Structural and Magnetic Properties of Perovskite Functional Nanomaterials La1−xRxFeO3 (R = Co, Al, Nd, Sm) Obtained Using Sol-Gel
Abstract
1. Introduction
2. Results and Discussion
2.1. XRD Analysis of La1−xRxFeO3 (R = Co)
2.2. XRD and TG-DTA Analysis of La1−xRxFeO3 (R = Al)
2.3. XRD and TG-DTA Analysis of La1−xRxFeO3 (R = Nd)
2.4. XRD and TG-DTA Analysis of La1−xRxFeO3 (R = Sm)
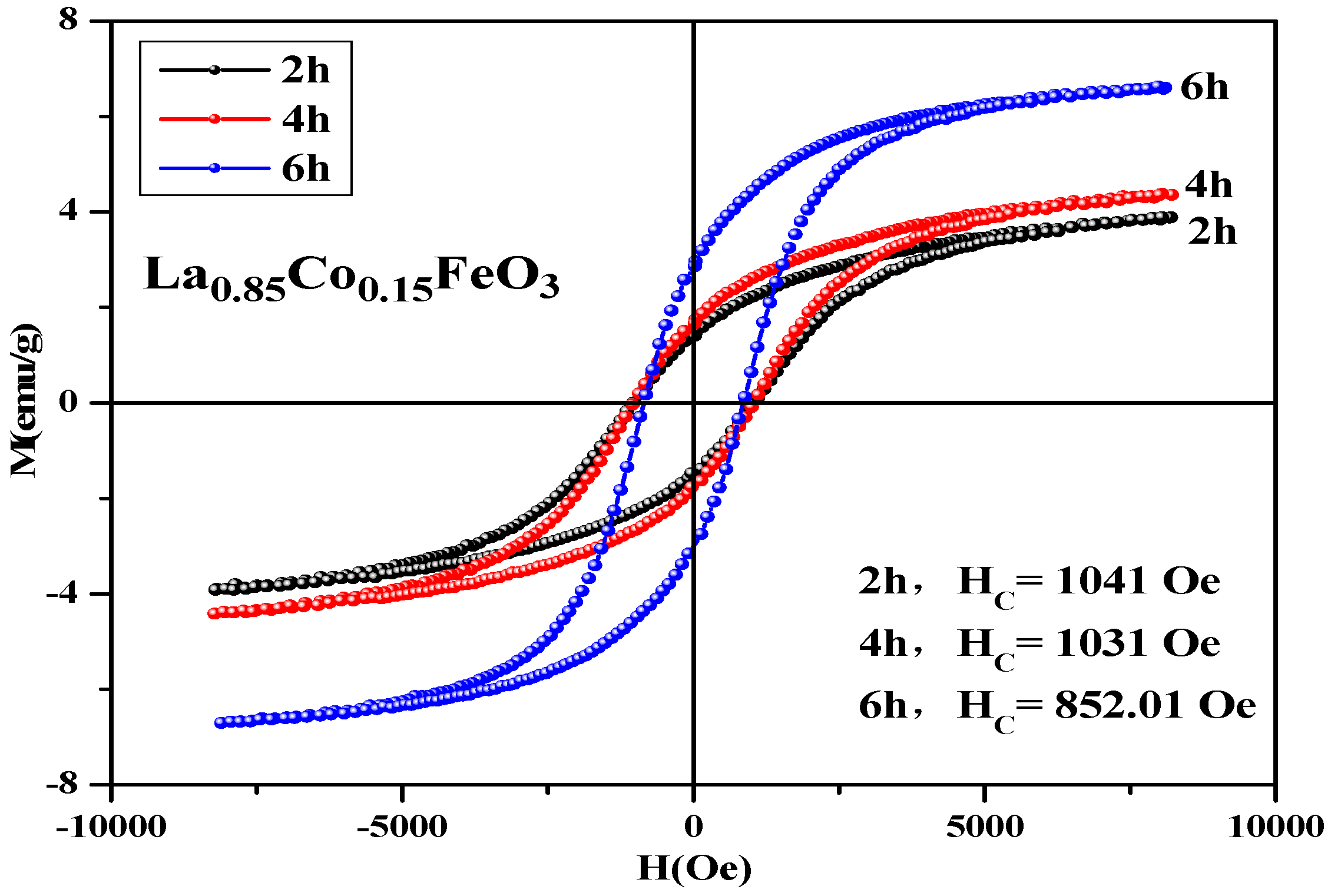
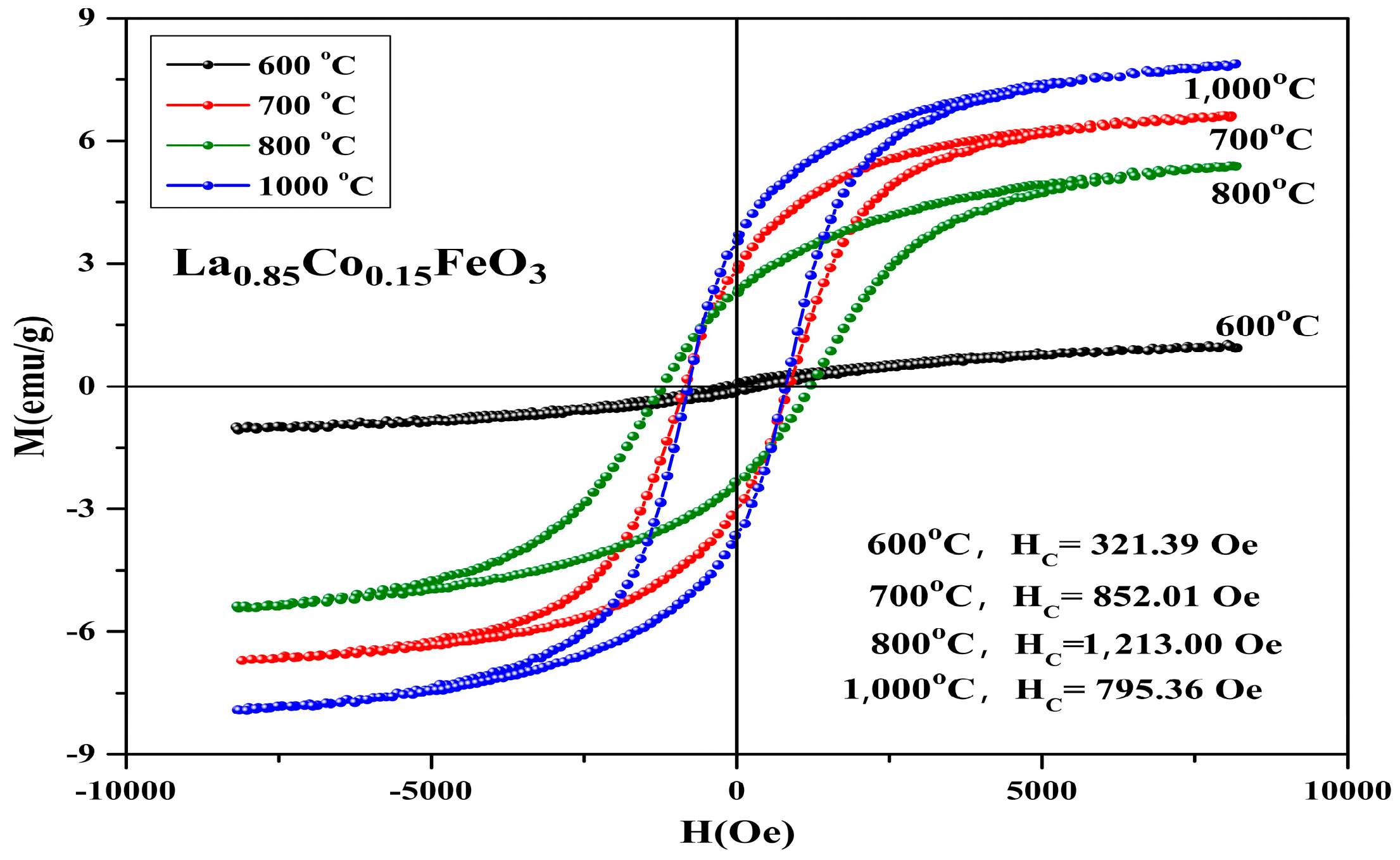
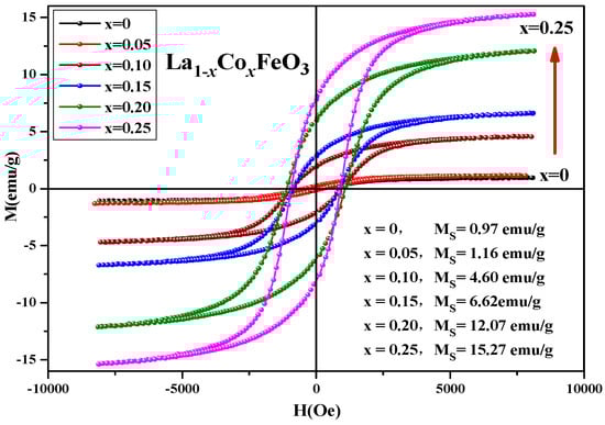
2.5. Magnetic Analysis of La1−xRxFeO3 (R = Co)
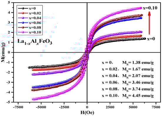
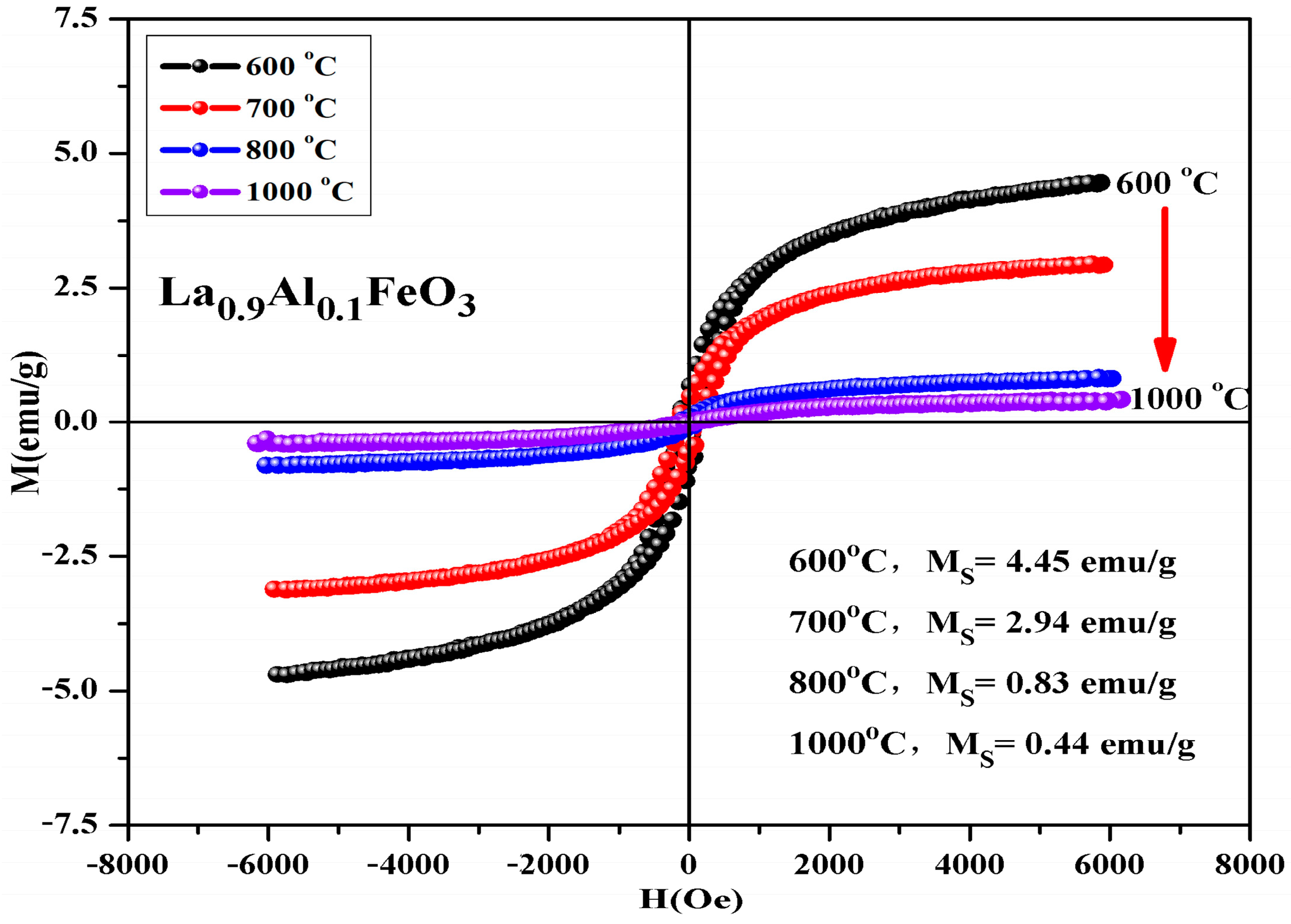
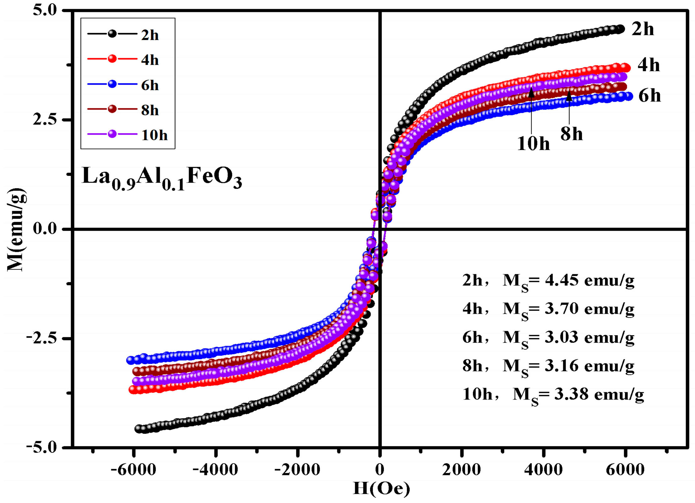
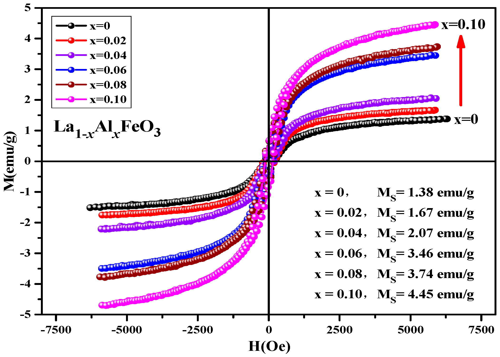
2.6. Magnetic Analysis of La1−xRxFeO3 (R = Al)
2.7. Magnetic Analysis of La1−xRxFeO3 (R = Nd)
2.8. Magnetic Analysis of La1−xRxFeO3 (R = Sm)
3. Experimental
4. Conclusions
Author Contributions
Funding
Institutional Review Board Statement
Informed Consent Statement
Data Availability Statement
Acknowledgments
Conflicts of Interest
Sample Availability
References
- Li, F.-T.; Liu, Y.; Li, Z.-J.; Liu, R.-H.; Yin, R. Preparation and visible-light photocatalytic activity of Nd-doped LaFeO3 nanopowders. Nanotechnol. Precis. Eng. 2010, 8, 231–234. [Google Scholar]
- Traversa, E.; Nunziante, P.; Sangaletti, L.; Allieri, B.; Depero, L.E.; Aono, H.; Sadaoka, Y. Synthesis and Structural Characterization of Trimetallic Perovskite-Type Rare-Earth Orthoferrites, LaxSm1−xFeO3. J. Am. Ceram. Soc. 2000, 83, 1087–1092. [Google Scholar] [CrossRef]
- Ge, X.; Liu, Y.; Liu, X. Preparation and gas-sensitive properties of LaFe1−yCoyO3 semiconducting materials. Sens. Actuators B 2011, 79, 171–174. [Google Scholar] [CrossRef]
- Nejat, A.; Ece, A.; Erkan, Y. Solution combustion synthesis of LaMO3, (M=Fe, Co, Mn) perovskite nanoparticles and the measurement of their electrocatalytic properties for air cathode. Int. J. Hydrogen Energy 2013, 38, 13238–13248. [Google Scholar]
- Janbutrach, Y.; Hunpratub, S.; Swatsitang, E. Ferromagnetism and optical properties of La1−xAlxFeO3 nanopowders. Nanoscale Res. Lett. 2014, 9, 498. [Google Scholar] [CrossRef]
- Khine, M.S.S.; Chen, L.; Zhang, S.; Lin, J.; Jiang, S.P. Syngas production by catalytic partial oxidation of methane over (La0.7A0.3)BO3 (A = Ba, Ca, Mg, Sr, and B = Cr or Fe) perovskite oxides for portable fuel cell applications. Int. J. Hydrogen Energy 2013, 38, 13300–13308. [Google Scholar] [CrossRef]
- Liu, L.; Han, A.; Ye, M.; Zhao, M. Synthesis and characterization of Al3+ doped LaFeO3 compounds: A novel inorganic pigments with high near-infrared reflectance. Sol. Energy Mater. Sol. Cells 2015, 132, 377–384. [Google Scholar] [CrossRef]
- Yin, X.-T.; Huang, H.; Xie, J.-L.; Dastan, D.; Li, J.; Liu, Y.; Tan, X.-M.; Gao, X.-C.; Shah, W.A.; Ma, X.-G. High-performance visible-light active Sr-doped porous LaFeO3 semiconductor prepared via sol–gel method. Green Chem. Lett. Rev. 2022, 15, 546–556. [Google Scholar] [CrossRef]
- Saikia, N.; Chakravarty, R.; Bhattacharjee, S.; Hota, R.; Parida, R.; Parida, B. Synthesis and characterization of Gd-doped LaFeO3 for device application. Mater. Sci. Semicond. Process. 2022, 151, 106969. [Google Scholar] [CrossRef]
- Aranthady, C.; Jangid, T.; Gupta, K.; Mishra, A.K.; Kaushik, S.; Siruguri, V.; Rao, G.M.; Shanbhag, G.V.; Sundaram, N.G. Selective SO2 detection at low concentration by Ca substituted LaFeO3 chemiresistive gas sensor: A comparative study of LaFeO3 pellet vs thin film. Sens. Actuators B Chem. 2021, 329, 129211. [Google Scholar] [CrossRef]
- Rao, Y.; Zhang, Y.; Fan, J.; Wei, G.; Wang, D.; Han, F.; Huang, Y.; Croué, J.-P. Enhanced peroxymonosulfate activation by Cu-doped LaFeO3 with rich oxygen vacancies: Compound-specific mechanisms. Chem. Eng. J. 2022, 435, 134882. [Google Scholar] [CrossRef]
- Haron, W.; Thaweechai, T.; Wattanathana, W.; Laobuthee, A.; Manaspiya, H.; Veranitisagul, C.; Koonsaeng, N. Structural Characteristics and Dielectric Properties of La1−xCoxFeO3 and LaFe1−xCoxO3 Synthesized via Metal Organic Complexes. Energy Procedia 2013, 34, 791–800. [Google Scholar] [CrossRef]
- Pechini, M.P. Method of Preparing Lead and Alkaline Earth Titanates and Niobates and Coating Method Using the Same to Form a Capacitor. U.S. Patent No. 3330697, 11 July 1967. [Google Scholar]
- Bhat, I.; Husain, S.; Khan, W.; Patil, S.I. Effect of Zn doping on structural, magnetic and dielectric properties of LaFeO3 synthesized through sol-gel auto-combustion process. Mater. Res. Bull. 2013, 48, 4506–4512. [Google Scholar] [CrossRef]
- Yatoo, M.A.; Du, Z.; Yang, Z.; Zhao, H.; Skinner, S.J. LaxPr4−xNi3O10−δ: Mixed A-Site Cation Higher-Order Ruddlesden-Popper Phase Materials as Intermediate-Temperature Solid Oxide Fuel Cell Cathodes. Crystals 2020, 10, 428. [Google Scholar] [CrossRef]
- Li, S.; Jing, L.; Fu, W.; Yang, L.; Xin, B.; Fu, H. Photoinduced charge property of nanosized perovskite-type LaFeO3 and its relationships with photocatalytic activity under visible irradiation. Mater. Res. Bull. 2007, 42, 203–212. [Google Scholar] [CrossRef]
- Yatoo, M.A.; Seymour, I.D.; Skinner, S.J. Neutron diffraction and DFT studies of oxygen defect and transport in higher-order Ruddlesden–Popper phase materials. RSC Adv. 2023, 13, 13786–13797. [Google Scholar] [CrossRef] [PubMed]
- Gaikwad, V.M.; Acharya, S.A. Novel perovskite-spinel composite approach to enhance the magnetization of LaFeO3. RSC Adv. 2015, 5, 14366–14373. [Google Scholar] [CrossRef]
- Gou, L.; Shen, X.; Song, F.; Lin, L.; Zhu, Y. Structure and magnetic property of CoFe2−xSmxO4 (x = 0–0.2) nanofibers prepared by Sol-gel route. Mater. Chem. Phys. 2011, 129, 943–947. [Google Scholar]
- Abdel-Khalek, E.K.; Mohamed, H.M. Synthesis, structural and magnetic properties of La1−xCaxFeO3 prepared by the co-precipitation method. Hyperfine Interact. 2013, 222, S57–S67. [Google Scholar] [CrossRef]
- Abazari, R.; Sanati, S. Perovskite LaFeO3 nanoparticles synthesized by the reverse microemulsion nanoreactors in the presence of aerosol-OT: Morphology, crystal structure, and their optical properties. Superlattices Microstruct. 2013, 64, 148–157. [Google Scholar] [CrossRef]
- Abazari, R.; Sanati, S.; Saghatforoush, L.A. A unique and facile preparation of lanthanum ferrite nanoparticles in emulsion nanoreactors Morphology, structure, and efficient photocatalysis. Mater. Sci. Semicond. Process. 2014, 25, 301–306. [Google Scholar] [CrossRef]
- Lebid, M.; Omari, M. Synthesis and Electrochemical Properties of LaFeO3 Oxides Prepared Via Sol-Gel Method. Arab. J. Sci. Eng. 2014, 39, 147–152. [Google Scholar] [CrossRef]
- Thirumalairajan, S.; Girija, K.; Ganesh, V.; Mangalaraj, D.; Viswanathan, C.; Ponpandian, N. Novel synthesis of LaFeO3 nanostructure dendrites a systematic investigation of growth mechanism, properties, and biosensing for highly selective determination of neurotransmitter compounds. Cryst. Growth Des. 2013, 13, 291–302. [Google Scholar] [CrossRef]
- Li, M.; Feng, M.; Guo, C.; Qiu, S.; Zhang, L.; Zhao, D.; Guo, H.; Zhang, K.; Wang, F. Green and Efficient Al-Doped LaFexAl1−xO3 Perovskite Oxide for Enhanced Phosphate Adsorption with Creation of Oxygen Vacancies. ACS Appl. Mater. Interfaces 2023, 15, 16942–16952. [Google Scholar] [CrossRef]
- Berger, C.; Bucher, E.; Lammer, J.; Nader, C.; Sitte, W. Fundamental material property trends in the La0.8−xNdxCa0.2FeO3−δ series: Crystal structure and thermal expansion. J. Mater. Sci. 2021, 56, 10191–10203. [Google Scholar] [CrossRef]
- Ateia, E.E.; Ismail, H.; Elshimy, H.; Abdelmaksoud, M.K. Structural and Magnetic Tuning of LaFeO3 Orthoferrite Substituted Different Rare Earth Elements to Optimize Their Technological Applications. J. Inorg. Organomet. Polym. Mater. 2021, 31, 1713–1725. [Google Scholar] [CrossRef]
- Nakhaei, M.; Khoshnoud, D.S. Study on structural, magnetic and electrical properties of ReFeO3 (Re = La, Pr, Nd, Sm & Gd) orthoferrites. Phys. B Condens. Matter 2021, 612, 412899. [Google Scholar]
- Pawar, G.S.; Tahir, A.A. Unbiased Spontaneous Solar Fuel Production using Stable LaFeO3 Photoelectrode. Sci. Rep. 2018, 8, 3501. [Google Scholar] [CrossRef] [PubMed]
- Yang, J.B.; Yelon, W.B.; James, W.J.; Zhou, X.D.; Xie, Y.X.; Anderson, H.U.; Chu, Z. Magnetic and Mössbauer studies on oxygen deficient perovskite, La0.6Sr0.4FeO3−δ. J. Appl. Phys. 2002, 91, 7718–7720. [Google Scholar] [CrossRef]
- Sani, P.; Choudhary, V.; Singh, B.P.; Mathur, R.B.; Dhawan, S.K. Enhanced microwave absorption behavior of polyaniline CNT/polystyrene blend in 12.4–18.0 GHz range. Synth. Met. 2011, 161, 1522–1526. [Google Scholar] [CrossRef]
- Jiang, J.; Yang, Y.-M. Effect of Gd substitution on structural and magnetic properties of Zn-Cu-Cr ferrites prepared by novel rheological technique. Mater. Sci. Technol. 2009, 25, 415. [Google Scholar] [CrossRef]
- Rahman, S.; Nadeem, K.; Anis-ur-Rehman, M.; Mumtaz, M.; Naeem, S.; Letofsky-Papst, I. Structural and magnetic properties of ZnMg-ferrite nanoparticles prepared using theco-precipitation method. Ceram. Int. 2013, 39, 5235–5239. [Google Scholar] [CrossRef]
- Thirumalairajan, S.; Girija, K.; Ganesh, I.; Mangalaraj, D.; Viswanathan, C.; Balamurugan, A.; Ponpandian, N. Controlled synthesis of perovskite LaFeO3 microsphere composed of nanoparticles via self-assembly process and their associated photocatalytic activity. Chem. Eng. J. 2012, 209, 420–428. [Google Scholar] [CrossRef]
- Kuppan, M.; Yamamoto, D.; Egawa, G.; Kalainathan, S.; Yoshimura, S. Magnetic properties of (Bi1−xLax)(Fe,Co)O3 films fabricated by a pulsed DC reactive sputtering and demonstration of magnetization reversal by electric field. Sci. Rep. 2021, 11, 11118. [Google Scholar] [CrossRef]
- Sanpo, N.; Berndt, C.C.; Wen, C.; Wang, J. Transition metal-substituted cobalt ferrite nanoparticles for biomedical applications. Acta Biomater. 2013, 9, 5830–5837. [Google Scholar] [CrossRef]
- Jia, L.; Lloyd, M.D.; Lees, M.R.; Huang, L.; Walton, R.I. Limits of Solid Solution and Evolution of Crystal Morphology in (La1−xREx)FeO3 Perovskites by Low Temperature Hydrothermal Crystallization. Inorg. Chem. 2023, 62, 4503–4513. [Google Scholar] [CrossRef]





















| Content (x) | a (Å) | b (Å) | c (Å) | Vol (Å3) | Density | Crystallite (nm) |
|---|---|---|---|---|---|---|
| 0 | 5.56631 | 7.86474 | 5.55496 | 243.18 | 6.6303 | 22 |
| 0.02 | 5.55067 | 7.85841 | 5.55787 | 242.43 | 6.6509 | 21 |
| 0.04 | 5.55676 | 7.85729 | 5.55981 | 242.75 | 6.6422 | 20 |
| 0.06 | 5.54878 | 7.84785 | 5.55199 | 241.77 | 6.6692 | 21 |
| 0.08 | 5.54461 | 7.84311 | 5.55592 | 241.61 | 6.6735 | 18 |
| 0.1 | 5.5407 | 7.84001 | 5.54634 | 240.93 | 6.6924 | 18 |
| Temperature (°C) | a (Å) | b (Å) | c (Å) | Vol (Å3) | Density | Crystallite (nm) |
|---|---|---|---|---|---|---|
| 600 | 5.5407 | 7.84001 | 5.54634 | 240.93 | 6.6924 | 18 |
| 800 | 5.54272 | 7.84423 | 5.55089 | 241.34 | 6.6808 | 21 |
| 1000 | 5.55049 | 7.85035 | 5.54689 | 241.7 | 6.6711 | 66 |
| Content (x) | a (Å) | b (Å) | c (Å) | Vol (Å3) | Density | Crystallite (nm) |
|---|---|---|---|---|---|---|
| 0 | 5.56716 | 7.87553 | 5.56760 | 244.11 | 6.6052 | 30 |
| 0.05 | 5.56559 | 7.86565 | 5.55402 | 243.14 | 6.6315 | 21 |
| 0.10 | 5.56556 | 7.86231 | 5.54953 | 242.84 | 6.6397 | 21 |
| 0.15 | 5.55551 | 7.85002 | 5.55155 | 242.11 | 6.6598 | 23 |
| 0.20 | 5.55488 | 7.85779 | 5.56101 | 242.73 | 6.6426 | 23 |
| 0.25 | 5.54714 | 7.84794 | 5.55431 | 241.80 | 6.6683 | 23 |
| x | a (Å) | b (Å) | c (Å) | Vol (Å3) | Density (g/cm3) | Crystallite (nm) |
|---|---|---|---|---|---|---|
| 0 | 5.56723 | 7.87386 | 5.56872 | 244.11 | 6.6052 | 29 |
| 0.1 | 5.56808 | 7.85908 | 5.55037 | 242.88 | 6.6385 | 27 |
| 0.2 | 5.53643 | 7.85412 | 5.58219 | 242.73 | 6.6426 | 24 |
| 0.3 | 5.53733 | 7.85037 | 5.56868 | 242.07 | 6.6608 | 20 |
| 0.4 | 5.57219 | 7.83427 | 5.51067 | 240.56 | 6.7025 | 19 |
| 0.5 | 5.60195 | 7.81511 | 5.4613 | 239.09 | 6.7437 | 19 |
| Content (x) | 0 | 0.05 | 0.10 | 0.15 | 0.20 | 0.25 |
|---|---|---|---|---|---|---|
| Ms (emu/g) | 0.97 | 1.16 | 4.60 | 6.62 | 12.07 | 15.27 |
| Mr (emu/g) | 0.05 | 0.19 | 1.91 | 2.83 | 5.91 | 7.70 |
| Hc (Oe) | 92.51 | 347.27 | 944.62 | 852.01 | 1087 | 921.26 |
| Temperature (°C) | 600 | 700 | 800 | 1000 |
|---|---|---|---|---|
| Ms (emu/g) | 1.01 | 6.62 | 5.39 | 7.88 |
| Mr (emu/g) | 0.12 | 2.83 | 2.28 | 3.51 |
| Hc (Oe) | 321.39 | 852.01 | 1213 | 795.36 |
| Time (Hour) | 2 h | 4 h | 6 h |
|---|---|---|---|
| Ms (emu/g) | 3.89 | 4.38 | 6.62 |
| Mr (emu/g) | 1.39 | 1.65 | 2.83 |
| Hc (Oe) | 1041 | 1031 | 852.01 |
| Content (x) | 0 | 0.02 | 0.04 | 0.06 | 0.08 | 0.10 |
|---|---|---|---|---|---|---|
| Ms (emu/g) | 1.38 | 1.67 | 2.07 | 3.46 | 3.74 | 4.45 |
| Mr (emu/g) | 0.20 | 0.34 | 0.32 | 0.58 | 0.60 | 0.63 |
| Hc (Oe) | 178.05 | 196.65 | 167.01 | 156.40 | 151.11 | 140.21 |
| Temperature (°C) | 600 | 700 | 800 | 1000 |
|---|---|---|---|---|
| Ms (emu/g) | 4.45 | 2.94 | 0.83 | 0.44 |
| Mr (emu/g) | 0.63 | 0.45 | 0.09 | 0.02 |
| Hc (Oe) | 140.21 | 146.65 | 131.46 | 115.69 |
| Time (Hour) | 2 h | 4 h | 6 h | 8 h | 10 h |
|---|---|---|---|---|---|
| Ms (emu/g) | 4.45 | 3.70 | 3.03 | 3.16 | 3.38 |
| Mr (emu/g) | 0.63 | 0.63 | 0.50 | 0.49 | 0.53 |
| Hc (Oe) | 140.21 | 177.76 | 147.03 | 145.80 | 145.55 |
| Content (x) | 0 | 0.05 | 0.15 | 0.20 | 0.25 |
|---|---|---|---|---|---|
| Ms (emu/g) | 0.57 | 1.33 | 1.46 | 2.10 | 1.64 |
| Mr (emu/g) | 0.04 | 0.13 | 0.17 | 0.30 | 0.28 |
| Hc (Oe) | 148.15 | 153.51 | 168.90 | 159.21 | 179.53 |
| Content (x) | 0 | 0.1 | 0.2 | 0.3 | 0.4 | 0.5 |
|---|---|---|---|---|---|---|
| Ms(emu/g) | 0.7 | 0.47 | 0.73 | 0.86 | 1.4 | 1.69 |
| Mr (emu/g) | 0.05 | 0.06 | 0.08 | 0.13 | 0.19 | 0.25 |
| HC (Oe) | 145.95 | 181.19 | 168.12 | 172.41 | 163.57 | 158.89 |
Disclaimer/Publisher’s Note: The statements, opinions and data contained in all publications are solely those of the individual author(s) and contributor(s) and not of MDPI and/or the editor(s). MDPI and/or the editor(s) disclaim responsibility for any injury to people or property resulting from any ideas, methods, instructions or products referred to in the content. |
© 2023 by the authors. Licensee MDPI, Basel, Switzerland. This article is an open access article distributed under the terms and conditions of the Creative Commons Attribution (CC BY) license (https://creativecommons.org/licenses/by/4.0/).
Share and Cite
Yang, F.; Yang, X.; Su, K.; Lin, J.; He, Y.; Lin, Q. Structural and Magnetic Properties of Perovskite Functional Nanomaterials La1−xRxFeO3 (R = Co, Al, Nd, Sm) Obtained Using Sol-Gel. Molecules 2023, 28, 5745. https://doi.org/10.3390/molecules28155745
Yang F, Yang X, Su K, Lin J, He Y, Lin Q. Structural and Magnetic Properties of Perovskite Functional Nanomaterials La1−xRxFeO3 (R = Co, Al, Nd, Sm) Obtained Using Sol-Gel. Molecules. 2023; 28(15):5745. https://doi.org/10.3390/molecules28155745
Chicago/Turabian StyleYang, Fang, Xingxing Yang, Kaimin Su, Jinpei Lin, Yun He, and Qing Lin. 2023. "Structural and Magnetic Properties of Perovskite Functional Nanomaterials La1−xRxFeO3 (R = Co, Al, Nd, Sm) Obtained Using Sol-Gel" Molecules 28, no. 15: 5745. https://doi.org/10.3390/molecules28155745
APA StyleYang, F., Yang, X., Su, K., Lin, J., He, Y., & Lin, Q. (2023). Structural and Magnetic Properties of Perovskite Functional Nanomaterials La1−xRxFeO3 (R = Co, Al, Nd, Sm) Obtained Using Sol-Gel. Molecules, 28(15), 5745. https://doi.org/10.3390/molecules28155745
