Asymmetric Synthesis of Axially Chiral Molecules via Organocatalytic Cycloaddition and Cyclization Reactions
Abstract
1. Introduction
2. Chiral Phosphoric Acids (CPAs)
3. Cinchona Alkaloids Derivatives
4. Proline Derivatives
5. N-Heterocyclic Carbenes (NHCs)
6. Other Catalysts
7. Summary and Outlook
Author Contributions
Funding
Institutional Review Board Statement
Informed Consent Statement
Data Availability Statement
Conflicts of Interest
References
- Lombe, B.K.; Feineisa, D.; Bringmann, G. Dimeric naphthylisoquinoline alkaloids: Polyketide derived axially chiral bioactive quateraryls. Nat. Prod. Rep. 2019, 36, 1513–1545. [Google Scholar] [CrossRef] [PubMed]
- Bringmann, G.; Gulder, T.; Gulder, T.A.M.; Breuning, M. Atroposelective Total Synthesis of Axially Chiral Biaryl Natural Products. Chem. Rev. 2011, 111, 563–639. [Google Scholar] [CrossRef] [PubMed]
- Kozlowski, M.C.; Miller, S.J.; Perreault, S. Atropisomers: Synthesis, Analysis, and Applications. Acc. Chem. Res. 2023, 56, 187–188. [Google Scholar] [CrossRef] [PubMed]
- Bringmann, G.; Kajahn, I.; Reichert, M.; Pedersen, S.E.H.; Faber, J.H.; Gulder, T.; Brun, R.; Christensen, S.B.; Ponte-Sucre, A.; Moll, H.; et al. Ancistrocladinium A and B, the First N,C-Coupled Naphthyldihydroisoquinoline Alkaloids, from a Congolese Ancistrocladus Species. J. Org. Chem. 2006, 71, 9348–9356. [Google Scholar] [CrossRef] [PubMed]
- Boyd, M.R.; Hallock, Y.F.; Cardellina II, J.H.; Manfredi, K.P.; Blunt, J.W.; McMahon, J.B.; Buckheit, R.W., Jr.; Bringmann, G.; Schäffer, M.; Cragg, G.M.; et al. Anti-HIV Michellamines from Ancistrocladus korupensis. J. Med. Chem. 1994, 37, 1740–1745. [Google Scholar] [CrossRef]
- Hallock, Y.F.; Cardellina, J.H., II; Schäffer, M.; Bringmann, G.; François, G.; Boyd, M.R. Korundamine A, a novel HIV-inhibitory and antimalarial “hybrid” naphthylisoquinoline alkaloid heterodimer from Ancistrocladus korupensis. Bioorganic Med. Chem. Lett. 1998, 8, 1729–1734. [Google Scholar] [CrossRef]
- Hubbard, B.K.; Walsh, C.T. Vancomycin Assembly: Nature’s Way. Angew. Chem. Int. Ed. 2003, 42, 730–765. [Google Scholar] [CrossRef]
- Christie, G.H.; Kenne, J. LXXI.—The molecular configurations of polynuclear aromatic compounds. Part I. The resolution of γ-6:6′-dinitro- and 4:6:4′:6′-tetranitro-diphenic acids into optically active components. J. Chem. Soc. Trans. 1922, 121, 614–620. [Google Scholar] [CrossRef]
- Oki, M. Recent Advances in Atropisomerism. Top. Stereochem. 1983, 14, 1–81. [Google Scholar]
- Cheng, J.K.; Xiang, S.H.; Li, S.; Ye, L.; Tan, B. Recent Advances in Catalytic Asymmetric Construction of Atropisomers. Chem. Rev. 2021, 121, 4805–4902. [Google Scholar] [CrossRef]
- Mei, G.; Koay, W.; Guan, C.; Lu, Y. Atropisomers beyond the C–C axial chirality: Advances in catalytic asymmetric synthesis. Chem 2022, 8, 1855–1893. [Google Scholar] [CrossRef]
- Noyori, R.; Ohkuma, T.; Kitamura, M. Asymmetric Hydrogenation of β-Keto Carboxylic Esters. A Practical, Purely Chemical Access to β-Hydroxy Esters in High Enantiomeric Purity. J. Am. Chem. Soc. 1987, 109, 5856–5858. [Google Scholar] [CrossRef]
- Akiyama, T.; Itoh, J.; Yokota, K.; Fuchibe, K. Enantioselective Mannich-Type Reaction Catalyzed by a Chiral Brønsted Acid. Angew. Chem. Int. Ed. 2004, 43, 1566–1568. [Google Scholar] [CrossRef]
- Uraguchi, D.; Terada, M. Chiral Brønsted Acid-Catalyzed Direct Mannich Reactions via Electrophilic Activation. J. Am. Chem. Soc. 2004, 126, 5356–5357. [Google Scholar] [CrossRef]
- Brown, J.M.; Woodward, S. Selective ortho lithiation of (2,5-dimethoxyphenyl)diphenylphosphine oxide and trapping of the resulting aryllithium with electrophiles. J. Org. Chem. 1991, 56, 6803–6809. [Google Scholar] [CrossRef]
- Cheng, D.; Shao, Y. Advances in the Catalytic Asymmetric Synthesis of Atropisomeric Hexatomic N-Heterobiaryls. Adv. Synth. Catal. 2020, 362, 3081–3099. [Google Scholar] [CrossRef]
- He, X.; Wang, C.; Wen, Y.; Wang, Z.; Qian, S. Recent Advances in Catalytic Atroposelective Construction of Pentatomic Heterobiaryl Scaffolds. ChemCatChem 2021, 13, 3547–3564. [Google Scholar] [CrossRef]
- Cortright, S.B.; Huffman, J.C.; Yoder, R.A.; Coalter, J.N.; Johnston, J.N. IAN Amines: Chiral C2-Symmetric Zirconium(IV) Complexes from Readily Modified Axially Chiral C1-Symmetric β-Diketimines. Organometallics 2004, 23, 2238–2250. [Google Scholar] [CrossRef]
- Terauchi, J.; Curran, D.P. N-Allylation of Anilides with Chiral Palladium Catalysts: The First Catalytic Asymmetric Synthesis of Axially Chiral Anilides. Tetrahedron Asymmetry 2003, 14, 587–592. [Google Scholar] [CrossRef]
- Ponte-Sucre, A.; Gulder, T.; Wegehaupt, A.; Albert, C.; Rikanovic, C.; Schaeflein, L.; Frank, A.; Schultheis, M.; Unger, M.; Holzgrabe, U.; et al. Structure-Activity Relationship and Studies on the Molecular Mechanism of Leishmanicidal N,C-Coupled Arylisoquinolinium Salts. J. Med. Chem. 2009, 52, 626–636. [Google Scholar] [CrossRef]
- Guenzi, A.; Johnson, C.A.; Cozzi, F.; Mislow, K. Dynamic Gearing and Residual Stereoisomerism in Labeled Bis(9-triptycyl)methane and Related Molecules. Synthesis and Stereochemistry of Bis(2,3-dimethyl-9-triptycyl)methane, Bis(2,3-dimethyl-9-triptycyl)carbinol, and Bis(1,4-dimethyl-9-triptycyl)methane1. J. Am. Chem. Soc. 1983, 105, 1438–1448. [Google Scholar] [CrossRef]
- Fuji, K.; Oka, T.; Kawabata, T.; Kinoshita, T. The first synthesis of an optically active molecular bevel gear with only two cogs on each wheel. Tetrahedron Lett. 1998, 39, 1373–1376. [Google Scholar] [CrossRef]
- Bao, H.; Cheng, Y.; Yang, X. Catalytic Asymmetric Synthesis of Axially Chiral Diaryl Ethers through Enantioselective Desymmetrization. Angew. Chem. Int. Ed. 2023, 135, e202300481. [Google Scholar] [CrossRef]
- Wang, Y.; Tan, B. Construction of Axially Chiral Compounds via Asymmetric Organocatalysis. Acc. Chem. Res. 2018, 51, 534–547. [Google Scholar] [CrossRef] [PubMed]
- Zilate, B.; Castrogiovanni, A.; Sparr, C. Catalyst-Controlled Stereoselective Synthesis of Atropisomers. ACS Catal. 2018, 8, 2981–2988. [Google Scholar] [CrossRef]
- Wencel-Delord, J.; Panossian, A.; Lerouxb, F.R.; Colobert, F. Recent advances and new concepts for the synthesis of axially stereoenriched biaryls. Chem. Soc. Rev. 2015, 44, 3418–3430. [Google Scholar] [CrossRef]
- Yang, H.; Chen, J.; Zhou, L. Construction of Axially Chiral Compounds via Central-to-Axial Chirality Conversion. Chem Asian J. 2020, 15, 2939–2951. [Google Scholar] [CrossRef]
- Lemaitre, C.; Perulli, S.; Quinonero, O.; Bressy, C.; Rodriguez, J.; Constantieux, T.; Mancheño, O.G.; Bugaut, X. Enantioselective synthesis of atropisomers by oxidative aromatization with central-to-axial conversion of chirality. Molecules 2023, 28, 3142. [Google Scholar] [CrossRef]
- Link, A.; Sparr, C. Stereoselective arene formation. Chem. Soc. Rev. 2018, 47, 3804–3815. [Google Scholar] [CrossRef]
- Metrano, A.J.; Miller, S.J. Peptide-Based Catalysts Reach the Outer Sphere through Remote Desymmetrization and Atroposelectivity. Acc. Chem. Res. 2019, 52, 199–215. [Google Scholar] [CrossRef]
- Moyano, A.; Rios, R. Asymmetric Organocatalytic Cyclization and Cycloaddition Reactions. Chem. Rev. 2011, 111, 4703–4832. [Google Scholar] [CrossRef]
- Sun, H.; Sharif, A.; Chen, J.; Zhou, L. Atroposelective Synthesis of Heterobiaryls through Ring Formation. Chem. Eur. J. 2023, 29, e202300183. [Google Scholar] [CrossRef]
- Akiyama, T. Stronger Brønsted Acids. Chem. Rev. 2007, 107, 5744–5758. [Google Scholar] [CrossRef]
- Volla, C.M.R.; Atodiresei, I.; Rueping, M. Catalytic C–C Bond-Forming Multi-Component Cascade or Domino Reactions: Pushing the Boundaries of Complexity in Asymmetric Organocatalysis. Chem. Rev. 2014, 114, 2390–2431. [Google Scholar] [CrossRef]
- Parmar, D.; Sugiono, E.; Raja, S.; Rueping, M. Complete Field Guide to Asymmetric BINOL-Phosphate Derived Brønsted Acid and Metal Catalysis: History and Classification by Mode of Activation; Brønsted Acidity, Hydrogen Bonding, Ion Pairing, and Metal Phosphates. Chem. Rev. 2014, 114, 9047–9153. [Google Scholar] [CrossRef]
- Gashaw, A.; Debeli, D.K. Recent progress on asymmetric multicomponent reactions via chiral phosphoric acid catalysis. J. Iran. Chem. Soc. 2022, 19, 1593–1611. [Google Scholar] [CrossRef]
- Wang, L.; Yang, L.; Chen, J.; Zhou, L. Chiral Phosphoric Acid Catalyzed Asymmetric Cycloadditions: From Alkenes to Alkynes. Synlett 2023. [Google Scholar] [CrossRef]
- Rahman, A.; Lin, X. Development and application of chiral spirocyclic phosphoric acids in asymmetric catalysis. Org. Biomol. Chem. 2018, 16, 4753–4777. [Google Scholar] [CrossRef] [PubMed]
- Phipps, R.J.; Hamilton, G.L.; Toste, F.D. The progression of chiral anions from concepts to applications in asymmetric catalysis. Nat. Chem. 2012, 4, 603–614. [Google Scholar] [CrossRef] [PubMed]
- Zhang, L.; Zhang, J.; Ma, J.; Cheng, D.; Tan, B. Highly Atroposelective Synthesis of Arylpyrroles by Catalytic Asymmetric Paal-Knorr Reaction. J. Am. Chem. Soc. 2017, 139, 1714–1717. [Google Scholar] [CrossRef] [PubMed]
- Wang, Y.; Zheng, S.; Hu, Y.; Tan, B. Brønsted acid-catalysed enantioselective construction of axially chiral arylquinazolinones. Nat. Commun. 2017, 8, 15489. [Google Scholar] [CrossRef]
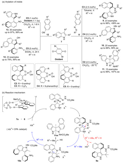
- Qi, L.; Mao, J.; Zhang, J.; Tan, B. Organocatalytic asymmetric arylation of indoles enabled by azo groups. Nat. Chem. 2018, 10, 58–64. [Google Scholar] [CrossRef]
- Ding, W.; Yu, P.; An, Q.; Bay, K.L.; Xiang, S.; Li, S.; Chen, Y.; Houk, K.N.; Tan, B. DFT-Guided Phosphoric-Acid-Catalyzed Atroposelective Arene Functionalization of Nitrosonaphthalene. Chem 2020, 6, 2046–2059. [Google Scholar] [CrossRef]
- Zhang, L.; Shen, J.; Wu, S.; Zhong, G.; Wang, Y.; Tan, B. Design and Atroposelective Construction of IAN analogues by Organocatalytic Asymmetric Heteroannulation of Alkynes. Angew. Chem. Int. Ed. 2020, 59, 23077–23082. [Google Scholar] [CrossRef]
- Jian, Q.; Gou, B.; Wang, S.; Sun, H.; Sharif, A.; Wang, Y.; Zhou, L.; Chen, J. Synthesis of quinol-type heterobiaryls via an acid-catalyzed heteroannulation of alkynes and o-aminobenzaldehydes. Org. Chem. Front. 2023, 10, 1936–1941. [Google Scholar] [CrossRef]
- Gao, Z.; Qian, J.; Yang, H.; Hang, X.; Zhang, J.; Jiang, G. Chiral Brønsted acid-catalyzed dynamic kinetic resolution of atropisomeric ortho-formyl naphthamides. Chem. Commun. 2020, 56, 7265–7268. [Google Scholar] [CrossRef]
- Gao, Z.; Wang, F.; Qian, J.; Yang, H.; Xia, C.; Zhang, J.; Jiang, G. Enantioselective Construction of Quinoxaline-Based Heterobiaryls and P,N-Ligands via Chirality Transfer Strategy. Org. Lett. 2021, 23, 1181–1187. [Google Scholar] [CrossRef]
- Gao, Z.; Qian, J.; Yang, H.; Zhang, J.; Jiang, G. Enantioselective Construction of C–C Axially Chiral Quinazolinones via Chirality Exchange and Phase-Transfer Catalysis. Org. Lett. 2021, 23, 1731–1737. [Google Scholar] [CrossRef] [PubMed]
- An, Q.; Xia, W.; Ding, W.; Liu, H.; Xiang, S.; Wang, Y.; Zhong, G.; Tan, B. Nitrosobenzene-Enabled Chiral Phosphoric Acid Catalyzed Enantioselective Construction of Atropisomeric N-Arylbenzimidazoles. Angew. Chem. Int. Ed. 2021, 60, 24888–24893. [Google Scholar] [CrossRef]
- Kwon, Y.; Chinn, A.J.; Kim, B.; Miller, S.J. Divergent Control of Point and Axial Stereogenicity: Catalytic Enantioselective C-N Bond-Forming Cross-Coupling and Catalyst-Controlled Atroposelective Cyclodehydration. Angew. Chem. Int. Ed. 2018, 57, 6251–6255. [Google Scholar] [CrossRef]
- Kwon, Y.; Li, J.; Reid, J.P.; Crawford, J.M.; Jacob, R.; Sigman, M.S.; Toste, F.D.; Miller, S.J. Disparate Catalytic Scaffolds for Atroposelective Cyclodehydration. J. Am. Chem. Soc. 2019, 141, 6698–6705. [Google Scholar] [CrossRef] [PubMed]
- Man, N.; Lou, Z.; Li, Y.; Yang, H.; Zhao, Y.; Fu, H. Organocatalytic Atroposelective Construction of Axially Chiral N-Aryl Benzimidazoles Involving Carbon-Carbon Bond Cleavage. Org. Lett. 2020, 22, 6382–6387. [Google Scholar] [CrossRef] [PubMed]
- Shao, Y.; Dong, M.; Wang, Y.; Cheng, P.; Wang, T.; Cheng, D. Organocatalytic Atroposelective Friedländer Quinoline Heteroannulation. Org. Lett. 2019, 21, 4831–4836. [Google Scholar] [CrossRef]
- Wan, J.; Liu, H.; Lan, Y.; Li, X.; Hu, X.; Li, J.; Xiao, H.; Jiang, J. Catalytic Asymmetric Synthesis of Atropisomeric Quinolines through the Friedländer Reaction. Synlett 2019, 30, 2198–2202. [Google Scholar] [CrossRef]
- Shao, Y.; Han, D.; Ma, W.; Cheng, D. Chiral phosphoric acid catalyzed atroposelective and diastereoselective synthesis of 9-aryltetrahydroacridines. Org. Chem. Front. 2020, 7, 2255–2262. [Google Scholar] [CrossRef]
- Wang, C.; Li, T.; Liu, S.; Zhang, Y.; Deng, S.; Jiao, Y.; Shi, F. Axially Chiral Aryl-Alkene-Indole Framework: A Nascent Member of the Atropisomeric Family and Its Catalytic Asymmetric Construction. Chin. J. Chem. 2020, 38, 543–552. [Google Scholar] [CrossRef]
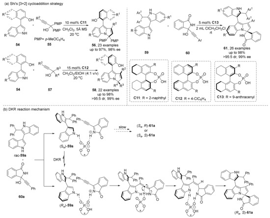
- Wu, P.; Yu, L.; Gao, C.; Cheng, Q.; Deng, S.; Jiao, Y.; Tan, W.; Shi, F. Design and synthesis of axially chiral aryl-pyrroloindoles via the strategy of organocatalytic asymmetric (2 + 3) cyclization. Fundam. Res. 2023, 3, 237–248. [Google Scholar] [CrossRef]
- Wang, H.; Wu, S.; Yang, J.; Zhang, Y.; Shi, F. Design and Organocatalytic Asymmetric Synthesis of Indolyl-Pyrroloindoles Bearing Both Axial and Central Chirality. J. Org. Chem. 2023. [Google Scholar] [CrossRef]
- Chen, K.; Chen, Z.; Yang, S.; Wu, S.; Zhang, Y.; Shi, F. Organocatalytic Atroposelective Synthesis of N-N Axially Chiral Indoles and Pyrroles by De Novo Ring Formation. Angew. Chem. Int. Ed. 2022, 61, e202116829. [Google Scholar]
- Chen, Z.; Li, T.; Wang, N.; Ma, X.; Ni, S.; Zhang, Y.; Shi, F. Organocatalytic Enantioselective Synthesis of Axially Chiral N,N’-Bisindoles. Angew. Chem. Int. Ed. 2023, 62, e202300419. [Google Scholar] [CrossRef]
- Wang, L.; Zhong, J.; Lin, X. Atroposelective Phosphoric Acid Catalyzed Three-Component Cascade Reaction: Enantioselective Synthesis of Axially Chiral N-Arylindoles. Angew. Chem. Int. Ed. 2019, 58, 15824–15828. [Google Scholar] [CrossRef]
- Hu, Y.; Wang, Z.; Yang, H.; Chen, J.; Wu, Z.; Lei, Y.; Zhou, L. Conversion of two stereocenters to one or two chiral axes: Atroposelective synthesis of 2,3-diarylbenzoindoles. Chem. Sci. 2019, 10, 6777–6784. [Google Scholar] [CrossRef] [PubMed]
- Yang, H.; Xu, W.; Zeng, X.; Chen, J.; Yu, L.; Zhou, L. Hydrogen Bond Assisted Central-to-Spiro Chirality Transfer and Central-to-Axial Chirality Conversion: Asymmetric Synthesis of Spirocycles. Org. Lett. 2021, 23, 9315–9320. [Google Scholar] [CrossRef]
- Wang, S.; Wang, Z.; Tang, Y.; Chen, J.; Zhou, L. Asymmetric Synthesis of Quinoline-Naphthalene Atropisomers by Central-to-Axial Chirality Conversion. Org. Lett. 2020, 22, 8894–8898. [Google Scholar] [CrossRef]
- Bisag, G.D.; Pecorari, D.; Mazzanti, A.; Bernardi, L.; Fochi, M.; Bencivenni, G.; Bertuzzi, G.; Corti, V. Central-to-Axial Chirality Conversion Approach Designed on Organocatalytic Enantioselective Povarov Cycloadditions: First Access to Configurationally Stable Indole–Quinoline Atropisomers. Chem. Eur. J. 2019, 25, 15694–15701. [Google Scholar] [CrossRef]
- Xu, W.; Zhao, W.; Zhang, R.; Chen, J.; Zhou, L. Organocatalytic cycloaddition-elimination cascade for atroposelective construction of heterobiaryls. Chem. Sci. 2021, 12, 14920–14926. [Google Scholar] [CrossRef]
- Zhang, Z.; Zhai, T.; Ye, L. Synthesis of axially chiral compounds through catalytic asymmetric reactions of alkynes. Chem Catal. 2021, 1, 1378–1412. [Google Scholar] [CrossRef]
- Furusawa, M.; Arita, K.; Imahori, T.; Igawa, K.; Tomooka, K.; Irie, R. Base-catalyzed Schmittel cycloisomerization of o-phenylenediyne linked bis(arenol)s to indeno[1,2-c]chromenes. Tetrahedron Lett. 2013, 54, 7107–7110. [Google Scholar] [CrossRef]
- Wu, X.; Xue, L.; Li, D.; Jia, S.; Ao, J.; Deng, J.; Yan, H. Organocatalytic Intramolecular [4+2] Cycloaddition between In Situ Generated Vinylidene ortho-Quinone Methides and Benzofurans. Angew. Chem. Int. Ed. 2017, 56, 13722–13726. [Google Scholar] [CrossRef]
- Rodriguez, J.; Bonne, D. Enantioselective Organocatalytic Activation of Vinylidene Quinone Methides (VQMs). Chem. Commun. 2019, 55, 11168–11170. [Google Scholar] [CrossRef]
- Qin, W.; Liu, Y.; Yan, H. Enantioselective Synthesis of Atropisomers via Vinylidene ortho-Quinone Methides (VQMs). Acc. Chem. Res. 2022, 55, 2780–2795. [Google Scholar] [CrossRef] [PubMed]
- Gou, B.; Tang, Y.; Lin, Y.; Yu, L.; Jian, Q.; Sun, H.; Chen, J.; Zhou, L. Modular Construction of Heterobiaryl Atropisomers and Axially Chiral Styrenes via All-Carbon Tetrasubstituted VQMs. Angew. Chem. Int. Ed. 2022, 61, e202208174. [Google Scholar] [CrossRef] [PubMed]
- Yang, H.; Sun, H.; He, R.; Yu, L.; Hu, W.; Chen, J.; Yang, S.; Zhang, G.; Zhou, L. Organocatalytic cycloaddition of alkynylindoles with azonaphthalenes for atroposelective construction of indole-based biaryls. Nat. Commun. 2022, 13, 632–640. [Google Scholar] [CrossRef] [PubMed]
- Boratyński, P.J.; Zielińska-Błajet, M.; Skarżewski, J. Cinchona Alkaloids-Derivatives and Applications. In The Alkaloids: Chemistry and Biology; Chemie, H.K., Dresden, T.U., Eds.; Elsevier: Dresden, Germany, 2019; Volume 82, pp. 29–145. [Google Scholar]
- Kaufman, T.S.; Rfflveda, E.A. The Quest for Quinine: Those Who Won the Battles and Those Who Won the War. Angew. Chem. Int. Ed. 2005, 44, 854–885. [Google Scholar] [CrossRef]
- Eudier, F.; Righi, P.; Mazzanti, A.; Ciogli, A.; Bencivenni, G. Organocatalytic Atroposelective Formal Diels–Alder Desymmetrization of N-Arylmaleimides. Org. Lett. 2015, 17, 1728–1731. [Google Scholar] [CrossRef]
- Iorio, N.D.; Righi, P.; Mazzanti, A.; Mancinelli, M.; Ciogli, A.; Bencivenni, G. Remote Control of Axial Chirality: Aminocatalytic Desymmetrization of N-Arylmaleimides via Vinylogous Michael Addition. J. Am. Chem. Soc. 2014, 136, 10250–10253. [Google Scholar] [CrossRef]
- Iorio, N.D.; Champavert, F.; Erice, A.; Righi, P.; Mazzanti, A.; Bencivenni, G. Targeting remote axial chirality control of N-(2-tert-butylphenyl) succinimides by means of Michael addition type reactions. Tetrahedron 2016, 72, 5191–5201. [Google Scholar] [CrossRef]
- Iorio, N.D.; Soprani, L.; Crotti, S.; Marotta, E.; Mazzanti, A.; Righi, P.; Bencivenni, G. Michael Addition of Oxindoles to N-(2-tert-Butylphenyl)maleimides: Efficient Desymmetrization for the Synthesis of Atropisomeric Succinimides with Quaternary and Tertiary Stereocenters. Synthesis 2017, 49, 1519–1530. [Google Scholar]
- Beppu, S.; Arae, S.; Furusawa, M.; Arita, K.; Fujimoto, H.; Sumimoto, M.; Imahori, T.; Igawa, K.; Tomooka, K.; Irie, R. Stereoselective Intramolecular Dearomatizative [4+2] Cycloaddition of Linked Ethynylnaphthol–Benzofuran Systems. Eur. J. Org. Chem. 2017, 2017, 6914–6918. [Google Scholar] [CrossRef]
- Arae, S.; Beppu, S.; Kawatsu, T.; Igawa, K.; Tomooka, K.; Irie, R. Asymmetric Synthesis of Axially Chiral Benzocarbazole Derivatives Based on Catalytic Enantioselective Hydroarylation of Alkynes. Org. Lett. 2018, 20, 4796–4800. [Google Scholar] [CrossRef]
- Liu, Y.; Wu, X.; Li, S.; Xue, L.; Shan, C.; Zhao, Z.; Yan, H. Organocatalytic Atroposelective Intramolecular [4+2] Cycloaddition: Synthesis of Axially Chiral Heterobiaryls. Angew. Chem. Int. Ed. 2018, 57, 6491–6495. [Google Scholar] [CrossRef]
- Jia, S.; Li, S.; Liu, Y.; Qin, W.; Yan, H. Enantioselective Control of Both Helical and Axial Stereogenic Elements though an Organocatalytic Approach. Angew. Chem. Int. Ed. 2019, 58, 18496–18501. [Google Scholar] [CrossRef]
- Peng, L.; Li, K.; Xie, C.; Li, S.; Xu, D.; Qin, W.; Yan, H. Organocatalytic Asymmetric Annulation of ortho-Alkynylanilines: Synthesis of Axially Chiral Naphthyl-C2-indoles. Angew. Chem. Int. Ed. 2019, 58, 17199–17204. [Google Scholar] [CrossRef]
- He, T.; Peng, L.; Li, S.; Hu, F.; Xie, C.; Huang, S.; Jia, S.; Qin, W.; Yan, H. Chiral Naphthyl-C2-Indole as Scaffold for Phosphine Organocatalysis: Application in Asymmetric Formal [4 + 2] Cycloaddition Reactions. Org. Lett. 2020, 22, 6966–6971. [Google Scholar] [CrossRef]
- Xu, D.; Huang, S.; Hu, F.; Peng, L.; Jia, S.; Mao, H.; Gong, X.; Li, F.; Qin, W.; Yan, H. Diversity-Oriented Enantioselective Construction of Atropisomeric Heterobiaryls and N-Aryl Indoles via Vinylidene Ortho-Quinone Methides. CCS Chem. 2022, 4, 2686–2697. [Google Scholar] [CrossRef]
- Chang, Y.; Xie, C.; Liu, H.; Huang, S.; Wang, P.; Qin, W.; Yan, H. Organocatalytic atroposelective construction of axially chiral N, N- and N, S-1,2-azoles through novel ring formation approach. Nat. Commun. 2022, 13, 1933. [Google Scholar] [CrossRef]
- Huang, S.; Wen, H.; Tian, Y.; Wang, P.; Qin, W.; Yan, H. Organocatalytic Enantioselective Construction of Chiral Azepine Skeleton Bearing Multiple-Stereogenic Elements. Angew. Chem. Int. Ed. 2021, 60, 21486–21493. [Google Scholar] [CrossRef]
- Jia, S.; Tian, Y.; Li, X.; Wang, P.; Lan, Y.; Yan, H. Atroposelective Construction of Nine-Membered Carbonate-Bridged Biaryls. Angew. Chem. Int. Ed. 2022, 61, e202206501. [Google Scholar] [CrossRef]
- List, B. Asymmetric Aminocatalysis. Synlett 2001, 11, 1675–1686. [Google Scholar] [CrossRef]
- List, B. Proline-catalyzed asymmetric reactions. Tetrahedron 2002, 58, 5573–5590. [Google Scholar] [CrossRef]
- Movassaghi, M.; Jacobsen, E.N. The Simplest “Enzyme”. Science 2002, 298, 1904–1905. [Google Scholar] [CrossRef] [PubMed]
- Link, A.; Sparr, C. Organocatalytic Atroposelective Aldol Condensation: Synthesis of Axially Chiral Biaryls by Arene Formation. Angew. Chem. Int. Ed. 2014, 53, 5458–5461. [Google Scholar] [CrossRef] [PubMed]
- Witzig, R.M.; Lotter, D.; Fäseke, V.C.; Sparr, C. Stereoselective Arene-Forming Aldol Condensation: Catalyst-Controlled Synthesis of Axially Chiral Compounds. Chem. Eur. J. 2017, 23, 12960–12966. [Google Scholar] [CrossRef] [PubMed]
- Lotter, D.; Neuburger, M.; Rickhaus, M.; Häussinger, D.; Sparr, C. Stereoselective Arene-Forming Aldol Condensation: Synthesis of Configurationally Stable Oligo-1,2-naphthylenes. Angew. Chem. Int. Ed. 2016, 55, 2920–2923. [Google Scholar] [CrossRef] [PubMed]
- Lotter, D.; Castrogiovanni, A.; Neuburger, M.; Sparr, C. Catalyst-Controlled Stereodivergent Synthesis of Atropisomeric Multiaxis Systems. ACS Cent. Sci. 2018, 4, 656–660. [Google Scholar] [CrossRef]
- Schmidt, T.A.; Sparr, C. Catalyst Control over Twofold and Higher-Order Stereogenicity by Atroposelective Arene Formation. Acc. Chem. Res. 2021, 54, 2764–2774. [Google Scholar] [CrossRef]
- Fäseke, V.C.; Sparr, C. Stereoselective Arene-Forming Aldol Condensation: Synthesis of Axially Chiral Aromatic Amides. Angew. Chem. Int. Ed. 2016, 55, 7261–7264. [Google Scholar] [CrossRef]
- Witzig, R.M.; Fäseke, V.C.; Häussinger, D.; Sparr, C. Atroposelective synthesis of tetra-ortho-substituted biaryls by catalyst-controlled non-canonical polyketide cyclizations. Nat. Catal. 2019, 2, 925–930. [Google Scholar] [CrossRef]
- Hayashi, Y.; Okano, T.; Aratake, S.; Hazelard, D. Diphenylprolinol Silyl Ether as a Catalyst in an Enantioselective, Catalytic, Tandem Michael/Henry Reaction for the Control of Four Stereocenters. Angew. Chem. Int. Ed. 2007, 46, 4922–4925. [Google Scholar] [CrossRef]
- Hayashi, Y.; Takikawa, A.; Koshino, S.; Ishida, K. Asymmetric synthesis of biaryl atropisomers using an organocatalyst-mediated domino reaction as a key step. Chem. Eur. J. 2019, 25, 10319–10322. [Google Scholar] [CrossRef]
- Koshino, S.; Takikawa, A.; Ishida, K.; Taniguchi, T.; Monde, K.; Kwon, E.; Umemiya, S.; Hayashi, Y. Inversion of the axial information during oxidative aromatization in the synthesis of axially chiral biaryls using organocatalyst as a key step. Chem. Eur. J. 2020, 26, 4524–4530. [Google Scholar] [CrossRef]
- Yang, G.; Sun, S.; Li, Z.; Liu, Y.; Wang, J. Organocatalytic atroposelective heterocycloaddition to access axially chiral 2-arylquinolines. Commun. Chem. 2021, 4, 144–151. [Google Scholar] [CrossRef]
- Yang, G.; Li, Z.; Liu, Y.; Guo, D.; Sheng, X.; Wang, J. Organocatalytic Higher-Order [8+2] Cycloaddition for the Assembly of Atropoenantiomeric 3-Arylindolizines. Org. Lett. 2021, 23, 8109–8113. [Google Scholar] [CrossRef]
- Zhang, J.; Xu, Y.; Wang, Z.; Zhong, R.; Wang, Y. Organocatalyzed Cascade Aza-Michael/Aldol Reaction for Atroposelective Construction of 4-Naphthylquinoline-3-carbaldehydes. J. Org. Chem. 2021, 86, 4262–4273. [Google Scholar] [CrossRef]
- Shao, Y.; Han, D.; Dong, M.; Yang, X.; Cheng, D. One-Pot Stepwise Approach to Axially Chiral Quinoline-3- Carbaldehydes Enabled by Iminium-Allenamine Cascade Catalysis. Org. Chem. Front. 2021, 8, 605–612. [Google Scholar] [CrossRef]
- Stephenson, L.M.; Whitten, D.G.; Vesley, G.F.; Hammond, G.S. Homogeneous Asymmetric Catalysis. J. Am. Chem. Soc. 1966, 88, 3666–3667. [Google Scholar]
- Zhao, M.; Zhang, Y.; Chen, J.; Zhou, L. Enantioselective Reactions Catalyzed by N-Heterocyclic Carbenes. Asian J. Org. Chem. 2018, 7, 54–69. [Google Scholar] [CrossRef]
- Douglas, J.; Churchill, G.; Smith, A.D. NHCs in Asymmetric Organocatalysis: Recent Advances in Azolium Enolate Generation and Reactivity. Synthesis 2012, 44, 2295–2309. [Google Scholar]
- Zhao, C.; Guo, D.; Munkerup, K.; Huang, K.; Li, F.; Wang, J. Enantioselective [3+3] atroposelective annulation catalyzed by N-heterocyclic carbenes. Nat. Commun. 2018, 9, 611. [Google Scholar] [CrossRef]
- Ma, R.; Wang, X.; Zhang, Q.; Chen, L.; Gao, J.; Feng, J.; Wei, D.; Du, D. Atroposelective Synthesis of Axially Chiral 4 Aryl α Carbolines via N Heterocyclic Carbene Catalysis. Org. Lett. 2021, 23, 4267–4272. [Google Scholar] [CrossRef]
- Xu, K.; Li, W.; Zhu, S.; Zhu, T. Atroposelective Arene Formation by Carbene-Catalyzed Formal [4+2] Cycloaddition. Angew. Chem. Int. Ed. 2019, 58, 17625–17630. [Google Scholar] [CrossRef] [PubMed]
- Lu, S.; Ong, J.; Yang, H.; Poh, S.B.; Liew, X.; Seow, C.S.D.; Wong, M.W.; Zhao, Y. Diastereo- and Atroposelective Synthesis of Bridged Biaryls Bearing an Eight-Membered Lactone through an Organocatalytic Cascade. J. Am. Chem. Soc. 2019, 141, 17062–17067. [Google Scholar] [CrossRef] [PubMed]
- Jin, J.; Huang, X.; Xu, J.; Li, T.; Peng, X.; Zhu, X.; Zhang, J.; Jin, Z.; Chi, Y.R. Carbene-Catalyzed Atroposelective Annulation and Desymmetrization of Urazoles. Org. Lett. 2021, 23, 3991–3996. [Google Scholar] [CrossRef] [PubMed]
- Chu, Y.; Wu, M.; Hu, F.; Zhou, P.; Cao, Z.; Hui, X. N-Heterocyclic Carbene-Catalyzed Atroposelective Synthesis of Pyrrolo[3,4-b]pyridines with Configurationally Stable C–N Axial Chirality. Org. Lett. 2022, 24, 3884–3889. [Google Scholar] [CrossRef]
- Zhang, S.; Liu, S.; Wang, X.; Wang, S.; Yang, H.; Li, L.; Yang, B.; Wong, M.W.; Zhao, Y.; Lu, S. Enantioselective Access to Triaryl-2-pyrones with Monoaxial or Contiguous C–C Diaxes via Oxidative NHC Catalysis. ACS Catal. 2023, 13, 2565–2575. [Google Scholar] [CrossRef]
- Quinonero, O.; Jean, M.; Vanthuyne, N.; Roussel, C.; Bonne, D.; Constantieux, T.; Bressy, C.; Bugaut, X.; Rodriguez, J. Combining Organocatalysis with Central-to-Axial Chirality Conversion: Atroposelective Hantzsch-Type Synthesis of 4-Arylpyridines. Angew. Chem. Int. Ed. 2016, 55, 1401–1405. [Google Scholar] [CrossRef]
- Raut, V.S.; Jean, M.; Vanthuyne, N.; Roussel, C.; Constantieux, T.; Bressy, C.; Bugaut, X.; Bonne, D.; Rodriguez, J. Enantioselective Syntheses of Furan Atropisomers by an Oxidative Central-to-Axial Chirality Conversion Strategy. J. Am. Chem. Soc. 2017, 139, 2140–2143. [Google Scholar] [CrossRef]
- Bao, X.; Rodriguez, J.; Bonne, D. Bidirectional enantioselective synthesis of bisbenzofuran atropisomeric oligoarenes featuring two distal C-C stereogenic axes. Chem. Sci. 2020, 11, 403–408. [Google Scholar] [CrossRef]
- Liang, Y.; Ji, J.; Zhang, X.; Jiang, Q.; Luo, J.; Zhao, X. Enantioselective Construction of Axially Chiral Amino Sulfide Vinyl Arenes by Chiral Sulfide-Catalyzed Electrophilic Carbothiolation of Alkynes. Angew. Chem. Int. Ed. 2020, 59, 4959–4964. [Google Scholar] [CrossRef]













































| Disclaimer/Publisher’s Note: The statements, opinions and data contained in all publications are solely those of the individual author(s) and contributor(s) and not of MDPI and/or the editor(s). MDPI and/or the editor(s) disclaim responsibility for any injury to people or property resulting from any ideas, methods, instructions or products referred to in the content. | 
© 2023 by the authors. Licensee MDPI, Basel, Switzerland. This article is an open access article distributed under the terms and conditions of the Creative Commons Attribution (CC BY) license (https://creativecommons.org/licenses/by/4.0/).
Share and Cite
Cai, W.-Y.; Ding, Q.-N.; Zhou, L.; Chen, J. Asymmetric Synthesis of Axially Chiral Molecules via Organocatalytic Cycloaddition and Cyclization Reactions. Molecules 2023, 28, 4306. https://doi.org/10.3390/molecules28114306
Cai W-Y, Ding Q-N, Zhou L, Chen J. Asymmetric Synthesis of Axially Chiral Molecules via Organocatalytic Cycloaddition and Cyclization Reactions. Molecules. 2023; 28(11):4306. https://doi.org/10.3390/molecules28114306
Chicago/Turabian StyleCai, Wei-Yun, Qian-Ni Ding, Ling Zhou, and Jie Chen. 2023. "Asymmetric Synthesis of Axially Chiral Molecules via Organocatalytic Cycloaddition and Cyclization Reactions" Molecules 28, no. 11: 4306. https://doi.org/10.3390/molecules28114306
APA StyleCai, W.-Y., Ding, Q.-N., Zhou, L., & Chen, J. (2023). Asymmetric Synthesis of Axially Chiral Molecules via Organocatalytic Cycloaddition and Cyclization Reactions. Molecules, 28(11), 4306. https://doi.org/10.3390/molecules28114306
 
         
                                                

