Preparation of Surface-Active Hyperbranched-Polymer-Encapsulated Nanometal as a Highly Efficient Cracking Catalyst for In Situ Combustion of Heavy Oil
Abstract
1. Introduction
2. Results
2.1. Structural Analysis of Hyperbranched Polymers
2.2. Structural Analysis of Nanometal Dispersions
2.3. Thermal Properties of Polymers and Pt@CPAMAM
2.4. Comparison of Interfacial Activities of HPAMAM and CPAMAM
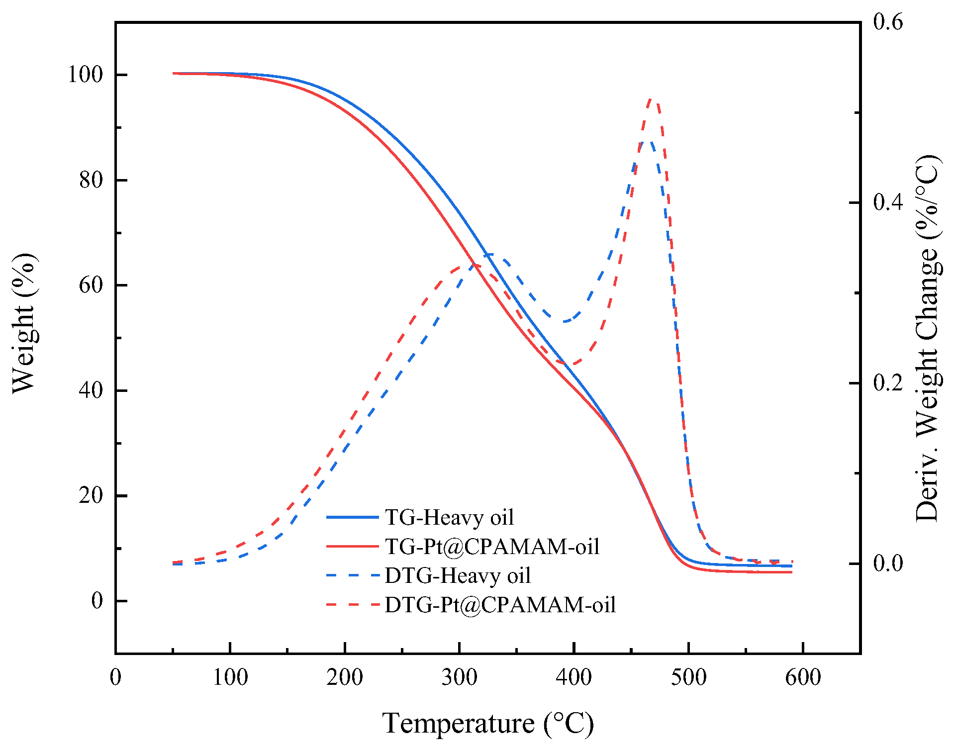
2.5. Catalytic Cracking of Heavy Oil with Pt@CPAMAM
2.6. Kinetic Analysis
3. Materials and Methods
3.1. Materials
3.2. Synthesis of Hyperbranched Nanometal Fluids
3.2.1. Synthesis of HPAMAM
3.2.2. Modification of HPAMAM
3.3. Synthesis of Nanometal Fluids
3.4. Characterization of CPAMAM and Pt@CPAMAM Nanoparticles
3.5. Characterization of Nanometal Fluids
3.6. Performance Evaluation of Nanofluids
4. Conclusions
Supplementary Materials
Author Contributions
Funding
Institutional Review Board Statement
Informed Consent Statement
Data Availability Statement
Acknowledgments
Conflicts of Interest
References
- Zhang, X.; Liu, Q.C.; Che, H.C. Parameters determination during in situ combustion of Liaohe heavy oil. Energy Fuels 2013, 27, 3416–3426. [Google Scholar] [CrossRef]
- Murugan, P.; Mahinpey, N.; Mani, T.; Asghari, K. Effect of low-temperature oxidation on the pyrolysis and combustion of whole oil. Energy 2010, 35, 2317–2322. [Google Scholar] [CrossRef]
- Pu, W.F.; Liu, P.G.; Jia, H.; Zhao, S.; Du, D.J.; Wang, S.; Sun, B.S.; Chen, Y.F. Comparative study of light and heavy oils oxidation using thermal analysis methods. Petrol. Sci. Technol. 2015, 33, 1357–1365. [Google Scholar] [CrossRef]
- Zhang, X.; Che, H.C.; Liu, Y.S.; Chen, X. Improved efficiency of in-situ combustion by application of submicro metal oxides particles. Reserv. Eval. Dev. 2019, 9, 36–40. [Google Scholar]
- Wang, Y.Y.; Ren, S.R.; Zhang, L.; Deng, J.Y.; Peng, X.Y.; Cheng, H.Q. New insights into the oxidation behaviors of crude oils and their exothermic characteristics: Experimental study via simultaneous TGA/DSC. Fuel 2018, 219, 141–150. [Google Scholar] [CrossRef]
- He, Y.L.; Zhou, Y.; Feng, J.; Xing, M.Y. Photothermal conversion of CO2 to fuel with nickel-based catalysts: A review. Environ. Funct. Mater. 2022, 1, 204–217. [Google Scholar] [CrossRef]
- Chen, P.; Zhang, W.D.; Sun, Y.J.; Dong, F. Single-atom photocatalysts for CO2 reduction: Charge transfer and adsorption-activation mechanism. Environ. Funct. Mater. 2022, 1, 127–138. [Google Scholar] [CrossRef]
- Garvey, M.A.; McLeroy, P.G.; Weijermars, R. Reservoir-model-based scenarios for assessing the viability of greenhouse gas mitigation strategies through CO2 enhanced oil recovery. Energy Strategy Rev. 2017, 16, 54–67. [Google Scholar] [CrossRef]
- Qiao, S.Y.; Yu, H.B.; Wang, Y.G.; Zhang, L.F.; Liu, Q.W.; Fan, Z.Z.; Sun, A. Foam stability of temperature-resistant hydrophobic silica particles in porous media. Front. Chem. 2022, 10, 960067. [Google Scholar] [CrossRef]
- Chen, Z.J.; Wei, W.F.; Ni, B.J.; Chen, H. Plastic wastes derived carbon materials for green energy and sustainable environmental applications. Environ. Funct. Mater. 2022, 1, 34–48. [Google Scholar] [CrossRef]
- Kong, Y.; Zhang, S.M.; Gao, Y.; Cheng, X.H.; Kong, W.J.; Qi, Y.F.; Wang, S.Q.; Yin, F.J.; Dai, Z.G.; Yue, Q.Y. Low-temperature carbonization synthesis of carbon-based super-hydrophobic foam for efficient multi-state oil/water separation. J. Hazard Mater. 2022, 423, 127064. [Google Scholar] [CrossRef] [PubMed]
- Onggowarsito, C.; Feng, A.; Mao, S.D.; Zhang, S.; Ibrahim, I.; Tijing, L.; Fu, Q.; Ngo, N.N. Development of an innovative MnO2 nanorod for efficient solar vapor generator. Environ. Funct. Mater. 2022, 1, 196–203. [Google Scholar] [CrossRef]
- Rezaei, M.; Schaffie, M.; Ranjbar, M. Thermocatalytic in situ combustion: Influence of nanoparticles on crude oil pyrolysis and oxidation. Fuel 2013, 113, 516–521. [Google Scholar] [CrossRef]
- Wang, Y.H.; Ling, B.; Fan, S.S.; Lang, X.M. Investigation on oxidation and combustion behavior and kinetics study of heavy crude oil. J. Therm. Sci. Technol. 2013, 25, 82–98. [Google Scholar]
- Dong, X.G.; Lei, Q.F.; Yu, Q.S. Thermal pyrolysis kinetics of asphaltenes from several crude oils. J. Zhejiang Univ. 2004, 31, 652–656. [Google Scholar]
- Tang, R.Y.; Tian, Y.Y.; Qiao, Y.Y.; Zhou, H.F.; Zhao, G.M. Bifunctional base catalyst for vacuum residue cracking gasification. Fuel Process. Technol. 2016, 153, 1–8. [Google Scholar] [CrossRef]
- Ye, D.F.; Mi, J.; Bai, S.S.; Zhang, L.F.; Guo, Y.S.; Fang, W.J. Thermal cracking of jet propellant-10 with the addition of a core-shell macroinitiator. Fuel 2019, 254, 115667. [Google Scholar] [CrossRef]
- Khelkhal, M.A.; Eskin, A.A.; Vakhin, A.V. Kinetic Study on Heavy Oil Oxidation by Copper Tallates. Energy Fuels 2020, 33, 12690–12695. [Google Scholar] [CrossRef]
- Yan, H.; Zhao, M.Y.; Feng, X.; Zhao, S.M.; Zhou, X.; Li, S.F.; Zha, M.H.; Meng, F.Y.; Chen, X.B.; Liu, Y.B.; et al. PO43− Coordinated Robust Single-Atom Platinum Catalyst for Selective Polyol Oxidation. Angew. Chem. Int. Ed. 2021, 61, e202116059. [Google Scholar] [CrossRef]
- Yan, H.; Li, S.F.; Feng, X.; Lu, J.R.; Zheng, X.H.; Li, R.Y.; Zhou, X.; Chen, X.B.; Li, Y.B.; Chen, D.; et al. Rational screening of metal catalysts for selective oxidation of glycerol to glyceric acid from microkinetic analysis. AIChE J. 2022, 69, e17868. [Google Scholar] [CrossRef]
- Yan, H.; Qin, H.S.; Feng, X.; Jin, X.; Liang, W.; Sheng, N.; Zhu, C.; Wang, H.M.; Yin, B.; Liu, Y.B.; et al. Synergistic Pt/MgO/SBA-15 nanocatalysts for glycerol oxidation in base-free medium: Catalyst design and mechanistic study. J. Catal. 2019, 370, 434–446. [Google Scholar] [CrossRef]
- Yuan, C.D.; Varfolomeev, M.A.; Emelianov, D.A.; Suwaid, M.A.; Khachatrian, A.A.; Starshinova, V.L.; Vakhitov, I.R.; Al-Muntaser, A.A. Copper stearate as a catalyst for improving the oxidation performance of heavy oil in in-situ combustion process. Appl. Catal. A-Gen. 2018, 564, 79–89. [Google Scholar] [CrossRef]
- Hosseinpour, N.; Mortazavi, Y.; Bahramian, A.; Khodatars, L.; Khodadadi, A.A. Enhanced pyrolysis and oxidation of asphaltenes adsorbed onto transition metal oxides nanoparticles towards advanced in-situ combustion EOR processes by nanotechnology. Appl. Catal. A-Gen. 2014, 477, 159–171. [Google Scholar] [CrossRef]
- Abuhesa, M.B.; Hughes, R. Comparison of conventional and catalytic in situ combustion processes for oil recovery. Energy Fuels 2009, 23, 1961–1967. [Google Scholar] [CrossRef]
- Shokrlu, Y.H.; Maham, Y.; Tan, X.; Babadagi, T.; Gray, M. Enhancement of the efficiency of in situ combustion technique for heavy-oil recovery by application of nickel ions. Fuel 2013, 105, 397–407. [Google Scholar] [CrossRef]
- Karimian, M.; Schaffie, M.; Fazaelipoor, M.H. Improving the efficiency of THAI-CAPRI process by nano-catalysts originated from rock minerals. Energy Fuels 2018, 32, 11772–11784. [Google Scholar] [CrossRef]
- Clarizia, L.; Vitiello, G.; Luciani, G.; Di Somma, I.; Andreozzi, R.; Marotta, R. In-situ photodeposited nanoCu on TiO2 as a catalyst for hydrogen production under UV/visible radiation. Appl. Catal. A-Gen. 2016, 518, 142–149. [Google Scholar] [CrossRef]
- Medina, O.E.; Gallego, J.; Perez-Cadenas, A.F.; Carrasco-Marin, F.; Cortes, F.B.; Franco, C.A. Insights into the morphology effect of ceria on the catalytic performance of NiO-PdO/CeO2 nanoparticles for Thermos-oxidation of n-C-7 asphaltenes under isothermal heating at different pressures. Energy Fuels 2021, 35, 18170–18184. [Google Scholar] [CrossRef]
- Medina, O.E.; Gallego, J.; Olmos, C.M.; Chen, X.W.; Cortes, F.B.; Franco, C.A. Effect of multifunctional nanocatalysts on n-C-7 asphaltene adsorption and subsequent oxidation under high pressure conditions. Energy Fuels 2020, 34, 6261–6278. [Google Scholar] [CrossRef]
- He, G.J.; Wu, X.; Ye, D.F.; Guo, Y.S.; Hu, S.L.; Li, Y.; Fang, W.J. Hyperbranched poly(amidoamine) as an efficient macroinitiator for thermal cracking and heat-sink enhancement of hydrocarbon fuels. Energy Fuels 2017, 31, 6848–6855. [Google Scholar] [CrossRef]
- Zhang, Y.W.; Peng, H.S.; Huang, W.; Zhou, Y.F.; Zhang, X.H.; Yan, D.Y. Hyperbranched poly(amidoamine) as the stabilizer and reductant to prepare colloid silver nanoparticles in situ and their antibacterial activity. J. Phys. Chem. C 2008, 112, 2330–2336. [Google Scholar] [CrossRef]
- Ye, D.F.; Zhao, L.; Bai, S.S.; Guo, Y.S.; Fang, W.J. New strategy for high-performance integrated catalysts for cracking hydrocarbon fuels. ACS Appl. Mater. Interfaces 2019, 11, 40078–40090. [Google Scholar] [CrossRef] [PubMed]
- Chen, A.C.; Holt-Hindle, P. Platinum-based nanostructured materials: Synthesis, properties, and applications. Chem. Rev. 2010, 110, 3767–3804. [Google Scholar] [CrossRef] [PubMed]
- Dai, Y.T.; Zhao, W.Q.; Xie, H.J.; Guo, Y.S.; Fang, W.J. Pyrolysis kinetics and mechanism of ethylcyclohexane. J. Anal. Appl. Pyrol. 2020, 145, 104723. [Google Scholar] [CrossRef]
- Li, H.W.; Wang, Y.T.; Wang, L.; Zhang, X.W.; Liu, G.Z. Pyrolysis and Coke Deposition of JP-10 with Decalin in Regenerative Cooling Channels. Energy Fuels 2022, 36, 6096–6108. [Google Scholar] [CrossRef]
- Elbaz, A.M.; Gani, A.; Hourani, N.; Emwas, A.H.; Sarathy, S.M.; Roberts, W.L. TG/DTG, FT-ICR mass spectrometry, and NMR spectroscopy study of heavy fuel oil. Energy Fuels 2015, 29, 7825–7835. [Google Scholar] [CrossRef]















| Sample Name | Carbon Content (wt%) | Hydrogen Content (wt%) | Nitrogen Content (wt%) | Total Amine Content (mol/g) | Tertiary Amine Content (mol/g) |
|---|---|---|---|---|---|
| HPAMAM | 50.07 | 9.26 | 22.17 | 0.016 | 0.005 |
| CPAMAM | 55.85 | 10.12 | 18.43 | 0.013 | 0.005 |
| Concentration, mg/L | Interfacial Tension, mN/m |
|---|---|
| 0 | 3.33 |
| 3500 | 2.48 |
| 7000 | 2.33 |
| 10,500 | 2.88 |
| 14,000 | 3.29 |
| 17,500 | 3.55 |
| Sample Name | C (wt%) | H (wt%) |
|---|---|---|
| Heavy oil | 89.282 | 11.708 |
| Cracked oil | 96.771 | 3.329 |
| Cracked Pt@CPAMAM-oil | 97.453 | 2.447 |
| Sample | E (kJ/mol) | Ar (1/min) | R2 |
|---|---|---|---|
| Oil | 116.04 | 5.111 × 105 | 0.9869 |
| Pt@CPAMAM-Oil | 104.35 | 1.086 × 105 | 0.9607 |
| Sample | E (kJ/mol) | Ar (1/min) | R2 |
|---|---|---|---|
| Heavy oil | 116.04 | 5.111 × 105 | 0.9869 |
| Copper stearate–oil | 115.4 | 9.06 × 105 | 0.9841 |
| Iron powder–oil | 108.5 | 2.61 × 105 | 0.965 |
| Pt@CPAMAM–oil | 104.35 | 1.086 × 105 | 0.9607 |
| Density (g/cm3@25 °C) | Viscosity (mPa·s@25 °C) | SARA Composition (wt%) | |||
|---|---|---|---|---|---|
| Saturates | Aromatics | Resins | Asphaltenes | ||
| 1.0066 | 20,610 | 33.31 | 18.90 | 36.25 | 11.54 |
Disclaimer/Publisher’s Note: The statements, opinions and data contained in all publications are solely those of the individual author(s) and contributor(s) and not of MDPI and/or the editor(s). MDPI and/or the editor(s) disclaim responsibility for any injury to people or property resulting from any ideas, methods, instructions or products referred to in the content. |
© 2023 by the authors. Licensee MDPI, Basel, Switzerland. This article is an open access article distributed under the terms and conditions of the Creative Commons Attribution (CC BY) license (https://creativecommons.org/licenses/by/4.0/).
Share and Cite
Sun, A.; Yao, C.; Zhang, L.; Sun, Y.; Nan, J.; Teng, H.; Zang, J.; Zhou, L.; Fan, Z.; Tong, Q. Preparation of Surface-Active Hyperbranched-Polymer-Encapsulated Nanometal as a Highly Efficient Cracking Catalyst for In Situ Combustion of Heavy Oil. Molecules 2023, 28, 5328. https://doi.org/10.3390/molecules28145328
Sun A, Yao C, Zhang L, Sun Y, Nan J, Teng H, Zang J, Zhou L, Fan Z, Tong Q. Preparation of Surface-Active Hyperbranched-Polymer-Encapsulated Nanometal as a Highly Efficient Cracking Catalyst for In Situ Combustion of Heavy Oil. Molecules. 2023; 28(14):5328. https://doi.org/10.3390/molecules28145328
Chicago/Turabian StyleSun, Ao, Chenyang Yao, Lifeng Zhang, Yanmin Sun, Jun Nan, Houkai Teng, Jiazhong Zang, Lishan Zhou, Zhenzhong Fan, and Qilei Tong. 2023. "Preparation of Surface-Active Hyperbranched-Polymer-Encapsulated Nanometal as a Highly Efficient Cracking Catalyst for In Situ Combustion of Heavy Oil" Molecules 28, no. 14: 5328. https://doi.org/10.3390/molecules28145328
APA StyleSun, A., Yao, C., Zhang, L., Sun, Y., Nan, J., Teng, H., Zang, J., Zhou, L., Fan, Z., & Tong, Q. (2023). Preparation of Surface-Active Hyperbranched-Polymer-Encapsulated Nanometal as a Highly Efficient Cracking Catalyst for In Situ Combustion of Heavy Oil. Molecules, 28(14), 5328. https://doi.org/10.3390/molecules28145328

