Abstract
Tyrosinase plays crucial roles in mediating the production of melanin pigment; thus, its inhibitors could be useful in preventing melanin-related diseases. To find potential tyrosinase inhibitors, a series of cinnamic acid–eugenol esters (c1~c29) was synthesized and their chemical structures were confirmed by 1H NMR, 13C NMR, HRMS, and FT-IR, respectively. The biological evaluation results showed that all compounds c1~c29 exhibited definite tyrosinase inhibitory activity; especially, compound c27 was the strongest tyrosinase inhibitor (IC50: 3.07 ± 0.26 μM), being ~4.6-fold stronger than the positive control, kojic acid (IC50: 14.15 ± 0.46 μM). Inhibition kinetic studies validated compound c27 as a reversible mixed-type inhibitor against tyrosinase. Three-dimensional fluorescence and circular dichroism (CD) spectra results indicated that compound c27 could change the conformation and secondary structure of tyrosinase. Fluorescence-quenching results showed that compound c27 quenched tyrosinase fluorescence in the static manner with one binding site. Molecular docking results also revealed the binding interactions between compound c27 and tyrosinase. Therefore, cinnamic acid–eugenol esters, especially c27, could be used as lead compounds to find potential tyrosinase inhibitors.
1. Introduction
Tyrosinase (EC 1.14.18.1), which is one kind of copper-containing metalloenzyme, widely exists in nature animals and plants [1,2,3]. Tyrosinase plays crucial roles in mediating the production of melanin pigment via two steps [4,5,6,7,8]. In the melanin process, tyrosinase monophenolase firstly catalyzes the hydroxylation of L-tyrosine to yield L-DOPA, which is further oxidized into o-dopaquinone by tyrosinase diphenolase (Figure 1) [9,10,11,12]. The produced melanin is distributed in the keratinocytes of human skin and hair; it is very important for human health [13,14,15,16,17], due to the effects of melanin in protecting human skin and eyes from damage against UV light [18,19]. However, overproduction of melanin results in epidermal pigmentation, thereby causing skin hyperpigmentation disorders, including melasma, age spots, and freckles [20,21,22]. Inhibiting tyrosinase activity can reduce the formation of melanin; thereby, tyrosinase inhibitors can be utilized to prevent melanin-related diseases [23,24]. In addition, tyrosine inhibitors also can be utilized as effective food preservatives to delay food browning [25,26,27].
Figure 1.
Reaction process involving tyrosinase as a catalytic protein.
Up to now, numerous natural and synthetic tyrosinase inhibitors have been reported [28,29,30,31,32], but only a few are used to prevent melanin production, such as kojic acid and hydroquinone (Figure 2), in spite of their instability and undesirable side effects. The abovementioned problems have prompted researchers to finding potential tyrosinase inhibitors to improve human health.
It is widely known that natural products are an important source for new drug development, and many clinical drugs are derived from natural products. Nowadays, many natural compounds have been verified to have tyrosinase inhibitory activity [33,34,35,36]. For example, cinnamic acid (Figure 2) is one important active ingredient of Cinnamomum cassia Presl and its derivatives promise potential tyrosinase activity [37], as well as other pharmacological activities, including antiviral [38], anti-inflammatory [39], antitumor [40], antibacterial [41], and antileishmanial activities [42] (Figure 2). Although cinnamic acid has been used in the food and medicine industries, its moderate tyrosinase inhibitory activity limits its wider application, so it is necessary to optimize cinnamic acid’s structure to enhance its tyrosinase inhibitory activity. Now, many cinnamic acid derivatives, especially cinnamic acid esters, are being designed as potential tyrosinase inhibitors [43,44,45] (Figure 2). Analyzing the above structure, it can be seen that esterification modification of cinnamic acid would be a feasible strategy to obtain better tyrosinase inhibitors, and esterification modification of the phenolic hydroxyl group would be better than a structure with an alkane chain as the bridge.
Eugenol (Figure 2), one primary bioactive component of Eugenia caryophμllataThunb, has shown certain tyrosinase inhibitory and antioxidant activities [46]. Cinnamic acid–eugenol esters with an alkane chain bridge have been synthesized as tyrosinase inhibitors [47] (Figure 2). Thus, we inferred that esterification modification of cinnamic acid with the phenolic hydroxyl group of eugenol would obtain more active tyrosinase inhibitors. From preliminary docking studies, a skeleton compound was bound into the active pocket with the benzene ring of cinnamic acid, close to the copper ions, and formed hydrophobic interactions with Met257, Val248, Val283, and Ala286 (Figure 2), with the aim of enhancing the binding of compound with tyrosinase. These results evidenced our idea of introducing eugenol into the parental cinnamic acid.
In addition, hybrids of pharmacophoric moieties have been an important part of the strategy to design new compound molecules with increased affinity and efficacy [24,48]. Therefore, as part of our ongoing efforts to find more potential tyrosinase inhibitors, the hybrids of the natural products cinnamic acid and eugenol were synthesized, followed by anti-tyrosinase activity screening, spectroscopic mechanism investigation, and a docking study.
Figure 2.
The structures of cinnamic acid, eugenol, and their derivatives, and preliminary docking [37,38,39,40,41,42,43,44,45,47].
Figure 2.
The structures of cinnamic acid, eugenol, and their derivatives, and preliminary docking [37,38,39,40,41,42,43,44,45,47].

2. Results and Discussion
2.1. Chemistry
Cinnamic acid–eugenol esters c1~c29 were conveniently synthesized using substituted cinnamic acids (a) and eugenol (b) as materials under EDCI/DMAP-mediated coupling, and the synthetic route is listed in Scheme 1. The structures of all compounds (c1~c29) were identified by FT-IR, 1H NMR, 13C NMR, and HRMS.
Scheme 1.
Synthesis of cinnamic acid–eugenol esters c1~c29. Reagents and conditions: (i) substituted cinnamic acids, eugenol, EDCI, DMAP, DCM, 0 °C~rt.
2.2. Tyrosinase Inhibitory Activity
The tyrosinase inhibitory activities of cinnamic acid–eugenol esters c1~c29 were screened using L-DOPA as a substrate. We firstly screened their tyrosinase inhibition rates at a compound concentration of 64 μM. As presented in Table 1, most synthesized cinnamic acid–eugenol esters showed potential tyrosinase inhibitory activity. Among them, compounds c14, c15, and c27 showed stronger inhibitory activities, with inhibition rates of 67.61%, 76.14%, 81.46%, while other compounds presented lower inhibition rates. Then, the 50% inhibitory concentration (IC50) values of compounds c14, c15, and c27 were also investigated. As shown in Table 1, compound c27 showed the strongest inhibitory activity, with an IC50 value of 3.07 ± 0.28 μM, which was stronger than that of cinnamic acid (IC50 = 201.4 ± 5.3 μM), eugenol (IC50 = 5521 ± 25 μM), and the positive control, kojic acid (IC50 = 14.15 ± 0.46 μM). The inhibitory activity results showed that the hybrids of cinnamic acid and eugenol, especially compound c27, showed stronger activities than the parent compound of cinnamic acid and eugenol, suggesting that the hybrid of cinnamic acid and eugenol might be an effective strategy to find potential tyrosinase inhibitors.
Table 1.
Tyrosinase inhibitory activities of cinnamic acid esters c1~c29.
Moreover, it also was observed that the introduction of substituents group in the benzene ring of cinnamic acid resulted in a change of tyrosinase inhibitory activity. Especially, the introduction of the phenolic hydroxyl group (c14, c15, c26, and c27) obviously increased tyrosinase inhibitory activity. In particular, compound c27 with the 3,4-diphenol hydroxy group was the most active compound (IC50: 3.07 ± 0.28 μM), being ~4.6-fold stronger than kojic acid (IC50: 14.15 ± 0.46 μM). These results showed that the introduction of the phenolic hydroxyl group might be essential for tyrosinase inhibitory activity, which is consistent with previous research results [36,37,38]. However, the introduction of non-hydroxy substituents, including methyl, chlorine, fluorine, bromine, nitro, methoxy, and trifluoromethyl, had no obvious effect in improving this activity.
2.3. Kinetic Study
Inhibition kinetic studies were assayed to analyze the potential inhibition mechanism of compound c27 toward tyrosinase. Figure 3A displays the relationship between the tyrosinase concentration with residual enzyme activity under compound c27 (0~4 μM), which shows straight lines passing through the origin with different slopes. Therefore, compound c27 was identified as a reversible inhibitor [49,50]. Figure 3B shows the Lineweaver–Burk plots of substrate concentration and residual enzyme activity under compound c27 (0~4 μM). It could be observed that all lines with different slopes intersected in the second quadrant, suggesting compound c27 is a mixed-type inhibitor [51,52].
Figure 3.
(A) The plots of ν versus [E] under compound c27; (B) Lineweaver–Burk plots of ν versus [S] under compound c27.
2.4. Three-Dimensional Fluorescence Spectra
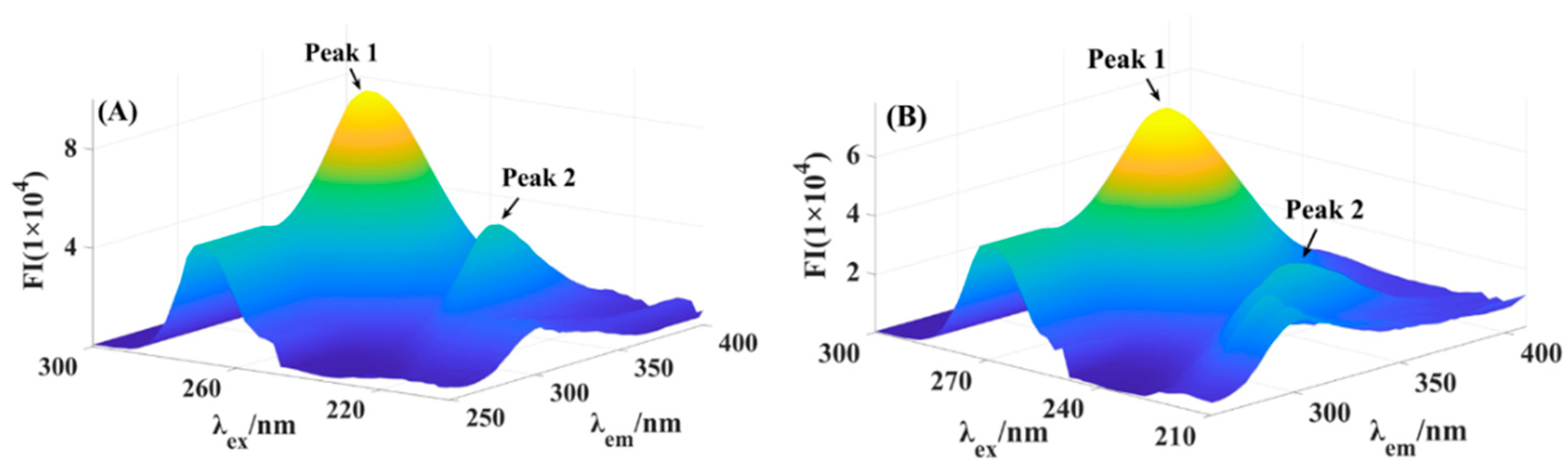
To better understand the inhibition mechanisms, the conformational change of tyrosinase by compound c27 was monitored using a 3D fluorescence spectrum. As shown in Figure 4A, two characteristic peaks appeared, peak 1 (λex/λem = 280 nm/340 nm) and peak 2 (λex/λem = 230 nm/335 nm), corresponding to Tyr and Trp residues, and a polypeptide strand transition, respectively. Figure 4B shows the 3D fluorescence spectrum of the tyrosinase–compound c27 mixture. It could be observed that treatment of compound c27 reduced the intensity of peak 1 and peak 2 by 21.47% and 32.71%, respectively. These results suggest that compound c27 could change the conformation of tyrosinase to inhibit its activity.
Figure 4.
(A) Three-dimensional fluorescence spectra of tyrosinase. (B) Three-dimensional fluorescence spectra of tyrosinase with compound c27.
2.5. Circular Dichroism Spectra
The CD spectra were also used to analyze the effects of compound c27 on the secondary structure of tyrosinase. Figure 5 presents the CD spectra of tyrosinase–compound c27 mixtures, which showed characteristic negative bands at 205~230 nm owing to the electronic transition of the α-helix peptide. Treatment of compound c27 resulted in the reduction of band intensity, indicating the conformation change of tyrosinase by compound c27. The secondary structure contents of tyrosinase are listed in Table 2, which evidences that treatment of compound c27 (molar ratios: 3:1) caused the increase of the α-helix (from 7.10% to 9.85%), β-sheet (from 48.90% to 49.27%), and β-turn (from 17.21% to 18.55%), but the decrease of the random coil (from 28.40% to 27.94%).
Figure 5.
Circular dichroism spectra of the tyrosinase and compound c27 system.
Table 2.
The secondary structures contents of tyrosinase.
2.6. Fluorescence Quenching
Fluorescence quenching was performed to analyze the interactions between compound c27 and tyrosinase. As shown in Figure 6A–C, the fluorescence spectra of tyrosinase at 304, 307, and 310 K reduced continuously with the titration addition of compound c27 (0~4.5 μM), but the peak position did not shift. This phenomenon shows that the interaction of compound c27 with tyrosinase could quench tyrosinase intrinsic fluorescence. The Stern–Volmer plots (Figure 6D) at 304, 307, and 310 K obtained from fluorescence quenching data showed good linearity, demonstrating a onefold quenching type.
Figure 6.
Fluorescence quenching of tyrosinase by compound c27. (A) 304 K; (B) 307 K; (C) 310 K; (D) Stern–Volmer plots.
To clarify the quenching mechanism, the relevant quenching constants were determined (Table 3). The Stern–Volmer quenching constant (KSV) values presented declined with the increasing temperature, and the quenching rate constant (Kq) values all reached the order of magnitude of 1012, suggesting a static quenching process. Furthermore, the binding constant (Ka) values (order of magnitude of 104) suggested a moderate binding between compound c27 and tyrosinase and the number of binding sites (n) was revealed as only one.
Table 3.
Quenching constants of tyrosinase with compound c27.
2.7. Molecular Docking
Molecular docking was introduced to analyze the binding interaction between compound c27 and tyrosinase, using SYBYL software. To validate the docking protocol and better understand the binding interaction of compound c27, analyses of the dockings of the tyrosinase (2Y9X) ligand tropolone, control kojic acid, and substrate L-DOPA with tyrosinase were also conducted, and the results are presented in Figure 6. As shown in Figure 7A,B, compound c27, tropolone, kojic acid, and L-DOPA were all anchored at about the same position of the active site; especially, the hydroxyl group of each compound was close to two copper ions (2.0~3.7 Å). Tropolone formed one hydrogen bond with His259 (2.9 Å) (Figure 7C), while kojic acid formed one hydrogen bond with His280 (1.9 Å) and hydrophobic interactions with His263, Val283, and Ala286 (Figure 7D). Analysis of compound c27 (Figure 7E) showed its one phenolic hydroxyl group formed a hydrogen bond with His259 (2.6 Å), methoxy and ester groups both formed one hydrogen bond with Val283 (2.3 Å and 2.3 Å), and compound c27 had a hydrophobic interaction with Leu275, Pro277, and Pro284, respectively. In the docking of L-DOPA (Figure 7F), there were two hydrogen bonds with His61 (2.3 Å) and Asn260 (2.1 Å), and hydrophobic interaction with His263, Val283, and Ala286. For compound c27 and L-DOPA, the catechol rings of cinnamic acid fraction and L-DOPA were both inserted inside the cavity and located at about the same distance from two copper ions (2.0, 2.1, 3.0, 3.6 Å vs. 2.0, 2.9, 3.6, 3.7 Å). In contrast to the cinnamic acid fraction, the eugenol fraction of compound c27 was out of the cavity. Analysis of the above interactions helps to clarify the interactions between compound c27 and tyrosinase.
Figure 7.
(A,B) The binding conformation of compound c27, tropolone, kojic acid, and L-DOPA in active pocket. (C) Detailed binding of tropolone with tyrosinase. (D) Detailed binding of kojic acid with tyrosinase. (E) Detailed binding of compound c27 with tyrosinase. (F) Detailed binding of L-DOPA with tyrosinase.
2.8. Drug-like Properties
The drug-like properties of compound c27 were analyzed using SwissADME online software (https://www.swissadme.ch/index.php, accessed on 1 July 2023). As shown in Table 4, compound c27 had favorable drug-like properties with good MW, RB, HBA, HBD, and TPSA values, except poor water solubility.
Table 4.
Drug-like properties of compound c27.
3. Materials and Methods
3.1. Materials
Tyrosinase mushroom and L-DOPA were supplied by Sigma-Aldrich (St. Louis, MI, USA). All other reagents were commercially available. 1H NMR and 13C NMR spectra were recorded on a Bruker 500 MHz NMR spectrometer instrument (Billerica, MA, USA). High-resolution mass spectral analysis (HRMS) data were measured on the Apex II by means of the ESI technique.
3.2. Methods
3.2.1. Synthesis of Cinnamic Acid–Eugenol Ester Derivatives (c1~c29)
Substituted cinnamic acid (1.4 mmol), eugenol (1 mmol), EDCI (2 mmol), and DMAP (1.2 mmol) were added into anhydrous DCM (10 mL) under an ice bath and stirred for 30 min. Then, the mixture was stirred at room temperature until the reaction completed. Afterwards, it was quenched with water (30 mL) and the mixture was extracted with DCM (15 mL × 3). The merged organic layers were washed with saturated sodium chloride (30 mL × 3), followed by drying with anhydrous sodium sulfate, evaporating solvent, and separating by silica gel column to produce the targeted cinnamic acid–eugenol ester derivatives (c1~c29).
4-allyl-2-methoxyphenyl cinnamate (c1). White soild; yield 68% (the crude was purified using a mixture of PE/EtOAc 100:1); mp: 254.2–255.9 °C; 1H NMR (500 MHz, CDCl3) δ 7.88 (d, J = 16.0 Hz, 1H, Ar-H), 7.60 (d, J = 3.9 Hz, 1H, Ar-H), 7.59 (d, J = 2.6 Hz, 1H, CH), 7.43 (s, 1H, Ar-H), 7.42 (s, 2H, Ar-H), 7.04 (d, J = 8.0 Hz, 1H, Ar-H), 6.83 (s, J = 1.9 Hz, 1H, Ar-H), 6.81 (d, J = 8.0 Hz, 1H, Ar-H), 6.69 (d, J = 16.0 Hz, 1H, CH), 5.99 (td, J = 16.9, 6.7 Hz, 1H, CH), 5.17–5.08 (m, 2H, CH2), 3.84 (s, 3H, OCH3), 3.41 (d, J = 6.8 Hz, 2H, CH2); 13C NMR (126 MHz, CDCl3) δ 165.3 (C=O), 151.1 (Ar-C), 146.6 (CH), 139.1 (Ar-C), 138.1 (CH), 137.2 (Ar-C), 134.4 (Ar-C), 130.7 (Ar-2C), 129.1 (Ar-2C), 128.4 (Ar-C), 122.8 (Ar-C), 120.8 (Ar-C), 117.2 (CH), 116.3 (CH), 112.8 (Ar-C), 56.0 (OCH3), 40.3 (CH2); HRMS (ESI-MS) m/z: [M + H]+ calcd for C19H18O3+: 295.1337; found: 295.1326; IR (cm−1): 2937 (OCH3), 1704 (C=O), 1165 (Ar-C=C).
4-allyl-2-methoxyphenyl (E)-3-(o-tolyl)acrylate (c2). White soild; yield 55% (the crude was purified using a mixture of PE/EtOAc 100:1); mp: 265.1–266.3 °C; 1H NMR (500 MHz, CDCl3) δ 8.16 (d, J = 15.9 Hz, 1H, Ar-H), 7.65 (d, J = 7.6 Hz, 1H, Ar-H), 7.31 (t, J = 7.4 Hz, 1H, CH), 7.25 (s, 1H, Ar-H), 7.23 (d, J = 7.2 Hz, 1H, Ar-H), 7.04 (d, J = 7.9 Hz, 1H, Ar-H), 6.83 (s, 1H, Ar-H), 6.81 (d, J = 8.7 Hz, 1H, Ar-H), 6.61 (d, J = 15.9 Hz, 1H, CH), 5.99 (td, J = 16.8, 6.7 Hz, 1H, CH), 5.16–5.09 (m, 2H, CH2), 3.84 (s, 3H, OCH3), 3.41 (d, J = 6.7 Hz, 2H, CH2), 2.48 (s, 3H, CH3); 13C NMR (126 MHz, CDCl3) δ 165.3 (C=O), 151.1 (Ar-C), 144.2 (CH), 139.1 (Ar-C), 138.1 (CH), 138.0 (Ar-C), 137.2 (Ar-C), 133.3 (Ar-C), 131.0 (Ar-C), 130. 5 (Ar-C), 126.7 (Ar-C), 126.5 (Ar-C), 122.8 (Ar-C), 120.8 (Ar-C), 118.1 (CH), 116.3 (CH), 112.9 (Ar-C), 56.00 (OCH3), 40.2 (CH2), 20.0 (CH3); HRMS (ESI-MS) m/z: [M + H]+ calcd for C20H20O3+: 309.1487; found: 309.1483; IR (cm−1): 2937 (OCH3), 2967 (CH3), 1704 (C=O), 1165 (Ar-C=C).
4-allyl-2-methoxyphenyl (E)-3-(m-tolyl)acrylate (c3). Yellow soild; yield 67% (the crude was purified using a mixture of PE/EtOAc 100:1); mp: 326.6–327.8 °C; 1H NMR (500 MHz, CDCl3) δ 7.88 (d, J = 16.0 Hz, 1H, Ar-H), 7.44 (s, 1H, Ar-H), 7.42 (s, CH), 7.34 (t, J = 7.8 Hz, 1H, Ar-H), 7.28 (d, J = 9.9 Hz, 1H, Ar-H), 7.07 (d, J = 8.0 Hz, 1H, Ar-H), 6.86 (s, J = 1.9 Hz, 1H, Ar-H), 6.84 (d, J = 8.0 Hz, 1H, Ar-H), 6.70 (d, J = 16.0 Hz, 1H, CH), 6.02 (td, J = 16.8, 6.7 Hz, 1H, CH), 5.22–5.11 (m, 2H, CH2), 3.87 (s, 3H, OCH3), 3.44 (d, J = 6.7 Hz, 2H, CH2), 2.43 (s, 3H, CH3); 13C NMR (126 MHz, CDCl3) δ 165.4 (C=O), 151.1 (Ar-C), 146.8 (CH), 139.0 (Ar-C), 138.8 (CH), 138.1 (Ar-C), 137.2 (Ar-C), 134.4 (Ar-C), 131.6 (Ar-C), 129.1 (Ar-C), 129.0 (Ar-C), 125.6 (Ar-C), 122.8 (Ar-C), 120.8 (Ar-C), 117.0 (CH), 116.3 (CH), 112.9 (Ar-C), 56.0 (OCH3), 40.3 (CH2), 21.5 (CH3); HRMS (ESI-MS) m/z: [M + H]+ calcd for C20H20O3+: 309.1487; found: 309.1484; IR (cm−1): 2937 (OCH3), 2961 (CH3), 1704 (C=O), 1165 (Ar-C=C).
4-allyl-2-methoxyphenyl (E)-3-(p-tolyl)acrylate (c4). Yellow soild; yield 57% (the crude was purified using a mixture of PE/EtOAc 100:1); mp: 266.8–267.7 °C; 1H NMR (500 MHz, CDCl3) δ 7.85 (d, J = 16.0 Hz, 1H, Ar-H), 7.49 (s, 1H, Ar-H), 7.48 (s, 1H, CH), 7.23 (s, 1H, Ar-H), 7.21 (s, 1H, Ar-H), 7.02 (d, J = 7.9 Hz, Ar-H), 6.82 (s, J = 1.9 Hz, 1H, Ar-H), 6.80 (dd, J = 8.1, 1.9 Hz, 1H, Ar-H), 6.63 (d, J = 16.0 Hz, 1H, CH), 5.98 (ddt, J = 16.8, 10.0, 6.7 Hz, 1H, CH), 5.15–5.08 (m, 2H, CH2), 3.83 (s, 3H, OCH3), 3.40 (d, J = 6.7 Hz, 2H, CH2), 2.39 (s, 3H, CH3); 13C NMR (126 MHz, CDCl3) δ 165.5 (C=O), 151.2 (Ar-C), 146.6 (Ar-C), 141.2 (Ar-C), 139.0 (CH), 138.1 (Ar-C), 137.2 (Ar-C), 131.7 (Ar-C), 129.8 (Ar-C), 128.4 (Ar-C), 122.8 (Ar-C), 120.8 (Ar-C), 116.3 (CH), 116.1 (CH), 112.9 (Ar-C), 56.0 (OCH3), 40.3 (CH2), 21.7 (CH3); HRMS (ESI-MS) m/z: [M + H]+ calcd for C20H20O3+: 309.1487; found: 309.1483; IR (cm−1): 2937 (OCH3), 2968 (CH3), 1704 (C=O), 1165 (Ar-C=C).
4-allyl-2-methoxyphenyl (E)-3-(2-chlorophenyl)acrylate (c5). White soild; yield 65% (the crude was purified using a mixture of PE/EtOAc 60:1); mp: 247.4–247.7 °C; 1H NMR (500 MHz, CDCl3) δ 8.29 (d, J = 16.0 Hz, 1H, Ar-H), 7.71 (dd, J = 7.4, 2.1 Hz, 1H, Ar-H), 7.44 (d, J = 7.6 Hz, 1H, CH), 7.34 (d, J = 7.5 Hz, 1H, Ar-H), 7.31 (d, J = 7.4 Hz, 1H, Ar-H), 7.04 (d, J = 7.9 Hz, 1H, Ar-H), 6.83 (s, J = 1.9 Hz, 1H, Ar-H), 6.81 (d, J = 8.0 Hz, 1H, Ar-H), 6.67 (d, J = 16.0 Hz, 1H, CH), 5.98 (ddt, J = 16.8, 10.0, 6.7 Hz, 1H, CH), 5.16–5.09 (m, 2H, CH2), 3.84 (s, 3H, OCH3), 3.41 (d, J = 6.7 Hz, 2H, CH2); 13C NMR (126 MHz, CDCl3) δ 164.8 (C=O), 151.1 (Ar-C), 142.2 (CH), 139.2 (Ar-C), 138.0 (CH), 137.2 (Ar-C), 135.3 (Ar-C), 132.6 (Ar-C), 131.45 (Ar-C), 130.4 (Ar-C), 128.0 (Ar-C), 127.3 (Ar-C), 122.7 (Ar-C), 120.9 (Ar-C), 119.8 (CH), 116.3 (CH), 112.9 (Ar-C), 56.0 (OCH3), 40.2 (CH2); HRMS (ESI-MS) m/z: [M + H]+ calcd for C19H17ClO3+: 329.0947; found: 329.0937; IR (cm−1): 2937 (OCH3), 1704 (C=O), 1165 (Ar-C=C), 726 (Cl).
4-allyl-2-methoxyphenyl (E)-3-(3-chlorophenyl)acrylate (c6). Yellow soild; yield 73% (the crude was purified using a mixture of PE/EtOAc 60:1); mp: 278.3–278.9 °C; 1H NMR (500 MHz, CDCl3) δ 7.80 (d, J = 16.0 Hz, 1H, Ar-H), 7.57 (s, 1H, Ar-H), 7.45 (d, J = 7.4 Hz, 1H, CH), 7.39 (d, J = 8.2 Hz, 1H, Ar-H), 7.36 (d, J = 7.5 Hz, 1H, Ar-H), 7.03 (d, J = 7.9 Hz, 1H, Ar-H), 6.82 (s, 1H, Ar-H), 6.81 (d, J = 8.0 Hz, 1H, Ar-H), 6.67 (d, J = 16.1 Hz, 1H, CH), 5.98 (td, J = 16.8, 6.7 Hz, 1H, CH), 5.15–5.09 (m, 2H, CH2), 3.83 (s, 3H, OCH3), 3.40 (d, J = 6.7 Hz, 2H, CH2); 13C NMR (126 MHz, CDCl3) δ 164.9 (C=O), 151.0 (Ar-C), 144.9 (Ar-C), 139.2 (CH), 138.0 (Ar-C), 137.2 (Ar-C), 136.2 (CH), 135.0 (Ar-C), 130.5 (Ar-C), 130.3 (Ar-C), 128.2 (Ar-C), 126.5 (Ar-C), 122.7 (Ar-C), 120.9 (Ar-C), 118.7 (CH), 116.3 (CH), 112.9 (Ar-C), 56.0 (OCH3), 40.2 (CH2); HRMS (ESI-MS) m/z: [M + H]+ calcd for C19H17ClO3+: 329.0947; found: 329.0937; IR (cm−1): 2937 (OCH3), 1704 (C=O), 1165 (Ar-C=C), 741 (Cl).
4-allyl-2-methoxyphenyl (E)-3-(4-chlorophenyl)acrylate (c7). White soild; yield 62% (the crude was purified using a mixture of PE/EtOAc 100:1); mp: 282.3–283.3 °C; 1H NMR (500 MHz, CDCl3) δ 7.82 (d, J = 16.0 Hz, 1H, Ar-H), 7.52 (s, 1H, Ar-H), 7.50 (d, 1H, CH), 7.40 (s, 1H, Ar-H), 7.38 (s, 1H, Ar-H), 7.02 (d, J = 8.0 Hz, 1H, Ar-H), 6.82 (s, 1H, Ar-H), 6.80 (d, J = 8.0 Hz, 1H, Ar-H), 6.64 (d, J = 15.9 Hz, 1H, CH), 5.98 (td, J = 16.9, 6.7 Hz, 1H, CH), 5.17–5.09 (m, 2H, CH2), 3.83 (s, 3H, OCH3), 3.40 (d, J = 6.7 Hz, 2H, CH2); 13C NMR (126 MHz, CDCl3) δ 165.0 (C=O), 151.0 (Ar-C), 145.1 (CH), 139.2 (Ar-C), 137.2 (CH), 136.7 (Ar-C), 136.6 (Ar-C), 132.9 (Ar-C), 129.6 (Ar-2C), 129.4 (Ar-2C), 122.7 (Ar-C), 120.8 (Ar-C), 117.8 (CH), 116.3 (CH), 112.9 (Ar-C), 56.0 (OCH3), 40.2 (CH2); HRMS (ESI-MS) m/z: [M + H]+ calcd for C19H17ClO3+: 329.0947; found: 329.0936; IR (cm−1): 2937 (OCH3), 1704 (C=O), 1165 (Ar-C=C), 755 (Cl).
4-allyl-2-methoxyphenyl (E)-3-(2-fluorophenyl)acrylate (c8). Yellow soild; yield 69% (the crude was purified using a mixture of PE/EtOAc 100:1); mp: 270.6–271.2 °C; 1H NMR (500 MHz, CDCl3) δ 8.00 (d, J = 16.2 Hz, 1H, Ar-H), 7.61 (t, J = 7.6 Hz, 1H, Ar-H), 7.39 (d, J = 8.2 Hz, 1H, CH), 7.20 (t, J = 7.5 Hz, 1H, Ar-H), 7.13 (d, J = 18.9 Hz, 1H, Ar-H), 7.04 (d, J = 8.0 Hz, 1H, Ar-H), 6.83 (s, 1H, Ar-H), 6.81 (d, J = 7.8 Hz, 1H, Ar-H), 6.77 (s, 1H, CH), 6.04–5.94 (m, 1H, CH), 5.16–5.08 (m, 2H, CH2), 3.84 (s, 3H, OCH3), 3.41 (d, J = 6.7 Hz, 2H, CH2); 13C NMR (126 MHz, CDCl3) δ 165.1 (C=O), 162.6 (Ar-C), 160.6 (Ar-C), 151.1 (CH), 139.1 (Ar-C), 138.1 (CH), 137.2 (Ar-C), 132.2 (Ar-C), 132.1 (Ar-C), 129.4 (Ar-C), 124.7 (Ar-C), 124.7 (Ar-C), 122.7 (Ar-C), 120.8 (CH), 119.8 (CH), 116.3 (Ar-C), 112.9 (Ar-C), 56.0 (OCH3), 40.2 (CH2); HRMS (ESI-MS) m/z: [M + H]+ calcd for C19H17FO3+: 313.1243; found: 313.1231; IR (cm−1): 2937 (-CH3O), 1704 (C=O), 1165 (Ar-C=C), 1317 (F).
4-allyl-2-methoxyphenyl (E)-3-(3-fluorophenyl)acrylate (c9). Yellow soild; yield 45% (the crude was purified using a mixture of PE/EtOAc 100:1); mp: 279.6–280.4 °C; 1H NMR (500 MHz, CDCl3) δ 7.82 (d, J = 16.0 Hz, 1H, Ar-H), 7.39 (d, J = 5.5 Hz, 1H, Ar-H), 7.35 (d, J = 7.8 Hz, 1H, CH), 7.28 (d, J = 9.5 Hz, 1H, Ar-H), 7.12 (d, J = 9.3 Hz, 1H, Ar-H), 7.03 (d, J = 8.0 Hz, 1H, Ar-H), 6.83 (s, J = 1.9 Hz, 1H, Ar-H), 6.81 (d, J = 7.9 Hz, 1H, Ar-H), 6.66 (d, J = 16.0 Hz, 1H, CH), 5.98 (td, J = 16.8, 6.7 Hz, 1H, CH), 5.16–5.09 (m, 2H, CH2), 3.83 (s, 3H, OCH3), 3.40 (d, J = 6.8 Hz, 2H, CH2); 13C NMR (126 MHz, CDCl3) δ 164.9 (C=O), 164.1 (Ar-C), 162.2 (Ar-C), 151.1 (Ar-C), 145.1 (Ar-C), 139.3 (CH), 138.0 (Ar-C), 137.2 (CH), 130.7 (Ar-C), 124.4 (Ar-C), 122.7 (Ar-C), 120.9 (Ar-C), 118.7 (Ar-C), 117.6 (CH), 116.3 (CH), 114.7 (Ar-C), 112.9 (Ar-C), 56.0 (OCH3), 40.2 (CH2); HRMS (ESI-MS) m/z: [M + H]+ calcd for C19H17FO3+: 313.1243; found: 313.1231; IR (cm−1): 2937 (OCH3), 1704 (C=O), 1165 (Ar-C=C), 1325 (F).
4-allyl-2-methoxyphenyl (E)-3-(4-fluorophenyl)acrylate (c10). Yellow soild; yield 50% (the crude was purified using a mixture of PE/EtOAc 100:1); mp: 270.4–270.6 °C; 1H NMR (500 MHz, CDCl3) δ 7.83 (d, J = 16.0 Hz, 1H, Ar-H), 7.58 (d, J = 5.4 Hz, 1H, Ar-H), 7.57 (d, J = 5.6 Hz, 1H, CH), 7.12 (s, 1H, Ar-H), 7.10 (d, J = 8.6 Hz, 1H, Ar-H), 7.03 (d, J = 8.0 Hz, 1H, Ar-H), 6.82 (s, 1H, Ar-H), 6.81 (d, J = 8.1 Hz, 1H, Ar-H), 6.60 (d, J = 16.0 Hz, 1H, CH), 5.98 (td, J = 16.8, 6.7 Hz, 1H, CH), 5.16–5.09 (m, 2H, CH2), 3.83 (s, 3H, OCH3), 3.40 (d, J = 6.7 Hz, 2H, CH2); 13C NMR (126 MHz, CDCl3) δ 165.1 (C=O), 163.2 (Ar-C), 151.1 (Ar-C), 145.2 (CH), 139.2 (Ar-C), 138.0 (Ar-C), 137.2 (CH), 130.7 (Ar-C), 130.4 (Ar-C), 130.3 (Ar-C), 122.7 (Ar-C), 120.8 (Ar-C), 117.0 (CH), 116.4 (CH), 116.3 (Ar-C), 116.2 (Ar-C), 112.9 (Ar-C), 56.0 (OCH3), 40.3 (CH2). HRMS (ESI-MS) m/z: [M + H]+ calcd for C19H17FO3+: 313.1243; found: 313.1231; IR (cm−1): 2937 (OCH3), 1704 (C=O), 1165 (Ar-C=C), 1323 (F).
4-allyl-2-methoxyphenyl (E)-3-(2-bromophenyl)acrylate (c11). Yellow soild; yield 54% (the crude was purified using a mixture of PE/EtOAc 100:1); mp: 296.3–296.5 °C; 1H NMR (500 MHz, CDCl3) δ 8.25 (d, J = 15.9 Hz, 1H, Ar-H), 7.70 (d, J = 7.9 Hz, 1H, Ar-H), 7.64 (d, J = 8.1 Hz, 1H, CH), 7.36 (t, J = 7.6 Hz, 1H, Ar-H), 7.26 (d, J = 8.0 Hz, 1H, Ar-H), 7.05 (d, J = 8.0 Hz, 1H, Ar-H), 6.83 (s, 1H, Ar-H), 6.81 (d, J = 7.9 Hz, 1H, Ar-H), 6.63 (d, J = 16.0 Hz, 1H, CH), 6.04 (td, J = 16.8, 6.7 Hz, 1H, CH), 5.16–5.09 (m, 2H, CH2), 3.84 (s, 3H, OCH3), 3.41 (d, J = 6.8 Hz, 2H, CH2); 13C NMR (126 MHz, CDCl3) δ 164.7 (C=O), 151.1 (Ar-C), 144.8 (CH), 139.2 (Ar-C), 138.0 (CH), 137.2 (Ar-C), 134.5 (Ar-C), 133.7 (Ar-C), 131.6 (Ar-C), 128.0 (Ar-C), 127.9 (Ar-C), 125.7 (Ar-C), 122.7 (Ar-C), 120.8 (Ar-C), 120.0 (CH), 116.1 (CH), 112.9 (Ar-C), 56.0 (OCH3), 40.2 (CH2); HRMS (ESI-MS) m/z: [M + H]+ calcd for C19H17BrO3+: 373.0442; found: 373.0430 IR (cm−1): 2937 (OCH3), 1704 (C=O), 1165 (Ar-C=C), 568 (Br).
4-allyl-2-methoxyphenyl (E)-3-(3-bromophenyl)acrylate (c12). White soild; yield 61% (the crude was purified using a mixture of PE/EtOAc 100:1); mp: 272.6–272.8 °C; 1H NMR (500 MHz, CDCl3) δ 7.78 (d, J = 16.0 Hz, 1H, Ar-H), 7.73 (s, 1H, Ar-H), 7.54 (d, J = 7.9 Hz, 1H, CH), 7.50 (d, J = 7.8 Hz, 1H, Ar-H), 7.29 (t, J = 7.9 Hz, 1H, Ar-H), 7.02 (d, J = 7.9 Hz, 1H, Ar-H), 6.82 (s, 1H, Ar-H), 6.80 (d, J = 8.0 Hz, 1H, Ar-H), 6.66 (d, J = 16.0 Hz, 1H, CH), 5.98 (td, J = 16.8, 6.8 Hz, 1H, CH), 5.16–5.09 (m, 2H, CH2), 3.83 (s, 3H, OCH3), 3.40 (d, J = 6.7 Hz, 2H, CH2); 13C NMR (126 MHz, CDCl3) δ 164.8 (C=O), 151.0 (Ar-C), 144.8 (CH), 139.2 (Ar-C), 138.0 (Ar-C), 137.2 (CH2), 136.5 (Ar-C), 133.5 (Ar-C), 131.1 (Ar-C), 130.6 (Ar-C), 127.0 (Ar-C), 123.2 (Ar-C), 122.7 (Ar-C), 120.9 (CH), 118.8 (CH), 116.3 (Ar-C), 112.9 (Ar-C), 56.0 (OCH3), 40.3 (CH); HRMS (ESI-MS) m/z: [M + H]+ calcd for C19H17BrO3+: 373.0442; found: 313.0433; IR (cm−1): 2937 (OCH3), 1704 (C=O), 1165 (Ar-C=C), 559 (Br).
4-allyl-2-methoxyphenyl (E)-3-(4-bromophenyl)acrylate (c13). White soild; yield 58% (the crude was purified using a mixture of PE/EtOAc 100:1); mp: 239.9–340.9 °C; 1H NMR (500 MHz, CDCl3) δ 7.80 (d, J = 16.1 Hz, 1H, Ar-H), 7.56 (s, 1H, Ar-H), 7.54 (s, 1H, CH), 7.45 (s, 1H, Ar-H), 7.43 (s, 1H, Ar-H), 7.02 (d, J = 7.9 Hz, 1H, Ar-H), 6.82 (s, 1H, Ar-H), 6.80 (d, J = 8.0 Hz, 1H, Ar-H), 6.66 (d, J = 16.0 Hz, 1H, CH), 5.98 (td, J = 16.9, 6.7 Hz, 1H, CH), 5.15–5.09 (m, 2H, CH2), 3.83 (s, 3H, OCH3), 3.40 (d, J = 6.7 Hz, 2H, CH2); 13C NMR (126 MHz, CDCl3) δ 165.3 (C=O), 151.3 (Ar-C), 145.4 (CH), 139.5 (Ar-C), 138.2 (Ar-C), 137.4 (CH), 133.6 (Ar-C), 132.6 (Ar-2C), 130.0 (Ar-2C), 125.3 (Ar-C), 123.0 (Ar-C), 121.1 (CH), 118.2 (CH), 116.6 (Ar-C), 113.1 (Ar-C), 56.3 (OCH3), 40.5 (CH2); HRMS (ESI-MS) m/z: [M + H]+ calcd for C19H17BrO3+: 373.0442; found: 373.0429; IR (cm−1): 2937 (OCH3), 1704 (C=O), 1165 (Ar-C=C), 571 (Br).
4-allyl-2-methoxyphenyl (E)-3-(3-hydroxyphenyl)acrylate (c14). White soild; yield 51% (the crude was purified using a mixture of PE/EtOAc 40:1); mp: 322.2–322.4 °C; 1H NMR (500 MHz, CDCl3) δ 7.80 (d, J = 15.9 Hz, 1H, Ar-H), 7.25 (t, J = 7.9 Hz, 1H, Ar-H), 7.12 (d, J = 7.9 Hz, 1H, CH), 7.03 (d, J = 7.9 Hz, 1H, Ar-H), 7.00 (t, J = 2.1 Hz, 1H, Ar-H), 6.86 (d, J = 8.1 Hz, 1H, Ar-H), 6.82 (s, 1H, Ar-H), 6.81–6.78 (m, 1H, Ar-H), 6.61 (d, J = 15.9 Hz, 1H, CH), 6.01–5.92 (m, 1H, CH), 5.14–5.08 (m, 2H, CH2), 3.82 (s, 3H, OCH3), 3.38 (d, J = 6.7 Hz, 2H, CH2); 13C NMR (126 MHz, CDCl3) δ 165.7 (C=O), 156.3 (Ar-C), 151.0 (Ar-C), 146.7 (Ar-C), 139.3 (CH), 138.0 (Ar-C), 137.2 (CH), 135.8 (Ar-C), 130.2 (Ar-C), 122.7 (Ar-C), 121.0 (Ar-C), 120.9 (Ar-C), 118.0 (Ar-C), 117.3 (CH), 116.3 (CH), 114.8 (Ar-C), 112.9 (Ar-C), 56.0 (OCH3), 40.2 (CH2); HRMS (ESI-MS) m/z: [M + H]+ calcd for C19H18O4+: 311.1286; found: 311.1275; IR (cm−1): 3376 (OH), 2937 (OCH3), 1704 (C=O), 1165 (Ar-C=C).
4-allyl-2-methoxyphenyl (E)-3-(4-hydroxyphenyl)acrylate (c15). White soild; yield 47% (the crude was purified using a mixture of PE/EtOAc 40:1); mp: 296.3–296.5 °C; 1H NMR (500 MHz, CDCl3) δ 7.81 (d, J = 15.9 Hz, 1H, Ar-H), 7.46 (d, 1H, Ar-H), 7.45 (d, 1H, CH), 7.03 (d, J = 7.9 Hz, 1H, Ar-H), 6.84 (d, 1H, Ar-H), 6.82–6.81 (m, 1H, Ar-H), 6.79 (s, 1H, Ar-H), 6.51 (d, J = 15.9 Hz, 1H, Ar-H), 5.97 (td, J = 16.8, 6.7 Hz, 1H, CH), 5.83 (s, 1H, CH), 5.15–5.07 (m, 2H, CH2), 3.82 (s, 3H, OCH3), 3.39 (d, J = 6.7 Hz, 2H, CH2); 13C NMR (126 MHz, CDCl3) δ 166.0 (C=O), 158.3 (Ar-C), 151.1 (Ar-C), 146.6 (CH), 139.2 (Ar-C), 138.0 (CH), 137.2 (Ar-C), 130.4 (Ar-2C), 127.0 (Ar-C), 122.8 (Ar-C), 120.9 (Ar-C), 116.3 (CH), 116.1 (Ar-2C), 114.3 (CH), 112.9 (Ar-C), 56.0 (OCH3), 40.3 (CH2); HRMS (ESI-MS) m/z: [M + H]+ calcd for C19H18O4+: 311.1286; found: 311.1273; IR (cm−1): 3371 (OH), 2937 (OCH3), 1704 (C=O), 1165 (Ar-C=C).
4-allyl-2-methoxyphenyl (E)-3-(2-nitrophenyl)acrylate (c16). Yellow soild; yield 42% (the crude was purified using a mixture of PE/EtOAc 100:1); mp: 295.2–295.4 °C; 1H NMR (500 MHz, CDCl3) δ 8.31 (d, J = 15.8 Hz, 1H, Ar-H), 8.07 (d, J = 8.1 Hz, 1H, Ar-H), 7.73 (d, J = 6.2 Hz, 1H, CH), 7.69 (t, J = 7.6 Hz, 1H, Ar-H), 7.58 (t, J = 7.8 Hz, 1H, Ar-H), 7.04 (d, J = 7.9 Hz, 1H, Ar-H), 6.84–6.82 (m, 1H, Ar-H), 6.81 (d, J = 8.0 Hz, 1H, Ar-H), 6.59 (d, J = 15.8 Hz, 1H, CH), 5.98 (td, J = 16.9, 6.7 Hz, 1H, CH), 5.14–5.09 (m, 2H, CH2), 3.84 (s, 3H, OCH3), 3.40 (d, J = 6.5 Hz, 2H, CH2); 13C NMR (126 MHz, CDCl3) δ 164.1 (C=O), 151.0 (Ar-C), 148.5 (Ar-C), 141.7 (CH), 139.3 (Ar-C), 138.0 (Ar-C), 137.2 (CH), 133.8 (Ar-C), 130.7 (Ar-C), 130.6 (Ar-C), 129.4 (Ar-C), 125.1 (Ar-C), 122.7 (Ar-C), 122.4 (Ar-C), 120.8 (CH), 116.3 (CH), 112.9 (Ar-C), 56.0 (OCH3), 40.3 (CH2); HRMS (ESI-MS) m/z: [M + H]+ calcd for C19H17NO5+: 340.1181; found: 340.1176; IR (cm−1): 2937 (OCH3), 1704 (C=O), 1424 (NO2), 1165 (Ar-C=C).
4-allyl-2-methoxyphenyl (E)-3-(3-nitrophenyl)acrylate (c17). White soild; yield 51% (the crude was purified using a mixture of PE/EtOAc 100:1); mp: 255.5–256.1 °C; 1H NMR (500 MHz, CDCl3) δ 8.44 (t, J = 1.9 Hz, 1H, Ar-H), 8.26 (d, J = 9.9 Hz, 1H, Ar-H), 7.90 (d, J = 11.4 Hz, 1H, CH), 7.88 (d, J = 3.2 Hz, 1H, Ar-H), 7.61 (t, J = 8.0 Hz, 1H, Ar-H), 7.03 (d, J = 8.0 Hz, 1H, Ar-H), 6.83 (d, J = 1.9 Hz, 1H, Ar-H), 6.81 (d, J = 2.8 Hz, 1H, Ar-H), 6.79 (d, J = 11.1 Hz, 1H, CH), 5.98 (td, J = 16.9, 6.7 Hz, 1H, CH), 5.16–5.08 (m, 2H, CH2), 3.83 (s, 3H, OCH3), 3.40 (d, J = 6.7 Hz, 2H, CH2); 13C NMR (126 MHz, CDCl3) δ 164.4 (C=O), 151.7 (Ar-C), 148.8 (Ar-C), 143.5 (CH), 139.4 (Ar-C), 137.9 (Ar-C), 137.1 (CH), 136.1 (Ar-C), 133.9 (Ar-C), 130.2 (Ar-C), 124.9 (Ar-C), 122.8 (Ar-C), 122.6 (Ar-C), 120.8 (Ar-C), 120.5 (CH), 116.4 (CH), 112.9 (Ar-C), 56.0 (OCH3), 40.3 (CH2); HRMS (ESI-MS) m/z: [M + H]+ calcd for C19H17NO5+: 340.1181; found: 340.1178; IR (cm−1): 2937 (OCH3), 1704 (C=O), 1421 (NO2), 1165 (Ar-C=C).
4-allyl-2-methoxyphenyl (E)-3-(4-nitrophenyl)acrylate (c18). Yellow soild; yield 58% (the crude was purified using a mixture of PE/EtOAc 80:1); mp: 291.2–292.3 °C; 1H NMR (500 MHz, CDCl3) δ 8.28 (d, J = 1.8 Hz, 1H, Ar-H), 8.27 (d, J = 2.0 Hz, 1H, Ar-H), 7.89 (d, J = 16.0 Hz, 1H, CH), 7.74 (d, J = 2.0 Hz, 1H, Ar-H), 7.72 (d, J = 2.1 Hz, 1H, Ar-H), 7.03 (d, J = 8.0 Hz, 1H, Ar-H), 6.83 (d, J = 1.3 Hz, 1H, Ar-H), 6.81 (d, J = 5.7 Hz, 1H, Ar-H), 6.79 (d, J = 13.7 Hz, 1H, CH), 5.97 (td, J = 16.8, 6.7 Hz, 1H, CH), 5.16–5.09 (m, 2H, CH2), 3.83 (s, 3H, OCH3), 3.40 (d, J = 6.7 Hz, 2H, CH2); 13C NMR (126 MHz, CDCl3) δ 164.3 (C=O), 151.0 (Ar-C), 148.8 (CH), 143.5 (Ar-C), 140.5 (CH), 139.5 (Ar-C), 137.8 (Ar-C), 137.0 (Ar-C), 129.0 (Ar-2C), 124.4 (Ar-2C), 122.6 (Ar-C), 121.6 (Ar-C), 120.9 (CH), 116.4 (CH), 112.8 (Ar-C), 56.0 (OCH3), 40.3 (CH2); HRMS (ESI-MS) m/z: [M + H]+ calcd for C19H17NO5+: 340.1181; found: 340.1178; IR (cm−1): 2937 (OCH3), 1704 (C=O), 1424 (NO2), 1165 (Ar-C=C).
4-allyl-2-methoxyphenyl (E)-3-(2-methoxyphenyl)acrylate (c19). White soild; yield 49% (the crude was purified using a mixture of PE/EtOAc 80:1); mp: 250.3–250.8 °C; 1H NMR (500 MHz, CDCl3) δ 8.17 (d, J = 16.1 Hz, 1H, Ar-H), 7.57 (d, J = 7.7 Hz, 1H, Ar-H), 7.38 (t, J = 8.7 Hz, 1H, CH), 7.03 (d, J = 7.9 Hz, 1H, Ar-H), 6.99 (t, J = 7.5 Hz, 1H, Ar-H), 6.94 (d, J = 8.3 Hz, 1H, Ar-H), 6.82 (d, J = 1.9 Hz, 1H, Ar-H), 6.81 (s, 1H, Ar-H), 6.78 (d, J = 9.2 Hz, 1H, CH), 5.99 (td, J = 16.8, 6.7 Hz, 1H, CH), 5.16–5.08 (m, 2H, CH2), 3.90 (s, 3H, CH3), 3.83 (s, 3H, OCH3), 3.40 (d, J = 6.7 Hz, 2H, CH2); 13C NMR (126 MHz, CDCl3) δ 165.8 (C=O), 158.7 (Ar-C), 151.2 (Ar-C), 142.1 (CH), 139.0 (Ar-C), 138.2 (CH), 137.3 (Ar-C), 131.9 (Ar-C), 129.5 (Ar-C), 123.4 (Ar-C), 122.8 (Ar-C), 120.9 (Ar-C), 120.8 (Ar-C), 117.7 (CH), 116.3 (CH), 112.9 (Ar-C), 111.3 (Ar-C), 56.0 (OCH3), 55.6 (OCH3), 40.3 (CH2); HRMS (ESI-MS) m/z: [M + H]+ calcd for C20H20O4+: 325.1437; found: 325.1432; IR (cm−1): 2937, 2873 (OCH3), 1704 (C=O), 1165 (Ar-C=C).
4-allyl-2-methoxyphenyl (E)-3-(3-methoxyphenyl)acrylate (c20). White soild; yield 60% (the crude was purified using a mixture of PE/EtOAc 100:1); mp: 246.3–246.4 °C; 1H NMR (500 MHz, CDCl3) δ 7.84 (d, J = 16.0 Hz, 1H, Ar-H), 7.33 (t, J = 7.9 Hz, 1H, Ar-H), 7.18 (d, J = 7.8 Hz, 1H, CH), 7.11 (t, J = 2.1 Hz, 1H, Ar-H), 7.03 (d, J = 8.0 Hz, 1H, Ar-H), 6.97 (d, J = 8.6 Hz, 1H, Ar-H), 6.83 (d, J = 1.9 Hz, 1H, Ar-H), 6.81 (d, J = 8.0 Hz, 1H, Ar-H), 6.67 (d, J = 15.9 Hz, 1H, CH), 5.98 (td, J = 16.9, 6.8 Hz, 1H, CH), 5.16–5.09 (m, 2H, CH2), 3.85 (s, 3H, OCH3), 3.83 (s, 3H, CH3), 3.40 (d, J = 6.7 Hz, 2H, CH2); 13C NMR (126 MHz, CDCl3) δ 165.2 (C=O), 160.0 (Ar-C), 151.1 (Ar-C), 146.5 (CH), 139.1 (Ar-C), 138.1 (CH), 137.2 (Ar-C), 135.8 (Ar-C), 130.1 (Ar-C), 122.8 (Ar-C), 121.2 (Ar-C), 120.9 (Ar-C), 117.5 (Ar-C), 116.7 (CH), 116.3 (CH), 113.1 (Ar-C), 112.9 (Ar-C), 56.0 (OCH3), 55.4 (OCH3), 40.2 (CH2); HRMS (ESI-MS) m/z: [M + H]+ calcd for C20H20O4+: 325.1437; found: 325.1432; IR (cm−1): 2937, 2867 (OCH3), 1704 (CO), 1165 (PH-C=C).
4-allyl-2-methoxyphenyl (E)-3-(4-methoxyphenyl)acrylate (c21). White soild; yield 62% (the crude was purified using a mixture of PE/EtOAc 100:1); mp: 328.6–329.0 °C; 1H NMR (500 MHz, CDCl3) δ 7.83 (d, J = 15.9 Hz, 1H, Ar-H), 7.55 (s, 1H, Ar-H), 7.53 (d, 1H, CH), 7.03 (d, J = 7.9 Hz, 1H, Ar-H), 6.94 (d, J = 2.1 Hz, 1H, Ar-H), 6.93 (d, J = 2.0 Hz, 1H, Ar-H), 6.82 (d, J = 1.9 Hz, 1H, Ar-H), 6.80 (d, J = 7.9 Hz, 1H, Ar-H), 6.54 (d, J = 15.9 Hz, 1H, CH), 5.98 (td, J = 16.9, 6.7 Hz, 1H, CH), 5.17–5.08 (m, 2H, CH2), 3.85 (s, 3H, CH3), 3.83 (s, 3H, OCH3), 3.40 (d, J = 6.8 Hz, 2H, CH2); 13C NMR (126 MHz, CDCl3) δ 165.6 (C=O), 161.7 (Ar-C), 151.2 (Ar-C), 146.3 (CH), 139.0 (Ar-C), 138.2 (CH), 137.2 (Ar-C), 130.1 (Ar-2C), 127.2 (Ar-C), 122.9 (Ar-C), 120.9 (Ar-C), 116.3 (CH), 114.6 (CH), 114.5 (Ar-2C), 112.8 (Ar-C), 56.0 (OCH3), 55.5 (OCH3), 40.2 (CH2); HRMS (ESI-MS) m/z: [M + H]+ calcd for C20H20O4+: 325.1437; found: 325.1432; IR (cm−1): 2937, 2871 (OCH3), 1704 (C=O), 1165 (Ar-C=C).
4-allyl-2-methoxyphenyl (E)-3-(2-(trifluoromethyl)phenyl)acrylate (c22). White soild; yield 47% (the crude was purified using a mixture of PE/EtOAc 100:1); mp: 339.4–340.1 °C; 1H NMR (500 MHz, CDCl3) δ 8.25 (d, J = 15.8 Hz, 1H, Ar-H, 7.80 (d, J = 7.8 Hz, 1H, Ar-H), 7.73 (d, J = 7.9 Hz, 1H, CH), 7.61 (t, J = 7.7 Hz, 1H, Ar-H), 7.54–7.49 (m, 1H, Ar-H), 7.05 (d, J = 7.9 Hz, 1H, Ar-H), 6.83 (d, J = 1.9 Hz, 1H, Ar-H), 6.81 (d, J = 8.0 Hz, 1H, Ar-H), 6.65 (d, J = 15.8 Hz, 1H, CH), 5.98 (td, J = 16.8, 6.7 Hz, 1H, CH), 5.16–5.09 (m, 2H, CH2), 3.84 (s, 3H, OCH3), 3.41 (d, J = 6.8 Hz, 2H, CH2); 13C NMR (126 MHz, CDCl3) δ 164.4 (C=O), 151.1 (Ar-C), 141.9 (Ar-C), 139.2 (CH), 138.0 (Ar-C), 137.2 (CH), 133.3 (Ar-C), 132.3 (Ar-C), 130.0 (Ar-C), 129.3 (Ar-C), 128.2 (Ar-C), 126.4 (Ar-C), 125.1 (Ar-C), 122.7 (Ar-C), 121.6 (CF3), 120.9 (CH), 116.3 (CH), 113.9 (Ar-C), 56.0 (OCH3), 40.3 (CH2); HRMS (ESI-MS) m/z: [M + H]+ calcd for C20H17F3O3+: 363.1205; found: 363.1198; IR (cm−1): 2937 (OCH3), 1704 (C=O), 1332 (CF3), 1165 (Ar-C=C).
4-allyl-2-methoxyphenyl (E)-3-(3-(trifluoromethyl)phenyl)acrylate (c23). Yellow soild; yield 69% (the crude was purified using a mixture of PE/EtOAc 100:1); mp: 339.1–339.3 °C; 1H NMR (500 MHz, CDCl3) δ 7.88 (d, J = 16.0 Hz, 1H, Ar-H), 7.83 (s, 1H, Ar-H), 7.76 (d, J = 7.8 Hz, 1H, CH), 7.67 (d, J = 7.1 Hz, 1H, Ar-H), 7.55 (t, J = 7.8 Hz, 1H, Ar-H), 7.03 (d, J = 8.0 Hz, 1H, Ar-H), 6.83 (d, J = 2.0 Hz, 1H, Ar-H), 6.81 (dd, J = 8.0, 1.9 Hz, 1H, Ar-H), 6.74 (d, J = 16.0 Hz, 1H, CH), 5.98 (td, J = 16.9, 6.7 Hz, 1H, CH), 5.16–5.09 (m, 2H, CH2), 3.83 (s, 3H, OCH3), 3.40 (d, J = 6.7 Hz, 2H, CH2); 13C NMR (126 MHz, CDCl3) δ 164.7 (C=O), 151.0 (Ar-C), 144.7 (CH), 139.3 (Ar-C), 138.0 (CH), 137.2 (Ar-C), 135.2 (Ar-C), 131.8 (Ar-C), 131.4 (Ar-C), 129.7 (Ar-C), 127.1 (CF3), 125.0 (Ar-C), 122.7 (Ar-C), 120.9 (Ar-C), 119.3 (Ar-C), 116.4 (CH), 112.9 (CH), 56.0 (Ar-C), 55.9 (OCH3), 40.3 (CH2); HRMS (ESI-MS) m/z: [M + H]+ calcd for C20H17F3O3+: 363.1205; found: 363.1199; IR (cm−1): 2937 (OCH3), 1704 (C=O), 1330 (CF3), 1165 (Ar-C=C).
4-allyl-2-methoxyphenyl (E)-3-(4-(trifluoromethyl)phenyl)acrylate (c24). White soild; yield 42% (the crude was purified using a mixture of PE/EtOAc 60:1); mp: 343.2–343.3 °C; 1H NMR (500 MHz, CDCl3) δ 7.88 (d, J = 16.0 Hz, 1H, Ar-H), 7.68 (s, 1H, Ar-H), 7.68 (s, 1H, CH), 7.68 (s, 1H, Ar-H), 7.68 (s, 1H, Ar-H), 7.03 (d, J = 7.9 Hz, 1H, Ar-H), 6.83 (d, J = 1.9 Hz, 1H, Ar-H), 6.81 (dd, J = 8.0, 1.9 Hz, 1H, Ar-H), 6.75 (d, J = 16.0 Hz, 1H, CH), 5.98 (td, J = 16.8, 6.7 Hz, 1H, CH), 5.16–5.06 (m, 2H, CH2), 3.83 (s, 3H, OCH3), 3.41 (d, J = 6.7 Hz, 2H, CH2); 13C NMR (126 MHz, CDCl3) δ 164.7 (C=O), 151.0 (Ar-C), 144.6 (CH), 139.4 (Ar-C), 137.0 (Ar-C), 137.8 (CH), 137.1 (Ar-C), 132.0 (Ar-C), 128.5 (Ar-2C), 126.1 (Ar-2C), 126.0 (CF3), 122.7 (Ar-C), 120.9 (Ar-C), 119.9 (CH), 116.4 (CH), 112.9 (Ar-C), 56.0 (OCH3), 40.3 (CH2); HRMS (ESI-MS) m/z: [M + H]+ calcd for C20H17F3O3+: 363.1205; found: 363.1200; IR (cm-1): 2937 (OCH3), 1704 (C=O), 1331 (CF3), 1165 (Ar-C=C).
4-allyl-2-methoxyphenyl (E)-3-(4-(dimethylamino)phenyl)acrylate (c25). Yellow soild; yield 29% (the crude was purified using a mixture of PE/EtOAc 40:1); mp: 328.6–329.1 °C; 1H NMR (500 MHz, CDCl3) δ 7.80 (d, J = 15.8 Hz, 1H, Ar-H), 7.49 (s, 1H, Ar-H), 7.47 (s, 1H, CH), 7.02 (d, J = 7.9 Hz, 1H, Ar-H), 6.81 (d, J = 1.9 Hz, 1H, Ar-H), 6.79 (dd, J = 7.9, 1.9 Hz, 1H, Ar-H), 6.70 (s, 1H, Ar-H), 6.68 (d, 1H, Ar-H), 6.44 (d, J = 15.8 Hz, 1H, CH), 5.98 (td, J = 16.8, 6.7 Hz, 1H, CH), 5.17–5.07 (m, 2H, CH2), 3.83 (s, 3H, OCH3), 3.39 (d, J = 6.8 Hz, 2H, CH2), 3.04 (s, 6H, CH3, CH3); 13C NMR (126 MHz, CDCl3) δ 166.2 (C=O), 152.0 (CH), 151.3 (Ar-C), 147.2 (Ar-C), 138.8 (CH), 138.4 (Ar-C), 137.3 (Ar-C), 130.2 (Ar-C), 123.0 (Ar-C), 120.8 (Ar-C), 116.2 (CH), 112.8 (CH), 112.0 (Ar-C), 111.3 (Ar-C), 56.0 (OCH3), 40.3 ((CH3)2), 40.3 (CH2); HRMS (ESI-MS) m/z: [M + H]+ calcd for C21H23NO3+: 338.1754; found: 338.1746; IR (cm−1): 2937 (OCH3), 2925 (CH2), 2968 (CH3), 1704 (C=O), 1609 (N), 1165 (Ar-C=C).
4-allyl-2-methoxyphenyl (E)-3-(4-hydroxy-3-methoxyphenyl)acrylate (c26). White soild; yield 56% (the crude was purified using a mixture of PE/EtOAc 100:1); mp: 274.3–274.8 °C; 1H NMR (500 MHz, CDCl3) δ 7.80 (d, J = 15.9 Hz, 1H, Ar-H), 7.13 (d, J = 8.1 Hz, 1H, Ar-H), 7.10 (d, J = 1.9 Hz, 1H, CH), 7.02 (d, J = 7.9 Hz, 1H, Ar-H), 6.94 (d, J = 8.2 Hz, 1H, Ar-H), 6.82 (d, J = 1.9 Hz, 1H, Ar-H), 6.80 (d, J = 8.0 Hz, 1H, Ar-H), 6.52 (d, J = 15.9 Hz, 1H, CH), 5.99 (dd, J = 16.9, 6.8 Hz, 1H, CH), 5.95–5.87 (m, 1H, CH), 5.16–5.08 (m, 2H, CH2), 3.93 (s, 3H, CH3), 3.83 (s, 3H, OCH3), 3.40 (d, J = 6.8 Hz, 2H, CH2); 13C NMR (126 MHz, CDCl3) δ 165.6 (C=O), 151.2 (Ar-C), 148.4 (Ar-C), 146.9 (Ar-C), 146.7 (CH), 139.0 (Ar-C), 138.2 (CH), 137.2 (Ar-C), 127.0 (Ar-C), 123.6 (Ar-C), 122.8 (Ar-C), 120.8 (Ar-C), 116.3 (Ar-C), 114.9 (CH), 114.5 (CH), 112.9 (Ar-C), 109.5 (Ar-C), 56.1 (OCH3), 56.00 (OCH3), 40.3 (CH2); HRMS (ESI-MS) m/z: [M + H]+ calcd for C20H20O5+: 341.1386; found: 341.1380; IR (cm−1): 3239 (OH), 2937, 2854 (OCH3), 1704 (C=O), 1165 (Ar-C=C).
4-allyl-2-methoxyphenyl (E)-3-(3,4-dihydroxyphenyl)acrylate (c27). Yellow soild; yield 37% (the crude was purified using a mixture of PE/EtOAc 100:1); mp: 265.5–266.5 °C; 1H NMR (500 MHz, CDCl3) δ 7.72 (d, J = 15.8 Hz, 1H, Ar-H), 7.04 (s, 1H, Ar-H), 7.00 (d, J = 8.1 Hz, 1H, CH), 6.98 (d, J = 7.4 Hz, 1H, Ar-H), 6.82 (s, 1H, Ar-H), 6.79 (d, 1H, Ar-H), 6.77 (d, J = 2.0 Hz, 1H, Ar-H), 6.42 (d, J = 15.9 Hz, 1H, CH), 5.98–5.91 (m, 1H, CH), 5.14–5.07 (m, 2H, CH2), 3.79 (s, 3H, OCH3), 3.37 (d, J = 6.7 Hz, 2H, CH2); 13C NMR (126 MHz, CDCl3) δ 166.1 (C=O), 150.8 (Ar-C), 146.9 (CH), 146.8 (Ar-C), 143.9 (Ar-C), 139.0 (Ar-C), 137.8 (CH), 136.9 (Ar-C), 127.0 (Ar-C), 122.7 (Ar-C), 122.5 (Ar-C), 120.7 (Ar-C), 116.1 (Ar-C), 115.3 (CH), 114.4 (CH), 114.0 (Ar-C), 112.7 (Ar-C), 55.8 (OCH3), 40.0 (CH2); HRMS (ESI-MS) m/z: [M + H]+ calcd for C19H18O5+: 327.1236; found: 327.1225; IR (cm−1): 3217, 3186 (OH), 2937 (OCH3), 1704 (C=O), 1165 (Ar-C=C).
4-allyl-2-methoxyphenyl (E)-3-(4-chloro-3-fluorophenyl)acrylate (c28). Yellow soild; yield 40% (the crude was purified using a mixture of PE/EtOAc 80:1); mp: 264.2–264.9 °C; 1H NMR (500 MHz, CDCl3) δ 7.76 (d, J = 16.0 Hz, 1H, Ar-H), 7.63 (dd, J = 7.0, 2.2 Hz, 1H, Ar-H), 7.45 (ddd, J = 8.6, 4.5, 2.2 Hz, 1H, CH), 7.19 (t, J = 8.6 Hz, 1H, Ar-H), 7.02 (d, J = 8.0 Hz, 1H, Ar-H), 6.82 (d, J = 2.0 Hz, 1H, Ar-H), 6.80 (d J = 8.0 Hz, 1H, Ar-H), 6.60 (d, J = 16.0 Hz, 1H, CH), 5.98 (td, J = 16.8, 6.7 Hz, 1H, CH), 5.16–5.09 (m, 2H, CH2), 3.83 (s, 3H, OCH3), 3.40 (d, J = 6.8 Hz, 2H, CH2); 13C NMR (126 MHz, CDCl3) δ 164.7 (C=O), 160.4 (Ar-C), 158.3 (Ar-C), 151.0 (CH), 143.8 (Ar-C), 139.2 (CH), 137.9 (Ar-C), 137.2 (Ar-C), 131.8 (Ar-C), 130.4 (Ar-C), 128.3 (Ar-C), 122.7 (Ar-C), 120.9 (Ar-C), 118.4 (CH), 117.4 (CH), 116.3 (Ar-C), 112.8 (Ar-C), 56.0 (OCH3), 40.3 (CH2); HRMS (ESI-MS) m/z: [M + H]+ calcd for C19H16ClFO3+: 347.0853; found: 347.0841; IR (cm−1): 2937 (OCH3), 1704 (C=O), 1165 (Ar-C=C), 1046 (F), 728 (Cl).
4-allyl-2-methoxyphenyl (E)-3-(benzo[d][1,3]dioxol-5-yl)acrylate (c29). White soild; yield 55% (the crude was purified using a mixture of PE/EtOAc 100:1); mp: 267.2–268.1 °C; 1H NMR (500 MHz, CDCl3) δ 7.77 (d, J = 15.9 Hz, 1H, CH), 7.09 (d, J = 1.7 Hz, 1H, Ar-H), 7.06 (d, J = 8.1 Hz, 1H, Ar-H), 7.02 (d, J = 8.0 Hz, 1H, Ar-H), 6.84 (d, J = 8.0 Hz, 1H, Ar-H), 6.82 (d, J = 1.9 Hz, 1H, Ar-H), 6.80 (d, J = 7.9 Hz, 1H, Ar-H), 6.49 (d, J = 15.9 Hz, 1H, CH), 6.02 (s, 2H, CH2), 6.01–5.90 (m, 1H, CH), 5.15–5.06 (m, 2H, CH2), 3.83 (s, 3H, OCH3), 3.40 (d, J = 6.7 Hz, 2H, CH2); 13C NMR (126 MHz, CDCl3) δ 165.5 (C=O), 151.2 (Ar-C), 150.0 (Ar-C), 148.5 (Ar-C), 146.3 (Ar-C), 139.1 (CH), 138.1 (Ar-C), 137.2 (CH), 128.9 (Ar-C), 125.0 (Ar-C), 122.8 (Ar-C), 120.8 (Ar-C), 116.3 (CH), 115.1 (CH), 112.9 (Ar-C), 108.7 (Ar-C), 106.8 (Ar-C), 101.8 (CH2), 56.0 (OCH3), 40.3 (CH2); HRMS (ESI-MS) m/z: [M + H]+ calcd for C20H18O5+: 339.1229 found: 339.1224; IR (cm−1): 2937 (OCH3), 1704 (C=O), 1165 (Ar-C=C), 953, 946 (OCH2).
3.2.2. Tyrosinase Inhibition and Kinetics Study
Compounds c1~c29 were tested for their tyrosinase inhibitory activities according to previous reports [53,54]. Each compound was dissolved in DMSO and diluted to different concentrations. Tyrosinase and L-DOPA were dissolved in PBS solution (50 mM, pH 6.8). To 140 μL of tyrosinase (final concentration: 66.7 U/mL) solution, 10 μL of compound was added and incubated for 5 min at 25 °C, followed by the addition of 50 µL of L-DOPA (final concentration: 2 mM). Then, absorbance of the mixture was read at 475 nm. The inhibitory activity of each compound was calculated using DMSO as a blank control. Kojic acid was also used as the positive control.
The kinetics studies were carried out using the same experimental method as described above. For enzyme kinetics, the absorbance of the mixture containing different concentrations of tyrosinase (final concentration: 66.7 U/mL) and compound c27 (0, 2, 3, and 4 μM) was recorded at 475 nm, respectively. For substrate kinetics, the absorbance of the mixture containing different concentrations of L-DOPA (final concentration: 2, 4, 6 and 8 mM) and compound c27 (0, 2, 3 and 4 μM) was recorded at 475 nm, respectively.
3.2.3. Three-Dimensional Fluorescence Spectra Assay
The 3D fluorescence spectra of tyrosinase-compound c27 mixture was measured according to previous reports [55]. To 3 mL of tyrosinase solution (final concentration: 168 μM) in PBS, 10 µL of compound c27 (2 mM) was added and incubated for 5 min. Then, the 3D fluorescence spectra analyses were conducted in room temperature. The excitation and emission wavelengths were 200–600 nm and the slit width was 2.5 nm.
3.2.4. Circular Dichroism Spectroscopy Assay
The CD spectra of tyrosinase-compound c27 mixture were measured according to previous reports [56]. To 190 µL of tyrosinase solution (final concentration: 64.65 μM) in PBS, 10 µL of compound c27 (1.28, 2.56, and 3.84 mM) was added and incubated for 5 min. Then, the CD spectra were measured at 195~250 nm at room temperature.
3.2.5. Fluorescence Quenching Experiments
An amount of 1 μL of compound c27 solution was titrated into 2 mL of tyrosinase and incubated for 5 min. Then, the fluorescence spectra were determined at excitation wavelength of 280 nm and temperatures of 303, 307, and 310 K, respectively. The quenching mechanism and parameters were investigated by the Stern–Volmer equation.
3.2.6. Molecular Docking
Molecular docking of tyrosinase–compound c27 was conducted using SYBYL software according to previous reports [57,58,59,60]. Compound c27 was treated with hydrogenation and energy minimization with the Gasteiger–Hückel program. The crystal structure of tyrosinase (PDBID: 2Y9X) was obtained from the RCSB Bank. Tyrosinase protein was analyzed with the internal program and we generated the active pocket using ligand mode. Then, the docking program was conducted in the default format to simulate the docking between tyrosinase and compound c27. In the docking process, 20 poses were generated for compound c27. We selected the pose with the highest score to further analyze the detailed interaction.
4. Conclusions
In this study, we synthesized cinnamic acid–eugenol esters c1~c29 and assayed their tyrosinase inhibitory activities. The results showed that all cinnamic acid–eugenol esters c1~c29 exhibited definite tyrosinase inhibitory activities. Compound c27 was the strongest tyrosinase inhibitor (IC50 = 3.07 ± 0.26 μM), and thus validated as a reversible mixed-type inhibitor against tyrosinase. Three-dimensional fluorescence and CD spectra results indicated that compound c27 could change the conformation and secondary structure of tyrosinase. Fluorescence quenching results showed that compound c27 quenched tyrosinase fluorescence in a static manner with one binding site. Molecular docking results also revealed the binding interactions between compound c27 and tyrosinase. Therefore, cinnamic acid–eugenol esters, especially c27, could be used as lead compounds to find potential tyrosinase inhibitors.
Author Contributions
Conceptualization, X.X. and J.P.; investigation, J.L. and X.M.; writing and editing, X.X., X.Z., S.W. and J.L. All authors have read and agreed to the published version of the manuscript.
Funding
This research was supported by the Department of Education of Guangdong Province (Nos. 2021KCXTD044).
Institutional Review Board Statement
Not applicable.
Informed Consent Statement
Not applicable.
Data Availability Statement
Not applicable.
Conflicts of Interest
The authors declare no conflict of interest.
References
- Li, J.; Feng, L.; Liu, L.; Wang, F.; Ouyang, L.; Zhang, L.; Hu, X.; Wang, G. Recent advances in the design and discovery of synthetic tyrosinase inhibitors. Eur. J. Med. Chem. 2021, 224, 113744. [Google Scholar] [CrossRef]
- Hassan, M.; Shahzadi, S.; Kloczkowski, A. Tyrosinase inhibitors naturally present in plants and synthetic modifications of these natural products as anti-melanogenic agents: A review. Molecules 2023, 28, 378. [Google Scholar] [CrossRef] [PubMed]
- He, M.; Fan, M.; Yang, W.; Peng, Z.; Wang, G. Novel kojic acid-1,2,4-triazine hybrids as anti-tyrosinase agents: Synthesis, biological evaluation, mode of action, and anti-browning studies. Food Chem. 2023, 419, 136047. [Google Scholar] [CrossRef] [PubMed]
- Wang, G.; He, M.; Huang, Y.; Peng, Z. Synthesis and biological evaluation of new kojic acid-1,3,4-oxadiazole hybrids as tyrosinase inhibitors and their application in the anti-browning of fresh-cut mushrooms. Food Chem. 2023, 409, 135275. [Google Scholar] [CrossRef] [PubMed]
- Lee, J.; Park, Y.J.; Jung, H.J.; Ullah, S.; Yoon, D.; Jeong, Y.; Kim, G.Y.; Kang, M.K.; Kang, D.; Park, Y.; et al. Design and synthesis of (Z)-2-(benzylamino)-5-benzylidenethiazol-4(5H)-one derivatives as tyrosinase inhibitors and their anti-melanogenic and antioxidant effects. Molecules 2023, 28, 848. [Google Scholar] [CrossRef]
- Djafarou, S.; Mermer, A.; Barut, B.; Yılmaz, G.T.; Khodja, I.A.; Boulebd, H. Synthesis and evaluation of the antioxidant and anti-tyrosinase activities of thiazolyl hydrazone derivatives and their application in the anti-browning of fresh-cut potato. Food Chem. 2023, 414, 135745. [Google Scholar] [CrossRef]
- Zargaham, M.K.; Ahmed, M.; Akhtar, N.; Ashraf, Z.; Abdel-Maksoud, M.A.; Aufy, M.; Nadeem, H. Synthesis, in silico studies, and antioxidant and tyrosinase inhibitory potential of 2-(substituted phenyl) thiazolidine-4-carboxamide derivatives. Pharmaceuticals 2023, 16, 835. [Google Scholar] [CrossRef]
- Xue, S.; Li, Z.; Ze, X.; Wu, X.; He, C.; Shuai, W.; Marlow, M.; Chen, J.; Scurr, D.; Zhu, Z.; et al. Design, synthesis, and biological evaluation of novel hybrids containing dihydrochalcone as tyrosinase inhibitors to treat skin hyperpigmentation. J. Med. Chem. 2023, 66, 5099–5117. [Google Scholar] [CrossRef]
- ZNajafi; Ebadi, A.; Chehardoli, G.; Ziaei, M.; Akbarzadeh, T.; Saeedi, M.; Gholamhoseini, P.; Mahdavi, M. Design, synthesis, in vitro, and in silico studies of novel benzylidene 6-methoxy-1-tetralone linked to benzyloxy and benzyl-1, 2, 3-triazole rings as potential tyrosinase inhibitors. J. Mol. Struct. 2023, 1271, 134018. [Google Scholar] [CrossRef]
- BRoulier; Rush, I.; Lazinski, L.M.; Pérès, B.; Olleik, H.; Royal, G.; Fishman, A.; Maresca, M.; Haudecoeur, R. Resorcinol-based hemiindigoid derivatives as human tyrosinase inhibitors and melanogenesis suppressors in human melanoma cells. Eur. J. Med. Chem. 2023, 246, 114972. [Google Scholar] [CrossRef]
- De Barros, M.R.; Menezes, T.M.; Garcia, Y.S.; Neves, J.L. Inhibitory effects of iron-based carbonaceous nanocomposites on mushroom tyrosinase activity: Molecular aspects and mechanistic insights. New J. Chem. 2023, 47, 9134–9142. [Google Scholar] [CrossRef]
- Esma, A.T.K.; Abd, E.H.K.; Rabah, A.; Djamila, B.; Mohamed, S.B.; Chawki, B.; Ramazan, E. In vitro assessment of antioxidant, neuroprotective, anti-urease and anti-tyrosinase capacities of Tamarix africana leaves extracts. J. Tradit. Chin. Med. 2023, 43, 252–264. [Google Scholar] [CrossRef]
- Romagnoli, R.; Oliva, P.; Prencipe, F.; Manfredini, S.; Germanò, M.P.; De Luca, L.; Ricci, F.; Corallo, D.; Aveic, S.; Mariotto, E.; et al. Cinnamic acid derivatives linked to arylpiperazines as novel potent inhibitors of tyrosinase activity and melanin synthesis. Eur. J. Med. Chem. 2022, 231, 114147. [Google Scholar] [CrossRef] [PubMed]
- Su, J.; Li, D.; Hu, Y.; You, X.; Guo, X.; Li, X.; Chen, B. A novel C6-sulfonated celastrol analog as a tyrosinase and melanin inhibitor: Design, synthesis, biological evaluation and molecular simulation. J. Mol. Struct. 2023, 1283, 135–288. [Google Scholar] [CrossRef]
- Nasab, N.H.; Raza, H.; Eom, Y.S.; Hassan, M.; Kloczkowski, A.; Kim, S.J. Synthesis and discovery of potential tyrosinase inhibitor of new coumarin-based thiophenyl-pyrazolylthiazole nuclei: In-vitro evaluation, cytotoxicity, kinetic and computational studies. Chem. Biol. Drug. Des. 2023, 101, 13–88. [Google Scholar]
- Iraji, A.; Sheikhi, N.; Attarroshan, M.; Ardani, G.R.S.; Kabiri, M.; Bafghi, A.N.; Kobarfard, F.; Rezaei, Z.; Khoshneviszadeh, M.; Foroumadi, A.; et al. Design, synthesis, spectroscopic characterization, in vitro tyrosinase inhibition, antioxidant evaluation, in silico and kinetic studies of substituted indole-carbohydrazides. Bioorganic Chem. 2022, 129, 106–140. [Google Scholar] [CrossRef]
- Ge, Z.; Liu, J.-C.; Sun, J.-A.; Mao, X.-Z. Tyrosinase Inhibitory Peptides from Enzyme Hydrolyzed Royal Jelly: Production, Separation, Identification and Docking Analysis. Foods 2023, 12, 2240. [Google Scholar] [CrossRef]
- Güven, Z.B.; Saracoglu, I.; Nagatsu, A.; Yilmaz, M.A.; Basaran, A.A. Anti-tyrosinase and antimelanogenic effect of cinnamic acid derivatives from Prunus mahaleb L.: Phenolic composition, isolation, identification and inhibitory activity. J. Ethnopharmacol. 2023, 310, 116378. [Google Scholar] [CrossRef]
- Ledwoń, P.; Goldeman, W.; Hałdys, K.; Jewgiński, M.; Calamai, G.; Rossowska, J.; Papini, A.M.; Rovero, P.; Latajka, R. Tripeptides conjugated with thiosemicarbazones: New inhibitors of tyrosinase for cosmeceutical use. J. Enzym. Inhib. Med. Chem. 2023, 38, 2193676. [Google Scholar] [CrossRef]
- Ielo, L.; Deri, B.; Germano, M.P.; Vittorio, S.; Mirabile, S.; Gitto, R.; Rapisarda, A.; Ronsisvalle, S.; Floris, S.; Pazy, Y. Exploiting the 1-(4-fluorobenzyl) piperazine fragment for the development of novel tyrosinase inhibitors as anti-melanogenic agents: Design, synthesis, structural insights and biological profile. Eur. J. Med. Chem. 2019, 178, 380–389. [Google Scholar]
- Veljović, E.; Rimac, H.; Salihović, M.; Špirtović-Halilović, S.; Osmanović, A.; Kovač, N.; Kiršek, E.; Članjak-Kudra, E.; Špirtović, D.; Bojić, M. Synthesis of arylmethylene-bis (3-hydroxy-5, 5-dimethylcyclohex-2-en-1-one) derivatives and their effect on tyrosinase activity. Croat. Chem. Acta. 2021, 94, 1–9. [Google Scholar]
- Chortani, S.; Hajlaoui, A.; Jlizi, S.; Harrath, A.H.; Jannet, H.B.; Romdhane, A. Access to new phosphonate-and imidazolidine-benzopyrimidinone derivatives as antityrosinase and anti-acetylcholinesterase agents: Design, synthesis and molecular docking. J. Mol. Struc. 2022, 1268, 133–693. [Google Scholar]
- Mohammadsadeghi, N.; Mahdavi, A.; Saadati, F.; Mohammadi, F. In silico and in vitro studies of novel derivatives of tyrosol and raspberry ketone as the mushroom tyrosinase inhibitors. Food Chem. 2023, 424, 136413. [Google Scholar] [CrossRef]
- Vittorio, S.; Dank, C.; Ielo, L. Heterocyclic Compounds as Synthetic Tyrosinase Inhibitors: Recent Advances. Int. J. Mol. Sci. 2023, 24, 9097. [Google Scholar] [CrossRef]
- Zhu, Y.-Z.; Chen, K.; Chen, Y.-L.; Zhang, C.; Xie, Y.-Y.; Hider, R.C.; Zhou, T. Design and synthesis of novel stilbene-hydroxypyridinone hybrids as tyrosinase inhibitors and their application in the anti-browning of freshly-cut apples. Food Chem. 2022, 385, 132730. [Google Scholar] [CrossRef] [PubMed]
- Yang, R.-L.; Chen, X.; Song, Y.-Y.; Zhu, Q.-L.; Bilal, M.; Wang, Y.; Tong, Z.; Wu, T.-T.; Wang, Z.-Y.; Luo, H.-Z.; et al. Whole cell-mediated biocatalytic synthesis of helicid cinnamylate and its biological evaluation as a novel tyrosinase inhibitor. Biotechnol. Bioprocess Eng. 2022, 27, 443–450. [Google Scholar] [CrossRef]
- Nazir, Y.; Rafique, H.; Roshan, S.; Shamas, S.; Ashraf, Z.; Rafiq, M.; Tahir, T.; Qureshi, Z.-U.; Aslam, A.; Bin Asad, M.H.H. Molecular Docking, Synthesis, and Tyrosinase Inhibition activity of acetophenone amide: Potential inhibitor of melanogenesis. BioMed. Res. Int. 2022, 2022, 1040693. [Google Scholar] [CrossRef] [PubMed]
- Cui, Y.; Hu, Y.-H.; Yu, F.; Zheng, J.; Chen, L.-S.; Chen, Q.-X.; Wang, Q. Inhibition kinetics and molecular simulation of p-substituted cinnamic acid derivatives on tyrosinase. Int. J. Biol. Macromol. 2017, 95, 1289–1297. [Google Scholar] [CrossRef]
- Vale, J.A.D.; Rodrigues, M.P.; Lima, M.A.; Santiago, S.S.; Lima, G.D.d.A.; Almeida, A.A.; de Oliveira, L.L.; Bressan, G.C.; Teixeira, R.R.; Machado-Neves, M. Synthesis of cinnamic acid ester derivatives with antiproliferative and antimetastatic activities on murine melanoma cells. Biomed. Pharmacother. 2022, 148, 112–689. [Google Scholar] [CrossRef]
- Neto, C.F.G.; Nascimento, P.D.; da Silveira, V.C.; de Mattos, A.B.N.; Bertol, C.D. Natural sources of melanogenic inhibitors: A systematic review. Int. J. Cosmet. Sci. 2022, 44, 143–153. [Google Scholar] [CrossRef]
- Larik, F.A.; Saeed, A.; Channar, P.A.; Muqadar, U.; Abbas, Q.; Hassan, M.; Seo, S.-Y.; Bolte, M. Design, synthesis, kinetic mechanism and molecular docking studies of novel 1-pentanoyl-3-arylthioureas as inhibitors of mushroom tyrosinase and free radical scavengers. Eur. J. Med. Chem. 2017, 141, 273–281. [Google Scholar] [CrossRef]
- Peng, Z.; Wang, G.; Zeng, Q.-H.; Li, Y.; Liu, H.; Wang, J.J.; Zhao, Y. A systematic review of synthetic tyrosinase inhibitors and their structure-activity relationship. Crit. Rev. Food Sci. 2021, 62, 4053–4094. [Google Scholar] [CrossRef]
- Ashooriha, M.; Khoshneviszadeh, M.; Khoshneviszadeh, M.; Rafiei, A.; Kardan, M.; Yazdian-Robati, R.; Emami, S. Kojic acid–natural product conjugates as mushroom tyrosinase inhibitors. Eur. J. Med. Chem. 2020, 201, 112480. [Google Scholar] [CrossRef] [PubMed]
- Cabezudo, I.; Ramallo, I.A.; Alonso, V.L.; Furlan, R.L. Effect directed synthesis of a new tyrosinase inhibitor with anti-browning activity. Food Chem. 2021, 341, 128232. [Google Scholar] [CrossRef] [PubMed]
- Hariri, R.; Saeedi, M.; Akbarzadeh, T. Naturally occurring and synthetic peptides: Efficient tyrosinase inhibitors. J. Pept. Sci. 2021, 27, e3329. [Google Scholar] [CrossRef] [PubMed]
- Obaid, R.J.; Mughal, E.U.; Naeem, N.; Sadiq, A.; Alsantali, R.I.; Jassas, R.S.; Moussa, Z.; Ahmed, S.A. Natural and synthetic flavonoid derivatives as new potential tyrosinase inhibitors: A systematic review. RSC Adv. 2021, 11, 22159–22198. [Google Scholar] [CrossRef]
- Sheng, Z.; Ge, S.; Xu, X.; Zhang, Y.; Wu, P.; Zhang, K.; Xu, X.; Li, C.; Zhao, D.; Tang, X. Design, synthesis and evaluation of cinnamic acid ester derivatives as mushroom tyrosinase inhibitors. MedChemComm 2018, 9, 853–861. [Google Scholar] [CrossRef]
- Citarella, A.; Moi, D.; Pedrini, M.; Pérez-Peña, H.; Pieraccini, S.; Dimasi, A.; Stagno, C.; Micale, N.; Schirmeister, T.; Sibille, G.; et al. Synthesis of SARS-CoV-2 Mpro inhibitors bearing a cinnamic ester warhead with in vitro activity against human coronaviruses. Org. Biomol. Chem. 2023, 21, 3811. [Google Scholar] [CrossRef]
- Huang, S.; Liu, W.; Li, Y.; Zhang, K.; Zheng, X.; Wu, H.; Tang, G. Design, Synthesis, and Activity Study of Cinnamic Acid Derivatives as Potent Antineuroinflammatory Agents. ACS Chem. Neurosci. 2021, 12, 419–429. [Google Scholar] [CrossRef]
- Jiang, Y.-Y.; Wu, S.; Wu, Y.-W.; Gao, Y.; Chong, D.; Sun, C.; Wei, M.-Y.; Gu, Y.-C.; Shao, C.-L.; Gu, Y. New brefeldin A-cinnamic acid ester derivatives as potential antitumor agents: Design, synthesis and biological evaluation. Eur. J. Med. Chem. 2022, 240, 114598. [Google Scholar] [CrossRef]
- Wang, S.; Chen, J.; Shi, J.; Wang, Z.; Hu, D.; Song, B. Novel cinnamic acid derivatives containing the 1,3,4-oxadiazole moiety: Design, synthesis, antibacterial activities, and mechanisms. J. Agric. Food Chem. 2021, 69, 11804–11815. [Google Scholar] [CrossRef]
- de Morais, M.C.; Medeiros, G.A.; Almeida, F.S.; Rocha, J.d.C.; Perez-Castillo, Y.; Keesen, T.d.S.L.; de Sousa, D.P. Antileishmanial activity of cinnamic acid derivatives against Leishmania infantum. Molecules 2023, 28, 2844. [Google Scholar] [CrossRef] [PubMed]
- Nazir, Y.; Saeed, A.; Rafiq, M.; Afzal, S.; Ali, A.; Latif, M.; Zuegg, J.; Hussein, W.M.; Fercher, C.; Barnard, R.T.; et al. Hydroxyl substituted benzoic acid/cinnamic acid derivatives: Tyrosinase inhibitory kinetics, anti-melanogenic activity and molecular docking studies. Bioorg. Med. Chem. Lett. 2020, 30, 126722. [Google Scholar] [CrossRef] [PubMed]
- Tang, K.; Jiang, Y.; Zhang, H.; Huang, W.; Xie, Y.; Deng, C.; Xu, H.; Song, X.; Xu, H. Design, synthesis of cinnamyl-paeonol derivatives with 1, 3-dioxypropyl as link arm and screening of tyrosinase inhibition activity in vitro. Bioorg. Chem. 2021, 106, 104512. [Google Scholar] [CrossRef]
- Lin, Z.; Xia, W.; Liu, R.; Jiang, S.; Ma, Z. Synthesis of cinnamic acid-coumarin ester analogs and inhibition of tyrosinase activity. Chin. J. Org. Chem. 2020, 40, 2980. [Google Scholar] [CrossRef]
- He, M.; Fan, M.; Liu, W.; Li, Y.; Wang, G. Design, synthesis, molecular modeling, and biological evaluation of novel kojic acid derivatives containing bioactive heterocycle moiety as inhibitors of tyrosinase and antibrowning agents. Food Chem. 2021, 362, 130241. [Google Scholar] [CrossRef]
- Ali, A.; Ashraf, Z.; Kumar, N.; Rafiq, M.; Jabeen, F.; Park, J.H.; Choi, K.H.; Lee, S.; Seo, S.-Y.; Choi, E.H.; et al. Influence of plasma-activated compounds on melanogenesis and tyrosinase activity. Sci. Rep. 2016, 6, 21779. [Google Scholar] [CrossRef]
- Mermer, A.; Demirci, S. Recent advances in triazoles as tyrosinase inhibitors. Eur. J. Med. Chem. 2023, 259, 115655. [Google Scholar] [CrossRef]
- Lin, J.; Xiao, D.; Lu, L.; Liang, B.; Xiong, Z.; Xu, X. New β-carboline derivatives as potential α-glucosidase inhibitor: Synthesis and biological activity evaluation. J. Mol. Struct. 2023, 1283, 135279. [Google Scholar] [CrossRef]
- Zhang, X.; Zheng, Y.-Y.; Hu, C.-M.; Wu, X.-Z.; Lin, J.; Xiong, Z.; Zhang, K.; Xu, X.-T. Synthesis and biological evaluation of coumarin derivatives containing oxime ester as α-glucosidase inhibitors. Arab. J. Chem. 2022, 15, 104072. [Google Scholar] [CrossRef]
- Li, M.; Li, L.; Lu, L.; Xu, X.; Hu, J.; Peng, J.-B. Anti-α-glucosidase, SAR analysis, and mechanism investigation of indolo [1,2-b]isoquinoline derivatives. Molecules 2023, 28, 5282. [Google Scholar] [CrossRef] [PubMed]
- Wu, X.-Z.; Zhu, W.-J.; Lu, L.; Hu, C.-M.; Zheng, Y.-Y.; Zhang, X.; Lin, J.; Wu, J.-Y.; Xiong, Z.; Zhang, K.; et al. Synthesis and anti-α-glucosidase activity evaluation of betulinic acid derivatives. Arab. J. Chem. 2023, 16, 104659. [Google Scholar] [CrossRef]
- YHu, G.; Gao, Z.P.; Zheng, Y.Y.; Lin, J.; Wu, X.Z.; Zhang, X.; Zhou, Y.S.; Xiong, Z.; Zhu, D.Y. Synthesis and biological activity evaluation of 2-cyanopyrrole derivatives as potential tyrosinase inhibitors. Front. Chem. 2022, 10, 540. [Google Scholar]
- Alizadeh, N.; Sayahi, M.H.; Iraji, A.; Yazzaf, R.; Moazzam, A.; Mobaraki, K.; Adib, M.; Attarroshan, M.; Larijani, B.; Rastegar, H.; et al. Evaluating the effects of disubstituted 3-hydroxy-1H-pyrrol-2(5H)-one analog as novel tyrosinase inhibitors. Bioorg. Chem. 2022, 126, 105876. [Google Scholar] [CrossRef]
- Lu, L.; Zhang, X.; Kang, Y.; Xiong, Z.; Zhang, K.; Xu, X.; Bai, L.; Li, H. Novel coumarin derivatives as potential tyrosinase inhibitors: Synthesis, binding analysis and biological evaluation. Arab. J. Chem. 2023, 16, 104724. [Google Scholar] [CrossRef]
- Fan, M.; Yang, W.; Peng, Z.; He, Y.; Wang, G. Chromone-based benzohydrazide derivatives as potential α-glucosidase inhibitor: Synthesis, biological evaluation and molecular docking study. Bioorg. Chem. 2023, 131, 106–276. [Google Scholar] [CrossRef]
- Nunes, J.A.; Araújo, R.S.A.D.; Silva, F.N.D.; Cytarska, J.; Łączkowski, K.Z.; Cardoso, S.H.; Mendonça-Júnior, F.J.B.; Silva-Júnior, E.F.D. Coumarin-based compounds as inhibitors of tyrosinase/tyrosine hydroxylase: Synthesis, kinetic studies, and in silico approaches. Int. J. Mol. Sci. 2023, 24, 5216. [Google Scholar] [CrossRef]
- Cui, Y.; Chen, M.; Lin, G.; Duan, W.; Li, Q.; Zou, R.; Cen, B. Synthesis, antifungal activity and molecular docking study of 1,3,4-thiadiazole-urea compounds containing gem-dimethylcyclopropane ring structure. Chin. J. Org. Chem. 2022, 42, 3784–3797. [Google Scholar]
- Sun, C.; Zhang, F.; Zhang, H.; Li, P.; Jiang, L. Design, synthesis, fungicidal activity and molecular docking study of novel 2-(1-methyl-1h-pyrazol-4-yl)pyrimidine-4-carboxamides. Chin. J. Org. Chem. 2023, 43, 229–235. [Google Scholar] [CrossRef]
- Hemachandran, H.; Jain, F.; Mohan, S.; Kumar, T.D.; Doss, G.P.C.; Ramamoorthy, S. Glandular hair constituents of Mallotus philippinensis Muell. fruit act as tyrosinase inhibitors: Insights from enzyme kinetics and simulation study. Int. J. Biol. Macromol. 2018, 107, 1675–1682. [Google Scholar] [CrossRef]
Disclaimer/Publisher’s Note: The statements, opinions and data contained in all publications are solely those of the individual author(s) and contributor(s) and not of MDPI and/or the editor(s). MDPI and/or the editor(s) disclaim responsibility for any injury to people or property resulting from any ideas, methods, instructions or products referred to in the content. |
© 2023 by the authors. Licensee MDPI, Basel, Switzerland. This article is an open access article distributed under the terms and conditions of the Creative Commons Attribution (CC BY) license (https://creativecommons.org/licenses/by/4.0/).







