Next Article in Journal
Identification of Polyphenolic Compounds Responsible for Antioxidant, Anti-Candida Activities and Nutritional Properties in Different Pistachio (Pistacia vera L.) Hull Cultivars
Next Article in Special Issue
Large Subunit of the Human Herpes Simplex Virus Terminase as a Promising Target in Design of Anti-Herpesvirus Agents
Previous Article in Journal
Attenuation of Sepsis-Induced Acute Kidney Injury by Exogenous H2S via Inhibition of Ferroptosis
Previous Article in Special Issue
Gut Protective Effect from D-Methionine or Butyric Acid against DSS and Carrageenan-Induced Ulcerative Colitis
 
 
Font Type:
Arial Georgia Verdana
Font Size:
Aa Aa Aa
Line Spacing:
Column Width:
Background:
Article

Synthesis and Receptor Binding Studies of α5 GABAAR Selective Novel Imidazodiazepines Targeted for Psychiatric and Cognitive Disorders

1
Department of Chemistry and Biochemistry, Milwaukee Institute of Drug Discovery, University of Wisconsin Milwaukee, Milwaukee, WI 53201, USA
2
Campbell Family Mental Health Research Institute of CAMH, Toronto, ON M5S 2S1, Canada
3
Department of Psychiatry, University of Toronto, Toronto, ON M5T 1R8, Canada
4
Department of Pharmacology and Toxicology, University of Toronto, Toronto, ON M5T 1R8, Canada
5
Laboratory of Antiepileptic Drug Discovery, Ascension, St. Vincent, Indianapolis, IN 46260, USA
*
Authors to whom correspondence should be addressed.
Molecules 2023, 28(12), 4771; https://doi.org/10.3390/molecules28124771
Submission received: 24 April 2023 / Revised: 9 June 2023 / Accepted: 12 June 2023 / Published: 14 June 2023

Abstract

GABA mediates inhibitory actions through various GABAA receptor subtypes, including 19 subunits in human GABAAR. Dysregulation of GABAergic neurotransmission is associated with several psychiatric disorders, including depression, anxiety, and schizophrenia. Selective targeting of α2/3 GABAARs can treat mood and anxiety, while α5 GABAA-Rs can treat anxiety, depression, and cognitive performance. GL-II-73 and MP-III-022, α5-positive allosteric modulators have shown promising results in animal models of chronic stress, aging, and cognitive disorders, including MDD, schizophrenia, autism, and Alzheimer’s disease. Described in this article is how small changes in the structure of imidazodiazepine substituents can greatly impact the subtype selectivity of benzodiazepine GABAAR. To investigate alternate and potentially more effective therapeutic compounds, modifications were made to the structure of imidazodiazepine 1 to synthesize different amide analogs. The novel ligands were screened at the NIMH PDSP against a panel of 47 receptors, ion channels, including hERG, and transporters to identify on- and off-target interactions. Any ligands with significant inhibition in primary binding were subjected to secondary binding assays to determine their Ki values. The newly synthesized imidazodiazepines were found to have variable affinities for the benzodiazepine site and negligible or no binding to any off-target profile receptors that could cause other physiological problems.

1. Introduction

γ-Aminobutyric acid (GABA) acts as an inhibitory neurotransmitter through various subtypes of GABA receptors [1,2,3]. Nineteen subunits of GABAAR have been identified in humans, including α1-6, β1-3, γ1-3, δ, ε, θ, π, and ρ1-3 subunits, although only a few subunit combinations form a functional receptor [4,5]. The GABAAR ion channel comprises α1-6β1-3γ2 subunits in a 2:2:1 stoichiometric ratio to form a fully functional benzodiazepine-mediated chloride ion channel [6]. Dysregulation of GABAergic neurotransmission has been linked to several psychiatric disorders, including schizophrenia, depression, autism, and anxiety [7,8,9,10,11]. Non-selective targeting of GABAAR with different subunits by benzodiazepines, commonly used to treat anxiety disorders, can result in side effects such as sedation, ataxia, [12] and dependence. Therefore, selective targeting of GABAAR, specifically by potentiating α2, α3, and α5 subunits containing GABAAR, can produce the desired therapeutic effects [7,12].
Evidence suggests that the brain’s γ-aminobutyric acid (GABA) system is dysregulated in major depressive disorder (MDD), resulting in altered inhibitory function and an impaired excitation/inhibition balance [13]. Reduced levels of GABA have been observed in the cerebrospinal fluid [14], plasma [15,16,17,18,19,20], and brain regions such as the occipital cortex [21,22,23,24,25], PFC [26], and anterior cingulate cortex (ACC) [21,26,27] of untreated depressed patients [24,25,28]. Currently, there are no available treatment options to correct this imbalance in MDD patients. Selective targeting of α2/3 GABAARs has been shown to be beneficial in treating mood and anxiety disorders [29], while α5 GABAA-Rs are thought to be useful in treating anxiety and cognitive deficits [29,30]. The α5-containing GABAAR subtype is primarily located in the hippocampus and constitutes approximately 5% of all GABAAR α-subtypes in the brain [31,32]. Within the hippocampus, α5-containing GABAARs are enriched and make up nearly 25% of all hippocampal GABAARs [33]. Moreover, there is a higher α5 expression in the ventral subregions compared to the dorsal subregions of the hippocampus, making it an ideal target for manipulation [34,35]. Reports have shown that positive modulation of GABAARs is anxiolytic. A knockdown of α5-GABAARs in healthy animals has been found to induce psychosis-like deficits in sensorimotor gating, while overexpression of the α5 subunit in the ventral hippocampus reversed the dopamine system dysfunction and behavioral deficits displayed in a rodent model of psychosis [36,37]. Selective ligands targeting the α5-GABAAR subtype have exhibited promising procognitive activity in various behavioral assays, including memory and spatial learning [38], as well as in models of cognitive disorders such as Alzheimer’s disease [39], Huntington’s disease [40], Down syndrome [41], schizophrenia [42,43,44,45], and depression [46].
The imidazodiazepine is a type of organic compound that features a fused-ring structure comprising two rings—an imidazole ring and a diazepine ring (Figure 1) [47]. The imidazole ring is a five-membered ring consisting of two nitrogen atoms and three carbon atoms, while the diazepine ring is a seven-membered ring that contains five carbon atoms and two nitrogen atoms. The two rings are fused together such that one carbon atom of the diazepine ring is shared with one nitrogen atom of the imidazole ring, forming a unique and versatile molecular scaffold. The biological activity of imidazodiazepines varies depending on the specific substitutions made to the fused-ring structure, allowing for the development of compounds with a range of therapeutic properties [48]. The α5 selective imidazodiazepines are efficacious in reversing symptoms in rodents in rodent models of psychiatric disorders [49]. One of the imidazodiazepines, GL-II-73, which is an α5-positive allosteric modulator (α5-PAM), was developed in Milwaukee and showed improved working memory in a mouse model of chronic stress and aging [49]. Further, another α5-PAM demonstrated improved cognitive functions in old rats compared to other α5-PAMs [50]. GL-II-73 reversed dendritic shrinkage and improved cognitive deficits in old mice [51]. This is a significant finding for MDD, schizophrenia, and Alzheimer’s disease. GL-II-73 also demonstrated pronounced neurotrophic effects in the distal segment of pyramidal neuronal dendrites, which is one of the locations of α5-GABAA receptors [52]. Moreover, GL-II-73 increased spine counts and spine density in both the apical and the basal segment of pyramidal neuron dendrites of the CA1, suggesting its potential as a cognitive enhancer. GL-II-73 has the potential to become a treatment for patients suffering from cognitive decline due to GABAergic downregulation, as it exhibits anxiolytic and antidepressant effects [49]. In addition, the α5-GABAAR subtypeselective ligand MP-III-022, a monomethyl amide, is active in low doses in several psychiatric disorders including autism [53], antipsychotic activity [54], and cognitive disorders [55]. Due to the results obtained with GL-II-73 and MP-III-022 in animal models, several analogs were synthesized to extend the structure–activity relationship and screened for off-target effects in a 47-receptor panel assay.

2. Results and Discussion

2.1. Chemistry

2.1.1. Amide Analogs of IMDZ 1

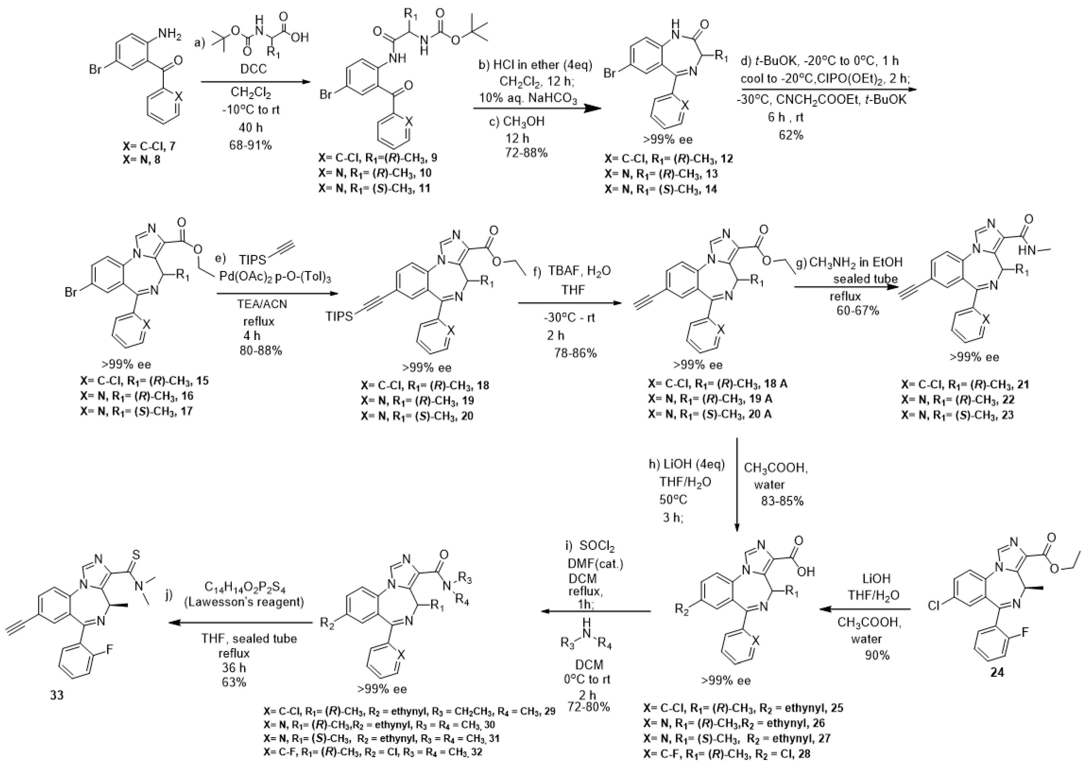
Evidence suggested that subtle changes in the structure of imidazodiazepine (IMDZ) substituents can affect the subtype selectivity of BzR/GABAAR dramatically [56]. Several modifications were made to the core structure of imidazodiazepine 1 to synthesize different amide analogs in order to obtain alternate active ligands with distinct or improved antipsychotic or procognitive profiles (Figure 2). These novel analogs were characterized and tested in different animal models to evaluate their bioactivity or a lack thereof, as regards the SAR. A number of these newly synthesized analogs showed promising procognitive and anti-depressive activity in the Y-maze assay and forced swim test (unpublished).
Two positions of the imidazodiazepines (the C(8)-acetylene and the C(4) chiral methyl function) played an important role to enhance the α5-subtype selectivity [56,57], therefore a flat phenyl group was introduced at the C-8 position of IMDZ 1 in place of the ethinyl group. The phenyl group is commonly incorporated into different biologically active molecules in order to obtain improved pharmacological properties. The phenyl group may interact similarly to an ethinyl group within the lipophilic binding pocket of the receptor, leading to comparable physiological effects and improved subtype selectivity [58]. Furthermore, the flat phenyl group might slide into the binding pocket and undergo some weak pi-pi interactions for improved bioactivity. Consequently, the C(8)-substituted phenyl analog (5) of IMDZ 1, was synthesized based on this hypothesis.
The 8-bromo IMDZ 2 is the precursor for the synthesis of 8-phenyl amide analog (5) of IMDZ 1 (1). An improved method was developed for the synthesis of bromo imidazodiazepine [59]. The 8-phenyl compound 3 was synthesized from the 8-bromo imidazodiazepine (2) by Suzuki coupling [60]. The Suzuki coupling between the phenylboronic acid and the aryl bromide 2 in the presence of a palladium catalyst led to the formation of 3 (Scheme 1). Potassium phosphate, palladium acetate, and tri-o-tolyl phosphine were also used to carry out the coupling reaction. The reaction was completed within 12 h. The product was purified by silica gel flash chromatography (EtOAc:hexane = 1:1). The yield of the coupling reaction was 71% with an optical purity of 99% ee. The coupling reaction was initially attempted using triphenylphosphine as the ligand, which resulted in poor conversion of compound 2 to compound 3 even stiring longer period of time >24 h.
The 8-phenyl imidazodiazepine ethyl ester (3) was subjected to base hydrolysis for the conversion of the ester function into the carboxylic acid function. The ester hydrolysis went smoothly to give carboxylic acid, 4 in good yield and optical purity. The ester hydrolysis was also performed using sodium hydroxide as a base. The lithium hydroxide was chosen for its superiority for the hydrolysis of ester functions as sodium hydroxide caused the solution to form a gel of the carboxylic acid during the isolation. It is difficult to isolate the carboxylic acid once it forms a gel. No gel issue was observed in the case of lithium hydroxide. The acid was purified with hot ethanol. The carboxylic acid 4 was then converted into the acid chloride by a process related to Vilsmeier chlorination. The nucleophilic attack of dimethylamine (2 M solution in THF) on the acid chloride intermediate produced compound 5. The compound was purified on silica gel column chromatography using 100% EtOAc.
Several other amide analogs were synthesized by using different commercially available benzophenone starting materials. The 2-amino-5-bromophenyl) (2′-fluorophenyl)methanone,2-amino-5-chlorophenyl) (2′-fluorophenyl) methanone, and 2-amino-5-bromophenyl)(pyridin-2-yl)methanone were purchased from chemical vendors while the 2′Cl benzophenone, the 2-(amino-5-bromophenyl) (2′-chlorophenyl) methanone 6 were synthesized, according to the literature method in the lab on a 200 g scale due to its high cost [61,62,63]. This is a one-pot reaction, and this reaction gives a poor yield (41%). Several points need to be followed to improve this reaction. The reaction was performed under neat conditions and 3 equivalents of o-chlorobenzoyl chloride were used to complete this reaction successfully. The first equivalent of o-chlorobenzoyl chloride was used to protect the amine group of 4-bromo aniline and the other two equivalents served as the acylating reagent, as well as the solvent for the process (Scheme 2). The temperature is also an important factor in this reaction. No Friedel-Crafts acylation was observed until the temperature reached 220–230 °C. The formation of an acylium ion was the key intermediate for the successful completion of the reaction [61]. The reagents and apparatus need to be completely anhydrous to perform this reaction, otherwise, trace amounts of moisture will destroy the acylium ion. The benzamide required hydrolysis under harsh conditions, as reported, to deprotect the amine. A mixture of concentrated H2SO4, CH3COOH, and H2O was used in a ratio of 2:1:1 to perform this hydrolysis. The reaction mixture was heated to reflux for 18 h and the crude product was purified by an acid-baseextraction, followed by silica gel column chromatography (EtOAc: hexane =1:9).
The peptide coupling reaction between starting amines (6 and 8), and the chiral amino acid was performed in the presence of a peptide coupling reagent, N, N’-dicyclohexylcarbodiimide (DCC) (Scheme 3). The treatment of 6 and 8 with R and S amino acids, N-Boc-D-Ala-OH and N-Boc-Ala-OH individually in the presence of DCC led to the formation of amides 911 in various yields (72–88%) on different gram scales. An interesting observation was found here. The yield of the peptide coupling reaction for the 2′ N-pyridino benzophenone was higher than the 2′Cl benzophenone. These peptide analogs were purified from an EtOAc-hexane reslurry. No column chromatography was involved to purify these analogs. The amide intermediates 911 underwent acid-mediated Boc-deprotection and subsequent cyclization in methanol under neutral conditions to produce the benzodiazepine intermediates 1214 in good yield, respectively (Scheme 3) in 99% ee. The third step was the synthesis of the imidazodiazepines (1517) by installing the imidazole ring on the seven-member ring of benzodiazepines 1214 (Scheme 3). The 1.3 equivalents of potassium tert-butoxide in THF solution were used to deprotonate the benzodiazepines, followed by the addition of diethylchlorophosphate to form the iminophosphate intermediate at −30 °C. Then a second portion of base and ethyl isocyanoacetate were added at −20 °C. No chromatography was required to purify the product. Pure imidazodiazepines (1517) were obtained by washing the crude solid with tert -butyl methyl-ether. The hot tert -butyl methyl-ether wash sufficiently removed any traces of byproducts related to the phosphate-related byproducts. The next step in the reaction sequence was the conversion of aryl bromides 1517 into the silyl-protected ethynyl group by a copper-free Sonogashira coupling [64,65]. Pd plays a role in both cycles of the reaction. The copper free Sonogashira coupling of imidazodiazepine intermediate with TIPS-acetylene led to the formation of TIPS-protected imidazodiazepines 1820 in 78–86% yield.
Then the fluoride-mediated deprotection of the silyl protecting group resulted in the formation of 8-ethynyl imidazodiazepines 1820, respectively. The careful addition of TBAF (1 M solution of THF) at a temperature of −10 °C resulted in successful deprotection of the TIPS group and produced 1820 in various yields. These compounds were purified from a methanol-water mixture by removing the impurities related to tetrabutyl ammonium salts with no chromatography necessary.
The ethyl esters 1820, and 24 were then hydrolyzed into the corresponding acids 2528 by using a base. Compound 24 was made earlier according to the literature procedure [47]. Previously, NaOH was used as a base to hydrolyze the esters. There was no issue with the hydrolytic capacity of NaOH but a gel was formed during the workup of the reactions mentioned earlier. Acetic acid needed to add to neutralize the excess base and to precipitate the acidic product with continuous stirring. However, the gel formation made the stirring almost impossible. In the new method, LiOH was used as the base. This resolved the gel formation problem; it did not occur. The carboxylic acids were purified from hot ethanol by recrystallization. The acids (2528) were converted into acid chlorides, respectively, by a Vilsmeier-related chlorination process. The desired amide analogs were achieved by incorporating various substituted nucleophilic amines. (2932) of IMDZ (1) with 99% ee. The yield of these amides was in the range of 70–80%. The amides (2932) were purified by silica gel column chromatography individually using 100% ethyl acetate.
Thioamides are considered as one of the important bioisosteres of an amide function. The sulfur atom is relatively larger in size and lower in electronegativity than an oxygen atom. Consequently, the sulfur atom is able to accept more charge density transferred from the nitrogen atom in a thioamide, as compared to an amide moiety due to its larger size of the former [66]. Based on these characteristics, a thioamide analog, 33 was prepared. The thioamide 33 was synthesized by using Lawesson’s reagent (LR) [67,68] in refluxing THF for 36 h in a sealed tube, as illustrated in Scheme 3. The LR needs to be handled very carefully in a fume hood because of its unpleasant odor. A reactive dithiophosphine ylide forms from the Lawesson’s reagent in solution at the beginning of the reaction, which is the key for this process. Once the reaction was done, the solvents were removed under reduced pressure, and the contents were loaded onto a column under a fume hood. A mixture of EtOAc:hexane (2:3) was used to remove the excess LR and impurities and this was followed by collection of the pure product from EtOAc:hexane (4:1). The yield of this reaction was 63%.

2.1.2. Oxadiazole Analogs of IMDZ 1

Oxadiazole rings play an important role in the field of drug discovery, and they have been introduced in these programs for a variety of reasons. For instance, they contribute to ligand binding as an essential part of the pharmacophore [69]. In many cases, these moieties serve as flat, aromatic-like linkers where the substituents are placed in the proper orientation [70]. Oxadiazoles can also modulate the molecular properties by incorporating them in the periphery of the molecule [71]. Finally, oxadiazoles are also employed as bioisosteric replacements for carbonyl-containing compounds such as esters and amides [72,73,74]. Oxadiazole rings can exist in multiple regioisomeric forms such as the two available 1,2,4-isomers (if asymmetrically substituted), a 1,3,4- isomer and a 1,2,5-isomer, among which the 1,2,5-regioisomer is less common than the other two isomers [75,76]. Hydrogen bond acceptor properties are also exhibited by oxadiazoles and different hydrogen bonding properties are observed by the regioisomers. Taking into consideration these factors, a series of 1,2,4-oxadiazole analogs were synthesized, specifically designed to resemble the structure of esters 18, 19, 20, and amide IMDZ 1 (1). The 1,2,4-oxadiazole analogs of IMDZ 1 were synthesized from the different imidazodiazepine ethyl esters bearing different substituents (Scheme 4). The ethyl esters were treated with different oximes (ethyl, cyclopropyl, and isopropyl) in the presence of sodium hydride in order to form the 1,2,4-oxadiazoles [48].
The oximes were treated with sodium hydride in THF for an hour and then a solution of the ethyl ester (3, 24, 34, and 20 A) in THF was added to it. Compound 24 and 34 was synthesized according to the procedure outlined in the literature [47] (Supplementary Materials). Caution should be employed regarding the amount of sodium hydride. If the hydride is not very good, the reaction does not go to completion. If the hydride is good and the equivalents are higher than 1.3, an olefinic migration of the C=N double bond can occur and a trisubstituted enamine by-product can form. It is non-polar and easily differentiated from the corresponding oxadizole products on silica gel (TLC). An olefinic migrated by-product was observed in the case of compound 36 (41, Figure 3 and Figure 4). That is why the yield for this reaction was only 53%. In other cases, the yield varied from 73 to 80%, respectively.
The 8-cyclopropyl oxadiazole analog, 46 was synthesized from 8-bromo imidazodiazepine ester (2) by treatment with NaH in THF with ethyl oxime and this was followed by Suzuki coupling with cyclopropyl boronic acid. A non-chiral version of 46, compound 44 was prepared in similar fashion (Scheme 5). These ligands are now being tested in the Y-maze assay and FST to determine their procognitive and anti-depressive profile.

2.2. Receptor Binding Studies

To determine if any off-target receptor-binding effects are present, all the novel ligands were sent to the National Institute of Mental Health (NIMH), Psychoactive Drug Screening Program (PDSP). The ligands were screened over a panel of 47 receptors, ion channels, and transporters to determine any other possible interactions with the GABAA receptor. The hERG-binding was also determined. Any ligands that showed significant inhibition (over 50%) in the primary binding screens were further tested in the secondary binding assay to obtain a Ki (nM) value. Most of the ligands showed binding affinity at GABAARs but this data did not represent the individual binding affinity of different Bz alpha/beta/gamma2-subtypes but was on synaptosomal membranes. No binding of the test compounds to calcium channels was observed. This evidence suggested no physiological events on cardiac and smooth muscle cells [77], nor NMDA receptors [78] by these analogs. It is necessary to screen the compounds for hERG-binding during the early process of drug discovery. The unintentional binding of many drugs to hERG can cause blockade of hERG K+ channels in the heart, which can cause many side effects including cardiac arrhythmias and sudden death [79]. Hence, it is essential to screen compounds for hERG activity to assess any potential off-target effects of the test compounds.. All of the α5 imidazodiazepines were tested for hERG-binding. The test compounds did not bind to undesirable voltage-sensitive K+ hERG channels (Table 1).
The compounds were also screened at PDSP to determine any binding with peripheral benzodiazepine receptors (PBR). A number of biological processes are associated with PBR. The most prevalent are transportation of anions for mitochondrial transmembrane potential, biosynthesis of heme, regulation of neurological damage, proliferation, cell death (apoptosis), as well as regulation of steroidogenesis [80]. The test compounds were screened in the primary binding assay to determine the % inhibition at PBR. A number of compounds were found to inhibit more than 50% in the primary binding assay. These compounds were then subjected to a secondary screening to determine the Ki (nM) value for PBR receptors. Secondary screening results revealed that no ligand was found to bind to PBR at greater than 550 nM, which is considered very weak affinity. The structures of the compounds and binding affinity at PBR are summarized in Table 2.
Along with above mentioned receptors, binding affinity of a few imidazodiazepines was also exhibited at kappa opioid receptors (KOR). Opioid receptors are a family of inhibitory G-coupled protein receptors where opioids act as the ligand. The kappa opioid receptors (KOR), µ and δ opioid receptors (MOR and DOR), and nociception opioid receptor (NOP) fall under the family of opioids receptors [81]. It has been reported that oxadiazole imidazodiazepines can mediate analgesic and anti-inflammatory properties mediated also by the κ opioid receptor (KOR) [82]. The binding at KOR is usually silent. The affinities of the test compounds for KOR, DOR, and MOR were determined using radioligand binding assays at a screening concentration of 10,000 nM in collaboration with the National Institute of Mental Health’s Psychoactive Drug Screening Program (PDSP), as mentioned before. Concentration-dependent experiments were conducted to determine Ki values for the compounds that exceeded more than 50% radioligand displacement in primary binding assays. Many of these proposed alpha-5 selective imidazodiazepines exhibited some KOR affinities and the % KOR inhibition and Ki values for chiral and achiral imidazodiazepines are summarized in Table 3.
The imidazodiazepine, 40 exhibited the highest affinity for KOR (Ki = 49.8 nM) (Table 3, entry 11). This ligand in the series also exhibited a little affinity for MOR (49% inhibition). It was observed that oxadiazoles bearing different substitutions showed appreciable KOR binding affinity (Table 3, compounds 39, 40, 41, 47, and 49). One oxadizole, the imidazodiazepine containing the C-8 phenyl group did not show mentionable binding affinity towards KOR but it showed a reasonable affinity towards DOR (Table 3, compound 38). Imidazodiazepines containing bromo, chloro- or a cyclopropyl- group at the C-8 position showed superior KOR binding affinity than phenyl or ethyinyl at the C-8 position (Table 3). The BZR binding affinity of the test compounds was also measured using rat brain BzR. A few of the compounds showed good to moderate binding affinity towards these Bz receptors as predicted. The efficacy of imidazodiazepines on the benzodiazepine receptor depends on various factors, including the specific subtype of the receptor they bind to, their chemical structure, and the dose. The data are presented in Table 4.
Only three of the newly synthesized ligands demonstrated promising results in in-vitro assays on BzR. These are currently being investigated in in vivo animal models to characterize their putative anxiolytic, antidepressant, and pro-cognitive effects and identify any possible CNS side effects It is important to note that imidazodiazepines are a distinct class of compounds and should not be confused with benzodiazepines. Unlike benzodiazepines, many imidazodiazepine ligands have shown clinical potential without causing ataxia, sedation, and dependence side effects, often reported with benzodiazepines.

3. Materials and Methods

All reactions were performed in round-bottom flasks with magnetic stir bars or overhead stirs under an argon atmosphere. Organic solvents were purified when necessary by standard methods or purchased from Sigma-Aldrich Chemicals. The reagents and other chemicals were purchased from either Sigma-Aldrich, Oakwood Chemical, Alfa Aesar, Matrix Scientific, Admiral Chemical Company, or Acros Organic. The progress of reactions was visualized with TLC plates from Dynamic Adsorbents, Inc. under a UV light. An LCMS 2020 was used to monitor the progress of some reactions. The flash column chromatography was carried out for purification of some analogs on silica gel (230–400 mesh, Dynamic Adsorbents). A normal phase Agilent HPLC was used to determine the ratio of optically active enantiomers, as well as to determine %ee. The 1H NMR and 13C NMR spectra were obtained on a Bruker Spectrospin 500 MHz instrument in CDCl3 and chemical shifts were reported in δ (ppm). Multiplicities are represented as follows: singlet (s), broad signal (br), doublet (d), triplet (t), quartet (q), dd (doublet of doublets), and multiplet (m). The technique employed for HRMS was carried out on a LCMS-IT-TOF at the Milwaukee Institute for Drug Discovery in the Shimadzu Laboratory for Advanced and Applied Analytical Chemistry.

3.1. Synthetic Procedures

3.1.1. Synthesis of Ethyl(R)-6-(2′-fluorophenyl)-4-methyl-8-phenyl-4H-benzo[f]imidazo[1,5-a][1,4]diazepine-3-carboxylate (3)

Pd(OAc)2 (0.1 g, 0.45 mmol), tri-(o-tolyl) phosphine (0.274 g, 0.9 mmol) were dissolved in toluene (10 mL) and the mixture was stirred for 10 min under an argon atmosphere to generate the Pd(OAc)2-p-o-(tol)3-phosphine catalyst in-situ. Then the imidazodiazepine, ethyl(R)-8-bromo-6-(2′-fluorophenyl)-4-methyl-4H-benzo [f]imidazo[1,5-a][1,4]diazepine-3-carboxylate (2, 2.5 g, 5.63 mmol), phenyl boronic acid (2.05 g, 16.8 mmol), tri-basic potassium phosphate (5.37 g, 25 mmol), water (0.5 mL, 25 mmol), and additional toluene (15 mL) were added sequentially to the previous reaction mixture under argon. The reaction mixture was then stirred at 100 °C for 12 h until the consumption of starting material was confirmed by LCMS 2020 (single quadrupole mass analyzer). The Rf value on TLC (silica gel; neutral alumina; 60% ethyl acetate-hexane, Rf = 0.4) for both the reactant and product were almost identical. That is why the completion of the reaction required confirmation by LCMS 2020. The reaction mixture was cooled and opened to the air once all the starting material was consumed. The reaction mixture was passed through a pad of celite beads to remove any palladium salts. The filtrate was diluted with water (20 mL) and ethyl acetate (30 mL). The biphasic mixture, which resulted, was allowed to stand to separate. The organic layer was collected and the aq layer was extracted (2 × 10 mL). The combined organic layer was washed with 10% aq NaCl (3 × 10 mL) and dried (Na2SO4). The solvents were removed under reduced pressure. The orange-colored residue, which resulted, was purified by flash chromatography (silica gel 100 g, 80% EtOAc-hexane). The desired fractions were pooled, and the solvents were removed. The solid residue was dried under vacuum for 2 h to afford an off-white-colored powder of 3 (1.4 g, 71%). 1H NMR (500 MHz, CDCl3) δ 7.99 (s, 1H), 7.81 (d, J = 8.1 Hz, 1H), 7.67 (d, J = 8.3 Hz, 1H), 7.64 (t, J = 7.3 Hz, 1H), 7.51–7.41 (m, 6H), 7.39 (t, J = 7.1 Hz, 1H), 7.25 (t, J = 7.5 Hz, 1H), 7.03 (t, J = 9.2 Hz, 1H), 6.73 (q, J = 7.2 Hz, 1H), 4.46–4.35 (m, 2H), 1.43 (t, J = 7.1 Hz, 3H), 1.34 (d, J = 7.3 Hz, 3H).
13C NMR (126 MHz, CDCl3) δ 164.04 (s), 163.09 (s), 160.19 (d, 1JC-F = 250.3 Hz), 141.74 (s), 140.47 (s), 138.73 (s), 134.91 (s), 133.70 (s), 131.80 (d, 3JC-F = 8.1 Hz), 131.27 (s), 130.41 (s), 129.84 (s), 129.36 (s), 129.07 (s), 128.90 (s), 128.31 (s), 127.09 (s), 124.45 (d, 4JC-F = 3.0 Hz), 122.47 (s), 116.15 (d, 2JC-F = 21.6 Hz), 60.72 (s), 50.16 (s), 14.85 (s), 14.47 (s). HRMS (ESI/IT-TOF) m/z: [M + H]+ Calcd for C27H22N3O2F 440.1769; found 440.1745; %ee > 99.0% (Chiral pak IBN3-4.6 mm × 150 mm, 3 µm).

3.1.2. Synthesis of (R)-6-(2′-Fluorophenyl)-4-methyl-8-phenyl-4H-benzo[f]imidazo[1,5-a][1,4]diazepine -3-carboxylic acid (4)

The ethyl ester, ethyl(R)-6-(2′-fluorophenyl)-4-methyl-8-phenyl-4H-benzo[f]imidazo[1,5-a][1,4]diazepine-3-carboxylate (3, 1.3 g, 2.9 mmol) was dissolved in THF (20 mL) and a solution of LiOH (0.28 g, 12 mmol) in water (5 mL) was added dropwise to the former THF solution. The mixture was then stirred for 1 h at 50 °C. The completion of the reaction was confirmed by TLC (silica gel, 100% EtOAc, Rf of 3 = 0.5; Rf of Li salt of 4 = base line). At the end of the reaction, the mixture was cooled to rt. Then water (20 mL) was added to dilute the mixture and acetic acid (0.82 mL, 14.5 mmol) was added to adjust the pH to 4–5. The THF was removed under reduced pressure and the mixture was kept for 5 h to maximize the precipitation. The solid reside, which resulted, was filtered, washed with water (4 × 10 mL), and dried under vacuum. The residue was then slurried with EtOAc (10 mL) and stirred at 50 °C for 10 min. The mixture was cooled to rt and held there for 3 h. The solid, which formed, was filtered, washed with EtOAc (2 × 10 mL), and dried under vacuum at 40 °C for 2 h to afford a white powder of 4 (1.0 g, 84%). 1H NMR (500 MHz, MeOD) δ 8.45 (s, 1H), 8.02 (s, 2H), 7.63 (t, J = 7.1 Hz, 1H), 7.59–7.50 (m, 3H), 7.45 (t, J = 7.5 Hz, 2H), 7.42–7.37 (m, 2H), 7.33 (t, J = 7.5 Hz, 1H), 7.20 (t, J = 9.3 Hz, 1H), 6.56 (q, J = 7.1 Hz, 1H), 1.21 (d, J = 7.0 Hz, 3H).
13C NMR (126 MHz, DMSO-d6) δ 164.84 (s), 163.67 (s), 159.91 (d, 1JC-F = 248.0 Hz), 140.90 (s), 139.37 (s), 138.42 (s), 136.52 (s), 133.97 (s), 132.47 (s), 131.96 (s), 130.84 (s), 129.67 (s), 129.62 (s), 129.27 (d, 3JC-F = 12.5 Hz), 128.76 (s), 128.07 (s), 127.16 (s), 125.11 (d, 4JC-F = 2.4 Hz), 123.96 (s), 116.35 (d, 2JC-F = 21.3 Hz), 49.82 (s), 15.06 (s).HRMS (ESI/IT-TOF) m/z: [M—H]- Calcd for C27H22N3O2F 410.1310; found 410.1312; %ee > 99.0% (Chiral pak IBN3-4.6 mm × 150 mm, 3 µm).

3.1.3. Synthesis of (R)-6-(2′-Fluorophenyl)-N,N,4-trimethyl-8-phenyl-4H-benzo[f]imidazo[1,5-a][1,4]diazepine-3-carboxamide (5)

A mixture of 4, (R)-6-(2′-fluorophenyl)-4-methyl-8-phenyl-4H-benzo[f]imidazo[1,5-a][1,4]diazepine-3-carboxylic acid (350 mg, 0.85 mmol), thionyl chloride (0.6 mL, 8.5 mmol), a catalytic amount of anhydrous N,N-dimethyl formamide (0.1 mL, 0.085 mmol) and anhydrous DCM (20 mL) were charged into an oven-dried round-bottom flask under argon. Thesuspension, which resulted, was allowed to reflux at 50 °C for 1 h under argon. The organic solvent and excess thionyl chloride were removed under reduced pressure on a rotary evaporator and the evaporation repeated five times with anhydrous DCM (5 × 10 mL). The resulting yellow residue was dissolved in anhydrous DCM (20 mL) and cooled to 0 °C for 10 min under argon, followed by addition of a solution of N,N-dimethylamine (4.25 mL, 8.5 mmol). The mixture was then allowed to warm to rt and stirred for an hour. After the completion of the reaction by TLC (silica gel), the mixture was diluted with ice cold water (15 mL) and extracted with DCM (3 x 20 mL). The combined organic layer was washed with brine (20 mL), dried (Na2SO4) and the residue was purified by silica gel flash chromatography (EtOAc and 1% trimethylamine) to furnish pale yellow solid of 5 (0.29 g, 80%). 1H NMR (500 MHz, CDCl3) δ 7.98 (s, 1H), 7.83 (d, J = 7.9 Hz, 1H), 7.68–7.64 (m, 1H), 7.62 (d, J = 8.2 Hz, 1H), 7.52–7.43 (m, 6H), 7.41–7.37 (m, 1H), 7.25 (t, J = 7.5 Hz, 1H), 7.02 (ddd, J = 9.2, 1.6, 0.8 Hz, 1H), 4.40 (q, J = 6.7 Hz, 1H), 3.14 (s, 3H), 3.03 (s, 3H), 1.96 (d, J = 6.6 Hz, 3H). 13C NMR (126 MHz, CDCl3) δ 166.37 (s), 163.44 (s), 160.30 (d, 1JC-F = 251.4 Hz), 140.39 (s), 138.96 (s), 133.84 (s), 131.93 (d, 3JC-F = 8.1 Hz), 131.38 (d, 4JC-F = 2.4 Hz), 130.67 (s), 129.52 (s), 129.04 (s), 128.61 (s), 128.21 (s), 127.14 (s), 124.46 (s), 123.07 (s), 116.15 (d, 2JC-F = 21.5 Hz), 51.97 (s), 38.46 (s), 34.77 (s), 18.12 (s) HRMS (ESI/IT-TOF) m/z: [M + H] + Calcd for C27H23FN4O 439.1929; found 439.1908. %ee >99% (HPLC) (Chiral pak IBN3-4.6 mm × 150 mm, 3 µm).

3.1.4. Synthesis of (2-Amino-5-bromophenyl)(2-chlorophenyl)methanone (7)

A round-bottom flask was charged with 2-chlorobenzoyl chloride (515.3 mL, 4069 mmol) and then it was heated to 100–120 °C under an argon atmosphere. At that point, 4-bromoaniline (200 g, 1163 mmol) was added and the mixture was stirred for 5 min at 100–120 °C. Evolution of HCl (g) occurred and a clear homogenous solution resulted after the evolution of all HCl(g). The mixture was then heated. When the temperature reached 200–210 °C, anhydrous ZnCl2 (317 g, 2326 mmol) was added to the reaction mixture. The evolution of HCl (g) was also observed at this point. The mixture was allowed to heat to 200–220 °C for 3 h, at which point the evolution of HCl(g) was completed. The reaction mixture was then cooled to 120 °C and water (400 mL) was added slowly. The mixture was allowed to reflux for 30 min and the hot water was decanted. This step was repeated 5 times. The mixture was then dissolved in a solution of H2SO4 (400 mL), acetic acid (200 mL), and water (200 mL). The reaction mixture was stirred for 24 h under reflux conditions. The mixture was then cooled to rt and basified slowly by adding aq 25% K2CO3 solution (3000 mL). Then ethyl acetate (3000 mL) was added, and the mixture was stirred for 10 min. The biphasic mixture, which resulted, was allowed to stand for 20 min to separate the layers. The layers were separated and the aq layer was extracted with ethyl acetate (2 × 400 mL). The combined organic layers were washed with aq 25% K2CO3 solution (1 × 2000 mL), aq 10 % NaCl (2 × 1000 mL), and dried (MgSO4). The ethyl acetate was removed under reduced pressure. The residue was dissolved in DCM (500 mL) and silica gel was added to remove the gummy black residue. The mixture was stirred for 1 h and the silica gel was filtered off, washed with DCM (2 × 400 mL). The solvents were removed under reduced pressure and the residue was purified by column chromatography (silica gel, 100% hexane to 10% EtOAc-hexane). The desired fractions were pooled, and the solvents were removed under reduced pressure. The solid residue was dried under vacuum to afford pure 7 as a yellow-colored powder (126 g, 39%). Rf = 0.6 (silica gel, 10% EtOAc-hexane). 1H NMR (500 MHz, CDCl3) δ 7.50–7.47 (m, 1H), 7.44 (td, J = 7.7, 1.4 Hz, 1H), 7.40–7.35 (m, 2H), 7.32 (dd, J = 7.5, 1.2 Hz, 1H), 7.28 (d, J = 2.1 Hz, 1H), 6.64 (d, J = 8.8 Hz, 1H), 6.52 (s, 1H). 13C NMR (126 MHz, CDCl3) δ 196.36 (s), 150.27 (s), 138.97 (s), 137.90 (s), 136.19 (s), 130.81 (s), 130.73 (s), 130.10 (s), 128.44 (s), 126.84 (s), 118.94 (s), 118.63 (s), 106.70 (s). HRMS (ESI/IT-TOF) m/z: [M + H] Calcd for C13H9NOClBr 309.9628; found 309.9632.

3.1.5. Synthesis of Tert-butyl(R)-(1-((4-bromo-2-(2′-chlorobenzoyl)phenyl)amino)-1- oxopropan -2-yl) carbamate (9)

The benzophenone 7, (2-amino-5-bromophenyl)(2′-chlorophenyl)methanone (50 g, 161 mmol), and Boc-D-Ala-OH (60.9 g, 322 mmol) were dissolved in DCM (500 mL) and a solution of DCC (66.43 g, 322 mmol) in DCM (150 mL) was added dropwise to the previous mixture at −10 °C over a period of 30 min. The mixture was then allowed to warm to rt and stirred for 30 h. The white-colored dicyclohexyl urea, which formed, was filtered off and washed with DCM (3 × 100 mL) unless the residue was completely white. The DCM was removed under reduced pressure and the oily mass was purified by column chromatography (silica gel, 3% EtOAc-hexane to 10% EtOAc-hexane). The required fractions were collected, and the solvents were evaporated under reduced pressure. The residue was dried under vacuum for 3 h to afford a light, yellow-colored powder of 9 (50.41 g, 65%). 1H NMR (500 MHz, CDCl3) δ 11.90 (s, 1H), 8.77 (d, J = 9.1 Hz, 1H), 7.69 (dd, J = 9.0, 2.1 Hz, 1H), 7.51–7.49 (m, 2H), 7.46 (d, J = 2.0 Hz, 1H), 7.42 (ddd, J = 7.6, 5.5, 3.1 Hz, 1H), 7.34–7.31 (m, 1H), 5.20 (q, J = 28.7 Hz, 1H), 4.39 (s, 1H), 1.54 (d, J = 7.3 Hz, 3H), 1.46 (s, 9H). 13C NMR (126 MHz, CDCl3) δ 197.77 (s), 176.81 (s), 172.68 (s), 140.25 (s), 138.36 (s), 137.93 (s), 136.33 (s), 131.66 (s), 131.04 (s), 130.32 (s), 128.78 (s), 126.93 (s), 123.49 (s), 122.57 (s), 114.93 (s), 51.93 (s), 28.31 (s), 18.58 (s), 18.45 (s). HRMS (ESI/IT-TOF) m/z: [M + Na]+ Calcd for C21H22N2O4ClBr 503.0343; found 503.0343.

3.1.6. Synthesis of Tert-butyl(S)-(1-((4-bromo-2-picolinoylphenyl)amino)-1-oxopropan-2-yl) carbamate (11)

The commercially available benzophenone, (2-amino-5-bromophenyl)(pyridin-2-yl)methanone (8, 50 g, 180 mmol) and BOC-L-alanine (44.5 g, 234 mmol) were dissolved in DCM (400 mL), and the mixture was cooled to −10 °C using an ice-methanol bath. A solution of peptide coupling reagent DCC (59.4 g, 288 mmol) in DCM (200 mL) was added dropwise to the reaction mixture over a period of 60 min, while the temperature was maintained at −10 °C to −5 °C. The mixture was then allowed to warm to rt and stirred for 30 hr. The consumption of starting material was monitored by TLC (silica gel, 30% EtOAc-hexane, 1% TEA). Once the reaction was done, the white dicyclohexyl urea byproduct was filtered off and the residue was washed with DCM (3 × 100 mL). The combined DCM layers were removed under reduced pressure and a yellow-colored oil resulted. The oil was slurried with 5% EtOAc-hexane (250 mL) and stirred for 30 min at 55 °C. The yellow-colored oil turned into a white-colored powder floating on the flask during this stirring. The mixture was cooled to rt and held for 2 h. The solid, which formed, was filtered, washed with 5% EtOAc-hexane (3 × 50 mL), and dried under vacuum for 2 h at 40 °C to afford pure 11 as a white powder (69.56 g, 86%). Rf = 0.4 (silica gel, 30% EtOAc-hexane); 1H NMR (500 MHz, CDCl3) δ 11.39 (s, 1H), 8.74 (d, J = 4.3 Hz, 1H), 8.63 (d, J = 9.0 Hz, 1H), 7.98 (d, J = 2.0 Hz, 1H), 7.96–7.92 (m, 2H), 7.68 (dd, J = 9.0, 2.0 Hz, 1H), 7.53 (dd, J = 8.8, 4.7 Hz, 1H), 5.15 (s, 1H), 4.29 (q, 1H), 1.49 (d, J = 7.2 Hz, 3H), 1.46 (s, 9H); 13C NMR (126 MHz, CDCl3) δ 195.40 (s), 172.04 (s), 155.28 (s), 155.06 (s), 148.72 (s), 139.86 (s), 137.31 (s), 136.87 (s), 126.46 (s), 124.79 (s), 123.74 (s), 122.80 (s), 114.82 (s), 80.29 (s), 51.66 (s), 28.31 (s), 18.65 (s); HRMS (ESI/IT-TOF) m/z: [M + H] + Calcd for C20H22N3O4Br 448.0866; found 448.0899.

3.1.7. Synthesis of Tert-butyl(R)-(1-((4-bromo-2-picolinoylphenyl)amino)-1-oxopropan-2-yl) carbamate (10)

Compound 10 was synthesized using the identical protocol as compound 11, employing the same scale, and was obtained as a white powder after isolation (68.2 g, 85.2%). Rf = 0.4 (silica gel, 30% EtOAc-hexane).
1H NMR (500 MHz, CDCl3) δ 11.40 (s, 1H), 8.78 (dd, J = 25.2, 6.7 Hz, 1H), 8.64 (d, J = 9.0 Hz, 1H), 7.99 (d, J = 1.8 Hz, 1H), 7.95 (d, J = 4.3 Hz, 2H), 7.69 (dd, J = 9.0, 1.9 Hz, 1H), 7.54 (dd, J = 8.9, 4.6 Hz, 1H), 5.12 (s, 1H), 4.37 (q, J = 24.3 Hz, 1H), 1.49 (d, J = 7.2 Hz, 3H), 1.46 (s, 9H).
13C NMR (126 MHz, CDCl3) δ 195.41 (s), 172.01 (s), 155.06 (s), 148.72 (s), 139.86 (s), 137.31 (s), 136.87 (s), 126.45 (s), 124.79 (s), 123.71 (s), 122.80 (s), 114.82 (s), 80.31 (s), 51.66 (s), 28.30 (s), 18.67 (s). HRMS (ESI/IT-TOF) m/z: [M + H] + Calcd for C20H22N3O4Br 448.0866; found 448.0877.

3.1.8. Synthesis of (R)-7-Bromo-5-(2′-chlorophenyl)-3-methyl-1,3-dihydro-2H-benzo [e][1,4]diazepin-2-one (12)

The Boc protected amide 9 (50 g, 100 mmol) was dissolved in DCM (500 mL) and 2 M HCl in ether (207.5 mL, 400 mmol) was added dropwise to that mixture at −10 °C. The reaction mixture was stirred for 10 h at rt until the consumption of starting material (TLC) was completed. The completion of the reaction was confirmed by TLC (silica gel, 50% EtOAc-hexane). The reaction mixture was neutralized by adding 10% aq NaHCO3 solution (450 mL). The layers were separated, and the organic layers were collected. The aq layer was extracted with DCM (2 × 100 mL). The combined organic layers were washed with 10% aq NaHCO3 solution (200 mL), and this was followed by 10% aq NaCl solution (2x 250 mL), and then it was dried (Na2SO4). The solvents were removed under reduced pressure. The oil, which resulted, was dissolved in anhydrous methanol (300 mL) and the mixture was stirred for 6 h at 40 °C. The consumption of starting material was confirmed by TLC (silica gel, 50% EtOAc-hexane). The methanol was removed under reduced pressure. The gummy mass, which resulted, was dissolved in DCM (400 mL) and water (400 mL) was added. The biphasic mixture, which resulted, was separated and the organic layers were collected. The aq layer was extracted with DCM (2 × 100 mL). The combined organic layers were washed with 10% aq NaCl (2 × 200 mL) and dried (Na2SO4). The solvents were removed under reduced pressure and the residue was purified by flash chromatography (silica gel, 50% EtOAc-hexane). The desired fractions were collected, and the solvents were removed under reduced pressure. The residue was dried under vacuum for 4 h to afford a light-yellow colored solid of 12 (30.5 g, 81%). Rf = 0.4 (silica gel, 50% EtOAc-hexane); 1H NMR (500 MHz, CDCl3) δ 9.75 (bs, 1H), 7.58 (d, J = 8.6 Hz, 1H), 7.52 (d, J = 5.5 Hz, 1H), 7.38 (t, J = 4.8 Hz, 3H), 7.22 (s, 1H), 7.12 (d, J = 8.6 Hz, 1H), 3.83 (q, J = 6.4 Hz, 1H), 1.78 (d, J = 6.5 Hz, 3H).13C NMR (126 MHz, CDCl3) δ 172.24 (s), 167.27 (s), 138.22 (s), 136.93 (s), 134.72 (s), 133.32 (s), 131.88 (s), 131.13 (s), 130.90 (s), 130.18 (s), 129.86 (s), 127.02 (s), 122.81 (s), 116.46 (s), 58.77 (s), 16.89 (s). HRMS (ESI/IT-TOF) m/z: [M + H] Calcd for C16H12N2OClBr 362.9894; found 362.9895. %ee > 99%

3.1.9. Synthesis of (S)-7-Bromo-3-methyl-5-(pyridin-2′-yl)-1,3-dihydro-2H-benzo[e][1,4]diazepin-2-one (14)

A solution of 4 M HCl in dioxane (153.9 mL, 616 mmol) was added dropwise into a stirred solution of the N-Boc protected amide, tert-butyl (S)-(1-((4-bromo-2′-picolinoylphenyl)amino) -1-oxopropan-2-yl)carbamate 11 (69 g, 154 mmol) in DCM (500 mL) at −10 °C. The solution was allowed to warm to rt and allowed to stir for 12 h at rt. The consumption of the starting material was confirmed by TLC (silica gel, 60% EtOAc-hexane with 1% TEA). At the end of the reaction progress, the mixture was neutralized with aq 5% NaHCO3 solution (600 mL) and the organic layer was extracted with dichloromethane (2 × 500 mL). The combined organic layer was washed with aq 5% NaHCO3 solution (250 mL) and aq 10% NaCl solution (2 × 350 mL). The solvents were removed under reduced pressure and the oily mass, which resulted, was dissolved in methanol (500 mL). The mixture was stirred for 20 h at rt until the consumption of starting material was observed (TLC). Once the reaction was done, all the solvents were removed under reduced pressure and the residue was dissolved in DCM (1000 mL), after which water (500 mL) was added to dilute the mixture. The biphasic mixture, which resulted, was allowed to stand for 5 min to separate the layers. The organic layers were collected and the aq layer was extracted with DCM (2 × 250 mL). The combined organic layer was washed with brine (2 × 200 mL) and dried (Na2SO4). The solvents were removed under reduced pressure and the residue was slurried with 10% EtOAc-hexane (300 mL) and stirred for 30 min at 50 °C. The mixture was cooled to rt and maintained at rt for 3 h to maximize precipitation. The solid residue was washed with 10% EtOAc-hexane (2 × 30 mL) and dried under vacuum at 40 °C for 2 h to afford a white-colored powder of 14 (41.67 g, 82%). Rf = 0.5 (silica gel, 60% EtOAc-hexane with 1% TEA). 1H NMR (500 MHz, CDCl3) δ 9.76 (bs, 1H), 8.62 (dd, J = 4.7, 0.7 Hz, 1H), 7.98 (d, J = 7.9 Hz, 1H), 7.80 (td, J = 7.7, 1.7 Hz, 1H), 7.54 (dd, J = 8.6, 2.3 Hz, 1H), 7.49 (d, J = 2.2 Hz, 1H), 7.36 (ddd, J = 7.5, 4.8, 1.0 Hz, 1H), 7.05 (d, J = 8.7 Hz, 1H), 3.81 (q, J = 6.4 Hz, 1H), 1.75 (d, J = 6.5 Hz, 3H); 13C NMR (126 MHz, CDCl3) δ 172.27 (s), 166.24 (s), 155.89 (s), 148.78 (s), 137.66 (s), 137.01 (s), 134.55 (s), 133.66 (s), 128.16 (s), 124.68 (s), 124.23 (s), 122.98 (s), 115.90 (s), 59.10 (s), 16.92 (s). HRMS (ESI/IT-TOF) m/z: [M + H] + Calcd for C15H12N3OBr 330.0236; found 330.0256. %ee >99% (HPLC).

3.1.10. Synthesis of (R)-7-Bromo-3-methyl-5-(pyridin-2′-yl)-1,3-dihydro-2H-benzo[e][1,4]diazepin-2-one (13)

Compound 13 was synthesized by using the same protocol as employed for 14 on an identical scale and isolated as a white-colored powder of 13 (40.5 g, 81%). Rf = 0.5 (silica gel, 60% EtOAc-hexane with 1% TEA). 1H NMR (500 MHz, CDCl3) δ 9.26 (s, 1H), 8.62 (d, J = 4.8 Hz, 1H), 8.03–8.00 (m, 1H), 7.81 (t, J = 7.7 Hz, 1H), 7.60–7.55 (m, 1H), 7.52 (s, 1H), 7.36 (dd, J = 8.7, 3.7 Hz, 1H), 7.05 (d, J = 8.6 Hz, 1H), 3.83 (q,J = 11.9 Hz, 1H), 1.77 (d, J = 6.5 Hz, 3H).13C NMR (126 MHz, CDCl3) δ 172.24 (s), 166.39 (s), 156.07 (s), 148.91 (s), 137.49 (s), 136.85 (s), 134.55 (s), 133.80 (s), 128.32 (s), 124.63 (s), 124.14 (s), 122.88 (s), 116.02 (s), 59.05 (s), 16.93 (s). HRMS (ESI/IT-TOF) m/z: [M + H] + Calcd for C15H12N3OBr 330.0236; found 330. 330.0214. %ee >99% (HPLC).

3.1.11. Synthesis of Ethyl(R)-8-bromo-6-(2′-chlorophenyl)-4-methyl-4H-benzo[f]imidazo[1,5-a][1,4]diazepine-3-carboxylate (15)

The 1,4-benzodiazepine, (R)-7-bromo-5-(2′-chlorophenyl)-3-methyl-1,3-dihydro-2H-benzo[e][1,4]diazepin-2-one (12, 27 g, 74.2 mmol), was dissolved in anhydrous THF (300 mL) and a solution of potassium t-butoxide (10.83 g, 96.5 mmol) in anhydrous THF (60 mL) was added dropwise to that mixture at −20 °C, over a period of 20 min. The reaction mixture was then stirred for 1 h, while maintaining the temperature at −20 °C to −5 °C. Diethyl chlorophosphate (15.01 mL, 104 mmol) was added dropwise over a period of 15 min at−20 °C. The mixture was then allowed to stir for an additional 2 h. The reaction was then cooled to −30 °C and ethyl isocyanoacetate (10.5 mL, 96.5 mmol) was added dropwise to the mixture over a period of 15 min and this was followed by dropwise addition of a solution of t-BuOK (10.83 g, 96.5 mmol) in anhydrous THF (60 mL). The reaction was allowed to warm to rt and stirred for 8 h, at which point the reaction progress was deemed to be complete on analysis by TLC (silica gel, 60% EtOAc-hexane). A little starting material was observed on TLC. At the end of the reaction progress, the mixture was quenched by dropwise addition of aq 10% NaHCO3 (400 mL) and ethyl acetate (800 mL) was added with stirring. The mixture was allowed to stand for 10 min to separate the layers. The organic layer was separated, and the aqueous layer was extracted with ethyl acetate (2 × 150 mL). The combined organic layers were washed with aq 10% NaHCO3 (300 mL), aq 10% NaCl (2 × 300 mL), and dried (Na2SO4). The solvents were removed under reduced pressure. The black colored semi-solid, which resulted, was slurried with tert-butyl methyl ether (150 mL) and the mixture was stirred for 20 min at 50 °C. At that point, hexane (150 mL) was added to that mixture, and it was stirred for an additional 15 min at 50 °C. The mixture was allowed to cool to rt and held there for 5 h. The solid residue was filtered and washed with TBME-hexane (1:1, 3 × 50 mL). The residue was dried under vacuum for 4 h to obtain a light, orange-colored powder of 15 (19 g, 58%). Rf = 0.3 (silica gel, 60% EtOAc-hexane); 1H NMR (500 MHz, CDCl3) δ 7.91 (s, 1H), 7.71 (d, J = 8.0 Hz, 1H), 7.48 (d, J = 8.6 Hz, 2H), 7.44–7.34 (m, 4H), 7.27 (d, J = 11.2 Hz, 1H), 6.68 (q, J = 6.8Hz, 1H), 4.41 (dd, J = 14.2, 7.0 Hz, 2H), 1.42 (t, J = 7.1 Hz, 4H), 1.33 (d, J = 6.7 Hz, 3H); 13C NMR (126 MHz, CDCl3) δ 165.10 (s), 162.90 (s), 141.51 (s), 139.33 (s), 134.82 (s), 134.74 (s), 134.16 (s), 132.85 (s), 132.35 (s), 130.93 (s), 130.86 (s), 130.69 (s), 130.16 (s), 129.68 (s), 127.19 (s), 123.55 (s), 120.96 (s), 60.84 (s), 50.15 (s), 15.00 (s), 14.43 (s). HRMS (ESI/IT-TOF) m/z: [M + H] Calcd for C21H17N3O2ClBr 458.0265; found 458.0268. %ee > 99%

3.1.12. Synthesis of Ethyl(S)-8-bromo-4-methyl-6-(pyridin-2′-yl)-4H-benzo[f]imidazo[1,5-a][1,4]diazepin-3-carboxylate (17)

A solution of t-BuOK (19.44 g, 173 mmol) in anhydrous THF (150 mL) was added dropwise over a period of 20 min to a stirred solution of 1,4-benzodiazepine 14 (44 g, 133 mmol) in anhydrous THF (400 mL) at −20 °C. The mixture was then stirred for 1.5 h, after which diethyl chlorophosphate (26.9 mL, 186.2 mmol) was added dropwise at −20 °C to the reaction mixture. The solution was allowed to warm to rt, and the temperature was held there for 2 h. The consumption of starting material was confirmed by TLC (silica gel, 60% EtOAc-hexane, 1% TEA). A small amount of starting material remained unreacted even after increasing the stirring time. Then the reaction was again cooled to −20 °C and ethyl isocyanoacetate (18.9 mL, 173 mmol) was added, and this was followed by a dropwise addition of a second portion of t-BuOK (19.44 g, 173 mmol) in THF (100 mL) solution at −20 °C. The reaction mixture was allowed to warm to rt and stirred for 8 h. The consumption of starting material was determined on analysis by TLC (silica gel, 70% EtOAc-hexane with 1% TEA). The reaction was quenched by addition of a cold 10% aq solution of NaHCO3 (300 mL) and extracted with EtOAc (3 × 300 mL). The combined organic layer was washed with brine (2 × 150 mL), dried (Na2SO4) and the solvent was removed under reduced pressure to afford a brown solid. Then t-butyl methyl ether (250 mL) was added to the brown impure solid and stirred for 30 min at 55 °C. The mixture was then cooled to rt, and stirred at rt for 3 h. The residue was filtered and washed with t-butyl methyl ether (2 × 40 mL). The solid residue was then slurried again with ethanol (200 mL) and stirred for 30 min at 60 °C. The mixture was cooled to rt and kept at −20 °C in the freezer for 5 h to maximize precipitation. The solid residue was filtered, washed with cold ethanol (2 × 50 mL), and dried under vacuum at 45 °C for 3 h to obtain pure imidazodiazepine 17 as an off-white powder.(34.5 g, 61.5%). Rf = 0.4 (70% EtOAc-hexane with 2% TEA). 1H NMR (500 MHz, CDCl3) δ 8.55 (d, J = 4.6 Hz, 1H), 8.03–7.98 (m, 1H), 7.87 (s, 1H), 7.80 (td, J = 7.7, 1.6 Hz, 1H), 7.71 (dd, J = 8.6, 2.1 Hz, 1H), 7.57–7.44 (m, 2H), 7.35 (dd, J = 7.1, 5.4 Hz, 1H), 6.68 (q, J = 7.3 Hz, 1H), 4.38 (dd, J = 11.0 7.1Hz, 2H), 1.39 (t, J = 7.1 Hz, 3H), 1.27 (d, J = 7.4 Hz, 3H). 13C NMR (126 MHz, CDCl3) δ 164.55 (s), 162.95 (s), 157.15 (s), 148.52 (s), 141.58 (s), 136.99 (s), 134.96 (s), 134.94 (s), 134.77 (s), 134.67 (s), 134.36 (s), 129.33 (s), 124.73 (s), 124.05 (s), 123.88 (s), 120.35 (s), 60.76 (s), 49.82 (s), 14.57 (s), 14.42 (s). HRMS (ESI/IT-TOF) m/z: [M + H]+ Calcd for C20H17 N4O2Br 425.0607; found 425.0640. %ee > 99% (Chiral pak IBN3-4.6 mm × 150 mm, 3 µm).

3.1.13. Synthesis of Ethyl(R)-8-bromo-4-methyl-6-(pyridin-2′-yl)-4H-benzo[f]imidazo[1,5-a][1,4]diazepin-3-carboxylate (16)

Compound 16 was synthesized using the same protocol as compound 17, on an identical scale, and was isolated as an off-white powder ( 35.5 g, 62.1%). Rf = 0.4 (70% EtOAc-hexane with 2% TEA). 1H NMR (500 MHz, CDCl3) δ 8.58 (d, J = 4.7 Hz, 1H), 8.03 (d, J = 7.9 Hz, 1H), 7.87 (s, 1H), 7.83 (td, J = 7.9, 1.5 Hz, 1H), 7.74 (dd, J = 8.6, 2.0 Hz, 1H), 7.50 (d, J = 2.0 Hz, 1H), 7.46 (d, J = 8.6 Hz, 1H), 7.38 (dd, J = 6.9, 5.1 Hz, 1H), 6.72 (q, J = 7.3 Hz, 1H), 4.56–4.29 (m, 3H), 1.43 (t, J = 7.1 Hz, 3H), 1.29 (d, J = 7.4 Hz, 3H).
13C NMR (126 MHz, CDCl3) δ 164.56 (s), 163.03 (s), 157.28 (s), 148.59 (s), 141.67 (s), 136.96 (s), 135.00 (s), 134.90 (s), 134.73 (s), 129.43 (s), 124.87 (s), 124.71 (s), 124.60 (s), 124.04 (s), 123.83 (s), 120.36 (s), 60.79 (s), 49.86 (s), 14.58 (s), 14.43 (s). HRMS (ESI/IT-TOF) m/z: [M + H]+ Calcd for C20H17 N4O2Br 425.0607; found 425.0610. %ee >99% (Chiral pak IBN3-4.6 mm × 150 mm, 3 µm).

3.1.14. Synthesis of Ethyl-(R)-6-(2′-chlorophenyl)-4-methyl-8-((triisopropylsilyl)ethynyl)-4H-benzo[f] imidazo[1,5-a][1,4]diazepine-3-carboxylate (18)

A round bottom flask was charged with tri(o-tolyl)phosphine (1.61 g, 5.3 mmol), Pd(OAc)2 (0.59 g, 2.65 mmol), ACN (20 mL), and the mixture was allowed to stir for 10 min under an argon atmosphere. Then, the imidazodiazepine, ethyl(R)-8-bromo-6-(2′-chlorophenyl)- 4-methyl -4H-benzo[f]imidazo[1,5-a][1,4]diazepine-3-carboxylate (15, 15.2 g, 33.1 mmol), triethylamine (13.9 mL, 9.93 mmol), (triisopropylsilyl)acetylene (8.2 mL, 36.4 mmol) and additional acetonitrile (200 mL) were added sequentially to the former reaction mixture under argon. The reaction mixture was then allowed to stir for 6 h at reflux until the consumption of starting material was confirmed by analysis by TLC (silica gel; 60% ethyl acetate-hexane). The mixture was then cooled to rt and opened to the air to convert the palladium salts to solid PdO. Silica gel (100 g) was then added to the flask, and stirred for 30 min. The contents were filtered through a pad of celite, and the residue was washed with DCM (2 × 150 mL). The solvents were removed under reduced pressure. Then DCM (200 mL) and water (200 mL) were added to the resulting black oily mass to dissolve the contents. The mixture was allowed to stir for 5 min and allowed to stand to separate the layers for 10 min. The layers were separated and the aq layer was extracted with DCM (2 × 50 mL). The combined organic layers were washed with 10% aqueous NaCl solution (2 × 50 mL) and dried (Na2SO4). The DCM was removed under reduced pressure. The residue was purified by silica gel (300 g) flash chromatography using 50% EtOAc-hexane. The appropriate fractions were pooled, and the solvents were removed under reduced pressure. The semi-solid residue, which resulted, was dried under vacuum for 4 h to afford a yellow-colored oil of 18 (16 g, 86%). Rf = 0.6 (silica gel, 60% EtOAc-hexane); 1H NMR (500 MHz, CDCl3) δ 7.92 (s, 1H), 7.65 (d, J = 7.9 Hz, 1H), 7.52 (d, J = 8.3 Hz, 2H), 7.44–7.34 (m, 3H), 7.21–7.12 (m, 1H), 6.66 (q, J = 6.6 Hz, 1H), 4.41 (q, J = 8.4 Hz, 2H), 1.42 (t, J = 7.1 Hz, 3H), 1.32 (d, J = 6.7 Hz, 3H), 1.10 (s, 21H). 13C NMR (126 MHz, CDCl3) δ 165.82 (s), 162.96 (s), 141.64 (s), 139.63 (s), 135.30 (s), 134.79 (s), 134.52 (s), 133.17 (s), 132.39 (s), 131.81 (s), 130.61 (s), 130.06 (s), 129.58 (s), 129.40 (s), 127.05 (s), 122.99 (s), 121.94 (s), 104.59 (s), 94.25 (s), 60.79 (s), 50.14 (s), 18.59 (s), 14.98 (s), 14.43 (s), 11.22 (s). HRMS (ESI/IT-TOF) m/z: [M + H] Calcd for C32H38N3O2SiCl 560.2494; found 560.2500.

3.1.15. Synthesis of Ethyl(S)-4-methyl-6-(pyridin-2′-yl)-8-((triisopropylsilyl)ethynyl)-4Hbenzo [f]imidazo[1,5-a][1,4]diazepine-3-carboxylate (20)

A round bottom flask was charged with tri-(o-tolyl) phosphine (3.31 g, 10.88 mmol), Pd(OAc)2 (1.22 g, 5.4 mmol), ACN (30 mL), and the mixture was stirred for 10 min under an argon atmosphere to generate the Pd catalyst in situ. Then ethyl (S)-8-bromo-4- methyl-6-(pyridin-2′-yl)-4H-benzo[f]imidazo[1,5-a][1,4]diazepin-3-carboxylate (17, 29 g, 68 mmol), triethylamine (28.7 mL, 204 mmol), (triisopropylsilyl)acetylene (16.82 mL, 75 mmol) and additional acetonitrile (230 mL) were added sequentially to the previous reaction mixture under argon. The reaction mixture was allowed to stir at reflux for 4 h. At the end of the reaction period the mixture was then cooled to rt, and silica gel (30 g) was added to the flask, and the mixture was allowed to stir for 15 min. The contents were filtered through a pad of celite, and the residue was washed with DCM (3 × 300 mL). The solvents were removed under reduced pressure. After which DCM (400 mL) and water (200 mL) were added to the resulting black oily mass to dissolve the contents. The mixture was stirred for 5 min and then allowed to stand to separate the layers for 10 min. The layers were separated and the aq layer was extracted with DCM (2 × 100 mL). The combined organic layers were washed with 10% aqueous NaCl (2 × 50 mL) and dried (Na2SO4). The DCM was removed under reduced pressure, and the residue was purified by silica gel (400 g) flash chromatography using 60% EtOAc-hexane with 2% TEA. The desired fractions were collected, and the solvents were removed under reduced pressure. The oil, which resulted, was then dried under vacuum for 4 h to afford an orange-colored oil of 20 (31 g, 86%). Rf = 0.6 (silica gel, 70% EtOAc-hexane with 1% TEA). 1H NMR (500 MHz, CDCl3) δ 8.57 (d, J = 3.1 Hz, 1H), 7.99 (d, J = 7.9 Hz, 1H), 7.88 (s, 1H), 7.81 (t, J = 7.6 Hz, 1H), 7.69 (dd, J = 22.9, 8.3 Hz, 1H), 7.51 (dd, J = 8.3, 0.5 Hz, 1H), 7.39 (s, 1H), 7.35 (m, 1H), 6.69 (q, J = 7.1 Hz, 1H), 4.39 (m, 2H), 1.40 (t, J = 7.1 Hz, 3H), 1.27 (d, J = 7.3 Hz, 3H), 1.09 (s, 21H). 13C NMR (126 MHz, CDCl3) δ 165.28 (s), 162.99 (s), 157.43 (s), 148.50 (s), 141.69 (s), 136.87 (s), 135.39 (s), 135.31 (s), 135.17 (s), 135.00 (s), 129.27 (s), 127.75 (s), 124.60 (s), 124.10 (s), 122.43 (s), 122.28 (s), 104.85 (s), 93.74 (s), 60.72 (s), 49.83 (s), 18.59 (s), 14.55 (s), 14.42 (s), 11.21 (s). %ee > 99%.

3.1.16. Synthesis of Ethyl(R)-4-methyl-6-(pyridin-2′-yl)-8-((triisopropylsilyl)ethynyl)-4Hbenzo [f]imidazo[1,5-a][1,4]diazepine-3-carboxylate (19)

Compound 19 was synthesized by using the same protocol as 20 on an identical scale and isolated as an orange-colored oil of 19 (30 g, 83.5%). Rf = 0.6 (silica gel, 70% EtOAc-hexane with 1% TEA 1H NMR (500 MHz, CDCl3) δ 8.59 (d, J = 4.2 Hz, 1H), 8.01 (d, J = 7.9 Hz, 1H), 7.88 (s, 1H), 7.83 (dd, J = 11.0, 4.4 Hz, 1H), 7.68 (d, J = 8.3 Hz, 1H), 7.51 (d, J = 8.4 Hz, 1H), 7.41 (s, 1H), 7.37 (dd, J = 6.9, 5.2 Hz, 1H), 6.70 (q, J = 7.3 Hz, 1H), 4.49–4.35 (m, 2H), 1.42 (t, J = 7.1 Hz, 3H), 1.29 (d, J = 7.3 Hz, 3H), 1.11 (s, 21H). 13C NMR (126 MHz, CDCl3) δ 165.26 (s), 163.05 (s), 157.58 (s), 148.54 (s), 141.76 (s), 136.82 (s), 135.40 (s), 135.34 (s), 135.12 (s), 134.95 (s), 129.33 (s), 127.83 (s), 124.55 (s), 124.05 (s), 122.43 (s), 122.24 (s), 104.88 (s), 93.72 (s), 60.73 (s), 49.86 (s), 18.60 (s), 14.55 (s), 14.44 (s), 11.23 (s). HRMS (ESI/IT-TOF) m/z: [M + H] Calcd for C25H27N4O2Si 443.1898; found 443.1901.

3.1.17. Synthesis of Ethyl-(R)-6-(2′-chlorophenyl)-8-ethynyl-4-methyl-4H-benzo[f]imidazo[1,5-a][1,4]diazepine-3-carboxylate (18A)

The tetrabutylammonium fluoride hydrate (1 M solution in THF, 34.27 mL, 34.27 mmol) was added to the stirred solution of TIPS protected intermediate, ethyl-(R)-6-(2′-chlorophenyl)- 4-methyl-8-((triisopropylsilyl)ethynyl)-4H-benzo[f]imidazo[1,5-a][1,4]diazepine-3-carboxylate 18 (16 g, 28.6 mmol) in THF (150 mL) and water(2 mL) at −10 °C. The reaction mixture was then allowed to stir for 1 h at rt until the consumption of starting material was indicated by TLC (silica gel, 60% EtOAc- hexane). The reaction solution was then quenched with water (150 mL) and ethyl acetate (250 mL) was added. The organic layer was separated, and the aqueous layer was extracted with ethyl acetate (2 × 100 mL). The combined organic layers were washed with brine (2 × 200 mL), dried (Na2SO4), and the solvent was removed under reduced pressure. The solid residue, which resulted, was purified by flash chromatography (silica gel, EtOAc/hexanes 6:4) to afford pure ethyl ester 18A as a white powder (10.2 g, 89 %). Rf = 0.3 (silica gel, 70% EtOAc-hexane); 1H NMR (500 MHz, CDCl3) δ 7.93 (s, 1H), 7.69 (d, J = 8.0 Hz, 1H), 7.52 (dd, J = 42.4, 17.0 Hz, 2H), 7.38 (dd, J = 11.6, 7.5 Hz, 3H), 7.26 (s, 1H), 6.67 (q, J = 7.0 Hz, 1H), 4.41 (m, 2H), 3.15 (s, 1H), 1.42 (t, J = 7.1 Hz, 3H), 1.32 (d, J = 6.9 Hz, 3H). 13C NMR (126 MHz, CDCl3) δ 165.67 (s), 162.92 (s), 141.61 (s), 139.58 (s), 135.17 (s), 135.02 (s), 134.81 (s), 133.75 (s), 133.72 (s), 132.38 (s), 130.71 (s), 130.12 (s), 129.66 (s), 129.45 (s), 127.12 (s), 122.09 (s), 121.62 (s), 81.44 (s), 79.76 (s), 60.83 (s), 50.13 (s), 15.00 (s), 14.43 (s). HRMS (ESI/IT-TOF) m/z: [M + H] Calcd for C23H18N3O2Cl 404.1160; found 404.1126. %ee > 99%

3.1.18. Synthesis of Ethyl (S)-8-ethynyl-4-methyl-6-(pyridin-2′-yl)-4H-benzo[f]imidazo[1,5-a][1,4]diazepine-3-carboxylate (20A)

A solution of tetrabutylammonium fluoride hydrate, [1 M in THF (87.7 mL, 87.7 mmoL)] was added dropwise to a stirred solution of the TIPS protected ethyl ester, ethyl (S)-4-methyl-6-(pyridin-2′-yl)-8-((triisopropylsilyl)ethynyl)-4Hbenzo[f]imidazo[1,5-a][1,4]diazepine-3-carboxylate (20, 44 g, 83.5 mmol), in THF(250 mL) and water (20 mL) at −20 °C. The reaction mixture was allowed to stir for 1 h at rt, at which point, the reaction was completed, and the consumption of starting material was confirmed by analysis by TLC (silica gel; 80% ethyl acetate-hexane with 2% TEA). Water (200 mL) was then added to quench the reaction and the mixture was then diluted with DCM (500 mL). The biphasic mixture, which resulted, was stirred for 5 min, and allowed to stand for 10 min. The organic layer was separated and the aqueous layer was then extracted with DCM (2 × 150 mL). The combined organic layers were washed with a 10% aq sodium chloride solution (2 × 100 mL) and dried (Na2SO4). The solvents were removed under reduced pressure, which resulted, in an orange-colored residue. The residue was slurried with IPA (300 mL) and allowed to stir for 30 min at 55 °C. Then water (300 mL) was added to the mixture, and it was stirred for an additional 20 min. The mixture was allowed to cool to rt and kept overnight. The solid residue was filtered, washed with IPA-water (1:1, 2 × 50 mL), and dried under vacuum at 45 °C for 3 h to afford the product as a white powder of 20A (26.60 g, 86%). Rf = 0.4 (silica gel; 80% ethyl acetate-hexane with 2% TEA); 1H NMR (500 MHz, CDCl3) δ 8.54 (d, J = 4.6 Hz, 1H), 7.97 (d, J = 7.9 Hz, 1H), 7.89 (s, 1H), 7.79 (td, J = 7.7, 1.6 Hz, 1H), 7.68 (dd, J = 8.3, 1.7 Hz, 1H), 7.54 (d, J = 8.4 Hz, 1H), 7.43 (d, J = 1.6 Hz, 1H), 7.34 (ddd, 1H), 6.68 (q, J = 7.3 Hz, 1H), 4.37 (dd, J = 11.1, 7.1 Hz, 2H), 3.14 (s, 1H), 2.13 (d, J = 6.5 Hz, 1H), 1.39 (t, J = 7.1 Hz, 3H), 1.25 (d, J = 7.4 Hz, 3H). 13C NMR (126 MHz, CDCl3) δ 165.16 (s), 162.96 (s), 157.40 (s), 148.55 (s), 141.66 (s), 136.93 (s), 135.82 (s), 135.09 (s), 135.03 (s), 129.32 (s), 127.85 (s), 124.63 (s), 124.06 (s), 122.44 (s), 120.98 (s), 81.63 (s), 79.52 (s), 60.74 (s), 49.81 (s), 14.57 (s), 14.41 (s). HRMS (ESI/IT-TOF) m/z: [M + H]+ Calcd for C22H18N4O2 371.1505; found 371.1532.

3.1.19. Synthesis of Ethyl (R)-8-ethynyl-4-methyl-6-(pyridin-2′-yl)-4H-benzo[f]imidazo[1,5-a][1,4]diazepine-3-carboxylate (19A)

Compound 19A was synthesized by using the same protocol as 20A on an identical scale and isolated as a white powder of 20A (27.5 g, 89%). Rf = 0.4 (silica gel; 80% ethyl acetate-hexane with 2% TEA); 1H NMR (500 MHz, CDCl3) δ 8.58 (d, J = 4.2 Hz, 1H), 8.00 (d, J = 7.9 Hz, 1H), 7.89 (s, 1H), 7.82 (td, J = 7.8, 1.5 Hz, 1H), 7.71 (dd, J = 8.3, 1.5 Hz, 1H), 7.55 (d, J = 8.3 Hz, 1H), 7.47 (t, J = 7.3 Hz, 1H), 7.37 (dd, J = 6.7, 5.1 Hz, 1H), 6.71 (q, J = 7.3 Hz, 1H), 4.41 (m, 2H), 3.16 (s, 1H), 1.42 (t, J = 7.1 Hz, 3H), 1.26 (d, J = 21.4 Hz, 3H). 13C NMR (126 MHz, CDCl3) δ 165.17 (s), 163.04 (s), 157.56 (s), 148.63 (s), 141.76 (s), 136.89 (s), 135.87 (s), 135.06 (s), 134.98 (s), 134.44 (s), 129.41 (s), 127.96 (s), 124.60 (s), 124.04 (s), 122.41 (s), 120.98 (s), 81.70 (s), 79.41 (s), 60.77 (s), 49.85 (s), 14.58 (s), 14.43 (s). HRMS (ESI/IT-TOF) m/z: [M + H]+ Calcd for C22H18N4O2 371.1505; found 371.1502.

3.1.20. Synthesis of (R)-6-(2′-Chlorophenyl)-8-ethynyl-N,4-dimethyl-4H-benzo[f]imidazo[1,5-a][1,4]diazepine- 3-carboxamide (21)

The ethyl ester, ethyl-(R)-6-(2′-chlorophenyl)-8-ethynyl-4-methyl-4H-benzo[f]imidazo[1,5-a][1,4]diazepine-3-carboxylate (18A, 1.0 g, 2.5 mmol), was charged into a sealed vessel fitted with a septum at −30 °C and then methyl amine (20 mL, 33% wt solution in EtOH) was added. The vessel was sealed with a screwcap and stirred at 50 °C for 18 h. The solution was then cooled to rt, and the methyl amine and ethanol were removed under reduced pressure. The residue, which resulted, was purified by flash column chromatography (silica gel, 80% EtOAc-hexane) to afford the pure methyl amide 21 as an off- white powder (0.54 g, 56 %). Rf = 0.2 (silica gel, 90% EtOAc-hexane); 1H NMR (500 MHz, CDCl3) δ 7.82 (s, 1H), 7.67 (d, J = 7.3 Hz, 1H), 7.53 (d, J = 8.3 Hz, 2H), 7.41–7.33 (m, 3H), 7.26 (s, 1H), 7.17 (s, 1H), 6.89 (q, J= 7.2 Hz, 1H), 3.14 (s, 1H), 2.98 (s, 3H), 1.32 (d, J = 4.3 Hz, 3H). 13C NMR (126 MHz, CDCl3) δ 165.19 (s), 163.29 (s), 139.81 (s), 138.75 (s), 135.26 (s), 134.95 (s), 133.76 (s), 133.34 (s), 132.35 (s), 131.88 (s), 130.88 (s), 130.59 (s), 130.02 (s), 129.57 (s), 129.20 (s), 128.19 (s), 127.08 (s), 121.90 (s), 121.34 (s), 81.56 (s), 79.52 (s), 49.94 (s), 25.62 (s), 15.21 (s). HRMS (ESI/IT-TOF) m/z: [M + H] Calcd for C22H17N4OCl 389.1164; found 389.1131. %ee > 99%

3.1.21. Synthesis of (S)-8-Ethynyl-N,4-dimethyl-6-(pyridin-2′-yl)-4H-benzo[f]imidazo[1,5-a][1,4]diazepine-3-carboxamide (23)

The starting ester ethyl, (S)-8-ethynyl-4-methyl-6-(pyridin-2′-yl)-4H-benzo[f]imidazo[1,5-a][1,4]diazepine-3-carboxylate (20A, 1 g, 2.69 mmol), was charged into a sealed vessel fitted with a septum at −30 °C, and then methyl amine (20 mL, 33% wt solution in EtOH) was added. The vessel was sealed with a screwcap and stirred at 60 °C for 12 h. The solution was then cooled to rt, and the methyl amine and ethanol were removed under reduced pressure. The residue, which resulted, was purified by flash column chromatography (silica gel, EtOAc) to afford the pure methyl amide 23 as an off- white colored powder (0.63 g, 65 %): 1H NMR (500 MHz, CDCl3) δ 8.56 (d, J = 4.6 Hz, 1H), 8.06 (d, J = 7.9 Hz, 1H), 7.82 (t, J = 7.7 Hz, 1H), 7.76 (s, 1H), 7.70 (d, J = 8.3 Hz, 1H), 7.52 (d, J = 8.3 Hz, 1H), 7.47 (s, 1H), 7.35 (dd, J = 6.7, 5.5 Hz, 1H), 7.17 (s, 1H), 6.90 (q, J = 7.2 Hz, 1H), 3.15 (s, 1H), 2.97 (s, 3H), 1.28 (d, J = 7.2 Hz, 3H). 13C NMR (126 MHz, CDCl3) δ 164.69 (s), 163.40 (s), 157.72 (s), 148.38 (s), 138.74 (s), 136.83 (s), 136.08 (s), 135.95 (s), 134.84 (s), 133.63 (s), 131.57 (s), 128.01 (s), 124.45 (s), 124.07 (s), 122.25 (s), 120.70 (s), 81.84 (s), 79.18 (s), 49.63 (s), 25.57 (s), 14.74 (s). HRMS (ESI/IT-TOF) m/z: [M + H] + Calcd for C21 H17N5O 356.1506; found 356.1474; %ee => 99% (HPLC).

3.1.22. Synthesis of (R)-8-Ethynyl-N,4-dimethyl-6-(pyridin-2′-yl)-4H-benzo[f]imidazo[1,5-a][1,4]diazepine-3-carboxamide (22)

Compound 22 was synthesized by using the same protocol as 23. 1H NMR (500 MHz, CDCl3) δ 8.56 (dd, J = 4.7, 0.6 Hz, 1H), 8.06 (d, J = 7.9 Hz, 1H), 7.82 (td, J = 7.8, 1.7 Hz, 1H), 7.76 (s, 1H), 7.69 (dd, J = 8.3, 1.4 Hz, 1H), 7.52 (d, J = 8.3 Hz, 1H), 7.47 (d, J = 1.1 Hz, 1H), 7.35 (ddd, J = 7.4, 4.8, 0.9 Hz, 1H), 7.18 (d, J = 4.3 Hz, 1H), 6.90 (q, J = 7.3 Hz, 1H), 3.15 (s, 1H), 2.96 (s, 3H), 1.28 (d, J = 7.1, 4.2 Hz, 3H). 13C NMR (126 MHz, CDCl3) δ 164.72 (s), 163.42 (s), 157.73 (s), 148.39 (s), 138.74 (s), 136.84 (s), 136.08 (s), 135.96 (s), 134.85 (s), 133.65 (s), 131.57 (s), 128.02 (s), 124.47 (s), 124.08 (s), 123.09 (s), 122.26 (s), 81.84 (s), 79.20 (s), 49.64 (s), 25.57 (s), 14.74 (s). HRMS (ESI/IT-TOF) m/z: [M + H] + Calcd for C21 H17N5O 356.1506; found 356.1504; %ee => 99% (HPLC).

3.1.23. Synthesis of (R)-6-(2′-Chlorophenyl)-8-ethynyl-4-methyl-4H-benzo[f]imidazo[1,5-a][1,4]diazepine-3-carboxylic acid (25)

The ethyl ester, ethyl-(R)-6-(2′-chlorophenyl)-8-ethynyl-4-methyl-4H-benzo[f]imidazo[1,5-a][1,4]diazepine-3-carboxylate (18A, 5.0 g, 12.4 mmol), was dissolved in THF (500 mL) and a solution of lithium hydroxide (1.18 g, 49.6 mmol) was added dropwise to the solution at rt. The reaction mixture was then heated to 55 °C for 0.5 h. The consumption of starting material was confirmed by TLC (silica gel, 100% EtOAc). Water (20 mL) was then added to dilute the mixture, followed by addition of ethyl acetate (3.34 mL, 62 mmol). Then THF was removed under reduced pressure. The mixture was then kept at rt for 2 h. The solid residue, which resulted, was filtered, washed with water (4 × 10 mL), and dried under vacuum. The solid residue was then slurried in 100% EtOAc (20 mL) and stirred for 10 min at 55 oC. The mixture was cooled to rt and maintained at that temperature for 2 h. The residue was filtered, washed with ethyl acetate (2 × 10 mL), and dried under vacuum for 2 h to provide pure acid 25 as an off-white powder (4.18 g, 90%). 1H NMR (300 MHz, d6-DMSO) δ 8.38 (s, 1H), 7.87 (dd, J = 12.2, 8.2 Hz, 2H), 7.66–7.35 (m, 4H), 7.07 (s, 1H), 6.52 (q, J = 7.2 Hz, 1H), 4.35 (s, 1H), 1.19 (d, J = 2.2 Hz, 3H). 13C NMR (75 MHz, DMSO-d6) δ 165.21 (s), 164.96 (s), 139.93 (s), 136.39 (s), 135.47 (s), 135.33 (s), 133.05 (s), 132.89 (s), 131.57 (s), 131.46 (s), 130.38 (s), 130.09 (s), 129.12 (s), 127.91 (s), 124.96 (s), 123.89 (s), 120.95 (s), 83.42 (s), 82.02 (s), 49.86 (s), 15.24 (s).). HRMS (ESI/IT-TOF) m/z: [M + H] Calcd for C21H14N3O2Cl 376.0847; found 376.0828.

3.1.24. Synthesis of (S)-8-Ethynyl-4-methyl-6-(pyridin-2′-yl)-4H-benzo[f]imidazo[1,5-a][1,4]diazepine- 3-carboxylic acid (27)

The ethyl ester, ethyl (S)-8-ethynyl-4-methyl-6-(pyridin-2′-yl)-4H-benzo[f]imidazo[1,5-a][1,4]diazepine-3-carboxylate(20A, 3 g, 8.1 mmol), was dissolved in ethanol (30 mL) and a solution of lithium hydroxide (0.766 g, 32 mmol) in water (5 mL) was added dropwise to that mixture. The mixture was then stirred at 50 °C for 1 h at which point the reaction was deemed to be completed on analysis by TLC (silica gel, 100% EtOAc with 2% TEA). The mixture was then cooled to rt, and water (20 mL) was added to dilute the mixture. Then glacial acetic acid (2.5 mL) was added to adjust the pH to 5 (pH paper). Then ethanol was removed under reduced pressure and a white precipitation formed. Caution: Addition of too much water or acetic acid needs to be avoided, otherwise the acid will go back into the water solution, and it will be difficult to make it precipitate. The solid residue was filtered, washed with water (3 × 10 mL), and dried under vacuum. The residue was then suspended in 100% EtOAc (10 mL) and stirred for 10 min at 45 °C. The mixture was cooled to rt and held there for 1 h. The solid was filtered, washed (EtOAc, 2 × 3 mL), and dried under vacuum at 40 °C for 1 h to afford a white powder of 27 (2.49 g, 90%). 1H NMR (500 MHz, DMSO-d6) δ 8.49 (d, J = 4.2 Hz, 1H), 8.41 (s, 1H), 8.02 (dd, J = 28.9, 7.7 Hz, 1H), 7.92 (ddd, J = 8.4, 6.8, 2.8 Hz, 2H), 7.80 (d, J = 8.4 Hz, 1H), 7.46 (dd, J = 6.7, 5.3 Hz, 1H), 7.34 (s, 1H), 6.54 (q, J = 7.2 Hz, 1H), 4.29 (s, 1H), 1.16 (d, J = 7.3 Hz, 3H). 13C NMR (126 MHz, DMSO-d6) δ 165.43 (s), 164.65 (s), 157.59 (s), 148.56 (s), 141.20 (s), 137.54 (s), 136.73 (s), 135.79 (s), 135.46 (s), 135.13 (s), 129.29 (s), 128.08 (s), 125.28 (s), 124.06 (s), 123.80 (s), 120.32 (s), 82.97 (s), 82.31 (s), 49.58 (s), 14.72 (s). HRMS (ESI/IT-TOF) m/z: [M + H]+ Calcd for C22H18N4O2 343.1189; found 343.1208.

3.1.25. Synthesis of (R)-8-Ethynyl-4-methyl-6-(pyridin-2′-yl)-4H-benzo[f]imidazo[1,5-a][1,4]diazepine- 3-carboxylic acid (26)

Compound 26 was synthesized by using the same protocol as 27. 1H NMR (300 MHz, DMSO-d6) δ 8.51 (d, J = 4.5 Hz, 1H), 8.38 (s, 1H), 8.00 (d, J = 7.4 Hz, 1H), 7.96 (dd, J = 7.3, 1.7 Hz, 1H), 7.91 (d, J = 3.1 Hz, 1H), 7.88 (s, 1H), 7.80 (d, J = 8.2 Hz, 1H), 7.52–7.46 (m, 1H), 7.34 (s, 1H), 6.52 (q, J = 7.2 Hz, 1H), 4.34 (s, 1H), 1.16 (d, J = 7.2 Hz, 3H). 13C NMR (126 MHz, DMSO-d6) δ 165.43(s), 164.72 (s), 157.59(s), 148.55 (s), 141.20 (s), 137.54 (s), 136.75 (s), 135.8 (s), 135.45 (s), 134.94 (s), 129.29 (s), 128.08 (s), 125.34 (s), 124.06 (s), 123.80 (s), 120.32 (s), 82.96 (s), 82.08 (s), 49.58 (s), 14.63 (s). HRMS (ESI/IT-TOF) m/z: [M + H]+ Calcd for C22H18N4O2 343.1189; found 343.1211.

3.1.26. (R)-8-Chloro-6-(2-fluorophenyl)-4-methyl-4H-benzo[f]imidazo[1,5-a][1,4]diazepine-3-carboxylic acid(28)

Ethyl (R)-8-chloro-6-(2-fluorophenyl)-4-methyl-4H-benzo[f]imidazo[1,5-a][1,4]diazepine-3-carboxylate (24, 6.0 g, 15 mmol) was dissolved in 500 mL of THF, followed by the dropwise addition of a solution of (14.3 g, 60 mmol) of lithium hydroxide at room temperature. The reaction mixture was heated to 55 °C for 1 h, and the consumption of starting material was confirmed by TLC analysis using silica gel and 100% EtOAc. Next, 20 mL of water was added to dilute the mixture, and 4.5 mL (75 mmol) of ethyl acetate was added. The THF solvent was removed under reduced pressure, and the mixture was kept at room temperature for 2 h. The resulting solid residue was filtered, washed with 4 × 10 mL of water, and dried under vacuum. The solid residue was then slurried in 20 mL of 100% EtOAc and stirred at 55 °C for 10 min, followed by cooling to room temperature and maintaining for 2 h. The residue was filtered, washed with 2 × 10 mL of ethyl acetate, and dried under vacuum at 45 °C for 4 h to pure acid 28 as an off-white powder (5.1 g, 91.7%). 1H NMR (500 MHz, DMSO-d6) δ 12.72 (bs, 1H), 8.43 (s, 1H), 7.97 (d, J = 8.7 Hz, 1H), 7.83 (d, J = 8.3 Hz, 1H), 7.56 (dt, J = 12.0, 6.4 Hz, 2H), 7.33 (t, J = 7.5 Hz, 1H), 7.27–7.18 (m, 1H), 6.52 (q, J = 6.5 Hz, 1H), 1.17 (d, J = 7.2 Hz, 3H). 13C NMR (126 MHz, DMSO-d6) δ 164.62 (s), 162.46 (s), 159.86 (d, 1JC-F = 247.5 Hz), 140.97 (s), 136.76 (s), 133.61 (s), 132.74 (d, 4JC-F = 8.8 Hz), 132.60 (s), 132.11 (s), 131.92 (s), 130.67 (s), 129.53 (s), 129.35 (s), 128.68 (d, 3JC-F = 12.8 Hz), 125.49 (s), 125.18 (d, 4JC-F = 2.4 Hz), 116.43 (d, 2JC-F = 21.2 Hz), 49.84 (s), 15.02 (s).

3.1.27. Synthesis of (R)-6-(2′-Chlorophenyl)-8-ethynyl-N,N,4-trimethyl-4H-benzo[f]imidazo[1,5-a][1,4]diazepine-3-carboxamide (29)

A mixture of the carboxylic acid, (R)-6-(2′-chlorophenyl)-4-methyl-8-phenyl-4H-benzo [f]imidazo[1,5-a][1,4]diazepine-3-carboxylic acid, (25, 600 mg, 1.59 mmol), thionyl chloride (1.15 mL, 15.9 mmol), a catalytic amount of anhydrous N,N-dimethyl formamide (0.1 mL, 0.159 mmol) and dry DCM (10 mL) were charged into an oven dried round bottom flask under argon and the suspension, which formed, was allowed to reflux at 50 °C for 1 h under argon. The organic solvent and excess thionyl chloride were removed under reduced pressure on a rotary evaporator and a flash evaporation of added solvents was repeated five times with anhydrous DCM (5 × 10 mL). The yellow residue, which resulted, was dissolved in anhydrous DCM (20 mL) and was cooled to 0 °C for 10 min under argon. This was followed by the addition of the nucleophile, N-ethyl-N-methylamine (1.37 mL, 15.9 mmol). The mixture was then allowed to warm to rt and stirred for an hour. After the completion of the reaction as indicated by TLC (silica gel, 100% EtOAc), the mixture was diluted with ice cold water (15 mL) and extracted with DCM (3 x 20 mL). The combined organic layers were washed with brine (20 mL), dried (Na2SO4), and the residue was purified by silica gel flash chromatography (EtOAc and 1% trimethylamine) to provide a pale, yellow-colored solid of 29 (0.5 g, 80%). Rf = 0.2 (silica gel, 80% EtOAc-hexane); 1H NMR (300 MHz, CDCl3) δ 7.89 (d, J = 5.0 Hz, 1H), 7.68 (d, J = 8.2 Hz, 1H), 7.51 (t, J = 7.3 Hz, 2H), 7.40–7.31 (m, 3H), 7.28 (s, 1H), 4.36 (q, J = 6.8 Hz, 1H), 3.75 (dd, J = 10.6, 7.3 Hz, 1H), 3.38 (dd, J = 11.6, 6.2 Hz, 1H), 3.14 (s, 1H), 3.08 (s, 1H), 2.93 (s, 1H), 1.86 (d, J = 4.8 Hz, 3H), 1.22 (t, J = 7.1 Hz, 2H). 13C NMR (75 MHz, CDCl3) δ 165.27 (s), 165.12 (s), 138.84 (s), 135.32 (s), 135.24 (s), 133.50 (s), 132.44 (s), 132.38 (s), 130.76 (s), 130.68 (s), 130.62 (s), 130.05 (s), 130.01 (s), 128.95 (s), 127.14 (s), 122.64 (s), 121.38 (s), 81.56 (s), 79.52 (s), 52.12 (s), 45.99 (s), 42.02 (s), 36.32 (s), 18.48 (s), 13.63 (s). HRMS (ESI/IT-TOF) m/z: [M + H] Calcd for C24H21N4OCl 417.1476; found 417.1479. %ee > 99%.

3.1.28. Synthesis of (S)-8-Ethynyl-N,N,4-trimethyl-6-(pyridin-2′-yl)-4H-benzo[f]imidazo[1,5-a][1,4]diazepine-3-carboxamide (31)

Thionyl chloride (3.17 mL, 43 mmol) was added dropwise to the stirred solution of (S)-8-ethynyl-4-methyl-6-(pyridin-2′-yl)-4H-benzo[f]imidazo[1,5-a][1,4]diazepine-3-carboxylic acid (27, 1.5 g, 4.3 mmol), anhydrous N,N-dimethylformamide (0.1 mL, 0.43 mmol), anhydrous DCM (30 mL) and the mixture was maintained at 35 to 40 °C under an atmosphere of argon. The mixture, which resulted, was stirred for 1 h at reflux temperature. Evolution of SO2 (g) and HCl (g) was observed during the addition of thionyl chloride. The consumption of the starting material was confirmed by TLC (silica gel, 100% EtOAc with 2% TEA). To perform TLC, a test tube was filled with 1 mL of methanol and 1 mL of triethylamine. Then, 0.5 mL of the reaction mixture was added to the test tube.The methyl ester, which resulted was analyzed by TLC.. The reaction mixture was cooled at the end of the reaction and the solvents were removed under reduced pressure. The residual thionyl chloride was removed by adding and flash evaporating anhydrous DCM (5 × 10 mL) under vacuum. A yellow-colored residue was obtained. The solid residue was dissolved in anhydrous DCM (20 mL) and the mixture was cooled to 0 °C. A solution of dimethylamine (2 M in THF, 12.9 mL, 25.83 mmol) was added dropwise to the reaction mixture at 0 °C. The mixture was allowed to warm to rt and allowed to stir for 1 h until the consumption of starting material was finished (TLC). The reaction mixture was diluted with aq 10% NaHCO3 (50 mL) and additional DCM (50 mL) was added. The biphasic mixture, which resulted, was allowed to stand 3 min to separate the layers. The organic layer was separated and the aq layer was extracted with DCM (2 × 20 mL). The combined organic layers were washed with aq 10% NaHCO3 solution (1 × 25 mL), aqueous 10% NaCl solution (2 × 30 mL) and dried (Na2SO4). The solvents were removed under reduced pressure and the residue was purified by flash chromatography (silica gel, 100% EtOAC with 2% MeOH and 2% TEA). The desired fractions were combined, and the solvents were evaporated under reduced pressure. The solid was dried under vacuum at 40 °C for 1 h to afford a light, yellow-colored powder of 31 (1.08 g, 67.2%). 1H NMR (500 MHz, MeOD) δ 8.52 (d, J = 4.6 Hz, 1H), 8.32 (s, 1H), 8.04 (d, J = 7.8 Hz, 1H), 7.98 (t, J = 7.3 Hz, 1H), 7.82 (s, 2H), 7.54–7.50 (m, 1H), 7.42 (s, 1H), 4.45 (q, J = 6.7 Hz, 1H), 3.68 (s, 1H), 3.15 (s, 3H), 2.97 (s, 3H), 1.86 (d, J = 6.8 Hz, 3H)). 13C NMR (126 MHz, MeOD) δ 166.73 (s), 165.44 (s), 156.39 (s), 148.17 (s), 137.42 (s), 135.48 (s), 135.22 (s), 135.15 (s), 135.03 (s), 133.95 (s), 130.83 (s), 127.28 (s), 124.98 (s), 124.11 (s), 123.32 (s), 121.34 (s), 81.08 (s), 79.72 (s), 51.89 (s), 37.96 (s), 33.89 (s), 16.88 (s). HRMS (ESI/IT-TOF) m/z: [M + H]+ Calcd for C22H19N5O 370.1662; found 370.1629. %ee > 99%.

3.1.29. Synthesis of (S)-8-Ethynyl-N,N,4-trimethyl-6-(pyridin-2′-yl)-4H-benzo[f]imidazo[1,5-a][1,4]diazepine-3-carboxamide (30)

Compound 30 was synthesized by using the same protocol as employed for the synthesis of 31. 1H NMR (500 MHz, MeOD) δ 8.52 (d, J = 4.5 Hz, 1H), 8.32 (s, 1H), 8.04 (d, J = 7.8 Hz, 1H), 7.98 (t, J = 7.4 Hz, 1H), 7.82 (s, 2H), 7.57–7.50 (m, 1H), 7.42 (s, 1H), 4.45 (q, J = 6.6 Hz, 1H), 3.68 (s, 1H), 3.15 (s, 3H), 2.97 (s, 3H), 1.86 (d, J = 6.7 Hz, 3H). 13C NMR (126 MHz, MeOD) δ 166.73 (s), 165.44 (s), 156.39 (s), 148.17 (s), 137.42 (s), 135.48 (s), 135.22 (s), 135.15 (s), 135.03 (s), 133.95 (s), 130.84 (s), 127.28 (s), 124.98 (s), 124.11 (s), 123.32 (s), 121.34 (s), 81.08 (s), 79.73 (s), 51.89 (s), 37.96 (s), 33.89 (s), 16.88 (s). HRMS (ESI/IT-TOF) m/z: [M + H]+ Calcd for C22H19N5O 370.1662; found 370.1624. %ee > 99%.

3.1.30. Synthesis of (R)-8-Chloro-6-(2′-fluorophenyl)-N,N,4-trimethyl-4H-benzo[f]imidazo[1,5-a][1,4]diazepine-3-carboxamide (32)

The carboxylic acid, (R)-8-chloro-6-(2′-fluorophenyl)-4-methyl-4H-benzo[f]imidazo[1,5-a][1,4]diazepine-3-carboxylic acid 28 (1.2 g, 3.24 mmol), anhydrous N,N-dimethyl formamide (0.1 mL), and DCM (10 mL) were charged into a round bottom flask and the mixture was heated to 35–40 °C under an argon atmosphere. Then thionyl chloride (2.35 mL, 32.4 mmol) was added dropwise to the mixture. The reaction mixture was allowed to stir for 2 h at 35–40 °C. The consumption of starting material was confirmed by analysis by TLC (silica gel, 60% EtOAc-hexane; sample preparation- 0.2 mL methanol, 0.2 mL TEA and 0.1 mL sample).The LC was for the methyl ester which was resulted from the reaction of acid chloride and methanol. The excess thionyl chloride was removed under reduced pressure by exchanging with DCM (5 × 10 mL), and by flash evaporation (5 times). The solid residue, which resulted, was dissolved in anhydrous DCM (20 mL) and a solution of N,N-dimethylamine (2 M in THF, 9.75 mL, 19.4 mmol) was added dropwise at 0 °C. The mixture was allowed to warm to rt and allowed to stir for 2 h. The reaction mixture was diluted with water (50 mL) and DCM (30 mL). The layers were stirred and then separated. The organic layer was collected, and the aqueous layer was extracted with DCM (2 × 10 mL). The combined organic layers were washed with brine (2 × 20 mL) and dried (Na2SO4). The residue was purified by flash chromatography (silica gel, EtOAc with 1% MeOH) to afford the pure dimethyl amide 32 as an off-white powder (0.96 g, 75%). Rf = 0.2 (silica gel, 80% EtOAc-hexane) 1H NMR (500 MHz, CDCl3) δ 7.91 (s, 1H), 7.59 (dt, J = 29.4, 13.1 Hz, 2H), 7.49 (d, J = 8.4 Hz, 1H), 7.44 (dd, J = 12.4, 6.5 Hz, 1H), 7.25 (dd, J = 16.0, 8.5 Hz, 2H), 7.02 (t, J = 9.2 Hz, 1H), 4.32 (m, 1H), 3.11 (s, 3H), 2.99 (s, 3H), 1.92 (d, J = 6.2 Hz, 3H). 13C NMR (126 MHz, CDCl3) δ 166.12 (s), 162.16 (s), 160.21 (d, 1JC-F = 250.3 Hz), 139.13 (s), 134.71 (s), 133.82 (s), 133.28 (s), 133.16 (s), 132.91 (s), 132.65 (s), 132.23 (d, 4JC-F = 8.3 Hz), 132.10 (s), 131.81 (s), 131.30 (d, 4JC-F = 2.1 Hz), 130.48 (s), 130.07 (s), 129.84 (s), 127.43 (d, 3JC-F = 12.4 Hz), 124.58 (d, 3JC-F = 2.5 Hz), 124.15 (s), 116.20 (d, 2JC-F = 21.3 Hz), 52.24 (s), 39.09 (s), 35.04 (s), 18.43 (s). HRMS (ESI/IT-TOF) m/z: [M + H] Calcd for C21H18N4OFCl 397.1225; found 397.1259. %ee > 97%

3.1.31. Synthesis of (R)-8-Ethynyl-6-(2′-fluorophenyl)-N,N,4-trimethyl-4H- benzo[f]imidazo[1,5-a][1,4]diazepine-3-carbothioamide (33)

The amide, (R)-8-ethynyl-6-(2′-fluorophenyl)-N, N, 4-trimethyl-4H-benzo[f]imidazo[1,5-a][1,4]diazepine-3-carboxamide was suspended in anhydrous THF (13 mL) in a sealed tube and Lawesson’s reagent (6.2 g, 15.5 mmol) was added into it. The tube was tightly sealed, and the mixture was heated to 80 °C for 36 h. The reaction mixture was cooled down to rt, and the solvent was removed under reduced pressure. The dark colored residue, which resulted, was dissolved in DCM, and loaded on a column (silica gel). Then 50% EtOAc-heaxne was passed through the column to remove the first milky fractions of the byproduct of LR reagent. Then the desired thioamide fractions were collected from the elution of 100% EtOAc. The solvents were removed under reduced pressure. The solid residue, which resulted, was dried under vacuum at 40 °C to afford 33 as a yellow-colored powder (670 mg, 67%). Rf = 0.4 (silica gel, 90% EtOAc-hexane); 1H NMR (500 MHz, CDCl3) δ 7.92 (d, J = 56.8 Hz, 1H), 7.71 (d, J = 6.7 Hz, 1H), 7.63–7.50 (m, 2H), 7.45 (dd, J = 12.9, 6.3 Hz, 1H), 7.41 (s, 1H), 7.26 (t, J = 7.4 Hz, 1H), 7.04 (t, J = 9.1 Hz, 1H), 4.36–4.23 (m, 1H), 3.85 (s, 1H), 3.60 (s, 2H), 3.39 (s, 1H), 3.19 (s, 1H), 3.15 (s, 1H), 1.92 (d, J = 3.6 Hz, 1H), 1.32 (d, J = 1.4 Hz, 1H). 13C NMR (126 MHz, CDCl3) δ 163.25 (s), 162.69 (s), 160.15 (d, 1JC-F = 251.3 Hz), 137.13 (s), 135.44 (s), 135.25 (s), 134.42 (s), 133.73 (s), 132.67 (s), 132.05 (d, 3JC-F = 7.2 Hz), 131.27 (s), 129.21 (s), 127.64 (d, 3JC-F = 10.5 Hz), 124.50 (d, 4JC-F = 2.9 Hz), 122.97 (s), 116.17 (d, 2JC-F = 21.4 Hz), 81.52 (s), 79.66 (s), 55.51 (s), 52.23 (s), 44.07 (s), 42.60 (s), 18.37 (s). HRMS (ESI/IT-TOF) m/z: [M + H] Calcd for C23H20FN4S 403.1387; found 403.1385.

3.1.32. Synthesis of (R)-3-Ethyl-5-(6-(2′-fluorophenyl)-4-methyl-8-phenyl-4H-benzo[f]imidazo[1,5-a][1,4]diazepin-3-yl)-1,2,4-oxadiazole (35)

The ethyl ester, ethyl(R)-6-(2′-fluorophenyl)-4-methyl-8-phenyl-4H-benzo[f]imidazo[1,5-a][1,4]diazepine-3-carboxylate (3, 1.2 g, 2.73 mmol) was dissolved in dry THF (20 mL) under an argon atmosphere. In a separate flask isopropyl oxime, N-hydroxypropionoimidamide (0.96 g, 10.92 mmol) was treated with sodium hydride (60% dispersion in mineral oil, 0.072 g, 3.0 mmol) for an hour with molecular sieves, 3 Å, after which the ethyl ester solution was added dropwise to the other flask and the reaction mixture, which resulted, was allowed to stir at rt for 2 h until the starting material was consumed (TLC, silica gel, EtOAc: hexane = 50:50). The reaction mixture was quenched with a saturated aq NaHCO3 solution (10 mL), diluted with water (50 mL), and extracted with EtOAc (3 x 50 mL). The combined organic layers were washed (aq 10% NaCl solution, 2 × 30 mL), dried (Na2SO4) and the solvents were removed under reduced pressure. The solid residue was purified by flash column chromatography (silica gel, EtOAc: hexane = 50:50) to afford the pure, white oxadiazole, 35 (960 mg, 86%). 1H NMR (300 MHz, CDCl3) δ 8.12 (s, 1H), 7.85 (d, J = 8.4 Hz, 1H), 7.72 (d, J = 8.3 Hz, 1H), 7.65 (t, J = 7.1 Hz, 1H), 7.54–739 (m, 7H), 7.24 (d, J = 7.5 Hz, 1H), 7.04 (t, J = 9.2 Hz, 1H), 6.76 (q, J = 7.1 Hz, 1H), 2.84 (q, J = 7.6 Hz, 2H), 1.42 (d, J = 2.2 Hz, 1H), 1.40 (t, J = 6.5 Hz, 3H); 13C NMR (126 MHz, CDCl3) δ 171.88 (s), 170.81 (s), 160.17 (d, 1JC-F = 251.3 Hz), 140.75 (s), 139.16 (s), 138.57 (s), 136.37 (s), 133.42 (s), 132.19 (d, 4JC-F = 1.8 Hz), 131.37 (d, 3JC-F = 9.5 Hz), 130.80 (s), 129.67 (d, 2JC-F = 16.9 Hz), 129.20 (s), 129.09 (s), 128.49 (s), 128.40 (s), 127.17 (s), 127.08 (s), 124.87 (s), 124.50 (d, 3JC-F = 3.1 Hz), 122.51 (s), 116.20 (d, 2JC-F = 21.5 Hz), 50.18 (s), 19.78 (s), 14.99 (s), 11.56 (s). HRMS (ESI/IT-TOF) m/z: [M + H] Calcd for C23H20FN4S 464.1881; found 464.1885.

3.1.33. Synthesis of (R)-5-(8-Chloro-6-(2′-fluorophenyl)-4-methyl-4H-benzo[f]imidazo[1,5-a][1,4]diazepin -3-yl)-3-ethyl-1,2,4-oxadiazole (36)

The oxadiazole 36 was synthesized by following the same synthetic protocol for the preparation of 35. The N-hydroxypropionoimidamide (1.78 g, 10 mmol) was treated with sodium hydride (60% dispersion in mineral oil, 0.13 g, 2.7 mmol) for an hour with molecular sieves, 3 Å. This solution was then added to the stirred solution of ethyl ester, ethyl (R)-8- chloro-6-(2′-fluorophenyl)-4-methyl-4H-benzo[f]imidazo[1,5-a][1,4]diazepine-3-carboxylate (24, 1 g, 2.5 mmol) in dry THF (20 mL). After stirring 2 h, the reaction was quenched with aq NaHCO3. Ethyl acetate (60 mL) was added to the mixture and the mixture was stirred and then allowed to stand to separate the layers. The organic layer was collected, and the aqueous layer was extracted with ethyl acetate (2 × 15 mL). The combined organic layers were washed with brine (2 × 30 mL) and dried (Na2SO4). Two separate spots were observed on TLC (silica gel, 50% EtOAc-hexane). The spots were separated by column chromatography (silica gel, 20% EtOAc-hexane to 60% EtOAc-hexane). The desired fractions of oxadiazole 37 were collected and the solvents were removed under reduced pressure. The residue was dried under vacuum to obtain pure 37 as a white powder (1.1 g, 52%). The other fraction was the olefinic migrated oxadiazole analog of 37. 1H NMR (500 MHz, CDCl3) δ 8.05 (s, 1H), 7.69–7.59 (m, 3H), 7.47 (dd, J = 12.7, 6.7 Hz, 1H), 7.28 (dd, J = 18.0, 8.9 Hz, 2H), 7.06 (t, J = 9.0 Hz, 1H), 6.75 (q, J = 6.8 Hz, 1H), 2.83 (dd, J = 14.5, 7.1 Hz, 2H), 1.39 (t, J = 7.7 Hz, 3H), 1.36 (d, J = 10.1 Hz, 3H). 13C NMR (126 MHz, CDCl3) δ 171.90 (s), 170.68 (s), 162.93 (s), 160.08 (d, 1JC-F = 251.0 Hz), 139.11 (s), 136.19 (s), 133.50 (s), 132.93 (s), 132.20 (d, 3JC-F = 8.3 Hz), 132.05 (s), 131.15 (s), 130.92 (s), 130.31 (s), 128.36 (d, 2JC-F = 13.0 Hz), 125.05 (s), 124.59 (s), 123.41 (s), 116.27 (d, 2JC-F = 21.4 Hz), 50.27 (s), 19.77 (s), 14.98 (s), 11.54 (s). HRMS (ESI/IT-TOF) m/z: [M + H] Calcd for C22H17N5OFCl 422.1178; found 422.1169.

3.1.34. Synthesis of (R)-5-(8-Chloro-6-(2′-fluorophenyl)-4-methyl-4H-benzo[f]imidazo[1,5-a][1,4]diazepin -3-yl)-3-isopropyl-1,2,4-oxadiazole (37)

The ethyl ester, ethyl (R)-8-chloro-6-(2′-fluorophenyl)-4-methyl-4H-benzo[f]imidazo[1,5-a][1,4]diazepine-3-carboxylate (24, 1 g, 2.5 mmol) was dissolved in dry THF (20 mL) under an argon atmosphere. The isopropyl oxime, N-hydroxyisobutyrimidamide (1.05 g, 10 mmol) was treated with sodium hydride (60% dispersion in mineral oil, 0.065 g, 2.80 mmol) in a separate flask for an hour with molecular sieves, 3 Å, after which the ethyl ester solution was added dropwise to the oxime. The reaction mixture, which resulted, was allowed to stir at rt for 2 h until the starting material was consumed (TLC, silica gel, EtOAc: hexane = 50:50). The reaction mixture was quenched with 100% aq NaHCO3 solution (10 mL), diluted with water (50 mL) and extracted with EtOAc (3 x 100 mL). The combined organic layers were washed (aqueous 10% NaCl solution, 2 × 30 mL), dried (Na2SO4) and solvent was removed under reduced pressure. The solid residue was purified by flash column chromatography (silica gel, EtOAc: hexane= 50:50) to afford the pure, white-colored oxadiazole, 37 (940 mg, 86%). 1H NMR (500 MHz, CDCl3) δ 8.05 (s, 1H), 7.69–7.55 (m, 3H), 7.46 (dd, J = 13.2, 7.2 Hz, 1H), 7.27 (dd, J = 17.0, 7.4 Hz, 2H), 7.06 (t, J = 9.0 Hz, 1H), 6.73 (q, J = 7.0 Hz, 1H), 3.18 (dt, J = 13.4, 6.6 Hz, 1H), 1.40 (d, J = 6.9 Hz, 6H), 1.36 (d, J = 7.2 Hz, 2H).13C NMR (126 MHz, CDCl3) δ 175.34 (s), 170.65 (s), 162.02 (d, 1JC-F = 235.7 Hz), 139.10 (s), 136.19 (s), 135.51 (s), 133.50 (s), 132.95 (s), 132.21 (d, 4JC-F = 8.1 Hz), 132.08 (s), 131.35 (s), 131.12 (s), 130.90 (s), 130.33 (s), 129.80 (s), 128.38 (d, 3JC-F = 11.9 Hz), 125.14 (s), 124.62 (s), 124.29 (s), 123.44 (s), 116.29 (d, 2JC-F = 21.4 Hz), 50.33 (s), 26.76 (s), 20.62 (s), 20.56 (s), 14.99 (s). HRMS (ESI/IT-TOF) m/z: [M + H] + Calcd for C23H19N5OFCl 436.1334; found 436.1374. % ee > 98% (HPLC).

3.1.35. Synthesis of (R)-5-(8-Chloro-6-(2′-fluorophenyl)-4-methyl-4H-benzo[f]imidazo[1,5-a][1,4]diazepin -3-yl)-3-cyclopropyl-1,2,4-oxadiazole (38)

The N’-hydroxycyclopropanecarboximidamide (1.07 g, 10 mmol) was treated with sodium hydride (60% dispersion in mineral oil, 0.066 g, 2.75 mmol) for an hour in the presence of molecular sieves, 3 Å under an argon atmosphere and then the solution of (R)-8-chloro-6-(2′-fluorophenyl)- 4-methyl-4H-benzo[f]imidazo[1,5-a][1,4]diazepine-3- carboxylate (24, 1 g, 2.5 mmol, 20 mL THF) was added to the reaction mixture dropwise and it was allowed to stir for 2 h until consumption of starting material (TLC). The mixture was then quenched (20 mL saturated aqueous NaHCO3 solution), diluted (water, 50 mL) and extracted (EtOAc, 3 × 100 mL). The combined organic layers were washed (10% aq NaCl solution 2 × 50 mL), dried (Na2SO4), and the solvents were removed under reduced pressure. The residue was purified by silica gel flash chromatography (EtOAc: hexane= 50:50) to furnish pure 38 (white powder, 0.99 g, 91%). 1H NMR (500 MHz, CDCl3) δ 8.04 (s, 1H), 7.65 (d, J = 9.1 Hz, 1H), 7.60 (s, 2H), 7.46 (td, J = 7.4, 1.5 Hz, 1H), 7.26 (dd, J = 14.1, 6.4 Hz, 2H), 7.05 (t, J = 9.2 Hz, 1H), 6.66 (q, J = 7.1 Hz, 1H), 4.39 (d, J = 6.2 Hz, 1H), 2.20–2.11 (m, 2H), 1.33 (d, J = 7.2 Hz, 3H), 1.19–1.10 (m, 2H), 1.06 (dd, J = 8.3, 2.2 Hz, 2H). 13C NMR (126 MHz, CDCl3) δ 172.64 (s), 170.48 (s), 162.94 (s), 160.07 (d, 1JC-F = 249.6 Hz), 139.11 (s), 136.16 (s), 135.48 (s), 133.51 (s), 132.92 (s), 132.55 (d, 3JC-F = 8.0 Hz), 132.20 (d, 4JC-F = 7.6 Hz), 132.05 (s), 131.10 (s), 130.88 (s), 130.32 (s), 129.80 (s), 128.36 (d, 2JC-F = 12.0 Hz), 125.01 (s), 124.61 (s), 124.28 (s), 123.41 (s), 116.28 (d, 2JC-F = 21.4 Hz), 50.29 (s), 14.98 (s), 7.76 (s), 6.90 (s). HRMS (ESI/IT-TOF) m/z: [M + H] + Calcd for C23 H17 N5OF Cl 434.1178; found 434.1210. %ee => 98% (HPLC).

3.1.36. Synthesis of (R)-3-Cyclopropyl-5-(8-ethynyl-6-(2′-fluorophenyl)-4-methyl-4H-benzo[f]imidazo[1,5-a][1,4]diazepin-3-yl)-1,2,4-oxadiazole (39)

After treating the N’-hydroxycyclopropanecarboximidamide (1.03 g, 10.3 mmol) with sodium hydride (60% dispersion in mineral oil, 0.068 g, 2.75 mmol) for 1 h at rt, the solution was added to the stirred solution of ethyl (R)-6-(2′-fluorophenyl)-4-methyl-8-((triisopropylsilyl) ethynyl)-4H- benzo[f]imidazo[1,5-a][1,4]diazepine-3-carboxylate (34, 1 g, 2.58 mmol) in anhydrous THF (20 mL). The mixture, which resulted, was then allowed to stir for 2 h at rt until consumption of starting material was observed (TLC). The mixture was quenched with a saturated aqueous solution of NaHCO3 (20 mL), diluted with water (10 mL), and extracted with EtOAc (3 × 20 mL). The combined organic layers were washed (10% aq NaCl solution, 2 × 50 mL) and dried (Na2SO4). The solvents were removed under reduced pressure and the residue was purified by silica gel flash chromatography to provide pure 39 as a white powder (896 mg, 82%). Rf = 0.6 (silica gel, 70% EtOAc-hexane). 1H NMR (500 MHz, CDCl3) δ 8.07 (s, 1H), 7.75 (dd, J = 14.6, 7.3 Hz, 1H), 7.63 (t, J = 13.9 Hz, 2H), 7.51–7.40 (m, 2H), 7.26 (d, J = 7.5 Hz, 1H), 7.06 (t, J = 9.3 Hz, 1H), 6.68 (q, J = 7.1 Hz, 1H), 3.18 (s, 1H), 2.16 (ddd, J = 16.5, 8.2, 3.9 Hz, 1H), 1.34 (d, J = 7.3 Hz, 2H), 1.16 (dd, J = 11.9, 9.7 Hz, 2H), 1.07 (dd, J = 8.4, 2.3 Hz, 2H). 13C NMR (126 MHz, CDCl3) δ 172.67 (s), 170.43 (s), 163.76 (s), 160.10 (d, 1JC-F = 250.9 Hz), 139.08 (s), 136.24 (s), 135.52 (s), 134.24 (s), 133.70 (d, 2JC-F = 20.2 Hz), 132.30 (d, 3JC-F = 8.7 Hz), 131.19 (s), 129.38 (d, 4JC-F = 2.6 Hz), 128.24 (d, 3JC-F = 5.1 Hz), 125.05 (s), 124.58 (d, J = 3.3 Hz), 123.01 (s), 122.24 (s), 121.95 (s), 116.29 (d, 2JC-F = 21.4 Hz), 81.29 (s), 79.97 (s), 50.15 (s), 15.02 (s), 7.76 (s), 6.90 (s). HRMS (ESI/IT-TOF) m/z: [M + H] + Calcd for C25H18N5OF 424.1568; found 424.1573. %ee > 99%.

3.1.37. Synthesis of (S)-3-Ethyl-5-(8-ethynyl-4-methyl-6-(pyridin-2′-yl)-4H-benzo[f]imidazo[1,5-a][1,4]diazepin-3-yl)-1,2,4-oxadiazole (40)

The oxadiazole 40 was prepared from the ethyl ester, ethyl (S)-8-ethynyl-4-methyl-6-(pyridin-2′-yl)-4H-benzo[f]imidazo[1,5-a][1,4]diazepine-3-carboxylate (20A, 1 g, 2.7 mmol), N-hydroxypropionoimidamide (0.95 g, 10.8 mmol), sodium hydride (60% dispersion in mineral oil, 0.072 g, 2.97 mmol) and THF (20 mL) by following the synthetic procedure employed for the synthesis of oxadiazole 40. The crude residue was purified by flash column chromatography (silica gel, EtOAc/hexane 3:2) to yield pure oxadiazole 40 as a white powder (883 mg, 83 %). Rf = 0.6 (silica gel, 70% EtOAc-hexane with 1% TEA). 1H NMR (500 MHz, CDCl3) δ 8.61 (d, J = 2.4 Hz, 1H), 8.16–7.97 (m, 2H), 7.86 (t, J = 7.4 Hz, 1H), 7.78 (dd, J = 18.6, 8.3 Hz, 1H), 7.61 (d, J = 8.3 Hz, 1H), 7.44 (d, J = 36.3 Hz, 2H), 6.74 (q, J = 7.1 Hz, 1H), 3.18 (s, 1H), 2.85 (q, J = 7.5 Hz, 2H),1.40 (t, J = 7.6 Hz, 3H), 1.37 (d, J = 7.2 Hz, 3H). 13C NMR (126 MHz, CDCl3) δ 171.92 (s), 170.72 (s), 165.24 (s), 148.48 (s), 137.22 (s), 136.44 (s), 135.99 (s), 135.77 (s), 135.62 (s), 135.33 (s), 127.80 (s), 124.98 (s), 124.85 (s), 124.20 (s), 123.17 (s), 122.42 (s), 121.27 (s), 81.57 (s), 79.64 (s), 50.05 (s), 19.79 (s), 14.72 (s), 11.55 (s). HRMS (ESI/IT-TOF) m/z: [M + H] + Calcd for C23H18N6O 395.1614; found 395.1621.

3.1.38. Synthesis of Ethyl 8-cyclopropyl-6-(2′-fluorophenyl)-4H-benzo[f]imidazo[1,5-a][1,4]diazepine- 3-carboxylate (43)

The Pd(OAc)2 (0.11 g, 0.49 mmol),and tri-(o-tolyl) phosphine (0.298 g, 0.98 mmol) were dissolved in toluene (10 mL) and the mixture was stirred for 10 min under an argon atmosphere to generate the Pd(OAc)2P(o-tol)3 catalyst in-situ. Then the imidazodiazepine ethyl 8-bromo-6-(2′-fluorophenyl)-4H-benzo[f]imidazo[1,5-a][1,4]diazepine- 3-carboxylate (42, 3 g, 7 mmol), cyclopropyl boronic acid (1.8 g, 21 mmol), tri-basic potassium phosphate (5.93 g, 28 mmol), water (0.5 mL, 25 mmol), and additional toluene (15 mL) were added sequentially to the previous reaction mixture under argon. The reaction mixture was then allowed to stir at 100 °C for 12 h and the consumption of starting material was confirmed on the LCMS 2020 (single quadrupole mass analyzer). The Rf value on TLC (silica gel; neutral alumina; 60% ethyl acetate-hexane) for both the starting material and product was almost identical. That is why the completion of the reaction needed to be confirmed by LCMS 2020. The reaction mixture was then cooled and opened to the air once all the starting material was consumed. The reaction mixture was passed through a pad of celite beads to remove any palladium salts. The filtrate was diluted with water (20 mL) and ethyl acetate (30 mL). The biphasic mixture, which resulted, was allowed to stand to separate the layers. The organic layer was separated, and the aqueous layer was extracted (2 × 10 mL). The combined organic layers were washed with a 10% aqueous solution of NaCl (3 × 10 mL) and dried (Na2SO4). The solvents were removed under reduced pressure. The orange-colored residue, which resulted, was purified by flash chromatography (silica gel, 70% EtOAc-hexane). The desired fractions were pooled, and the solvents were removed under reduced pressure. The solid residue was dried under vacuum at 40 °C for 2 h to afford pure 43 as an off-white powder (1.95 g, 72%). 1H NMR (500 MHz, CDCl3) δ 7.93 (s, 1H), 7.63 (td, J = 7.5, 1.7 Hz, 1H), 7.48 (d, J = 8.3 Hz, 1H), 7.46–7.41 (m, 1H), 7.29 (dd, J = 7.9, 2.4 Hz, 1H), 7.24 (t, J = 7.5 Hz, 1H), 7.03 (dd, J = 15.1, 5.3 Hz, 2H), 6.08 (d, J = 3.0 Hz, 1H), 4.43 (q, J= 7.1 Hz, 2H), 4.11 (d, J = 10.8 Hz, 1H), 1.95–1.83 (m, 1H), 1.43 (t, J = 7.1 Hz, 3H), 1.02 (dd, J = 8.4, 1.2 Hz, 2H), 0.85–0.57 (m, 2H). 13C NMR (126 MHz, CDCl3) δ 166.40 (s), 163.04 (s), 160.26 (d, 1JC-F = 251.5 Hz), 144.08 (s), 138.45 (s), 134.29 (s), 132.02 (s), 131.85 (s), 131.33 (d, 4JC-F = 2.4 Hz), 129.04 (s), 128.89 (s), 128.76 (s), 128.17 (d, 2J C-F = 12.0 Hz), 127.87 (s), 124.34 (d, 3JC-F = 3.5 Hz), 122.35 (s), 116.07 (d, 2JC-F = 21.7 Hz), 60.67 (s), 44.96 (s), 15.10 (s), 14.48 (s), 9.86 (s). HRMS (ESI/IT-TOF) m/z: [M + H] + Calcd for C23H20N3O2F 390.1612; found 390.1617.

3.1.39. Synthesis of 5-(8-Cyclopropyl-6-(2′-fluorophenyl)-4H-benzo[f]imidazo[1,5-a][1,4]diazepin- 3-yl)-3- ethyl-1,2,4-oxadiazole (44)

The ethyl oxime, N-hydroxypropionoimidamine (0.9 g, 10.2 mmol) was dissolved in dry THF (20 mL) under argon and treated with sodium hydride (60% dispersion in mineral oil, 0.068 g, 2.86 mmol) for an hour with molecular sieves, 3 Å in a round bottom flask. The 8-cyclopropyl ethyl ester (43, 1 g, 2.56 mmol) was dissolved in dry THF (20 mL) in a separate flask at rt under argon and then added to the flask containing the oxime. The reaction mixture, which resulted, was stirred at rt for 2 h until the starting material was consumed, as indicated by analysis by TLC (silica gel, EtOAc: hexane = 50:50). The reaction mixture was quenched with 100% aqueous NaHCO3 solution (20 mL). Water (50 mL) was then added, and the product was extracted with EtOAc (3 × 100 mL). The organic layers were combined, washed (aqueous 10% NaCl solution, 2 × 30 mL) and dried (Na2SO4). The solvent was removed under reduced pressure. The solid, which resulted, was purified by flash column chromatography (silica gel, EtOAc: hexane= 50:50) to afford the pure oxadiazole, 44 (white powder, 850 mg, 80%). 1H NMR (500 MHz, CDCl3) δ 8.05 (s, 1H), 7.64 (t, J = 7.5 Hz, 1H), 7.53 (d, J = 8.3 Hz, 1H), 7.47–7.41 (m, 1H), 7.32 (d, J = 8.3 Hz, 1H), 7.24 (t, J = 7.5 Hz, 1H), 7.07 (s, 1H), 7.03 (t, J = 9.4 Hz, 1H), 6.14 (d, J = 10.9 Hz, 1H), 4.23 (d, J = 7.5 Hz, 1H), 2.84 (qd, J = 7.6, 1.1 Hz, 2H), 1.95–1.88 (m, 1H), 1.40 (td, J = 7.5, 1.1 Hz, 3H), 1.03 (d, J = 8.3 Hz, 2H), 0.67 (s, 2H). 13C NMR (126 MHz, CDCl3) δ 171.85 (s), 170.94 (s), 166.63 (s), 160.26 (d, 1J C-F = 251.6 Hz), 144.35 (s), 136.22 (s), 135.60 (s), 132.10 (d, 2J C-F = 8.4 Hz), 131.64 (s), 131.31 (d, 4J C-F = 2.3 Hz), 129.04 (s), 128.78 (s), 128.15 (s), 128.06 (s), 128.02 (s), 124.47 (s), 124.36 (d, 3J C-F = 3.5 Hz), 122.32 (s), 116.10 (d, 2J C-F = 21.6 Hz), 44.82 (s), 19.77 (s), 15.13 (s), 11.57 (s), 9.91 (s). HRMS (ESI/IT-TOF) m/z: [M + H] + Calcd for C24 H20 N5O F 414.1725; found 414.1691.

3.1.40. Synthesis of (R)-5-(8-Bromo-6-(2′-fluorophenyl)-4-methyl-4H-benzo[f]imidazo[1,5-a][1,4]diazepin-3-yl)-3-ethyl-1,2,4-oxadiazole (45)

The N-hydroxypropionoimidamine (3.98 g, 45.2 mmol) was treated with sodium hydride (60% dispersion in mineral oil, 0.298 g, 12.4 mmol) for an hour in the presence of molecular sieves (3 Å), in a round bottom flask and this solution was added to the stirred solution of 8-bromo ethyl ester, ethyl (R)-8-bromo-6-(2′-fluorophenyl)-4-methyl-4H-benzo[f]imidazo[1,5-a][1,4]diazepine-3-carboxylate (2, 5 g, 11.3 mmol) in dry THF (40 mL) in a separate flask under argon. The reaction mixture, which resulted, was stirred at rt for 3 h. The staring material was not consumed fully due to impure NaH. 40% of the starting material remained as indicated by analysis by TLC (silica gel, EtOAc: hexane = 50:50). The reaction mixture was quenched with 100% aqueous NaHCO3 solution (20 mL) and the product was extracted with EtOAc (3 x 100 mL). The organic layers were combined, washed (aqueous 10% NaCl solution, 2x 30 mL) and dried (Na2SO4). The solvent was removed under reduced pressure. The solid, which resulted, was purified by flash column chromatography (silica gel, EtOAc: hexane= 50:50) to afford the pure oxadiazole, 45 as a white powder (2.1 g, 40%). 2 g of starting material were recovered from the reaction. 1H NMR (500 MHz, CDCl3) δ 8.05 (s, 1H), 7.78 (dd, J = 23.6, 7.8 Hz, 1H), 7.62 (dd, J = 24.2, 17.3 Hz, 1H), 7.56–7.41 (m, 3H), 7.27 (dd, J = 13.0, 5.4 Hz, 1H), 7.06 (t, J = 9.1 Hz, 1H), 6.74 (dd, J = 14.2, 7.0 Hz, 1H), 2.83 (dd, J = 14.7, 7.3 Hz, 2H), 1.38 (t, J = 7.6 Hz, 3H), 1.36 (d, J = 7.7 Hz, 3H). 13C NMR (126 MHz, CDCl3) δ 171.89 (s), 170.66 (s), 162.84 (s), 160.08 (d, 1JC-F = 251.1 Hz), 139.13 (s), 136.16 (s), 135.31 (d, 2JC-F = 42.5 Hz), 135.01 (s), 133.39 (s), 133.20 (s), 132.21 (d, 4JC-F = 8.3 Hz), 131.14 (s), 128.33 (d, 3JC-F = 12.1 Hz), 125.04 (s), 124.59 (s), 123.61 (s), 121.18 (s), 116.27 (d, 2JC-F = 21.4 Hz), 50.26 (s), 19.76 (s), 14.99 (s), 11.54 (s). HRMS (ESI/IT-TOF) m/z: [M + H] + Calcd for C22H17N5OFBr 466.0673; found 466.0678.

3.1.41. Synthesis of (R)-5-(8-Cyclopropyl-6-(2′-fluorophenyl)-4-methyl-4H-benzo[f]imidazo[1,5-a][1,4]diazepin-3-yl)-3-ethyl-1,2,4-oxadiazole (46)

To a solution of the bromo ethyl oxadiazole (45, 1.1 g, 2.38 mmol), tri(o-tolyl)phosphine (85.5 mg, 0.28 mmol), cyclopropyl boronic acid (0.724 g, 8.43 mmol) and potassium phosphate (2.56 g, 12.1 mmol) in toluene (30 mL) and water (0.65 mL), Pd(OAc)2 (31.5 mg, 0.14 mmol) was added under argon at rt to form a cloudy orange-colored solution. A reflux condenser was attached. The mixture was allowed to stir at rt for 5 min until the color of the solution turned yellow, as an indication of the formation of the Pd complex generated in situ. The mixture was then placed into a pre-heated oil bath at 100 °C. After 2 h the reaction progress was complete on analysis by TLC (silica gel), and it was then cooled to rt. Then water (20 mL) was added, and the mixture was extracted with EtOAc (3 × 25 mL), after which the filtrate was washed with brine (20 mL), dried (Na2SO4) and concentrated under reduced pressure. The black residue which resulted was purified by a wash column (silica gel, 60% EtOAc-hexane) to afford the desired C(8)-cyclopropyl ethyl oxadiazole (46) as a white solid (815.5 mg, 81.6 %): 1H NMR (300 MHz, CDCl3) δ 7.98 (s, 1H), 7.46 (d, J = 8.3 Hz, 2H), 7.38–7.25 (m, 1H), 7.13 (t, J = 7.5 Hz, 2H), 6.93 (t, J = 9.1 Hz, 2H), 6.63 (q, J = 7.0 Hz, 1H), 2.73 (q, J = 7.6 Hz, 2H), 1.84–1.65 (m, 1H), 1.27 (dd, J = 14.1, 6.6 Hz, 6H), 0.90 (d, J = 8.3 Hz, 2H), 0.54 (dd, J = 10.1, 4.8 Hz, 2H); 13C NMR (126 MHz, CDCl3) δ 171.79 (s), 170.96 (s), 164.35 (s), 160.15 (d, 1JC-F = 249.3 Hz), 144.18 (s), 139.25 (s), 136.27 (s), 131.79 (d, 4JC-F = 3.2 Hz), 131.70 (s), 131.20 (s), 129.21 (s), 129.01 (d, 3JC-F = 5.7 Hz), 128.62 (s), 128.62 (s), 128.06 (s), 124.40 (d, 2JC-F = 12.6 Hz), 121.89 (s), 116.06 (d, 2JC-F = 21.8 Hz), 50.20 (s), 19.74 (s), 15.09 (s), 14.77 (s), 11.54 (s), 9.94 (s), 3.77 (s).; HRMS (ESI/IT-TOF) m/z: [M + H] Calcd for C25H23FN5O 428.1881, found 428.1889.

3.2. The Determination of Optical Purity Method 1

The separation of R and S enantiomers was carried out using an Agilent 1100 HPLC system with a Chiral pak IBN3 column (4.6 mm × 150 mm, 3µm particle size) and an isocratic mixture of 90% n-hexane and 10% ethanol as the mobile phase. The quaternary pump, autosampler, and DAD detector were also part of the system. The DAD wavelength range was set at 200–400 nm, and a wavelength of 254 nm was used for relative % area determination. The flow rate for the method was 1 mL/min. To verify the method, a racemic mixture was used. The enantiomeric excess was calculated using the following formula:
% ee = (R − S)/(R + S) × 100.

3.3. The Determination of Optical Purity Method 2

The R and S enantiomers of any carboxylic acid compounds were separated using an isocratic mixture of 90% n-hexane and 10% ethanol with 0.5% TFA as the mobile phase on an Agilent 1100 HPLC system comprising of a quaternary pump, autosampler, and a DAD detector. A Chiral pak IBN3 column (4.6 mm × 150 mm, 3µm particle size) was used to resolve the enantiomers. The method was verified using a racemic mixture. The DAD wavelength range was set at 200–400 nm, and a 254 nm wavelength was used for relative % area determination. The flow rate for this method was set at 1 mL/min. The enantiomeric excess was calculated using the formula:
% ee = (R − S)/(R + S) × 100.

3.4. Radioligand Binding Assays

The NIMH PDSP assay protocol book [https://kidbdev.med.unc.edu/databases/PDSP%20Protocols%20II%202013-03-28.pdf accessed on 23 April 2023]. describes the protocols for primary and secondary radio-ligand binding assays [83]. These assays were carried out in a final volume of 125 µL per well in the appropriate binding buffer. The concentration of the radioactive ligand was close to the Kd, with [3H]-U69593 at 0.83 nM, [3H]-DAMGO at 1.20 nM, and [3H]-DADLE at 2.69 nM.
The binding of a ligand to a receptor, ion channel, or transporter was determined in the absence and presence of 10 µM of the appropriate reference compound. Nonspecific binding was also determined in the absence and presence of 10 µM of the appropriate reference compound. Plates were incubated in the dark for 90 min at rt, and the reactions were stopped by vacuum filtration onto 0.3% polyethyleneimine (PEI) soaked 96-well filter mats using a 96-well Filtermateharvester. This was followed by three washes with cold PBS buffer. Radioactivity was then counted on a Microbeta counter. Nonlinear regression was used to analyze the data with N = 6 replicates.

4. Conclusions

Our findings indicate that the newly synthesized analogsshowed negligible binding or no binding to any off-target profile receptors at concentrations which could cause other physiological problems. The determination of antidepressant, anxiolytic, and procognitive effects are underway and will be reported in due course. The interest in antidepressant agents with procognitive properties has increased because the related amide (monomethyl amide) has shown activity in the absence of psychosis in a rodent model (in press). Moreover, this ligand (MP-III022) was active in autism and schizophrenia. As mentioned earlier imidazodiazepines are not benzodiazepines and the former are often devoid of the side effects of benzodiazepines.

5. Patents

International Patent Application No. PCT//US2022/042832 (Atty. File No. 020871-9178-WO01). Etienne Sibille, Thomas Prevot, and James Cook are listed as authors of the patent. This patent was licensed -to Damona Pharmaceuticals, a company co-founded by Etienne Sibille.

Supplementary Materials

The following supporting information can be downloaded at: https://www.mdpi.com/article/10.3390/molecules28124771/s1, 1HNMR and 13CNMR spectra; HRMS spectra; PDSP raw data.

Author Contributions

Conceptualization, D.S., T.D.P., E.S. and J.M.C.; methodology, D.S., M.Y.M., T.D.P., M.M. and J.M.C.; validation, D.S., M.Y.M., T.D.P., E.S., J.M.W. and J.M.C.; formal analysis, D.S., M.Y.M., T.D.P. and M.M.; investigation, D.S., M.Y.M., T.D.P. and M.M.; resources, T.D.P., E.S., J.M.W. and J.M.C.; data curation, D.S., M.Y.M., T.D.P. and M.M.; writing—original draft preparation, D.S., M.Y.M., T.D.P., M.M., E.S., J.M.W. and J.M.C.; writing—review and editing, D.S., M.Y.M., T.D.P., E.S., J.M.W. and J.M.C.; visualization, D.S., M.Y.M., T.D.P., E.S., J.M.W. and J.M.C.; supervision, E.S., J.M.W. and J.M.C.; project administration, T.D.P., E.S. and J.M.C.; funding acquisition, J.M.C. All authors have read and agreed to the published version of the manuscript.

Funding

This research was supported by the National Institutes of Health (USA) DA-043204; DA054177; AA029023.

Institutional Review Board Statement

Not applicable.

Informed Consent Statement

Not applicable.

Data Availability Statement

The study data are accessible upon request from the corresponding author. However, data cannot be publicly accessed due to limitations imposed by patent regulations.

Acknowledgments

We thank the Milwaukee Institute for Drug Discovery and the University of Wisconsin-Milwaukee’s Shimadzu Laboratory for Advanced and Applied Analytical Chemistry for help with spectroscopy and the National Science Foundation, Division of Chemistry [CHE-1625735]. Ki determinations for KOR, DOR, MOR, and BZR and KOR G-protein recruitment data were generously provided by the National Institute of Mental Health’s Psychoactive Drug Screening Program, Contract # HHSN-271-2018-00023-C (NIMH PDSP). The NIMH PDSP is directed by Bryan L. Roth, PhD thesis at the University of North Carolina at Chapel Hill and Jamie Driscoll at NIMH, Bethesda MD, USA.

Conflicts of Interest

The authors declare no conflict of interest.

Sample Availability

Samples of the various compounds are available from the authors.

References

  1. Benham, R.S.; Engin, E.; Rudolph, U. Diversity of neuronal inhibition: A path to novel treatments for neuropsychiatric disorders. JAMA Psychiatry 2014, 71, 91–93. [Google Scholar] [CrossRef] [PubMed]
  2. Chambers, M.S.; Atack, J.R.; Carling, R.W.; Collinson, N.; Cook, S.M.; Dawson, G.R.; Ferris, P.; Hobbs, S.C.; O’connor, D.; Marshall, G.; et al. An orally bioavailable, functionally selective inverse agonist at the benzodiazepine site of GABAA alpha5 receptors with cognition enhancing properties. J. Med. Chem. 2004, 47, 5829–5832. [Google Scholar] [CrossRef] [PubMed]
  3. Simon, J.; Wakimoto, H.; Fujita, N.; Lalande, M.; Barnard, E.A. Analysis of the set of GABAA receptor genes in the human genome. J. Biol. Chem. 2004, 279, 41422–41435. [Google Scholar] [CrossRef]
  4. Olsen, R.W.; Sieghart, W. GABAA receptors: Subtypes provide diversity of function and pharmacology. Neuropharmacology 2009, 56, 141–148. [Google Scholar] [CrossRef] [PubMed]
  5. Sieghart, W.; Sperk, G. Subunit composition, distribution and function of GABAA receptor subtypes. Curr. Topics Med. Chem. 2002, 2, 785–816. [Google Scholar] [CrossRef] [PubMed]
  6. Sieghart, W. Structure and pharmacology of gamma-aminobutyric acid A receptor subtypes. Pharmacol. Rev. 1995, 47, 181. [Google Scholar]
  7. Bast, T.; Pezze, M.; McGarrity, S. Cognitive deficits caused by prefrontal cortical and hippocampal neural disinhibition. Br. J. Pharmacol. 2017, 174, 3211–3225. [Google Scholar] [CrossRef]
  8. Zhang, Z.J.; Reynolds, G.P. A selective decrease in the relative density of parvalbumin-immunoreactive neurons in the hippocampus in schizophrenia. Schizophr. Res. 2002, 55, 1–10. [Google Scholar] [CrossRef]
  9. Benes, F.M.; Lim, B.; Matzilevich, D.; Walsh, J.P.; Subburaju, S.; Minns, M. Regulation of the GABA cell phenotype in hippocampus of schizophrenics and bipolars. Proc. Natl. Acad. Sci. USA 2007, 104, 10164–10169. [Google Scholar] [CrossRef]
  10. Fee, C.; Banasr, M.; Sibille, E. Somatostatin-positive gamma-aminobutyric acid interneuron deficits in depression: Cortical microcircuit and therapeutic perspectives. Biol. Psychiatry 2017, 82, 549–559. [Google Scholar] [CrossRef]
  11. Petty, F.; Schlesser, M.A. Plasma GABA in affective illness. A preliminary investigation. J. Affect. Disord. 1981, 3, 339–343. [Google Scholar] [CrossRef] [PubMed]
  12. Griffin, C.E.; Kaye, A.M.; Bueno, F.R.; Kaye, A.D. Benzodiazepine pharmacology and central nervous system-mediated effects. Ochsner J. 2013, 13, 214–223. [Google Scholar] [PubMed]
  13. Fogaca, M.V.; Duman, R.S. Cortical GABAergic dysfunction in stress and depression: New insights for therapeutic interventions. Front. Cell. Neurosci. 2019, 13, 87–107. [Google Scholar] [CrossRef] [PubMed]
  14. Newton, D.F. Chapter 28—Altered GABAergic Function, Cortical microcircuitry, and information processing in depression. In Neurobiology of Depression; Quevedo, J., Carvalho, A.F., Zarate, C.A., Eds.; Academic Press: Cambridge, MA, USA, 2019; pp. 315–329. [Google Scholar]
  15. Berrettini, W.H. Reduced plasma and CSF gamma-aminobutyric acid in affective illness: Effect of lithium carbonate. Biol. Psychiatry 1983, 18, 185–194. [Google Scholar] [PubMed]
  16. Petty, F. Plasma GABA in mood disorders. Psychopharmacol. Bull. 1990, 26, 157–161. [Google Scholar]
  17. Petty, F. Stability of plasma GABA at four-year follow-up in patients with primary unipolar depression. Biol. Psychiatry 1995, 37, 806–810. [Google Scholar] [CrossRef]
  18. Petty, F. Low plasma γ-aminobutyric acid levels in male patients with depression. Biol. Psychiatry 1992, 32, 354–363. [Google Scholar] [CrossRef]
  19. Petty, F.; Sherman, A.D. Plasma GABA in psychiatric illness. J. Affect. Disord. 1984, 6, 131–138. [Google Scholar] [CrossRef]
  20. Petty, F. Low plasma GABA is a trait-like marker for bipolar illness. Neuropsychopharmacology 1993, 9, 125–132. [Google Scholar] [CrossRef]
  21. Bhagwagar, Z. Low GABA concentrations in occipital cortex and anterior cingulate cortex in medication-free, recovered depressed patients. Neuropsychopharmacologicum (CINP) 2008, 11, 255–260. [Google Scholar] [CrossRef]
  22. Goddard, A.W. Reductions in Occipital Cortex GABA Levels in Panic Disorder Detected With 1H-Magnetic Resonance Spectroscopy. Arch. Gen. Psychiatry 2001, 58, 556–561. [Google Scholar] [CrossRef]
  23. Price, R.B. Amino acid neurotransmitters assessed by proton magnetic resonance spectroscopy: Relationship to treatment resistance in major depressive disorder. Biol. Psychiatry 2009, 65, 792–800. [Google Scholar] [CrossRef] [PubMed]
  24. Sanacora, G. Subtype-specific alterations of gamma-aminobutyric acid and glutamate in patients with major depression. Arch. Gen. Psychiatry 2004, 61, 705–713. [Google Scholar] [CrossRef] [PubMed]
  25. Sanacora, G. Increased occipital cortex GABA concentrations in depressed patients after therapy with selective serotonin reuptake inhibitors. Am. J. Psychiatry 2002, 159, 663–665. [Google Scholar] [CrossRef] [PubMed]
  26. Plante, D.T. Reduced gamma-aminobutyric acid in occipital and anterior cingulate cortices in primary insomnia: A link to major depressive disorder? Neuropsychopharmacology 2012, 37, 1548–1557. [Google Scholar] [CrossRef]
  27. Hasler, G. Reduced prefrontal glutamate/glutamine and gamma-aminobutyric acid levels in major depression determined using proton magnetic resonance spectroscopy. Arch. Gen. Psychiatry 2007, 64, 193–200. [Google Scholar] [CrossRef]
  28. Sanacora, G. Reduced Cortical γ-aminobutyric acid levels in depressed patients determined by proton magnetic resonance spectroscopy. Arch. Gen. Psychiatry 1999, 56, 1043. [Google Scholar] [CrossRef]
  29. Engin, E.; Liu, J.; Rudolph, U. α2-containing GABA(A) receptors: A target for the development of novel treatment strategies for CNS disorders. Pharmacol. Ther. 2012, 136, 142–152. [Google Scholar] [CrossRef] [PubMed]
  30. Koh, M.T.; Rosenzweig-Lipson, S.; Gallagher, M. Selective GABA(A) alpha5 positive allosteric modulators improve cognitive function in aged rats with memory impairment. Neuropharmacology 2013, 64, 145–152. [Google Scholar] [CrossRef]
  31. Collinson, N.; Kuenzi, F.M.; Jarolimek, W.; Maubach, K.A.; Cothliff, R.; Sur, C.; Smith, A.; Otu, F.M.; Howell, O.; Atack, J.R.; et al. Enhanced learning and memory and altered gabaergic synaptic transmission in mice lacking the alpha 5 subunit of the GABAA Receptor. J. Neurosci. 2002, 22, 5572–5580. [Google Scholar] [CrossRef]
  32. Korpi, E.R.; Mattila, M.J.; Wisden, W.; Luddens, H. GABAA receptor subtypes: Clinical efficacy and selectivity of benzodiazepine site ligands. Ann. Med. 1997, 29, 275–282.161. [Google Scholar] [CrossRef] [PubMed]
  33. Magnin, E.; Francavilla, R.; Amalyan, S.; Gervais, E.; David, L.S.; Luo, X.; Topolnik, L. Input-Specific Synaptic Location and Function of the α5 GABAA Receptor Subunit in the Mouse CA1 Hippocampal Neurons. J. Neurosci. 2019, 39, 788–801. [Google Scholar] [CrossRef] [PubMed]
  34. Fritschy, J.M.; Mohler, H. GABAA-receptor heterogeneity in the adult rat brain: Differential regional and cellular distribution of seven major subunits. J. Comp. Neurol. 1995, 359, 154–194. [Google Scholar] [CrossRef]
  35. Sur, C.; Fresu, L.; Howell, O.; McKernan, R.M.; Atack, J.R. Autoradiographic localization of alpha5 subunit-containing GABAA receptors in rat brain. Brain Res. 1999, 822, 265–270. [Google Scholar] [CrossRef]
  36. Hauser, J.; Rudolph, U.; Keist, R.; Möhler, H.; Feldon, J.; Yee, B.K. Hippocampal α5 subunit-containing GABAA receptors modulate the expression of prepulse inhibition. Mol. Psychiatry 2005, 10, 201–207. [Google Scholar] [CrossRef]
  37. Donegan, J.J.; Tyson, J.A.; Branch, S.Y.; Beckstead, M.J.; Anderson, S.A.; Lodge, D.J. Stem cell-derived interneuron transplants as a treatment for schizophrenia: Preclinical validation in a rodent model. Mol. Psychiatry 2017, 22, 1492–1501. [Google Scholar] [CrossRef]
  38. Crestani, F.; Keist, R.; Fritschy, J.M.; Benke, D.; Vogt, K.; Prut, L.; Bluthmann, H.; Mohler, H.; Rudolph, U. Trace Fear Conditioning Involves Hippocampal Alpha5 Gaba(a) Receptors. Proc. Natl. Acad. Sci. USA 2002, 99, 8980–8985. [Google Scholar] [CrossRef]
  39. Gill, K.M.; Grace, A.A. The role of alpha5 gabaa receptor agonists in the treatment of cognitive deficits in schizophrenia. Curr. Pharm. Des. 2014, 20, 5069–5076. [Google Scholar] [CrossRef]
  40. Soh, M.S.; Lynch, J.W. Selective modulators of alpha5-containing gabaa receptors and their therapeutic significance. Curr. Drug. Targets 2015, 16, 735–746. [Google Scholar] [CrossRef]
  41. Martinez-Cue, C.; Martinez, P.; Rueda, N.; Vidal, R.; Garcia, S.; Vidal, V.; Corrales, A.; Montero, J.A.; Pazos, A.; Florez, J.; et al. Reducing GABAA alpha5 receptor-mediated inhibition rescues functional and neuromorphological deficits in a mouse model of down syndrome. J. Neurosci. 2013, 33, 3953–3966. [Google Scholar] [CrossRef] [PubMed]
  42. Lodge, D.J.; Grace, A.A. Hippocampal dysfunction and disruption of dopamine system regulation in an animal model of schizophrenia. Neurotox. Res. 2008, 14, 97–104. [Google Scholar] [CrossRef]
  43. Gill, K.M.; Lodge, D.J.; Cook, J.M.; Aras, S.; Grace, A.A. A novel alpha5 GABAAR positive allosteric modulator reverses hyperactivation of the dopamine system in the mam model of schizophrenia. Neuropsychopharmacology 2011, 36, 1903–1911. [Google Scholar] [CrossRef]
  44. Gill, K.M.; Cook, J.M.; Poe, M.M.; Grace, A.A. Prior antipsychotic drug treatment prevents response to novel antipsychotic agent in the methylazoxymethanol acetate model of schizophrenia. Schizophr. Bull. 2014, 40, 341–350. [Google Scholar] [CrossRef]
  45. Benes, F.M. A new paradigm for understanding gamma-aminobutyric acid cell pathology in schizophrenia? Biol. Psychiatry 2012, 72, 712–713. [Google Scholar] [CrossRef] [PubMed]
  46. Papadimitriou, G.N.; Dikeos, D.G.; Karadima, G.; Avramopoulos, D.; Daskalopoulou, E.G.; Vassilopoulos, D.; Stefanis, C.N. Association between the Gaba(a) receptor alpha5 subunit gene locus (GABA α5) and bipolar affective disorder. Am. J. Med. Genet. 1998, 81, 73–80. [Google Scholar] [CrossRef]
  47. Li, G. Design and Synthesis of Achiral and Chiral Imidazodiazepine (IMDZ) GABA(A)R Subtype Selective Ligands for the Treatment of CNS Disorders, as well as Asthma. Theses and Dissertations. 2093. 2019. Available online: https://dc.uwm.edu/etd/2093 (accessed on 1 June 2021).
  48. Baykov, S.; Sharonova, T.; Shetnev, A.; Rozhkov, S.; Kalinin, S.; Smirnov, A.V. The first one-pot ambient-temperature synthesis of 1,2,4-oxadiazoles from amidoximes and carboxylic acid esters. Tetrahedron 2017, 73, 945–951. [Google Scholar] [CrossRef]
  49. Prevot, T.D.; Li, G.; Vidojevic, A.; Misquitta, K.A.; Fee, C.; Santrac, A.; Knutson, D.E.; Stephen, M.R.; Kodali, R.; Zahn, N.M.; et al. Novel benzodiazepine-like ligands with various anxiolytic, antidepressant, or pro-cognitive profiles. Mol. Neuropsychiatry 2019, 5, 84–97. [Google Scholar] [CrossRef] [PubMed]
  50. Zhu, M.; Abdulzahir, A.; Perkins, M.G.; Chu, C.C.; Krause, B.M.; Casey, C.; Lennertz, R.; Ruhl, D.; Hentschke, H.; Nagarajan, R.; et al. Control of Contextual Memory through Interneuronal A5-GABAA Receptors. PNAS Nexus 2023, 2, gad065. [Google Scholar] [CrossRef]
  51. Prevot, T.D.; Sumitomo, A.; Tomoda, T.; Knutson, D.E.; Li, G.; Mondal, P.; Banasr, M.; Cook, J.M.; Sibille, E. Reversal of Age-Related Neuronal Atrophy by α5-GABAA Receptor Positive Allosteric Modulation. Cereb. Cortex 2021, 31, 1395–1408. [Google Scholar] [CrossRef]
  52. Hortnagl, H.; Tasan, R.O.; Wieselthaler, A.; Kirchmair, E.; Sieghart, W.; Sperk, G. Patterns of mRNA and protein expression for 12 gabaa receptor subunits in the mouse brain. Neuroscience 2013, 236, 345–372. [Google Scholar] [CrossRef]
  53. Santrač, A.; Bijelić, D.; Stevanović, V.; Banićević, M.; Aranđelović, J.; Batinić, B.; Sharmin, D.; Cook, J.M.; Savić M., M. Postweaning positive modulation of α5GABAA receptors improves autism-like features in prenatal valproate rat model in a sex-specific manner. Autism Res. 2022, 15, 806–820. [Google Scholar] [CrossRef] [PubMed]
  54. Perez, S.M.; McCoy, A.M.; Prevot, T.D.; Mian, M.Y.; Carreno, F.R.; Frazer, A.; Cook, J.M.; Sibille, E.; Lodge D., J. Hippocampal α5-GABAA Receptors Modulate Dopamine Neuron Activity in the Rat Ventral Tegmental Area. Biol. Psychiatry Glob Open Sci. 2022, 3, 78–86. [Google Scholar] [CrossRef] [PubMed]
  55. Santrac, A.; Stamenić, T.T.; Batinić, B.; Matović, B.D.; Stanković, T.; Poe, M.; Cook, J.; Savić, M.M.P. 225 Effect of MP-III-022, positive modulator of alpha 5 containing GABAA receptors, on learning and memory. Eur. Neuropsychopharmacol. 2019, 29, S173–S174. [Google Scholar] [CrossRef]
  56. Pirker, S.; Schwarzer, C.; Wieselthaler, A.; Sieghart, W.; Sperk, G. GABA(A) receptors: Immunocytochemical distribution of 13 subunits in the adult rat brain. Neuroscience 2000, 101, 815–850. [Google Scholar] [CrossRef]
  57. Batinić, B.; Santrač, A.; Jančić, I.; Li, G.; Vidojević, A.; Marković, B.; Cook, J.M.; Savić, M.M. Positive modulation of α5 GABAA receptors in preadolescence prevents reduced locomotor response to amphetamine in adult female but not male rats prenatally exposed to lipopolysaccharide. Int. J. Dev. Neurosci. 2017, 61 (Suppl. C), 31–39. [Google Scholar] [CrossRef]
  58. Piantadosi, S.C.; French, B.J.; Poe, M.M.; Timic, T.; Markovic, B.D.; Pabba, M.; Seney, M.L.; Oh, H.; Orser, B.A.; Savic, M.M.; et al. Sex-dependent anti-stress effect of an alpha5 subunit containing gabaa receptor positive allosteric modulator. Front. Pharmacol. 2016, 7, 446. [Google Scholar] [CrossRef]
  59. Daniel; Knutson, E.; Roni, M.S.R.; Mian, M.Y.; Cook, J.M.; Stafford, D.C.; Arnold, L.A. Improved scale-up synthesis and purification of clinical asthma candidate midd0301. Org. Process. Res. Dev. 2020, 24, 1467–1476. [Google Scholar] [CrossRef]
  60. Wallace, D.J.; Chen, C.-Y. Cyclopropylboronic acid: Synthesis and Suzuki cross-coupling reactions. Tetrahedron Lett. 2002, 43, 6987–6990. [Google Scholar] [CrossRef]
  61. Scuotto, J.-F.; Mathieu, D.; Gallo, R.; Phan-Tan-Luu, R.; Metzger, J.; Desbois, M. Friedel-Crafts synthesis of benzophenone with little lewis acid catalyst. factorial design and mechanism. Bull. Des Sociétés Chim. Belg. 1985, 94, 897–907. [Google Scholar] [CrossRef]
  62. Kangani, C.O.; Day, B.W. Mild, efficient friedel-crafts acylations from carboxylic acids using cyanuric chloride and AlCl3. Org. Lett. 2008, 10, 2645–2648. [Google Scholar] [CrossRef] [PubMed]
  63. Paul, S.; Nanda, P.; Gupta, R.; Loupy, A. Zinc mediated friedel-crafts acylation in solvent-free conditions under microwave irradiation. Synthesis 2003, 18, 2877–2881. [Google Scholar] [CrossRef]
  64. Cassar, L. Synthesis of aryl- and vinyl-substituted acetylene derivatives by the use of nickel and palladium complexes. J. Organomet. Chem. 1975, 93, 253–257. [Google Scholar] [CrossRef]
  65. Dieck, H.A.; Heck, F.R. Palladium catalyzed synthesis of aryl, heterocyclic and vinylicacetylene derivatives. J. Organomet. Chem. 1975, 93, 259–263. [Google Scholar] [CrossRef]
  66. Wiberg, K.B.; Rablen, P.R. Why does thioformamide have a larger rotational barrier than formamide? J. Am. Chem. Soc. 1995, 117, 2201–2209. [Google Scholar] [CrossRef]
  67. Ozturk, T.; Ertas, E.; Mert, O. Use of Lawesson’s reagent in organic syntheses. Chem. Rev. 2007, 107, 5210–5278. [Google Scholar] [CrossRef]
  68. Curphey, T.J. Thionation with the reagent combination of phosphorus pentasulfide and hexamethyldisiloxane. J. Org. Chem. 2002, 67, 6461–6473. [Google Scholar] [CrossRef]
  69. Ohmoto, K.; Yamamoto, T.; Horiuchi, T.; Imanishi, H.; Odagaki, Y.; Kawabata, K.; Sekioka, T.; Hirota, Y.; Matsuoka, S.; Nakai, H.; et al. Design and synthesis of new orally active nonpeptidic inhibitors of human neutrophil elastase. J. Med. Chem. 2000, 43, 4927–4929. [Google Scholar] [CrossRef]
  70. Ono, M.; Haratake, M.; Saji, H.; Nakayama, M. Development of novel β-amyloid probes based on 3,5-diphenyl-1,2,4-oxadiazole. Bioorg. Med. Chem. 2008, 16, 6867–6872. [Google Scholar] [CrossRef]
  71. Orlek, B.S.; Blaney, F.E.; Brown, F.; Clark, M.S.G.; Hadley, M.S.; Hatcher, J.; Riley, G.J.; Rosenberg, H.E.; Wadsworth, H.J.; Wyman, P. Comparison of azabicyclic esters and oxadiazoles as ligands for the muscarinic receptor. J. Med. Chem. 1991, 34, 2726–2735. [Google Scholar] [CrossRef]
  72. Patani, G.A.; LaVoie, E.J. Bioisosterism: A rational approach in drug design. Chem. Rev. 1996, 96, 3147–3176. [Google Scholar] [CrossRef]
  73. Warmus, J.S.; Flamme, C.; Zhang, L.Y.; Barrrett, S.; Bridges, A.; Kaufman, M.; Tecle, H.; Gowan, R.; Sebolt-Leopold, J.; Leopold, W.; et al. 2-Alkylamino- and alkoxysubstituted 2-amino-1,3,4-oxadiazoles-O-Alkyl benzohydroxamate esters replacements retain the desired inhibition and selectivity against MEK (MAP ERK kinase). Bioorg. Med. Chem. Lett. 2008, 18, 6171–6174. [Google Scholar] [CrossRef]
  74. McBriar, M.D.; Clader, J.W.; Chu, I.; Del Vecchio, R.A.; Favreau, L.; Greenlee, W.J.; Hyde, L.A.; Nomeir, A.A.; Parker, E.M.; Pissarnitski, D.A.; et al. Discovery of amide and heteroaryl isosteres as carbamate replacements in a series of orally active γ-secretase inhibitors. Bioorg. Med. Chem. Lett. 2008, 18, 215–219. [Google Scholar] [CrossRef] [PubMed]
  75. Bostrom, J.; Hogner, A.; Schmitt, S. Do structurally similar ligands bind in a similar fashion? J. Med. Chem. 2006, 49, 6716–6725. [Google Scholar] [CrossRef] [PubMed]
  76. Bostro, J.; Hogner, A.; Llinas, A.; Wellner, E.; Plowright, A.T. Oxadiazoles in medicinal chemistry. J. Med. Chem. 2012, 55, 1817–1830. [Google Scholar] [CrossRef] [PubMed]
  77. Catterall, W.A. Voltage-gated calcium channels. Cold Spring Harb. Perspect. Biol. 2011, 3, a003947. [Google Scholar] [CrossRef]
  78. Carvajal, F.J.; Mattison, H.A.; Cerpa, W. Role of NMDA receptor-mediated glutamatergic signaling in chronic and acute neuropathologies. Neural Plast. 2016, 2016, 2701526. [Google Scholar] [CrossRef]
  79. Fernandez, D.; Ghanta, A.; Kauffman, G.W.; Sanguinetti, M.C. Physicochemical Features of the hERG Channel Drug Binding Site. J. Biol. Chem. 2004, 279, 10120–10127. [Google Scholar] [CrossRef]
  80. Casellas, P.; Galiegue, S.; Basile, A.S. Peripheral benzodiazepine receptors and mitochondrial function. Neurochem. Int. 2002, 40, 475–486. [Google Scholar] [CrossRef]
  81. Pasternak, G.W.; Pan, Y.X. Mu opioids and their receptors: Evolution of a concept. Pharmacol. Rev. 2013, 65, 1257–1317. [Google Scholar] [CrossRef]
  82. Li, G.; Nieman, A.N.; Mian, M.Y.; Zahn, N.M.; Mikulsky, B.N.; Poe, M.M.; Methuku, K.R.; Liu, Y.; Cook, J.M.; Stafford, D.C.; et al. A Structure-Activity Relationship Comparison of Imidazodiazepines Binding at Kappa, Mu, and Delta Opioid Receptors and the GABAA Receptor. Molecules 2020, 25, 3864. [Google Scholar] [CrossRef]
  83. Roth, B. National institute of mental health psychoactive drug screening program. In Assay Protocol Book; Department of Pharmacology, University of North Carolina at Chapel Hill: Chapel Hill, NC, USA, 2018; p. 359. [Google Scholar]
Figure 1. General structure of imidazodiazepines in this research.
Figure 1. General structure of imidazodiazepines in this research.
Molecules 28 04771 g001
Figure 2. Amide analogs of IMDZ 1 synthesized by modifying different positions of ligand 1, as illustrated.
Figure 2. Amide analogs of IMDZ 1 synthesized by modifying different positions of ligand 1, as illustrated.
Molecules 28 04771 g002
Scheme 1. Synthesis of compound 5. Reagents and conditions: (a) Pd(OAc)2 (5 mol%), tri-o-tolyl phosphine (10 mol%), toluene under argon, 15 min, rt; then K3PO4 (3 eq), H2O (0.2 eq), phenyl boronic acid (3 eq), 100 °C, 12 h (71%, >99% ee); (b) LiOH (4 eq), THF:H2O (4:1), 50 °C, 2 h; then CH3COOH (5.5 eq, pH ~4–5) (85%, >99%ee); (c) SOCl2 (10 eq), DMF (cat.), DCM, reflux (35–40 °C), 1 h; then N,N-dimethylamine (2 M solution in THF, 6 eq), DCM, 0 °C to rt, 2 h (78%, >99% ee).
Scheme 1. Synthesis of compound 5. Reagents and conditions: (a) Pd(OAc)2 (5 mol%), tri-o-tolyl phosphine (10 mol%), toluene under argon, 15 min, rt; then K3PO4 (3 eq), H2O (0.2 eq), phenyl boronic acid (3 eq), 100 °C, 12 h (71%, >99% ee); (b) LiOH (4 eq), THF:H2O (4:1), 50 °C, 2 h; then CH3COOH (5.5 eq, pH ~4–5) (85%, >99%ee); (c) SOCl2 (10 eq), DMF (cat.), DCM, reflux (35–40 °C), 1 h; then N,N-dimethylamine (2 M solution in THF, 6 eq), DCM, 0 °C to rt, 2 h (78%, >99% ee).
Molecules 28 04771 sch001
Scheme 2. Synthesis of (2-amino-5-bromophenyl)(2-chlorophenyl)methanone 7. Friedel Crafts acylation of 4-bromo aniline. Reagents and conditions. (a) 2-chloro benzoyl chloride (3 eq), 100 °C, 30 min, then anhydrous ZnCl2 (2 eq), 220 °C, 3 h; (b) H2SO4: CH3COOH: H2O (2:1:1), reflux, 18 h; then 25% aq K2CO3, DCM, 41.5%.
Scheme 2. Synthesis of (2-amino-5-bromophenyl)(2-chlorophenyl)methanone 7. Friedel Crafts acylation of 4-bromo aniline. Reagents and conditions. (a) 2-chloro benzoyl chloride (3 eq), 100 °C, 30 min, then anhydrous ZnCl2 (2 eq), 220 °C, 3 h; (b) H2SO4: CH3COOH: H2O (2:1:1), reflux, 18 h; then 25% aq K2CO3, DCM, 41.5%.
Molecules 28 04771 sch002
Scheme 3. Synthesis of amide analogs of IMDZ 1. Reagent and conditions. (a) N-Boc-L-Ala-OH or N-Boc-D-Ala-OH (1.4 eq), N,N′-Dicyclohexylcarbodiimide (DCC, 1.6 eq), −10 °C to rt, 40 h, 68–91%; (b) 2 M HCl in ether or 4 M HCl in dioxane (4 eq), rt, 12 h; 10% aq, NaHCO3 work up; (c) MeOH, rt, 12 h, 72–88%, >99% ee; (d) t-BuOK (1.3 eq), −20 °C, 1 h, then ClPO(OEt)2 (1.4 eq), −20 °C, 2 h, then CNCH2COOEt (1.4 eq), −30 °C to rt, 6 h, 62%, >99% ee; (e) Pd(OAc)2 (5 mol%), tri-o-tolyl phosphine (10 mol%), ACN under argon, 15 min, rt, then TEA (3 eq), TIPS-acetylene (1.3 eq), reflux, 4 h, 80–88%, >99% ee; (f) TBAF (1 M in THF, 1.3 eq), THF, rt, 2 h, 78–86%, >99% ee; (g) CH3NH2 (88% in EtOH, excess), sealed tube, reflux, 12 h, 60–67%; (h) LiOH (4 eq), THF:H2O (4:1), 50 °C, 2 h; then CH3COOH (5.5 eq, pH ~4–5) (85%, >99%ee); (i) SOCl2 (10 eq), DMF (cat.), DCM, reflux (35–40 °C), 1 h; then amine (1 M–2 M solution in THF, 6 eq), DCM, 0 °C to rt, 2 h, 70–80%, >99% ee; (j) C14H14O2P2S4 (Lawesson’s reagent, 5 eq), THF, sealed tube, reflux, 36 h, 63%.
Scheme 3. Synthesis of amide analogs of IMDZ 1. Reagent and conditions. (a) N-Boc-L-Ala-OH or N-Boc-D-Ala-OH (1.4 eq), N,N′-Dicyclohexylcarbodiimide (DCC, 1.6 eq), −10 °C to rt, 40 h, 68–91%; (b) 2 M HCl in ether or 4 M HCl in dioxane (4 eq), rt, 12 h; 10% aq, NaHCO3 work up; (c) MeOH, rt, 12 h, 72–88%, >99% ee; (d) t-BuOK (1.3 eq), −20 °C, 1 h, then ClPO(OEt)2 (1.4 eq), −20 °C, 2 h, then CNCH2COOEt (1.4 eq), −30 °C to rt, 6 h, 62%, >99% ee; (e) Pd(OAc)2 (5 mol%), tri-o-tolyl phosphine (10 mol%), ACN under argon, 15 min, rt, then TEA (3 eq), TIPS-acetylene (1.3 eq), reflux, 4 h, 80–88%, >99% ee; (f) TBAF (1 M in THF, 1.3 eq), THF, rt, 2 h, 78–86%, >99% ee; (g) CH3NH2 (88% in EtOH, excess), sealed tube, reflux, 12 h, 60–67%; (h) LiOH (4 eq), THF:H2O (4:1), 50 °C, 2 h; then CH3COOH (5.5 eq, pH ~4–5) (85%, >99%ee); (i) SOCl2 (10 eq), DMF (cat.), DCM, reflux (35–40 °C), 1 h; then amine (1 M–2 M solution in THF, 6 eq), DCM, 0 °C to rt, 2 h, 70–80%, >99% ee; (j) C14H14O2P2S4 (Lawesson’s reagent, 5 eq), THF, sealed tube, reflux, 36 h, 63%.
Molecules 28 04771 sch003
Figure 3. Oxadiazole analogs of IMDZ 1.
Figure 3. Oxadiazole analogs of IMDZ 1.
Molecules 28 04771 g003
Scheme 4. Synthesis of 1,2,4-oxadiazoles. Reagents and conditions. Ethyl, isopropyl or cyclopropyl oximes (4 eq), NaH (60% dispersion in mineral oil, 1.1 eq), THF, molecular sieves (3 Å), 1 h, rt; then add ethyl esters (1 eq), rt, 2 h, 53–80% yield.
Scheme 4. Synthesis of 1,2,4-oxadiazoles. Reagents and conditions. Ethyl, isopropyl or cyclopropyl oximes (4 eq), NaH (60% dispersion in mineral oil, 1.1 eq), THF, molecular sieves (3 Å), 1 h, rt; then add ethyl esters (1 eq), rt, 2 h, 53–80% yield.
Molecules 28 04771 sch004
Figure 4. The olefinic migrated product.
Figure 4. The olefinic migrated product.
Molecules 28 04771 g004
Scheme 5. 8-Cyclopropyl oxadiazole compounds. Reagents and conditions. (a,d) Pd(OAc)2 (5 mol%), tri-o-tolyl phosphine (10 mol%), toluene under argon, 15 min, rt; then K3PO4 (3 eq), H2O (0.2 eq), phenyl brornic acid (3 eq), 100 °C, 12 h, 71–78%; (b,c) Ethyl oxime (4 eq), NaH (60% dispersion in mineral oil, 1.1 eq), THF, molecular sieve (3 Å), 1 h, rt; then add ethyl esters (1 eq), rt, 2 h, 77–80%.
Scheme 5. 8-Cyclopropyl oxadiazole compounds. Reagents and conditions. (a,d) Pd(OAc)2 (5 mol%), tri-o-tolyl phosphine (10 mol%), toluene under argon, 15 min, rt; then K3PO4 (3 eq), H2O (0.2 eq), phenyl brornic acid (3 eq), 100 °C, 12 h, 71–78%; (b,c) Ethyl oxime (4 eq), NaH (60% dispersion in mineral oil, 1.1 eq), THF, molecular sieve (3 Å), 1 h, rt; then add ethyl esters (1 eq), rt, 2 h, 77–80%.
Molecules 28 04771 sch005
Table 1. Binding affinities of imidazodiazepines at hERG channels.
Table 1. Binding affinities of imidazodiazepines at hERG channels.
Molecules 28 04771 i001
Core Structure of the Novel Imidazodiazepines
XR2R3R1CompoundBinding Affinity at hERG
% Inhibition (Primary Binding) *
C-FMolecules 28 04771 i002Molecules 28 04771 i003(R)-CH3464.34 ± 3.922
C-FMolecules 28 04771 i004Molecules 28 04771 i005(R)-CH333−4.4 ± 4.52
C-ClMolecules 28 04771 i006Molecules 28 04771 i007(R)-CH321−5.73 ± 11.12
NMolecules 28 04771 i008Molecules 28 04771 i009(S)-CH3310.95 ± 2.21
NMolecules 28 04771 i010Molecules 28 04771 i011(S)-CH323−4.24 ± 3.47
C-ClMolecules 28 04771 i012Molecules 28 04771 i013(R)-CH329−1.55 ± 10.12
C-FClMolecules 28 04771 i014(R)-CH338−1.15 ± 19.61
C-FMolecules 28 04771 i015Molecules 28 04771 i016H4433.24 ± 12.61
C-FPhMolecules 28 04771 i017(R)-CH33537.34 ± 5.97
C-FPhMolecules 28 04771 i018(R)-CH35−0.48 ± 4.52
C-FClMolecules 28 04771 i019(R)-CH3374.21 ± 10.78
C-FClMolecules 28 04771 i020(R)-CH3381.86 ± 25.56
* Percent of inhibition at 10,000 nM. N = 5, The concentration of the radioactive ligand was close to the Kd, with [3H]-U69593 at 0.83 nM, [3H]-DAMGO at 1.20 nM, and [3H]-DADLE at 2.69 nM.
Table 2. Binding affinities at peripheral benzodiazepine receptors (PBR) for the novel compounds.
Table 2. Binding affinities at peripheral benzodiazepine receptors (PBR) for the novel compounds.
Molecules 28 04771 i021
Core Structure of the Novel Imidazodiazepines
XR2R3R1CompoundBinding Affinity at PBR
% Inhibition (Primary) *Ki (nM)
(Secondary
Screen)
C-FMolecules 28 04771 i022Molecules 28 04771 i023(R)-CH34686.38 ± 6.35627.34 ± 5.72
C-FClMolecules 28 04771 i024(R)-CH33657.19 ± 10.32982.2 ± 404.51
C-FMolecules 28 04771 i025Molecules 28 04771 i026H4771.03 ± 13.621109.99 ± 15.18
C-FPhMolecules 28 04771 i027(R)-CH33571.76 ± 10.471114.56 ± 24.5
C-FMolecules 28 04771 i028Molecules 28 04771 i029(R)-CH33366.42 ± 3.31712.3
C-FClMolecules 28 04771 i030(R)-CH33788.03 ± 1.32838.24 ± 134.66
C-FClMolecules 28 04771 i031(R)-CH33889.95 ± 2.13617.14 ± 27.07
* Percent of inhibition at 10,000 nM. Ki values for secondary screening are in nM. N = 5 for primary screening. The concentration of the radioactive ligand was close to the Kd, with [3H]-U69593 at 0.83 nM, [3H]-DAMGO at 1.20 nM, and [3H]-DADLE at 2.69 nM. N = 2 for secondary screening.
Table 3. Opioid receptor binding of the novel imidazodiazepine.
Table 3. Opioid receptor binding of the novel imidazodiazepine.
Molecules 28 04771 i032
Core Structure of the Novel Imidazodiazepines
XR2R3R1CompoundPrimary BindingKOR *
(Ki, nM)
%KOR *%MOR *%DOR *
C-FMolecules 28 04771 i033Molecules 28 04771 i034(R)--CH34791.32 ± 3.0625.15 ± 12.7667.34 ± 7.84248.03 ± 22.58
C-FMolecules 28 04771 i035Molecules 28 04771 i036(R)--CH33353.57 ± 7.24−2.4 ± 5.7213.2 ± 7.83399.77 ± 81.95
C-ClMolecules 28 04771 i037Molecules 28 04771 i038(R)--CH32169.57 ± 6.01−3.57 ± 7.6828.27 ± 4.67660.47 ± 159.2
NMolecules 28 04771 i039Molecules 28 04771 i040(S)-CH331−3.79 ± 4.994.55 ± 12.476.18 ± 11.18NA
NMolecules 28 04771 i041Molecules 28 04771 i042(S)-CH32326.87 ± 6.215.24 ± 10.7314.92 ± 8.84NA
C-ClMolecules 28 04771 i043Molecules 28 04771 i044(R)--CH32969.11 ± 29.117.31 ± 9.5439.52 ± 3.21392.26 ± 78.84
C-FClMolecules 28 04771 i045(R)--CH33696.42 ± 3.0019.2 ± 5.4740.73 ± 10.16104.01 ± 7.58
C-FMolecules 28 04771 i046Molecules 28 04771 i047H4496.26 ± 2.2926.44 ± 6.0181.35 ± 4.76207.18 ± 33.15
C-FPhMolecules 28 04771 i048(R)--CH33537.97 ± 1.7314.82 ± 6.3252.73 ± 4.38NA
C-FPhMolecules 28 04771 i049(R)--CH3553.58 ± 7.24−11.18 ± 5.7242.97 ± 7.832144.35 ± 311.03
C-FClMolecules 28 04771 i050(R)--CH33799.21 ± 1.7548.6 ± 4.1731.95 ± 9.5846.33 ± 4.93
C-FClMolecules 28 04771 i051(R)--CH33898.86 ± 1.6030.22 ± 6.4642.78 ± 8.94482.24 ± 2.43
C-FClMolecules 28 04771 i052(R)--CH33281.41 ± 7.5211.24 ± 5.4714.38 ± 7.98730.77 ± 238.01
* Percent of inhibition at 10,000 nM. Ki values for secondary screening are in nM. N = 5 for primary screening. The concentration of the radioactive ligand was close to the Kd, with [3H]-U69593 at 0.83 nM, [3H]-DAMGO at 1.20 nM, and [3H]-DADLE at 2.69 nM. N = 2 for secondary screening.
Table 4. Binding affinities at the BZP rat brain site (PDSP) for the novel compounds.
Table 4. Binding affinities at the BZP rat brain site (PDSP) for the novel compounds.
Molecules 28 04771 i053
Core Structure of the Novel Imidazodiazepines
XR2R3R1CompoundBinding Affinity BZR
% Inhibition (Primary)*Secondary Screening
Ki(nM)
C-FMolecules 28 04771 i054Molecules 28 04771 i055(R)--CH34665.25 ± 5.333791.32 ± 632.23
C-FMolecules 28 04771 i056Molecules 28 04771 i057(R)--CH33394.79 ± 1.08871.14 ± 8.72
C-ClMolecules 28 04771 i058Molecules 28 04771 i059(R)--CH32194.96 ± 2.0677.65 ± 2.93
NMolecules 28 04771 i060Molecules 28 04771 i061(S)-CH33183.57 ± 1.57838.37 ± 107.14
NMolecules 28 04771 i062Molecules 28 04771 i063(S)-CH32352.97 ± 6.261299.44 ± 393.85
C-ClMolecules 28 04771 i064Molecules 28 04771 i065(R)--CH32987.49 ± 2.75394.44 ± 40.19
C-FClMolecules 28 04771 i066(R)--CH33681.18 ± 3.12589.72 ± 44.56
C-FMolecules 28 04771 i067Molecules 28 04771 i068H4496.52 ± 2.57193.89 ± 62.71
C-FPhMolecules 28 04771 i069(R)--CH33519.91 ± 7.21_
C-FPhMolecules 28 04771 i070(R)--CH3594.79 ± 1.08123.2 ± 22.3
* Percent of inhibition at 10,000 nM. Ki values for secondary screening are in nM. N = 5 for primary screening. The concentration of the radioactive ligand was close to the Kd, with [3H]-U69593 at 0.83 nM, [3H]-DAMGO at 1.20 nM, and [3H]-DADLE at 2.69 nM. N = 2 for secondary screening.
Disclaimer/Publisher’s Note: The statements, opinions and data contained in all publications are solely those of the individual author(s) and contributor(s) and not of MDPI and/or the editor(s). MDPI and/or the editor(s) disclaim responsibility for any injury to people or property resulting from any ideas, methods, instructions or products referred to in the content.

Share and Cite

MDPI and ACS Style

Sharmin, D.; Mian, M.Y.; Marcotte, M.; Prevot, T.D.; Sibille, E.; Witkin, J.M.; Cook, J.M. Synthesis and Receptor Binding Studies of α5 GABAAR Selective Novel Imidazodiazepines Targeted for Psychiatric and Cognitive Disorders. Molecules 2023, 28, 4771. https://doi.org/10.3390/molecules28124771

AMA Style

Sharmin D, Mian MY, Marcotte M, Prevot TD, Sibille E, Witkin JM, Cook JM. Synthesis and Receptor Binding Studies of α5 GABAAR Selective Novel Imidazodiazepines Targeted for Psychiatric and Cognitive Disorders. Molecules. 2023; 28(12):4771. https://doi.org/10.3390/molecules28124771

Chicago/Turabian Style

Sharmin, Dishary, Md Yeunus Mian, Michael Marcotte, Thomas D. Prevot, Etienne Sibille, Jeffrey M. Witkin, and James M. Cook. 2023. "Synthesis and Receptor Binding Studies of α5 GABAAR Selective Novel Imidazodiazepines Targeted for Psychiatric and Cognitive Disorders" Molecules 28, no. 12: 4771. https://doi.org/10.3390/molecules28124771

APA Style

Sharmin, D., Mian, M. Y., Marcotte, M., Prevot, T. D., Sibille, E., Witkin, J. M., & Cook, J. M. (2023). Synthesis and Receptor Binding Studies of α5 GABAAR Selective Novel Imidazodiazepines Targeted for Psychiatric and Cognitive Disorders. Molecules, 28(12), 4771. https://doi.org/10.3390/molecules28124771

Article Metrics

Back to TopTop