Preparation of NH4Cl-Modified Carbon Materials via High-Temperature Calcination and Their Application in the Negative Electrode of Lead-Carbon Batteries
Abstract
1. Introduction
2. Results and Discussion
2.1. Characterization and Analysis of NCC Materials
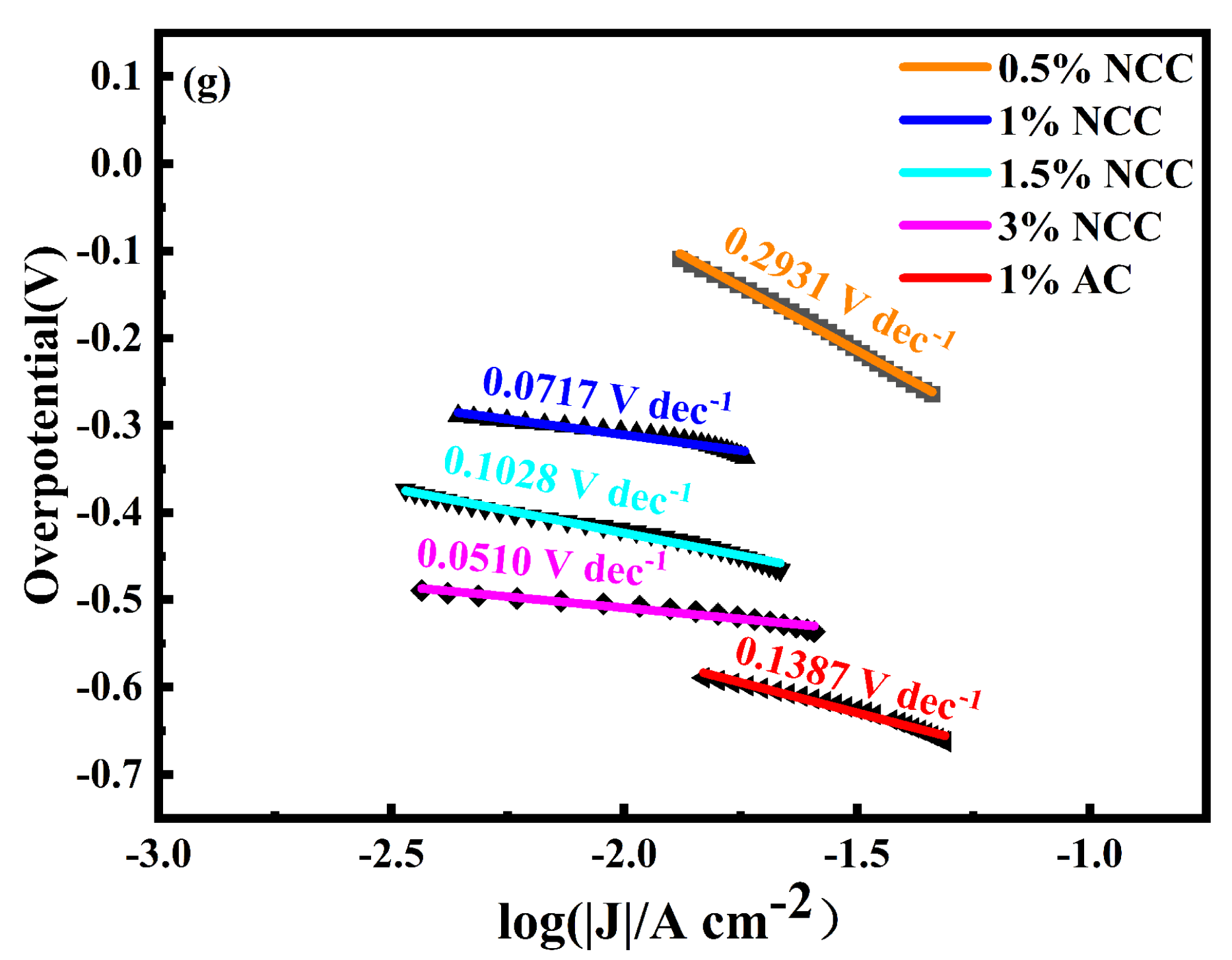
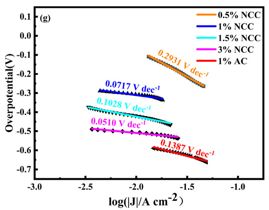
2.2. Electrochemical Properties of Electrode Plates
2.3. Battery Performance Test
3. Experimental Materials and Methods
3.1. Material Preparation
3.2. Preparation of Negative Plates
3.3. Material Characterization and Electrochemical Testing
4. Working Principle
5. Conclusions
Author Contributions
Funding
Institutional Review Board Statement
Informed Consent Statement
Data Availability Statement
Acknowledgments
Conflicts of Interest
Sample Availability
References
- Marom, R.; Ziv, B.; Banerjee, A.; Cahana, B.; Luski, S.; Aurbach, D. Enhanced performance of starter lighting ignition type lead-acid batteries with carbon nanotubes as an additive to the active mass. J. Power Sources 2015, 296, 78–85. [Google Scholar] [CrossRef]
- Moseley, P.T.; Rand, D.; Monahov, B. Designing lead–acid batteries to meet energy and power requirements of future automobiles. J. Power Sources 2012, 219, 75–79. [Google Scholar] [CrossRef]
- Saravanan, M.; Ganesan, M.; Ambalavanan, S. An in situ generated carbon as integrated conductive additive for hierarchical negative plate of lead-acid battery. J. Power Sources 2014, 251, 20–29. [Google Scholar] [CrossRef]
- Yin, J.; Lin, H.B.; Shi, J.; Lin, Z.Q.; Bao, J.P.; Wang, Y.; Lin, X.L.; Qin, Y.L.; Qiu, X.Q.; Zhang, W.L. Lead-Carbon Batteries toward Future Energy Storage: From Mechanism and Materials to Applications. Electrochem. Energy Rev. 2022, 5, 2. [Google Scholar] [CrossRef]
- Yin, J.; Lin, N.; Lin, Z.Q.; Wang, Y.; Shi, J.; Bao, J.P.; Lin, H.B.; Feng, S.H.; Zhang, W.L. Towards renewable energy storage: Understanding the roles of rice husk-based hierarchical porous carbon in the negative electrode of lead-carbon battery. J. Energy Storage 2019, 24, 100756. [Google Scholar] [CrossRef]
- Boden, D.P.; Loosemore, D.V.; Spence, M.A.; Wojcinski, T.D. Optimization studies of carbon additives to negative active material for the purpose of extending the life of VRLA batteries in high-rate partial-state-of-charge operation. J. Power Sources 2010, 195, 4470–4493. [Google Scholar] [CrossRef]
- Pavlov, D.; Nikolov, P. Capacitive carbon and electrochemical lead electrode systems at the negative plates of lead-acid batteries and elementary processes on cycling. J. Power Sources 2013, 242, 380–399. [Google Scholar] [CrossRef]
- Shen, C.; Feng, C.; Zhang, N.; Yang, B.; Su, L.; Wang, L. Hierarchical porous carbon material regenerated from natural bamboo-leaf: How to improve the performance of lead-carbon batteries? J. Power Sources 2021, 516, 230664. [Google Scholar] [CrossRef]
- Zhang, W.L.; Lin, H.B.; Lu, H.Y.; Liu, D.C.; Yin, J.; Lin, Z.Q. On the electrochemical origin of the enhanced charge acceptance of the lead–carbon electrode. J. Mater. Chem. A 2015, 3, 4399–4404. [Google Scholar] [CrossRef]
- Wang, F.; Hum, C.; Zhou, M.; Wang, K.; Lian, J.; Yan, J.; Cheng, S.; Jiang, K. Research progresses of cathodic hydrogen evolution in advanced lead-acid batteries. Sci. Bull. 2016, 61, 451–458. [Google Scholar] [CrossRef]
- Lin, Z.; Lin, N.; Lin, H.B.; Zhang, W.L. Significance of PbO deposition ratio in activated carbon-based lead-carbon composites for lead-carbon battery under high-rate partial-state-of-charge operation. Electrochim. Acta 2020, 338, 135868. [Google Scholar] [CrossRef]
- Wang, L.; Zhang, H.; Zhang, W.; Cao, G.; Zhao, H.; Yang, Y. Enhancing cycle performance of lead-carbon battery negative electrodes by lead-doped porous carbon composite and graphite additives. Mater. Lett. 2017, 206, 113–116. [Google Scholar] [CrossRef]
- Wang, J.; Hou, H.; Hu, J.; Wu, X.; Hu, Y.; Li, M.; Yu, W.; Zhang, P.; Liang, S.; Xiao, K. Mechano-chemical synthesis of high-stable PbO@C composite for enhanced performance of lead-carbon battery. Electrochim. Acta 2019, 299, 682–691. [Google Scholar] [CrossRef]
- Xiang, J.; Hu, C.; Chen, L.; Zhang, D.; Ding, P.; Chen, D.; Liu, H.; Chen, J.; Wu, X.; Lai, X. Enhanced performance of Zn(II)-doped lead-acid batteries with electrochemical active carbon in negative mass. J. Power Sources 2016, 328, 8–14. [Google Scholar] [CrossRef]
- Yin, J.; Lin, N.; Lin, Z.; Wang, Y.; Zhang, W. Hierarchical porous carbon@PbO1−x composite for high-performance lead-carbon battery towards renewable energy storage. Energy 2019, 193, 116675. [Google Scholar] [CrossRef]
- Zhao, R.; Wei, Z.; Zhang, T.; Zhao, H.; Chen, H. Preparation of PbxOy@SiOz/Carbon composite and its electrochemical properties investigation in lead-acid battery. J. Electroanal. Chem. 2018, 814, 38–44. [Google Scholar] [CrossRef]
- Hong, B.; Yu, X.; Jiang, L.; Xue, H.; Liu, F.; Li, J.; Liu, Y. Hydrogen evolution inhibition with diethylenetriamine modification of activated carbon for a lead-acid battery. RSC Adv. 2014, 63, 33574–33577. [Google Scholar] [CrossRef]
- Fasolino, A.; Los, J.H.; Katsnelson, M.I. Intrinsic ripples in graphene. Nat. Mater. 2007, 11, 858–861. [Google Scholar] [CrossRef]
- Jannik, C.; Geim, A.K.; Katsnelson, M.I. The structure of suspended graphene sheets. Nature 2007, 446, 60–63. [Google Scholar]
- Li, H.; Song, L.Y.; Huo, D.X.; Yang, Y.; Zhang, N.; Liang, J.L. Cattail-grass-derived porous carbon as high-capacity anode material for Li-Ion batteries. Molecules 2023, 28, 4427. [Google Scholar] [CrossRef]
- Cheng, D.J.; Zhou, X.Q.; Hu, H.Y.; Li, Z.H.; Chen, J.; Miao, L.; Ye, X.J.; Zhang, H.Y. Electrochemical storage mechanism of sodium in carbon materials: A study from soft carbon to hard carbon. Carbon 2021, 182, 758–769. [Google Scholar] [CrossRef]
- Cheng, B.S.; Li, X.; Pan, L.H.; Xu, H.Q.; Duan, H.J.; Wu, Q.; Yin, B.; He, H.Y. Ultra-Thin wrinkled carbon sheet as an anode material of high-power-density potassium-ion batteries. Molecules 2022, 27, 2973. [Google Scholar] [CrossRef] [PubMed]
- Wang, Y.H.; Zhao, Z.Y.; Song, W.W.; Wang, Z.C.; Wu, X.L. From biological waste to honeycomb-like porous carbon for high energy density supercapacitor. J. Mater. Sci. 2019, 54, 4917–4927. [Google Scholar] [CrossRef]
- Yao, Y.C.; Zhang, Q.; Liu, P.; Yu, L.; Huang, L.; Zeng, S.Z.; Liu, L.J.; Zeng, X.R.; Zou, J.Z. Facile synthesis of high-surface-area nanoporous carbon from biomass resources and its application in supercapacitors. RSC Adv. 2018, 4, 1857–1865. [Google Scholar] [CrossRef] [PubMed]
- Liu, Y.; Tao, F.; Xing, Y.B.; Pei, Y.F.; Ren, F.Z. Melamine foam-derived carbon scaffold for dendrite-free and stable zinc metal anode. Molecules 2023, 28, 1742. [Google Scholar] [CrossRef] [PubMed]
- Wei, D.; Wang, X.N.; Sun, X.Q.; Zhan, J.; Zhang, H.D.; Zhao, X.J. Nitrogen-doped hierarchical porous carbon using biomass-derived activated carbon/carbonized polyaniline composites for supercapacitor electrodes. J. Electroanal. Chem. 2018, 82, 213–220. [Google Scholar]
- Zhang, D.Q.; Wang, J.X.; Wang, Q.; Huang, S.Y.; Feng, H.X.; Luo, H.M. Nitrogen self-doped porous carbon material derived from metal-organic framework for high-performance super-capacitors. J. Energy Storage 2019, 25, 100904. [Google Scholar] [CrossRef]
- Buga, M.R.; Spinu-Zaulet, A.A.; Ungureanu, C.G.; Mitran, R.A.; Neatu, F. Carbon-coated SiO2 composites as promising anode material for li-ion batteries. Molecules 2021, 26, 4531. [Google Scholar] [CrossRef]
- Pablo, S.F.; Castro, E.B.; Real, S.G.; Arnaldo, V.; Ana, A.; Esther, G.C.; Emilio, J.J.P.; Angel, J.M.; Maria, E.M. Electrochemical behavior and capacitance properties of carbon xerogel/multiwalled carbon nanotubes composites. J. Solid State Electrochem. 2011, 16, 1067–1076. [Google Scholar]
- Chen, Y.; Chen, B.Z.; Ma, L.W.; Yuan, Y. Influence of pitch-based carbon foam current collectors on the electrochemical properties of lead acid battery negative electrodes. J. Appl. Electrochem. 2008, 38, 1409–1413. [Google Scholar] [CrossRef]
- Yin, J.; Lin, N.; Lin, Z.; Wang, Y.; Shi, J.; Bao, J.P.; Lin, H.B.; Zhang, W.L. Optimized lead carbon composite for enhancing the performance of lead-carbon battery under HRPSoC operation. J. Electroanal. Chem. 2018, 832, 266–274. [Google Scholar] [CrossRef]
- Zhang, W.L.; Yin, J.; Lin, Z.Q.; Shi, J.; Wang, C.; Liu, D.B.; Wang, Y.; Bao, J.P.; Lin, H.B. Lead-carbon electrode designed for renewable energy storage with superior performance in partial state of charge operation. J. Power Sources 2017, 342, 183–191. [Google Scholar] [CrossRef]
- Sun, Z.; Cao, H.B.; Zhang, X.H.; Lin, X.; Zheng, W.W.; Cao, G.Q.; Sun, Y.; Zhang, Y. Spent lead-acid battery recycling in China—A review and sustainable analyses on mass flow of lead. Waste Manag. 2017, 64, 190–201. [Google Scholar] [CrossRef] [PubMed]
- Gu, J.; Zhong, J.; Zhu, K.D.; Wang, X.R.; Wang, S.L. In-situ synthesis of novel nanostructured Pb@C composites for improving the performance of lead-acid batteries under high-rate partial-state-of-charge operation—ScienceDirect. J. Energy Storage 2020, 33, 102082. [Google Scholar] [CrossRef]
- Pavlov, D. Processes of formation of divalent lead oxide compounds on anodic oxidation of lead in sulphuric acid—ScienceDirect. Electrochim. Acta 1968, 13, 2051–2061. [Google Scholar] [CrossRef]
- Pavlov, D.; Rogachev, T.; Nikolov, P.; Petkove, G. Mechanism of action of electrochemically active carbons on the processes that take place at the negative plates of lead-acid batteries. J. Power Sources 2009, 191, 58–75. [Google Scholar] [CrossRef]
- Zhang, Y.S.; Asad, A.; Li, J.C.; Xie, J.M.; Shen, P.K. Stereotaxically constructed graphene/nano lead composite for enhanced cycling performance of lead-acid batteries. J. Energy Storage 2021, 35, 102192. [Google Scholar] [CrossRef]











| Batteries | Rs | Qf | n1 | Rf | Qdl | n2 | Rct |
|---|---|---|---|---|---|---|---|
| Ω | Ω−1 sn | − | Ω | Ω−1 sn | − | Ω | |
| Blank | 1.119 | 8.031 × 10−4 | 0.6404 | 6.030 | 5.695 × 10−2 | 0.3786 | 91.00 |
| 0.5 wt.% NCC | 0.7723 | 3.227 × 10−2 | 0.7118 | 0.3357 | 42.24 × 10−2 | 0.4950 | 7.224 |
| 1 wt.% NCC | 0.4793 | 4.182 × 10−3 | 0.5504 | 0.6868 | 25.16 × 10−2 | 0.5677 | 2.954 |
| 1.5 wt.% NCC | 0.9779 | 2.740 × 10−3 | 0.6280 | 2.904 | 7.173 × 10−2 | 0.5242 | 10.63 |
| 3 wt.% NCC | 1.034 | 1.271 × 10−3 | 0.7626 | 0.9185 | 2.911 × 10−2 | 0.4490 | 17.48 |
| 1 wt.% AC | 0.9764 | 7.499 × 10−4 | 0.7207 | 2.180 | 3.239 × 10−2 | 0.5997 | 122.6 |
| Battery | Cycle Numbers |
|---|---|
| Blank | 809 |
| 0.5 wt.% NCC | 1180 |
| 1 wt.% NCC | 4324 |
| 1.5 wt.% NCC | 2961 |
| 3 wt.% NCC | 1688 |
| 1 wt.% AC | 1834 |
Disclaimer/Publisher’s Note: The statements, opinions and data contained in all publications are solely those of the individual author(s) and contributor(s) and not of MDPI and/or the editor(s). MDPI and/or the editor(s) disclaim responsibility for any injury to people or property resulting from any ideas, methods, instructions or products referred to in the content. |
© 2023 by the authors. Licensee MDPI, Basel, Switzerland. This article is an open access article distributed under the terms and conditions of the Creative Commons Attribution (CC BY) license (https://creativecommons.org/licenses/by/4.0/).
Share and Cite
Zhang, M.; Song, H.; Ma, Y.; Yang, S.; Xie, F. Preparation of NH4Cl-Modified Carbon Materials via High-Temperature Calcination and Their Application in the Negative Electrode of Lead-Carbon Batteries. Molecules 2023, 28, 5618. https://doi.org/10.3390/molecules28145618
Zhang M, Song H, Ma Y, Yang S, Xie F. Preparation of NH4Cl-Modified Carbon Materials via High-Temperature Calcination and Their Application in the Negative Electrode of Lead-Carbon Batteries. Molecules. 2023; 28(14):5618. https://doi.org/10.3390/molecules28145618
Chicago/Turabian StyleZhang, Meng, Hengshuai Song, Yujia Ma, Shaohua Yang, and Fazhi Xie. 2023. "Preparation of NH4Cl-Modified Carbon Materials via High-Temperature Calcination and Their Application in the Negative Electrode of Lead-Carbon Batteries" Molecules 28, no. 14: 5618. https://doi.org/10.3390/molecules28145618
APA StyleZhang, M., Song, H., Ma, Y., Yang, S., & Xie, F. (2023). Preparation of NH4Cl-Modified Carbon Materials via High-Temperature Calcination and Their Application in the Negative Electrode of Lead-Carbon Batteries. Molecules, 28(14), 5618. https://doi.org/10.3390/molecules28145618
