Melamine-Assisted Thermal Activation Method for Vacancy-Rich ZnO: Calcination Effects on Microstructure and Photocatalytic Properties
Abstract
1. Introduction
2. Results and Discussion
2.1. Structure and Morphology Characterization
2.2. XPS and Raman Spectroscopy Results: Formation of Oxygen Vacancy
2.3. Diffuse Reflectance Spectroscopy Results: Band Position and Optical Property
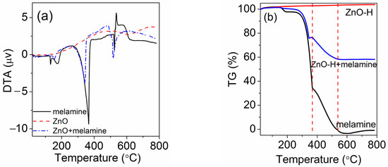
2.4. Mechanism of Oriented-Growth and Vacancy-Rich ZnO
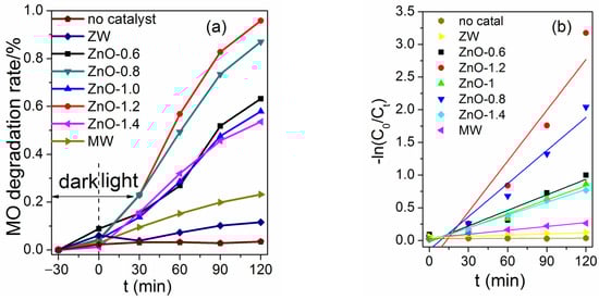
2.5. Photodegradation Activities
3. Materials and Methods
3.1. Materials
3.2. Synthesis of ZnO
3.3. Synthesis of α-Fe2O3
3.4. Photocatalytic Property Measurement
3.5. Characterization
4. Conclusions
Supplementary Materials
Author Contributions
Funding
Institutional Review Board Statement
Informed Consent Statement
Data Availability Statement
Acknowledgments
Conflicts of Interest
Sample Availability
References
- Xing, J.; Wang, Y.; Wu, Y.; Li, L.; Liu, P. Influence of calcination temperature on the microstructure and photocatalysis performance of B/Sm-TiO2 nanomaterials. Vacuum 2023, 212, 112063. [Google Scholar] [CrossRef]
- Khan, A.; Valicsek, Z.; Horváth, O. Effect of calcination temperature on the structural and photocatalytic properties of iron(II)-doped copper ferrite CuII0.4FeII0.6FeIII2O4. Mater. Lett. 2023, 341, 134212. [Google Scholar] [CrossRef]
- Nazir, M.K.; Dyer, L.; Tadesse, B.; Albijanic, B.; Kashif, N. Influence of calcination temperatures on lithium deportment by screening hard rock lithium. Heliyon 2023, 9, 13712. [Google Scholar] [CrossRef] [PubMed]
- Liu, J.; Cheng, W.; Wang, Y.; Fan, X.; Shen, J.; Liu, H.; Wang, A.; Hui, A.; Nichols, F.; Chen, S. Cobalt-doped zinc oxide nanoparticle–MoS2 nanosheet composites as broad-spectrum bactericidal agents. ACS Appl. Nano Mater. 2021, 4, 4361. [Google Scholar] [CrossRef]
- Ferreira, N.S.; Sasaki, J.M.; Silva, J.R.S.; Attah-Baah, J.M.; Macêdo, M.A. Visible-light-responsive photocatalytic activity significantly enhanced by active [VZn+VO+] defects in self-assembled ZnO nanoparticles. Inorg. Chem. 2021, 60, 4475. [Google Scholar] [CrossRef] [PubMed]
- Wang, S.; Wang, X.; Qiao, G.; Chen, X.; Wang, X.; Cui, H. Core-double shell ZnO@In2O3@ZnO hollow microspheres for superior ethanol gas sensing. Sens. Actuators B Chem. 2021, 341, 130002. [Google Scholar] [CrossRef]
- Bi, T.; Du, Z.; Chen, S.; He, H.; Shen, X.; Fu, Y. Preparation of flower-like ZnO photocatalyst with oxygen vacancy to enhance the photocatalytic degradation of methyl orange. Appl. Surf. Sci. 2023, 614, 156240. [Google Scholar] [CrossRef]
- Medvecká, V.; Surovčík, J.; Roch, T.; Zahoran, M.; Pavliňák, D.; Kováčik, D. ZnO nanofibers prepared by plasma assisted calcination: Characterization and photocatalytic properties. Appl. Surf. Sci. 2022, 581, 152384. [Google Scholar] [CrossRef]
- Jian, S.; Tian, Z.; Hu, J.; Zhang, K.; Zhang, L.; Duan, G.; Yang, W.; Jiang, S. Enhanced visible light photocatalytic efficiency of La-doped ZnO nanofibers via electrospinning-calcination technology. Adv. Powder Mater. 2022, 1, 100004. [Google Scholar] [CrossRef]
- Liang, S.; He, G.; Sui, G.; Li, J.; Guo, D.; Luo, Z.; Xu, R.; Yao, H.; Wang, C.; Xing, Z. ZIF-L-derived C-doped ZnO via a two-step calcination for enhanced photocatalytic hydrogen evolution. J. Mol. Struct. 2023, 1276, 134787. [Google Scholar] [CrossRef]
- Chen, D.; Zhang, X.; Tang, J.; Cui, H.; Cui, S.; Pi, Z. Adsorption of SF6 decomposed products over ZnO (10-10): Effects of O and Zn vacancies. ACS Omega 2018, 3, 18739. [Google Scholar] [CrossRef] [PubMed]
- Qi, L.; Qi, Y.; Chai, Z.; Qi, Y. Post-annealing induced oxygen vacancy mediated non-polar ZnO films with excellent opto-electronic performance. Ceram. Int. 2019, 45, 8388. [Google Scholar] [CrossRef]
- Yang, Z.; Shi, Y.; Wang, B. Photocatalytic activity of magnetically anatase TiO2 with high crystallinity and stability for dyes degradation: Insights into the dual roles of SiO2 interlayer between TiO2 and CoFe2O4. Appl. Surf. Sci. 2016, 399, 192. [Google Scholar]
- Chatterjee, S.; Kumar, K.A. Oxygen-vacancy-dependent photocatalysis for the degradation of MB dye using UV light and observation of förster resonance energy transfer (FRET) in PANI-capped ZnO. J. Phys. Chem. C 2020, 124, 18284. [Google Scholar] [CrossRef]
- Saadi, H.; Benzarti, Z.; Sanguino, P.; Pina, J.; Abdelmoula, N.; Melo, J.S.S. Enhancing the electrical conductivity and the dielectric features of ZnO nanoparticles through Co doping effect for energy storage applications. J. Mater. Sci. Mater. Electron. 2023, 34, 116. [Google Scholar] [CrossRef]
- Wang, Q.; Chen, L.; Guan, S.; Zhang, X.; Wang, B.; Cao, X.; Yu, Z.; He, Y.; Evans, D.G.; Feng, J.; et al. Ultrathin and vacancy-Rich CoAl-Layered double hydroxide/ graphite oxide catalysts: Promotional effect of cobalt vacancies and oxygen vacancies in alcohol oxidation. ACS Catal. 2018, 8, 3104. [Google Scholar] [CrossRef]
- Wang, J.; Wang, Z.; Huang, B.; Ma, Y.; Liu, Y.; Qin, X.; Zhang, X.; Dai, Y. Oxygen vacancy induced band-gap narrowing and enhanced visible light photocatalytic activity of ZnO. ACS Appl. Mater. Inter. 2012, 4, 4024. [Google Scholar] [CrossRef]
- Wang, H.; Wang, C.; Chen, Q.; Ren, B.; Guan, R.; Cao, X.; Yang, X.; Duan, R. Interface-defect-mediated photocatalysis of mesocrystalline ZnO assembly synthesized in-situ via a template-free hydrothermal approach. Appl. Surf. Sci. 2017, 412, 517. [Google Scholar] [CrossRef]
- Villafuerte, J.; Donatini, F.; Kioseoglou, J.; Sarigiannidou, E.; Chaix-Pluchery, O.; Pernot, J.; Consonni, V. Zinc vacancy-hydrogen complexes as major defects in ZnO nanowires grown by chemical bath deposition. J. Phys. Chem. C 2020, 124, 16652. [Google Scholar] [CrossRef]
- Li, Z.; Liu, X.; Zhou, M.; Zhang, S.; Cao, S.; Lei, G.; Lou, C.; Zhang, J. Plasma-induced oxygen vacancies enabled ultrathin ZnO films for highly sensitive detection of triethylamine. J. Hazard. Mater. 2021, 415, 125757. [Google Scholar] [CrossRef]
- Wang, Z.; Wang, H.; Wang, X.; Chen, X.; Yu, Y.; Dai, W.; Fu, X.; Anpo, M. Correlation between photocorrosion of ZnO and lattice relaxation induced by its surface vacancies. J. Phys. Chem. C 2021, 125, 3242. [Google Scholar] [CrossRef]
- Gao, P.; Dang, S.; Li, S.; Bu, X.; Liu, Z.; Qiu, M.; Yang, C.; Wang, H.; Zhong, L.; Han, Y.; et al. Direct production of lower olefins from CO2 conversion via bifunctional catalysis. ACS Catal. 2018, 8, 571. [Google Scholar] [CrossRef]
- Al-Mamun, M.R.; Rokon, M.Z.I.; Rahim, M.A.; Hossain, M.I.; Islam, M.S.; Ali, M.R.; Bacchu, M.S.; Waizumi, H.; Komeda, T.; Khan, M.Z.H. Enhanced photocatalytic activity of Cu and Ni-doped ZnO nanostructures: A comparative study of methyl orange dye degradation in aqueous solution. Heliyon 2023, 9, 16506. [Google Scholar] [CrossRef]
- Zhang, L.; Wang, Z.; Fang, P.; Wang, W.; Sun, W. Hierarchical sheet-on-sheet ZnTi-LDHs/g-C3N4 composites with enhanced photocatalytic activity prepared by mechanical mixing. Appl. Clay Sci. 2021, 205, 106048. [Google Scholar] [CrossRef]
- Fan, G.; Zhou, J.; Ruan, F.; Li, Y.; Tian, H.; Fan, D.; Chen, Q.; Li, N. The Z-scheme photocatalyst S-BiOBr/Bi2Sn2O7 with 3D/0D interfacial structure for the efficient degradation of organic pollutants. Sep. Purif. Technol. 2023, 309, 123099. [Google Scholar] [CrossRef]
- Fang, P.; Wang, Z.; Wang, W. Enhanced photocatalytic performance of ZnTi-LDHs with morphology control. CrystEngComm 2019, 21, 7025. [Google Scholar] [CrossRef]
- Salehi, G.; Abazari, R.; Mahjoub, A.R. Visible-light-induced graphitic-C3N4@Nickel-aluminum layered double hydroxide nanocomposites with enhanced photocatalytic activity for removal of dyes in water. Inorg. Chem. 2018, 57, 8681. [Google Scholar] [CrossRef]
- Guo, Y.; Li, H.; Li, B.; Su, S.; Zhong, X.; Kong, D.; Chen, Y.; Song, Y. Enhanced Photocatalytic Coupling of Benzylamine to N-Benzylidene Benzylamine over the Organic–Inorganic Composites F70-TiO2 Based on Fullerenes Derivatives and TiO2. Molecules 2023, 28, 4301. [Google Scholar] [CrossRef]
- Sahni, M.; Kumar, S.; Chauhan, S.; Singh, M.; Pandit, S.; Satic, P.C.; Kumard, M.; Kumard, A.; Kumare, N. Structural, optical and photocatalytic properties of Ni doped BiFeO3 nanoparticles. Mater. Today Proc. 2022, 49, 3015. [Google Scholar] [CrossRef]
- Xiao, Q.; Chen, L.; Xu, Y.; Feng, W.; Qiu, X. Impact of oxygen vacancy on piezo-photocatalytic catalytic activity of barium titanate. Appl. Surf. Sci. 2023, 619, 156794. [Google Scholar] [CrossRef]














| Sample | a (nm) | c (nm) | V (nm3) | D (nm) | ε (×10−4) | |
|---|---|---|---|---|---|---|
| Scherrer’s Formula | W-H Model | W-H Model | ||||
| ZnO-H | 0.3258 | 0.5217 | 0.04796 | 78.5 | 99.0 | 6.5847 |
| ZW | 0.3254 | 0.5214 | 0.04781 | 87.1 | 123.8 | 5.4779 |
| ZnO-0.6 | 0.3253 | 0.5212 | 0.04776 | 88.1 | 139.3 | 4.0681 |
| ZnO-0.8 | 0.3251 | 0.5206 | 0.04765 | 88.5 | 133.3 | 3.8954 |
| ZnO-1.0 | 0.3249 | 0.5198 | 0.04752 | 89.0 | 118.5 | 3.2812 |
| ZnO-1.2 | 0.3246 | 0.5196 | 0.04741 | 89.6 | 117.5 | 3.2042 |
| ZnO-1.4 | 0.3245 | 0.5194 | 0.04736 | 89.8 | 117.4 | 3.1872 |
| Sample | Eg (eV) | Eu (eV) |
|---|---|---|
| ZnO-0.6 | 3.08 | 0.236 |
| ZnO-0.8 | 3.06 | 0.249 |
| ZnO-1 | 3.07 | 0.223 |
| ZnO-1.2 | 3.05 | 0.262 |
| ZnO-1.4 | 3.07 | 0.167 |
| ZW | 3.10 | 0.159 |
| MW | ZW | ZnO-0.6 | ZnO-0.8 | ZnO-1.0 | ZnO-1.2 | ZnO-1.4 | |
|---|---|---|---|---|---|---|---|
| K (min−1) | 0.0019 | 0.0006 | 0.0079 | 0.0169 | 0.0071 | 0.0263 | 0.0065 |
| R2 | 0.9881 | 0.9770 | 0.9280 | 0.9452 | 0.9631 | 0.9645 | 0.9946 |
Disclaimer/Publisher’s Note: The statements, opinions and data contained in all publications are solely those of the individual author(s) and contributor(s) and not of MDPI and/or the editor(s). MDPI and/or the editor(s) disclaim responsibility for any injury to people or property resulting from any ideas, methods, instructions or products referred to in the content. |
© 2023 by the authors. Licensee MDPI, Basel, Switzerland. This article is an open access article distributed under the terms and conditions of the Creative Commons Attribution (CC BY) license (https://creativecommons.org/licenses/by/4.0/).
Share and Cite
Wang, W.; Lv, L.; Wang, C.; Li, J. Melamine-Assisted Thermal Activation Method for Vacancy-Rich ZnO: Calcination Effects on Microstructure and Photocatalytic Properties. Molecules 2023, 28, 5329. https://doi.org/10.3390/molecules28145329
Wang W, Lv L, Wang C, Li J. Melamine-Assisted Thermal Activation Method for Vacancy-Rich ZnO: Calcination Effects on Microstructure and Photocatalytic Properties. Molecules. 2023; 28(14):5329. https://doi.org/10.3390/molecules28145329
Chicago/Turabian StyleWang, Weiwei, Lin Lv, Changfeng Wang, and Jiao Li. 2023. "Melamine-Assisted Thermal Activation Method for Vacancy-Rich ZnO: Calcination Effects on Microstructure and Photocatalytic Properties" Molecules 28, no. 14: 5329. https://doi.org/10.3390/molecules28145329
APA StyleWang, W., Lv, L., Wang, C., & Li, J. (2023). Melamine-Assisted Thermal Activation Method for Vacancy-Rich ZnO: Calcination Effects on Microstructure and Photocatalytic Properties. Molecules, 28(14), 5329. https://doi.org/10.3390/molecules28145329
