Effect of Lipophilic Chains on the Antitumor Effect of a Dendritic Nano Drug Delivery System
Abstract
1. Introduction
2. Results and Discussion
2.1. Preparation and Characterization of Celastrol-Loaded Nanoparticles (CSL NPs)
2.2. Self-Assembly Behavior
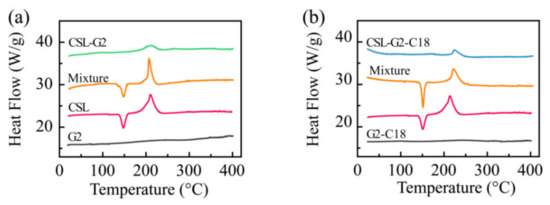
2.3. Differential Scanning Calorimetry (DSC) Analysis
2.4. X-ray Powder Diffraction (XRD) Analysis
2.5. Storage Stability
2.6. Media Stability Analysis
2.7. CSL-Loaded NPs Release Characteristic Analysis
2.8. In Vitro Cytotoxicity Analysis
3. Materials and Methods
3.1. Chemical Reagents and Cell Line
3.2. Preparation of CSL-Loaded NPs
3.3. Characterization of CSL-Loaded NPs
3.4. Morphology of CSL-Loaded NPs by Transmission Electron Microscope (TEM)
3.5. Pyrene Fluorescence Spectroscopy
3.6. Differential Scanning Calorimetry Study (DSC)
3.7. X-ray Diffraction Study (XRD)
3.8. Storage Stability Study
3.9. Medium Stability Study
3.10. Investigation on the Release Profile of CSL-Loaded NPs In Vitro
3.11. In Vitro Cytotoxicity Assay
3.12. Statistical Analysis
4. Conclusions
Author Contributions
Funding
Institutional Review Board Statement
Informed Consent Statement
Data Availability Statement
Conflicts of Interest
Sample Availability
References
- Li, J.; Zhao, J.; Tan, T.; Liu, M.; Zeng, Z.; Zeng, Y.; Zhang, L.; Fu, C.; Chen, D.; Xie, T. Nanoparticle Drug Delivery System for Glioma and Its Efficacy Improvement Strategies: A Comprehensive Review. Int. J. Nanomed. 2020, 15, 2563–2582. [Google Scholar] [CrossRef] [PubMed]
- Lasic, D.D. Novel applications of liposomes. Trends Biotechnol. 1998, 16, 307–321. [Google Scholar] [CrossRef] [PubMed]
- Kwon, G.S.; Okano, T. Polymeric micelles as new drug carriers. Adv. Drug Deliv. Rev. 1996, 21, 107–116. [Google Scholar] [CrossRef]
- Douglas, S.; Davis, S.; Illum, L. Nanoparticles in drug delivery. Crit. Rev. Ther. Drug Carr. Syst. 1987, 3, 233–261. [Google Scholar]
- Müller, R.H.; Jacobs, C.; Kayser, O. Nanosuspensions as particulate drug formulations in therapy: Rationale for development and what we can expect for the future. Adv. Drug Deliv. Rev. 2001, 47, 3–19. [Google Scholar] [CrossRef] [PubMed]
- de Wolf, F.A.; Staffhorst, R.W.; Smits, H.P.; Onwezen, M.F.; de Kruijff, B. Role of anionic phospholipids in the interaction of doxorubicin and plasma membrane vesicles: Drug binding and structural consequences in bacterial systems. Biochemistry 1993, 32, 6688–6695. [Google Scholar] [CrossRef]
- Wan, X.; Liu, T.; Liu, S. Synthesis of amphiphilic tadpole-shaped linear-cyclic diblock copolymers via ring-opening polymerization directly initiating from cyclic precursors and their application as drug nanocarriers. Biomacromolecules 2011, 12, 1146–1154. [Google Scholar] [CrossRef] [PubMed]
- Pan, Q.; Deng, X.; Gao, W.; Chang, J.; Pu, Y.; He, B. Small molecules-PEG amphiphilic conjugates as carriers for drug delivery: 1. the effect of molecular structures on drug encapsulation. J. Drug Deliv. Sci. Technol. 2020, 60, 101997. [Google Scholar] [CrossRef]
- Xun, W.; Wang, H.; Li, Z.; Cheng, S.; Zhang, X.; Zhuo, R. Self-assembled micelles of novel graft amphiphilic copolymers for drug controlled release. Colloids Surf. B 2011, 85, 86–91. [Google Scholar] [CrossRef]
- Lemos-Senna, E.; Wouessidjewe, D.; Lesieur, S.; Puisieux, F.; Couarraze, G.; Duchěne, D. Evaluation of the hydrophobic drug loading characteristics in nanoprecipitated amphiphilic cyclodextrin nanospheres. Pharm. Dev. Technol. 1998, 3, 85–94. [Google Scholar] [CrossRef]
- Li, X.; Liu, H.; Li, J.; Deng, Z.; Li, L.; Liu, J.; Yuan, J.; Gao, P.; Yang, Y.; Zhong, S. Micelles via self-assembly of amphiphilic beta-cyclodextrin block copolymers as drug carrier for cancer therapy. Colloids Surf. B 2019, 183, 110425. [Google Scholar] [CrossRef] [PubMed]
- Angelova, A.; Garamus, V.; Angelov, B.; Tian, Z.; Li, Y.; Zou, A. Advances in structural design of lipid-based nanoparticle carriers for delivery of macromolecular drugs, phytochemicals and anti-tumor agents. Adv. Colloid Interface Sci. 2017, 249, 331–345. [Google Scholar] [CrossRef]
- Shi, C.; Guo, D.; Xiao, K.; Wang, X.; Wang, L.; Luo, J. A drug-specific nanocarrier design for efficient anticancer therapy. Nat. Commun. 2015, 6, 1–14. [Google Scholar] [CrossRef]
- Zhu, J.; Zhou, Z.; Yang, C.; Kong, D.; Wan, Y.; Wang, Z. Folate-conjugated amphiphilic star-shaped block copolymers as targeted nanocarriers. J. Biomed. Mater. Res. Part A 2011, 97, 498–508. [Google Scholar] [CrossRef] [PubMed]
- Wolfrum, C.; Shi, S.; Jayaprakash, K.; Jayaraman, M.; Wang, G.; Pandey, R.; Rajeev, K.; Nakayama, T.; Charrise, K.; Ndungo, E.; et al. Mechanisms and optimization of in vivo delivery of lipophilic siRNAs. Nat. Biotechnol. 2007, 25, 1149–1157. [Google Scholar] [CrossRef] [PubMed]
- Verma, A.; Uzun, O.; Hu, Y.; Hu, Y.; Han, H.-S.; Watson, N.; Chen, S.; Irvine, D.J.; Stellacci, F. Surface-structure-regulated cell-membrane penetration by monolayer-protected nanoparticles. Nat. Mater. 2008, 7, 588–595. [Google Scholar] [CrossRef] [PubMed]
- Jana, B.; Kim, D.; Choi, H.; Kim, M.; Kim, K.; Kim, S.; Jin, S.; Park, M.-H.; Lee, K.H.; Yoon, C. Drug resistance-free cytotoxic nanodrugs in composites for cancer therapy. J. Mater. Chem. B 2021, 9, 3143–3152. [Google Scholar] [CrossRef]
- Yang, S.; Chen, D.; Li, N.; Mei, X.; Qi, X.; Li, H.; Xu, Q.; Lu, J. A facile preparation of targetable pH-sensitive polymeric nanocarriers with encapsulated magnetic nanoparticles for controlled drug release. J. Mater. Chem. 2012, 22, 25354–25361. [Google Scholar] [CrossRef]
- Guo, Y.; Wang, T.; Zhao, S.; Qiu, H.; Han, M.; Dong, Z.; Wang, X. Effect of alkyl chain on cellular uptake and antitumor activity of hydroxycamptothecin nanoparticles based on amphiphilic linear molecules. Eur. J. Pharm. Sci. 2018, 124, 266–272. [Google Scholar] [CrossRef]
- Zhou, Z.; Ma, X.; Jin, E.; Tang, J.; Sui, M.; Shen, Y.; Van Kirk, E.; Murdoch, W.; Radosz, M. Linear-dendritic drug conjugates forming long-circulating nanorods for cancer-drug delivery. Biomaterials 2013, 34, 5722–5735. [Google Scholar] [CrossRef]
- Sun, Y.; Kang, C.; Wang, M.; Zhu, J.; Jin, L.; Cheng, X. Nanosized camptothecin conjugates for single and combined drug delivery. Eur. J. Med. Res. 2016, 2, 8–16. [Google Scholar]
- Wang, H.; Chen, Q.; Zhou, S. Carbon-based hybrid nanogels: A synergistic nanoplatform for combined biosensing, bioimaging, and responsive drug delivery. Chem. Soc. Rev. 2018, 47, 4198–4232. [Google Scholar] [CrossRef] [PubMed]
- Yan, J.; Li, W.; Zhang, A. Dendronized supramolecular polymers. Chem. Commun. 2014, 50, 12221–12233. [Google Scholar] [CrossRef] [PubMed]
- Gorgoll, R.; Tsubota, T.; Harano, K.; Nakamura, E. Cooperative Self-Assembly of Gold Nanoparticles on the Hydrophobic Surface of Vesicles in Water. J. Am. Chem. Soc. 2015, 137, 7568–7571. [Google Scholar] [CrossRef]
- Shen, Y.; Jin, E.; Zhang, B.; Murphy, C.; Sui, M.; Zhao, J.; Wang, J.; Tang, J.; Fan, M.; Van Kirk, E.; et al. Prodrugs forming high drug loading multifunctional nanocapsules for intracellular cancer drug delivery. J. Am. Chem. Soc. 2010, 132, 4259–4265. [Google Scholar] [CrossRef]
- Tang, H.; Murphy, C.J.; Zhang, B.; Shen, Y.; Sui, M.; Van Kirk, E.A.; Feng, X.; Murdoch, W.J. Amphiphilic curcumin conjugate-forming nanoparticles as anticancer prodrug and drug carriers: In vitro and in vivo effects. Nanomedicine 2010, 5, 855–865. [Google Scholar] [CrossRef]
- Roma-Rodrigues, C.; Heuer-Jungemann, A.; Fernandes, A.R.; Kanaras, A.G.; Baptista, P.V. Peptide-coated gold nanoparticles for modulation of angiogenesis in vivo. Int. J. Nanomed. 2016, 11, 2633. [Google Scholar]
- Gillich, T.; Acikgoz, C.; Isa, L.; Schluter, A.D.; Spencer, N.D.; Textor, M. PEG-stabilized core–shell nanoparticles: Impact of linear versus dendritic polymer shell architecture on colloidal properties and the reversibility of temperature-induced aggregation. ACS Nano 2013, 7, 316–329. [Google Scholar] [CrossRef]
- Guo, Y.; Wang, T.; Zhao, S.; Han, M.; Dong, Z.; Wang, X.; Wang, Y. Amphiphilic Hybrid Dendritic-Linear Molecules as Nanocarriers for Shape-Dependent Antitumor Drug Delivery. Mol. Pharm. 2018, 15, 2665–2673. [Google Scholar] [CrossRef]
- Domínguez, A.; Fernández, A.; González, N.; Iglesias, E.; Montenegro, L. Determination of critical micelle concentration of some surfactants by three techniques. J. Chem. Educ. 1997, 74, 1227. [Google Scholar] [CrossRef]
- Ray, G.B.; Chakraborty, I.; Moulik, S.P. Pyrene absorption can be a convenient method for probing critical micellar concentration (cmc) and indexing micellar polarity. J. Colloid Interface Sci. 2006, 294, 248–254. [Google Scholar]
- Jeong, B.; Bae, Y.H.; Kim, S.W. Biodegradable thermosensitive micelles of PEG-PLGA-PEG triblock copolymers. Colloid Surf. B-Biointerfaces 1999, 16, 185–193. [Google Scholar] [CrossRef]
- Lee, E.S.; Shin, H.J.; Na, K.; Bae, Y.H. Poly (l-histidine)–PEG block copolymer micelles and pH-induced destabilization. J. Control. Release 2003, 90, 363–374. [Google Scholar] [CrossRef] [PubMed]
- Li, L.; Tan, Y.B. Preparation and properties of mixed micelles made of Pluronic polymer and PEG-PE. J. Colloid Interface Sci. 2008, 317, 326–331. [Google Scholar] [CrossRef] [PubMed]
- Freag, M.S.; Saleh, W.M.; Abdallah, O.Y. Self-assembled phospholipid-based phytosomal nanocarriers as promising platforms for improving oral bioavailability of the anticancer celastrol. Int. J. Pharm. 2018, 535, 18–26. [Google Scholar] [CrossRef] [PubMed]
- Sanna, V.; Chamcheu, J.C.; Pala, N.; Mukhtar, H.; Sechi, M.; Siddiqui, I.A. Nanoencapsulation of natural triterpenoid celastrol for prostate cancer treatment. Int. J. Nanomed. 2015, 10, 6835–6846. [Google Scholar] [CrossRef]
- Chen, G.; Liu, Y.; Shi, G.; Luo, Y.; Fu, S.; Yang, A.; Zhou, Y.; Wu, Y.; Lin, L.; Li, H. Preparation of polydopamine-modified celastrol nanosuspension and its anti-liver cancer activity in vitro. J. Drug Deliv. Sci. Technol. 2022, 75, 103630. [Google Scholar] [CrossRef]
- Shukla, S.K.; Chan, A.; Parvathaneni, V.; Kanabar, D.D.; Patel, K.; Ayehunie, S.; Muth, A.; Gupta, V. Enhanced solubility, stability, permeation and anti-cancer efficacy of Celastrol-β-cyclodextrin inclusion complex. J. Mol. Liq. 2020, 318, 113936. [Google Scholar] [CrossRef]
- Cui, T.; Ma, Y.; Yang, J.-Y.; Liu, S.; Wang, Z.; Zhang, F.; Wang, J.; Cai, T.; Dong, L.; Hong, J. Protein corona-guided tumor targeting therapy via the surface modulation of low molecular weight PEG. Nanoscale 2021, 13, 5883–5891. [Google Scholar] [CrossRef]
- Barui, A.K.; Oh, J.Y.; Jana, B.; Kim, C.; Ryu, J.H. Cancer-targeted nanomedicine: Overcoming the barrier of the protein corona. Adv. Ther. 2020, 3, 1900124. [Google Scholar] [CrossRef]
- Cai, R.; Chen, C. The crown and the scepter: Roles of the protein corona in nanomedicine. Adv. Mater. 2019, 31, 1805740. [Google Scholar] [CrossRef] [PubMed]
- Li, B.-L.; Zhang, J.; Jin, W.; Chen, X.-Y.; Yang, J.-M.; Chi, S.-M.; Ruan, Q.; Zhao, Y. Oral administration of pH-responsive polyamine modified cyclodextrin nanoparticles for controlled release of anti-tumor drugs. React. Funct. Polym. 2022, 172, 105175. [Google Scholar] [CrossRef]
- Huang, T.; Wang, Y.; Shen, Y.; Ao, H.; Guo, Y.; Han, M.; Wang, X. Preparation of high drug-loading celastrol nanosuspensions and their anti-breast cancer activities in vitro and in vivo. Sci. Rep. 2020, 10, 8851. [Google Scholar] [CrossRef] [PubMed]
- Sheikh, F.A.; Barakat, N.A.; Kanjwal, M.A.; Aryal, S.; Khil, M.S.; Kim, H.-Y. Novel self-assembled amphiphilic poly (ε-caprolactone)-grafted-poly (vinyl alcohol) nanoparticles: Hydrophobic and hydrophilic drugs carrier nanoparticles. J. Mater. Sci.-Mater. Med. 2009, 20, 821–831. [Google Scholar] [CrossRef] [PubMed]
- Guo, Y.; Zhao, Y.; Zhao, J.; Han, M.; Zhang, A.; Wang, X. Codendrimer from polyamidoamine (PAMAM) and oligoethylene dendron as a thermosensitive drug carrier. Bioconju. Chem. 2014, 25, 24–31. [Google Scholar] [CrossRef] [PubMed]









Disclaimer/Publisher’s Note: The statements, opinions and data contained in all publications are solely those of the individual author(s) and contributor(s) and not of MDPI and/or the editor(s). MDPI and/or the editor(s) disclaim responsibility for any injury to people or property resulting from any ideas, methods, instructions or products referred to in the content. |
© 2022 by the authors. Licensee MDPI, Basel, Switzerland. This article is an open access article distributed under the terms and conditions of the Creative Commons Attribution (CC BY) license (https://creativecommons.org/licenses/by/4.0/).
Share and Cite
Ding, L.; Wang, X.; Wang, T.; Yu, B.; Han, M.; Guo, Y. Effect of Lipophilic Chains on the Antitumor Effect of a Dendritic Nano Drug Delivery System. Molecules 2023, 28, 69. https://doi.org/10.3390/molecules28010069
Ding L, Wang X, Wang T, Yu B, Han M, Guo Y. Effect of Lipophilic Chains on the Antitumor Effect of a Dendritic Nano Drug Delivery System. Molecules. 2023; 28(1):69. https://doi.org/10.3390/molecules28010069
Chicago/Turabian StyleDing, Lijuan, Xiangtao Wang, Ting Wang, Bo Yu, Meihua Han, and Yifei Guo. 2023. "Effect of Lipophilic Chains on the Antitumor Effect of a Dendritic Nano Drug Delivery System" Molecules 28, no. 1: 69. https://doi.org/10.3390/molecules28010069
APA StyleDing, L., Wang, X., Wang, T., Yu, B., Han, M., & Guo, Y. (2023). Effect of Lipophilic Chains on the Antitumor Effect of a Dendritic Nano Drug Delivery System. Molecules, 28(1), 69. https://doi.org/10.3390/molecules28010069
