | 3.49 | 96.03 ± 5.26 | 5.48 | |
| 101.50 | 93.37 ± 5.07 | 5.43 | 86.15 ± 4.6 | 5.34 | |
| Ginsenoside Rb2 | 3.03 | 91.42 ± 6.33 | 6.92 | 88.04 ± 3.75 | 4.26 |
| 12.13 | 94.61 ± 2.06 | 2.18 | 99.47 ± 2.21 | 2.22 | |
| 97.00 | 88.82 ± 7.48 | 8.42 | 82.7 ± 1.51 | 1.83 | |
| Ginsenoside Rc | 3.05 | 91.44 ± 3.68 | 4.02 | 84.32 ± 3.29 | 3.90 |
| 12.19 | 92.83 ± 1.11 | 1.20 | 97.59 ± 3.83 | 3.92 | |
| 97.50 | 95.49 ± 1.05 | 1.10 | 95.32 ± 2.86 | 3.00 | |
| Icariin | 1.70 | 95.25 ± 2.17 | 2.28 | 92.05 ± 1.86 | 2.02 |
| 6.78 | 85.18 ± 1.77 | 2.08 | 94.23 ± 2.5 | 2.65 | |
| 54.25 | 97.27 ± 0.54 | 0.56 | 98.33 ± 4.26 | 4.33 | |
| Catalpol | 1.69 | 96.36 ± 4.96 | 5.15 | 100.08 ± 0.98 | 0.98 |
| 6.75 | 101.64 ± 2.94 | 2.89 | 101.27 ± 0.77 | 0.76 | |
| 54.00 | 88.34 ± 5.33 | 6.03 | 100.31 ± 2.13 | 2.12 | |
| Rutin | 3.16 | 99.04 ± 4.12 | 4.16 | 95.24 ± 1.98 | 2.08 |
| 12.63 | 87.09 ± 1.66 | 1.91 | 99.95 ± 1.8 | 1.80 | |
| 101.00 | 92.62 ± 2.17 | 2.34 | 96.37 ± 2.39 | 2.48 | |
| Apigenin-7-glucoside | 1.47 | 83.65 ± 3.02 | 3.61 | 82.96 ± 3.27 | 3.94 |
| 5.88 | 104.84 ± 3.38 | 3.22 | 94.31 ± 6.08 | 6.45 | |
| 47.00 | 92.68 ± 2.76 | 2.98 | 99.82 ± 1.93 | 1.93 | |
| Wedelolactone | 3.06 | 101.11 ± 3.14 | 3.11 | 97.09 ± 2.17 | 2.24 |
| 12.25 | 90.24 ± 6.81 | 7.55 | 84.91 ± 3.13 | 3.69 | |
| 98.00 | 88.54 ± 1.53 | 1.73 | 94.01 ± 4.11 | 4.37 | |
| Isoacteoside | 1.69 | 96.74 ± 1.66 | 1.72 | 85.51 ± 1.65 | 1.93 |
| 6.75 | 103.15 ± 3.67 | 3.56 | 95.94 ± 3.66 | 3.81 | |
| 54.00 | 91.85 ± 5.1 | 5.55 | 97.87 ± 4.56 | 4.66 | |
| Compounds | Concentration (ng/mL) | 4 °C for 12 h | −80 °C for 30 Days | Cycles −20 °C-RT | |||
|---|---|---|---|---|---|---|---|
| Mean ± SD | RSD | Mean ± SD | RSD | Mean ± SD | RSD | ||
| (ng/mL) | (%) | (ng/mL) | (%) | (ng/mL) | (%) | ||
| Paeonol | 2.97 | 2.99 ± 0.07 | 0.67 | 2.94 ± 0.08 | −1.01 | 2.88 ± 0.09 | −3.03 |
| 11.88 | 11.6 ± 0.16 | −2.36 | 11.64 ± 0.6 | −2.02 | 11.43 ± 0.53 | −3.79 | |
| 95.00 | 95.31 ± 1.69 | 0.33 | 95.58 ± 1.35 | 0.61 | 94.59 ± 0.45 | −0.43 | |
| Nobiletin | 1.59 | 1.56 ± 0.05 | −1.89 | 1.54 ± 0.02 | −3.14 | 1.6 ± 0.06 | 0.63 |
| 6.38 | 6.34 ± 0.08 | −0.63 | 6.26 ± 0.04 | −1.88 | 6.28 ± 0.1 | −1.57 | |
| 51.00 | 50.51 ± 1.82 | −0.96 | 49.68 ± 0.46 | −2.59 | 51.92 ± 0.32 | 1.80 | |
| Peimisine | 1.56 | 1.57 ± 0.1 | 0.64 | 1.55 ± 0.12 | −0.64 | 1.6 ± 0.1 | 2.56 |
| 6.25 | 6.24 ± 0.05 | −0.16 | 6.31 ± 0.07 | 0.96 | 6.22 ± 0.01 | −0.48 | |
| 50.00 | 49.8 ± 1.37 | −0.40 | 50.32 ± 1.57 | 0.64 | 50.66 ± 1.84 | 1.32 | |
| Peiminine | 3.02 | 3.06 ± 0.03 | 1.32 | 2.94 ± 0.02 | −2.65 | 3 ± 0.05 | −0.66 |
| 12.06 | 12.56 ± 0.23 | 4.15 | 11.61 ± 0.58 | −3.73 | 11.73 ± 0.69 | −2.74 | |
| 96.50 | 99.02 ± 0.8 | 2.61 | 98.96 ± 1.07 | 2.55 | 96.34 ± 2.48 | −0.17 | |
| Peimine | 1.57 | 1.62 ± 0.04 | 3.18 | 1.58 ± 0.03 | 0.64 | 1.55 ± 0.04 | −1.27 |
| 6.28 | 6.3 ± 0.08 | 0.32 | 6.3 ± 0.09 | 0.32 | 6.22 ± 0.01 | −0.96 | |
| 50.25 | 50.96 ± 0.85 | 1.41 | 50.47 ± 0.94 | 0.44 | 51.18 ± 0.38 | 1.85 | |
| Cynaroside | 6.81 | 6.78 ± 0.13 | −0.44 | 6.73 ± 0.1 | −1.17 | 6.69 ± 0.12 | −1.76 |
| 27.25 | 26.93 ± 0.7 | −1.17 | 27.72 ± 0.59 | 1.72 | 27.03 ± 0.97 | −0.81 | |
| 218.00 | 210.42 ± 0.41 | −3.48 | 220.91 ± 5.82 | 1.33 | 217.75 ± 4.43 | −0.11 | |
| Hesperidin | 3.02 | 2.99 ± 0.07 | −0.99 | 3.05 ± 0.03 | 0.99 | 3 ± 0.09 | −0.66 |
| 12.06 | 11.89 ± 0.37 | −1.41 | 12.41 ± 0.77 | 2.90 | 11.88 ± 0.42 | −1.49 | |
| 96.50 | 97.08 ± 1.53 | 0.60 | 95.96 ± 0.55 | −0.56 | 98.23 ± 1.45 | 1.79 | |
| Ginsenoside Rb1 | 3.17 | 3.3 ± 0.06 | 4.10 | 3.26 ± 0.08 | 2.84 | 3.26 ± 0.07 | 2.84 |
| 12.69 | 12.82 ± 1.04 | 1.02 | 12.68 ± 0.56 | −0.08 | 12.82 ± 0.25 | 1.02 | |
| 101.50 | 97.93 ± 3.39 | −3.52 | 99.37 ± 6.7 | −2.10 | 98.16 ± 4.34 | −3.29 | |
| Ginsenoside Rb2 | 3.03 | 3.01 ± 0.03 | −0.66 | 2.99 ± 0.08 | −1.32 | 3.01 ± 0.06 | −0.66 |
| 12.13 | 11.74 ± 0.53 | −3.22 | 12.4 ± 0.31 | 2.23 | 12.05 ± 0.11 | −0.66 | |
| 97.00 | 97.48 ± 1.87 | 0.49 | 97.81 ± 3.29 | 0.84 | 97.34 ± 2.3 | 0.35 | |
| Ginsenoside Rc | 3.05 | 3 ± 0.08 | −1.64 | 2.99 ± 0.09 | −1.97 | 2.99 ± 0.08 | −1.97 |
| 12.19 | 12.1 ± 0.42 | −0.74 | 11.67 ± 0.6 | −4.27 | 11.93 ± 0.1 | −2.13 | |
| 97.50 | 96.31 ± 1.54 | −1.22 | 95.94 ± 1.26 | −1.60 | 96.83 ± 2.34 | −0.69 | |
| Icariin | 1.70 | 1.67 ± 0.04 | −1.76 | 1.69 ± 0.09 | −0.59 | 1.73 ± 0.04 | 1.76 |
| 6.78 | 6.74 ± 0.13 | −0.59 | 6.76 ± 0.06 | −0.29 | 6.74 ± 0.1 | −0.59 | |
| 54.25 | 53.36 ± 0.39 | −1.64 | 53.65 ± 0.85 | −1.11 | 53.73 ± 0.6 | −0.96 | |
| Catalpol | 1.69 | 1.68 ± 0.08 | −0.59 | 1.73 ± 0.08 | 2.37 | 1.64 ± 0.03 | −2.96 |
| 6.75 | 6.76 ± 0.06 | 0.15 | 6.68 ± 0.12 | −1.04 | 6.82 ± 0.09 | 1.04 | |
| 54.00 | 53.79 ± 0.54 | −0.39 | 53.82 ± 0.29 | −0.33 | 53.63 ± 1.11 | −0.69 | |
| Rutin | 3.16 | 3.2 ± 0.08 | 1.27 | 3.22 ± 0.08 | 1.90 | 3.06 ± 0.03 | −3.16 |
| 12.63 | 12.89 ± 0.5 | 2.06 | 12.46 ± 0.12 | −1.35 | 12.74 ± 0.18 | 0.87 | |
| 101.00 | 99.03 ± 2.76 | −1.95 | 101.08 ± 5.18 | 0.08 | 98.97 ± 5.4 | −2.01 | |
| Apigenin-7-glucoside | 1.47 | 1.52 ± 0.04 | 3.40 | 1.52 ± 0.07 | 3.40 | 1.52 ± 0.08 | 3.40 |
| 5.88 | 5.85 ± 0.11 | −0.51 | 5.85 ± 0.16 | −0.51 | 5.8 ± 0.06 | −1.36 | |
| 47.00 | 46.72 ± 0.41 | −0.60 | 47.37 ± 0.56 | 0.79 | 46.9 ± 0.55 | −0.21 | |
| Wedelolactone | 3.06 | 3.06 ± 0.13 | 0.00 | 3.04 ± 0.03 | −0.65 | 3.05 ± 0.13 | −0.33 |
| 12.25 | 11.68 ± 0.45 | −4.65 | 12.18 ± 0.69 | −0.57 | 11.97 ± 0.69 | −2.29 | |
| 98.00 | 98.18 ± 0.77 | 0.18 | 97.17 ± 0.77 | −0.85 | 97.33 ± 2.51 | −0.68 | |
| Isoacteoside | 1.69 | 1.72 ± 0.05 | 1.78 | 1.71 ± 0.02 | 1.18 | 1.69 ± 0.06 | 0.00 |
| 6.75 | 6.78 ± 0.01 | 0.44 | 6.76 ± 0.02 | 0.15 | 6.76 ± 0.05 | 0.15 | |
| 54.00 | 54.38 ± 0.62 | 0.70 | 53.27 ± 0.37 | −1.35 | 53.32 ± 1.2 | −1.26 | |
| Compounds | RT (min) | m/z | Ionization Mode |
|---|---|---|---|
| Paeonol | 5.49 | 167.0702 | [M + H]+ |
| Nobiletin | 7.81 | 403.1387 | [M + H]+ |
| Peimisine | 2.99 | 428.3159 | [M + H]+ |
| Peiminine | 2.64 | 430.3315 | [M + H]+ |
| Peimine | 2.58 | 432.3472 | [M + H]+ |
| Cynaroside | 3.13 | 449.1078 | [M + H]+ |
| Hesperidin | 3.41 | 609.1824 | [M - H]- |
| Ginsenoside Rb1 | 8.49 | 1109.6103 | [M + H]+ |
| Ginsenoside Rb2 | 8.76 | 1079.5996 | [M + H]+ |
| Ginsenoside Rc | 8.54 | 1079.5996 | [M + H]+ |
| Icariin | 6.17 | 677.2439 | [M + H]+ |
| Catalpol | 7.16 | 363.1285 | [M + H]+ |
| Rutin | 3.40 | 609.1461 | [M - H]- |
| Apigenin-7-glucoside | 3.82 | 431.0983 | [M - H]- |
| Wedelolactone | 5.47 | 313.0353 | [M - H]- |
| Isoacteoside | 3.23 | 623.1981 | [M - H]- |
| Carbamazepine (IS) | 5.33 | 237.1022 | [M + H]+ |
Disclaimer/Publisher’s Note: The statements, opinions and data contained in all publications are solely those of the individual author(s) and contributor(s) and not of MDPI and/or the editor(s). MDPI and/or the editor(s) disclaim responsibility for any injury to people or property resulting from any ideas, methods, instructions or products referred to in the content. |
© 2023 by the authors. Licensee MDPI, Basel, Switzerland. This article is an open access article distributed under the terms and conditions of the Creative Commons Attribution (CC BY) license (https://creativecommons.org/licenses/by/4.0/).
Share and Cite
Zhang, W.; Wan, Y.; Sun, S.; Xie, Y.; Zhao, D.; Li, B.; Li, J.; Tian, Y.; Feng, S. A Pharmacokinetic Study of Sixteen Major Bioactive Components of Jinshui-Huanxian Granules in Pulmonary Fibrosis Model and Control Rats Using Orbitrap Fusion Mass Spectrometry. Molecules 2023, 28, 6492. https://doi.org/10.3390/molecules28186492
Zhang W, Wan Y, Sun S, Xie Y, Zhao D, Li B, Li J, Tian Y, Feng S. A Pharmacokinetic Study of Sixteen Major Bioactive Components of Jinshui-Huanxian Granules in Pulmonary Fibrosis Model and Control Rats Using Orbitrap Fusion Mass Spectrometry. Molecules. 2023; 28(18):6492. https://doi.org/10.3390/molecules28186492
Chicago/Turabian StyleZhang, Weiwei, Yan Wan, Shuding Sun, Yang Xie, Di Zhao, Bing Li, Jiansheng Li, Yange Tian, and Suxiang Feng. 2023. "A Pharmacokinetic Study of Sixteen Major Bioactive Components of Jinshui-Huanxian Granules in Pulmonary Fibrosis Model and Control Rats Using Orbitrap Fusion Mass Spectrometry" Molecules 28, no. 18: 6492. https://doi.org/10.3390/molecules28186492
APA StyleZhang, W., Wan, Y., Sun, S., Xie, Y., Zhao, D., Li, B., Li, J., Tian, Y., & Feng, S. (2023). A Pharmacokinetic Study of Sixteen Major Bioactive Components of Jinshui-Huanxian Granules in Pulmonary Fibrosis Model and Control Rats Using Orbitrap Fusion Mass Spectrometry. Molecules, 28(18), 6492. https://doi.org/10.3390/molecules28186492
