Effect of Chemical Refining on the Reduction of β-Carboline Content in Sesame Seed Oil
Abstract
1. Introduction
2. Results and Discussion
2.1. Effects of Sesame Seed Oil Refining Process on the Content of β-Carboline Compounds
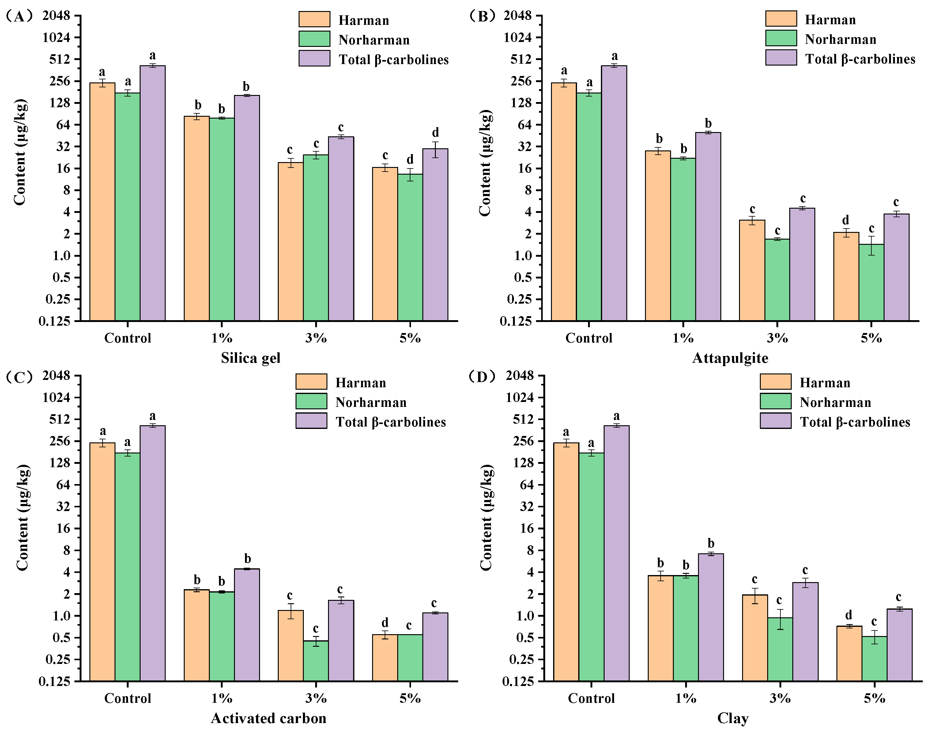
2.2. Effect of Different Types of Adsorbents on the Removal of β-Carbolines from Sesame Seed Oil
2.3. Effect of Adsorbent Dosage on the Removal of β-Carbolines from Sesame Seed Oil
2.4. Effects of Different Types of Activated Carbons on the Removal of β-Carbolines from Sesame Seed Oil
2.5. Removal of β-Carbolines from Sesame Seed Oil Using Blended Decolorizers
2.6. Changes in Basic Physicochemical Properties of Sesame Seed Oil Refining Process
3. Materials and Methods
3.1. Materials
3.2. Methods
3.2.1. Roasting Treatment and Extraction of Oil from Sesame Seeds
3.2.2. Hydration Degumming
3.2.3. Alkali Refining Deacidification
3.2.4. Adsorption Decolorization
3.2.5. Distillation Deodorization
3.2.6. Extraction and Purification of HAAs
3.2.7. LC/MS Analysis of HAAs
3.2.8. Physicochemical Properties of Sesame Seed Oil
3.2.9. Statistical Analysis
4. Conclusions
Author Contributions
Funding
Institutional Review Board Statement
Informed Consent Statement
Data Availability Statement
Conflicts of Interest
Sample Availability
References
- Turesky, R.J.; Le Marchand, L. Metabolism and biomarkers of heterocyclic aromatic amines in molecular epidemiology studies: Lessons learned from aromatic amines. Chem. Res. Toxicol. 2011, 24, 1169–1214. [Google Scholar] [CrossRef] [PubMed]
- Zamora, R.; Hidalgo, F.J. Formation of heterocyclic aromatic amines with the structure of aminoimidazoazarenes in food products. Food Chem. 2020, 313, 126128. [Google Scholar] [CrossRef] [PubMed]
- Wakabayashi, K.; Sugimura, T. Heterocyclic amines formed in the diet: Carcinogenicity and its modulation by dietary factors. J. Nutr. Biochem. 1998, 9, 604–612. [Google Scholar] [CrossRef]
- Ergene, E.; Schoener, E.P. Effects of harmane (1-methyl-beta-carboline) on neurons in the nucleus accumbens of the rat. Pharmacol. Biochem. Behav. 1993, 44, 951–957. [Google Scholar] [CrossRef] [PubMed]
- Adell, A.; Biggs, A.; Myers, D. Action of Harman (1-methyl-beta-carboline) on the brain: Body temperature and in vivo efflux of 5-HT from hippocampus of the rat. Neuropharmacology 1996, 8, 1101–1107. [Google Scholar] [CrossRef]
- Aaslyng, M.D.; Duedahl-Olesen, L.; Jensen, K.; Meinert, L. Content of heterocyclic amines and polycyclic aromatic hydrocarbons in pork, beef and chicken barbecued at home by Danish consumers. Meat Sci. 2013, 93, 85–91. [Google Scholar] [CrossRef]
- Alves, R.C.; Casal, S.; Oliveira, B.P.P. Factors influencing the norharman and harman contents in espresso coffee. J. Agric. Food Chem. 2007, 55, 1832–1838. [Google Scholar] [CrossRef]
- Herraiz, T. Relative exposure to β-carbolines norharman and harman from foods and tobacco smoke. Food Addit. Contam. 2004, 21, 1041–1050. [Google Scholar] [CrossRef]
- Wojtowicz, E.; Zawirska-Wojtasiak, R.; Przygoński, K.; Mildner-Szkudlarz, S. Bioactive β-carbolines norharman and harman in traditional and novel raw materials for chicory coffee. Food Chem. 2015, 175, 280–283. [Google Scholar] [CrossRef]
- Chang, C.C.; Zhang, D.Q.; Wang, Z.Y.; Chen, B.H. Simultaneous determination of twenty heterocyclic amines in cooking oil using dispersive solid phase extraction (QuEChERS) and high performance liquid chromatography–electrospray-tandem mass spectrometry. J. Chromatogr. A 2019, 1585, 82–91. [Google Scholar] [CrossRef]
- Zhang, C.X.; Xi, J.; Zhao, T.P.; Ma, Y.X.; Wang, X.D. β-carbolines norharman and harman in vegetable oils in China. Food Addit. Contam. Part B 2020, 13, 193–199. [Google Scholar] [CrossRef]
- Liu, W.; Yang, Z.Y.; Shi, L.; Li, Y. Bioactive β-Carbolines Harman and Norharman in Sesame Seed Oils in China. Molecules 2022, 27, 402. [Google Scholar] [CrossRef] [PubMed]
- Gomez-Coca, R.B.; Alassi, M.; Moreda, W.; Perez-Camino, M.D. Pyropheophytina in Soft Deodorized Olive Oils. Foods 2020, 9, 978. [Google Scholar] [CrossRef] [PubMed]
- Abdel-Razek, A.G.; Abo-Elwafa, G.A.; Al-Amrousi, E.F.; Badr, A.N.; Hassanein, M.M.; Qian, Y.; Siger, A.; Grygier, A.; Radziejewska-Kubzdela, E.; Rudzińska, M. Effect of Refining and Fractionation Processes on Minor Components, Fatty Acids, Antioxidant and Antimicrobial Activities of Shea Butter. Foods 2023, 12, 1626. [Google Scholar] [CrossRef]
- Golimowski, W.; Teleszko, M.; Zając, A.; Kmiecik, D.; Grygier, A. Effect of the Bleaching Process on Changes in the Fatty Acid Profile of Raw Hemp Seed Oil (Cannabis sativa). Molecules 2023, 28, 769. [Google Scholar] [CrossRef] [PubMed]
- Chakroun, S.; Sghaier, D.; Gaied, M.E. Decolorization of soybean oil by acid-activated Ca-Bentonite (EL Gnater, Central Tunisia). Environ. Prog. Sustain. Energy 2023, 42, e14015. [Google Scholar] [CrossRef]
- Choi, S.K.; Choe, S.B.; Kang, S.T. Reduction of benzo(a)pyrene content in sesame seed oil by using adsorbents. J Korean Soc Food Sci Nutr. 2014, 43, 564–569. [Google Scholar] [CrossRef]
- Liu, X.; Zhang, Z.; Shen, M.; Wu, Y.; He, X.; Liang, L.; Zhang, J.; Xu, X.; Liu, G. Optimization of the Refining Process for Removing Benzo (a) pyrene and Improving the Quality of Tea Seed Oil. Eur. J. Lipid Sci. Technol. 2022, 124, 2100143. [Google Scholar] [CrossRef]
- Ma, Y.; Shi, L.; Liu, Y.; Lu, Q. Effects of Neutralization, Decoloration, and Deodorization on Polycyclic Aromatic Hydrocarbons during Laboratory-Scale Oil Refining Process. J. Chem. 2017, 2017, 7824761. [Google Scholar] [CrossRef]
- Kim, D.Y.; Kim, B.; Shin, H.S. Reduction of polycyclic aromatic hydrocarbons (PAHs) in sesame oil using cellulosic aerogel. Foods 2021, 10, 644. [Google Scholar] [CrossRef]
- Yang, B.; Wang, Y.H.; Yang, J.G. Optimization of enzymatic degumming process for rapeseed oil. J. Am. Oil Chem. Soc. 2006, 83, 653–658. [Google Scholar] [CrossRef]
- Cejpek, K.; Hajslova, J.; Kocourek, V.; Tomaniova, M.; Cmolik, J. Changes in PAH levels during production of rapeseed oil. Food Addit. Contam. 1998, 15, 563–574. [Google Scholar] [CrossRef]
- Xie, D.; Zhou, H.; Jiang, X. Effect of chemical refining on the levels of bioactive components and hazardous substances in soybean oil. J. Food Meas. Charact. 2019, 13, 1423–1430. [Google Scholar] [CrossRef]
- Silva, S.M.; Sampaio, K.A.; Ceriani, R.; Verhé, R.; Stevens, C.; De Greyt, W.; Meirelles, A.J. Effect of type of bleaching earth on the final color of refined palm oil. LWT-Food Sci. Technol. 2014, 59, 1258–1264. [Google Scholar] [CrossRef]
- Al-Ghouti, M.; Khraisheh, M.; Allen, S.; Ahmad, M. The removal of dyes fromtextile wastewater: A study of the physical characteristics and adsorptionmechanisms of diatomaceous earth. J. Ofenvironmentalmanag. 2003, 69, 229–238. [Google Scholar]
- Zschau, W. Bleaching of edible fats and oils. Eur. J. Lipid Sci. Technol. 2001, 103, 505–551. [Google Scholar] [CrossRef]
- Wang, Y.Q.; Feng, Y.; Jiang, J.L.; Yao, J. Designing of recyclable attapulgite for wastewater treatments: A review. ACS Sustain. Chem. Eng. 2019, 7, 1855–1869. [Google Scholar] [CrossRef]
- Gun’ko, V.M.; Matkovsky, A.K.; Charmas, B.; Skubiszewska-Zięba, J.; Pasieczna-Patkowska, S. Carbon-silica gel adsorbents. J. Therm. Anal. Calorim. 2017, 128, 1683–1697. [Google Scholar] [CrossRef]
- Mastral, A.; García, T.; Callén, M.; Murillo, R.; Navarro, M.; López, J. Sorbentcharacteristics influence on the adsorption of PAC: I. PAH adsorption with thesame number of rings. Fuel Process. Technol. 2002, 77, 373–379. [Google Scholar] [CrossRef]
- Liu, Z.S. Control of PAHs from incineration by activated carbon fibers. J. Environ. Eng. 2006, 132, 463–469. [Google Scholar] [CrossRef]
- Lee, S.M.; Jeong, J.-Y.; Lee, J.-G.; Kim, Y.-S. Effects of the absorbent types on changes in benzo [a] pyrene and volatile compounds in sesame oil. Appl. Biol. Chem. 2021, 64, 84. [Google Scholar] [CrossRef]
- Kiralan, S.S.; Toptancı, İ.; Tekin, A. Further evidence on the removal of polycyclic aromatic hydrocarbons (PAHs) during refining of olive pomace oil. Eur. J. Lipid Sci. Technol. 2019, 121, 1800381. [Google Scholar] [CrossRef]
- Yoshida, H.; Takagi, S. Effect of roasting temperature and time on the quality characteristics of sesame (Sesame indicum) oil. J. Sci. Food Agric. 1997, 75, 19–26. [Google Scholar] [CrossRef]
- Li, T.; Guo, Q.; Qu, Y.; Li, Y.; Liu, H.; Liu, L.; Zhang, Y.; Jiang, Y.; Wang, Q. Solubility and physicochemical properties of resveratrol in peanut oil. Food Chem. 2022, 368, 130687. [Google Scholar] [CrossRef]
- Oomah, B.D.; Busson, M.; Godfrey, D.V.; Drover, J.C.G. Characteristics of hemp (Cannabis sativa L.) seed oil. Food Chem. 2002, 76, 33–43. [Google Scholar] [CrossRef]
- Elleuch, M.; Besbes, S.; Roiseux, O.; Blecker, C.; Attia, H. Quality characteristics of sesame seeds and by-products. Food Chem. 2007, 103, 641–650. [Google Scholar] [CrossRef]
- Barceló-Barrachina, E.; Moyano, E.; Galceran, M.T.; Lliberia, J.L.; Bagó, B.; Cortes, M.A. Ultra-performance liquid chromatography–tandem mass spectrometry for the analysis of heterocyclic amines in food. J. Chromatogr. A 2006, 1125, 195–203. [Google Scholar] [CrossRef]









| HAA (μg/kg) | Crude Oil | Degummed | Deacidified | Bleached | Deodorized |
|---|---|---|---|---|---|
| AαC | ND b | ND | ND | ND | ND |
| MeAαC | ND | ND | ND | ND | ND |
| Trp-P-1 | ND | ND | ND | ND | ND |
| DMIP | ND | ND | ND | ND | ND |
| Glu-P-2 | ND | ND | ND | ND | ND |
| MeIQ | ND | ND | ND | ND | ND |
| MeIQx | ND | ND | ND | ND | ND |
| IQ | ND | ND | ND | ND | ND |
| PhIP | ND | ND | ND | ND | ND |
| 4,8-DiMeIQx | ND | ND | ND | ND | ND |
| 7,8-DiMeIQx | ND | ND | ND | ND | ND |
| Harman | 301 ± 3 | 274 ± 2 | 242 ± 4 | 1.2 ± 0.3 | 0.52 ± 0.04 |
| Norharman | 251 ± 3 | 229 ± 1 | 176 ± 4 | 0.45 ± 0.07 | 0.35 ± 0.02 |
| Trp-P-2 | ND | ND | ND | ND | ND |
| Oil Sample | Acid Value | Peroxide Value |
|---|---|---|
| (mg/g) | (mmol/kg) | |
| Crude oil | 1.7 ± 0.0 a | 0.037 ± 0.00 b |
| Degummed oil | 1.6 ± 0.0 b | 0.069 ± 0.00 a |
| Deacidified oil | 0.24 ± 0.02 c | 0.024 ± 0.00 c |
| Bleached (3% blended decolorizer) oil | 0.29 ± 0.04 c | 0.037 ± 0.00 b |
| Deodorized oil | 0.28 ± 0.04 c | 0.003 ± 0.00 d |
| Oil Sample | L* | a* | b* |
|---|---|---|---|
| Crude oil | 84.64 ± 0.02 a | −9.29 ± 0.22 a | 16.55 ± 0.03 a |
| Deacidified oil | 86.20 ± 0.01 b | −6.42 ± 0.02 c | 8.24 ± 0.03 c |
| Deacidified oil | 86.20 ± 0.01 b | −6.42 ± 0.02 c | 8.24 ± 0.03 c |
| Bleached (3% blended decolorizer) | 89.68 ± 0.02 c | 1.69 ± 0.01 d | −3.88 ± 0.06 d |
| Deodorized oil | 88.77 ± 0.01 c | 1.72 ± 0.02 d | −4.47 ± 0.01 d |
| HAAs | Precursor Ion [M + H]+ (m/z) | Diagnostic Productions (m/z) | Cone Voltage (V) | Collision Voltage (eV) | Dwell Time (ms) |
|---|---|---|---|---|---|
| AαC | 184.0 | 167.2 | 108 | 32 | 30 |
| 140.0 | 108 | 32 | |||
| MeAαC | 198.2 | 154.1 | 104 | 40 | 30 |
| 127.1 | 104 | 45 | |||
| Trp-P-1 | 212.0 | 168.0 | 80 | 30 | 30 |
| 195.2 | 80 | 40 | |||
| DMIP | 162.9 | 147.3 | 90 | 45 | 30 |
| 105.0 | 90 | 45 | |||
| Glu-P-2 | 185.2 | 131.1 | 80 | 40 | 30 |
| 78.2 | 80 | 40 | |||
| MeIQ | 213.1 | 198.0 | 100 | 35 | 30 |
| 144.0 | 100 | 60 | |||
| MeIQx | 214.1 | 199.0 | 100 | 40 | 30 |
| 131.0 | 100 | 55 | |||
| IQ | 199.1 | 184.0 | 100 | 40 | 30 |
| 157.0 | 100 | 50 | |||
| PhIP | 225.3 | 210.2 | 120 | 45 | 30 |
| 183.2 | 120 | 50 | |||
| 4,8-DiMeIQx | 228.1 | 211.8 | 100 | 45 | 30 |
| 160.0 | 100 | 40 | |||
| 7,8-DiMeIQx | 228.0 | 131.3 | 100 | 55 | 30 |
| 213.2 | 100 | 40 | |||
| 4,7,8-DiMeIQx | 242.0 | 227.1 | 120 | 40 | 30 |
| 145.0 | 120 | 50 | |||
| Harman | 183.0 | 115.0 | 120 | 50 | 30 |
| 168.3 | 120 | 40 | |||
| Norharman | 169.2 | 115.0 | 100 | 45 | 30 |
| 142.0 | 100 | 40 | |||
| Trp-P-2 | 198.0 | 154.0 | 60 | 40 | 30 |
| 128.0 | 60 | 40 |
Disclaimer/Publisher’s Note: The statements, opinions and data contained in all publications are solely those of the individual author(s) and contributor(s) and not of MDPI and/or the editor(s). MDPI and/or the editor(s) disclaim responsibility for any injury to people or property resulting from any ideas, methods, instructions or products referred to in the content. |
© 2023 by the authors. Licensee MDPI, Basel, Switzerland. This article is an open access article distributed under the terms and conditions of the Creative Commons Attribution (CC BY) license (https://creativecommons.org/licenses/by/4.0/).
Share and Cite
Shi, L.; Cui, Z.; Liu, W. Effect of Chemical Refining on the Reduction of β-Carboline Content in Sesame Seed Oil. Molecules 2023, 28, 4503. https://doi.org/10.3390/molecules28114503
Shi L, Cui Z, Liu W. Effect of Chemical Refining on the Reduction of β-Carboline Content in Sesame Seed Oil. Molecules. 2023; 28(11):4503. https://doi.org/10.3390/molecules28114503
Chicago/Turabian StyleShi, Lili, Ziyu Cui, and Wei Liu. 2023. "Effect of Chemical Refining on the Reduction of β-Carboline Content in Sesame Seed Oil" Molecules 28, no. 11: 4503. https://doi.org/10.3390/molecules28114503
APA StyleShi, L., Cui, Z., & Liu, W. (2023). Effect of Chemical Refining on the Reduction of β-Carboline Content in Sesame Seed Oil. Molecules, 28(11), 4503. https://doi.org/10.3390/molecules28114503

