A Novel Sodium Alginate-Carnauba Wax Film Containing Calcium Ascorbate: Structural Properties and Preservative Effect on Fresh-Cut Apples
Abstract
1. Introduction
2. Results and Discussion
2.1. Performance of Film
2.2. Structure of Film
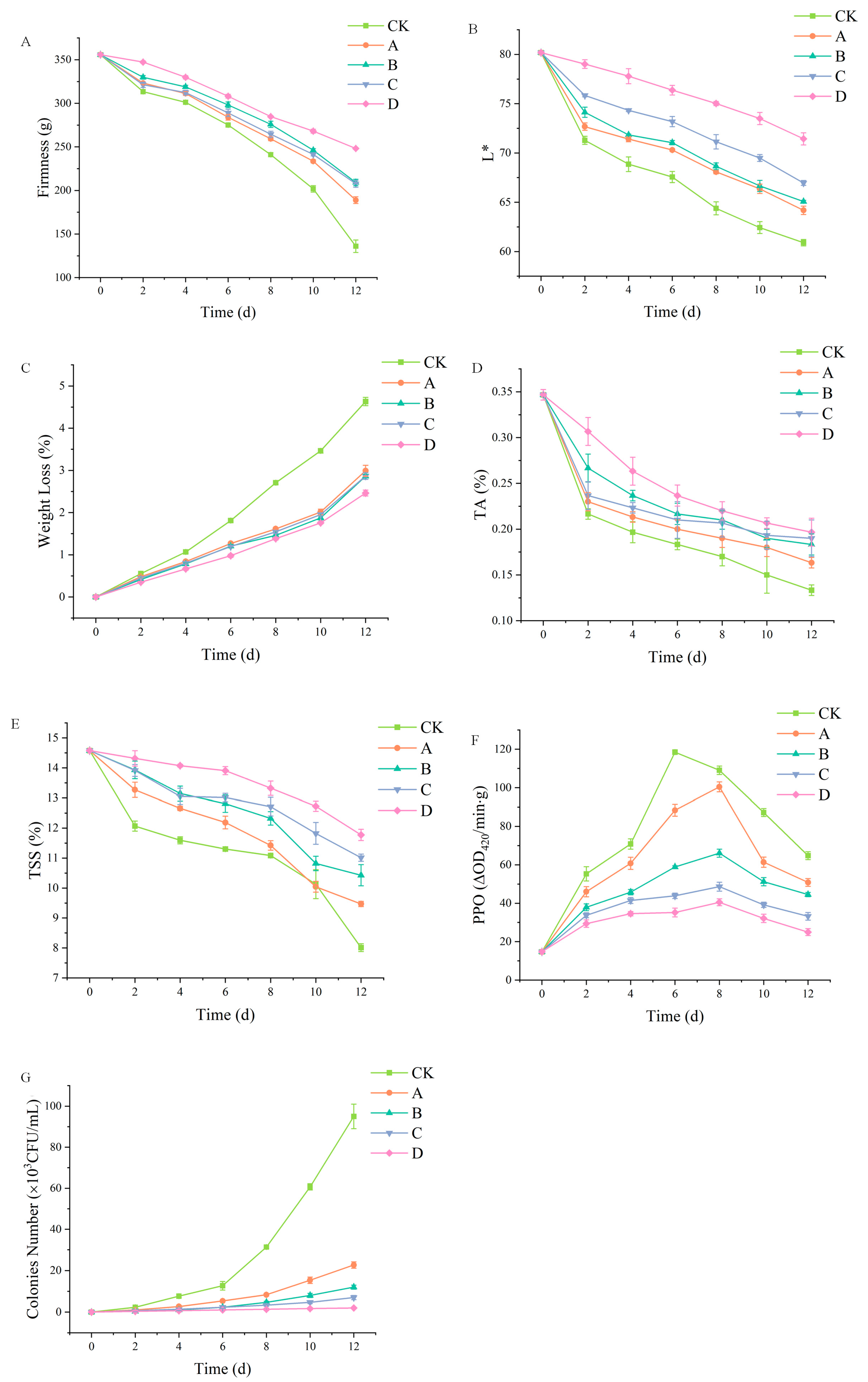
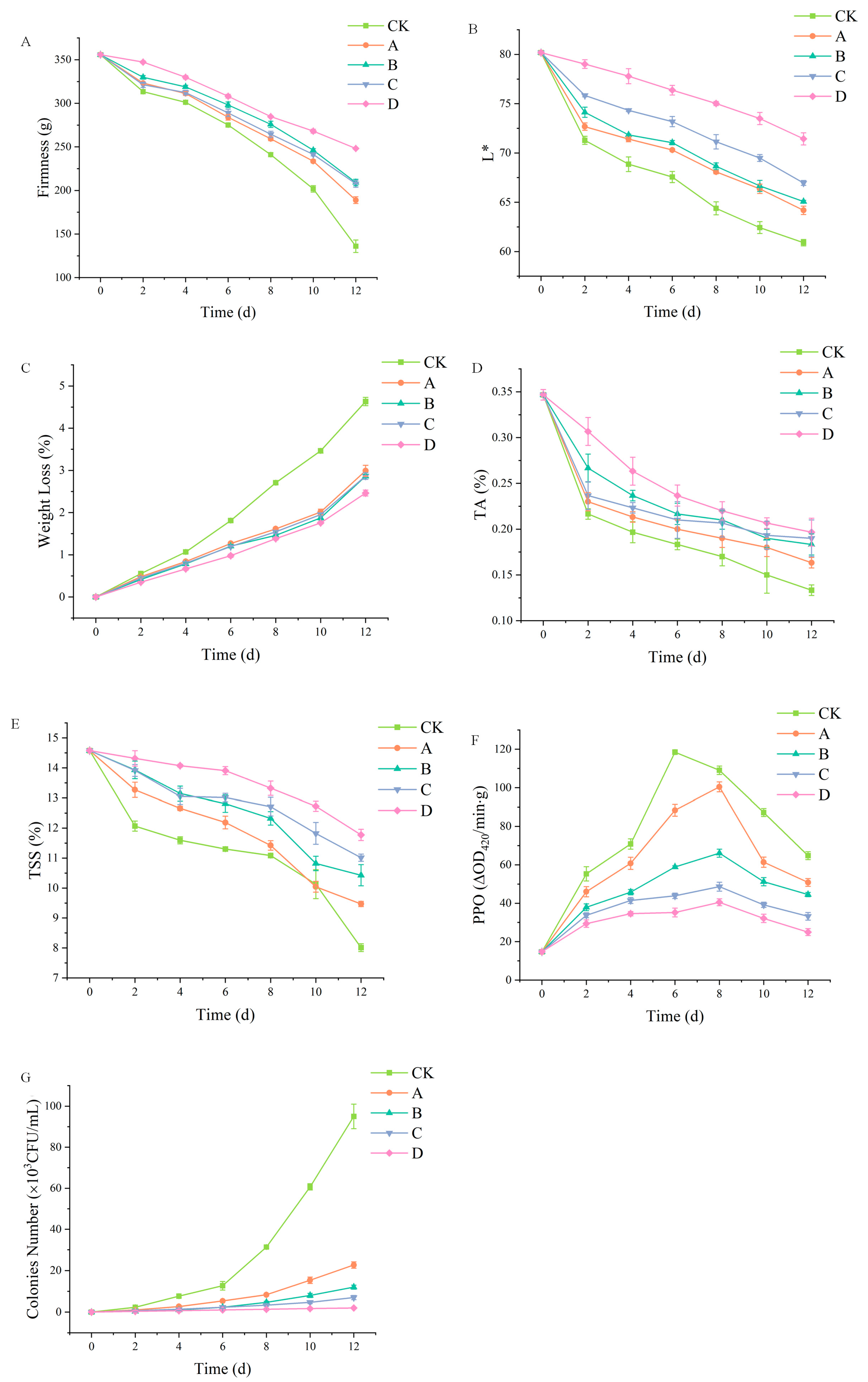
2.3. Preservative Effect of Edible Composite Film on Fresh-Cut Apples
3. Materials and Methods
3.1. Experimental Materials
3.2. Preparation of the Edible Films
3.3. Performance of Film
3.3.1. Determination of Water Vapor Transmittance
3.3.2. Determination of Tensile Strength and Elongation at Break
3.3.3. Determination of Water Solubility
3.3.4. Determination of Water Content
3.4. Structure of Film Performance
3.4.1. Scanning Electron Microscope (SEM) Analysis
3.4.2. X-ray Diffraction Analysis
3.4.3. Fourier Transform Infrared Spectroscopy (FT-IR) Analysis
3.5. Fresh-Cut Apple Coating Treatment
3.6. Physiological and Biochemical Indexes of Fresh-Cut Apples
3.6.1. Determination of Hardness
3.6.2. Determination of Color
3.6.3. Determination of Weight-Loss Rate
3.6.4. Determination of Titrable Acid
3.6.5. Determination of Soluble Solid-Form Content
3.6.6. Determination of Polyphenol Oxidase Activity
3.6.7. Determination of Total Colonies
3.7. Statistical Analysis
4. Conclusion
Supplementary Materials
Author Contributions
Funding
Institutional Review Board Statement
Informed Consent Statement
Data Availability Statement
Acknowledgments
Conflicts of Interest
Sample Availability
Abbreviations
| SA | sodium alginate |
| CW | carnauba wax |
| G | glycerol |
| Vc-Ca | calcium ascorbic acid |
References
- Mohamed, S.A.A.; El-Sakhawy, M.; El-Sakhawy, M.A.-M. Polysaccharides, Protein and Lipid-Based Natural Edible Films in Food Packaging: A Review. Carbohyd. Polym. 2020, 238, 116178. [Google Scholar] [CrossRef] [PubMed]
- Coppola, G.; Gaudio, M.T.; Lopresto, C.G.; Calabro, V.; Curcio, S.; Chakraborty, S. Bioplastic from renewable biomass: A facile solution for a greener environment. Earth Syst. Envir. 2021, 5, 231–251. [Google Scholar] [CrossRef]
- De Paola, M.G.; Andreoli, T.; Lopresto, C.G.; Calabrò, V. Starch/pectin-biobased films: How initial dispersions could affect their performances. J. Appl. Polym. Sci. 2022, 139, 52032. [Google Scholar] [CrossRef]
- Taghizadeh, M.; Mohammadifar, M.A.; Sadeghi, E.; Rouhi, M.; Mohammadi, R.; Askari, F. Photosensitizer-induced cross-linking: A novel approach for improvement of physicochemical and structural properties of gelatin edible films. Food Res. Int. 2018, 112, 90–97. [Google Scholar] [CrossRef] [PubMed]
- Yuan, X.L.; Wang, Y.H.; Cai, D.; Zheng, M.Z.; Xiu, L.; Liu, J.S. Research progress of whey protein edible film. China Dairy Ind. 2014, 42, 32–36. [Google Scholar]
- Li, X.X.; Ma, Z.S. Research and application progress of edible film. J. Anhui Agric. Sci. 2012, 40, 11438–11441. [Google Scholar]
- SaRen, G.W.; Hu, W.Z.; Xiu, Z.L. Application of edible active films coatings on preservation of fresh-cut fruits and vegetables. J. Food Safety Quality 2015, 6, 2427–2433. [Google Scholar]
- Zhan, X.P.; Wu, G.H. Characteristics of sodium alginate and its application in food. Food Eng. 2011, 1, 7–9. [Google Scholar]
- De Freitas, C.A.S.; de Sousa, P.H.M.; Soares, D.J.; da Silva, J.Y.G.; Benjamin, S.R.; Guedes, M.I.F. Carnauba wax uses in food-A review. Food Chem. 2019, 291, 38–48. [Google Scholar] [CrossRef]
- Gaudin, S.; Lourdin, D.; Le Botlan, D.; Ilari, J.L.; Colonna, P. Plastieisation and mobility in starch-sorbitol films. J. Cereal Sci. 1999, 29, 273–284. [Google Scholar] [CrossRef]
- De Paola, M.G.; Paletta, R.; Lopresto, C.G.; Calabrò, V. Multiple light scattering as a preliminary tool for starch-based film formulation. J. Phase Change Mater. 2021, 1. [Google Scholar]
- De Paola, M.G.; Paletta, R.; Lopresto, C.G.; Lio, G.E.; De Luca, A.; Chakraborty, S.; CalabrÒ, V. Stability of film-forming dispersions: Affects the morphology and optical properties of polymeric films. Polymers 2021, 13, 1464. [Google Scholar] [CrossRef] [PubMed]
- Enrione, J.I.; Hill, S.E.; Mitchell, J.R. Sorption and diffusional studies of extruded waxy maize starch-glycerol systems. Starch-Stärke 2007, 59, 1–9. [Google Scholar] [CrossRef]
- Liu, G.Q.; Li, L.; Hu, S.Q. Study on the effect of blending modification on the physical properties of soy protein isolate film. Sci. Technol. Food Ind. 2008, 29, 165–169. [Google Scholar]
- Chen, H.J.; Cao, S.F.; Fang, X.J. Changes in fruit firmness, cell wall composition and cell wall degrading enzymes in postharvest blue-berries during storage. Sci. Hortic. 2015, 188, 44–48. [Google Scholar] [CrossRef]
- Chen, X.L.; Zhao, G.H. Study on the Factors on the Performance of Edible Starch Films. Food Ferment. Ind. 2008, 34, 100–103. [Google Scholar]
- Cantos, E.; Tudela, J.A. Phenolic compounds and related enzymes are not rate-limiting in browning development of fresh-cut potatoes. J. Agric. Food Chem. 2002, 50, 3015–3023. [Google Scholar] [CrossRef]
- Karla, M.D.; Mikael, A.P. The effect of cutting direction on aroma compounds and respiration rate of fresh-cut iceberg lettuce (Lactuca satviva L.). Postharvest Biol. Technol. 2011, 61, 83–90. [Google Scholar] [CrossRef]
- Piga, A.; Agabbio, M.; Gambella, F.; Nicoli, M.C. Retention of antioxidant activity in minimally processed mandarin and satsuma fruits. LWT-Food Sci. Technol. 2002, 35, 344–347. [Google Scholar] [CrossRef]
- Hodges, D.M.; Toivonen, P.M.A. Quality of fresh-cut fruits and vegetables as affected by exposure to abiotic stress. Postharvest Biol. Technol. 2008, 48, 155–162. [Google Scholar] [CrossRef]
- Umaraw, P.; Munekata, P.E.; Verma, A.K.; Barba, F.J.; Singh, V.; Kumar, P. Edible films/coating with tailored properties for active packaging of meat, fish and derived products. Trends Food Sci. Technol. 2020, 98, 10–24. [Google Scholar] [CrossRef]
- Kocira, A.; Kozłowicz, K.; Panasiewicz, K.; Staniak, M.; Szpunar-Krok, E.; Hortyńska, P. Polysaccharides as Edible Films and Coatings: Characteristics and Influence on Fruit and Vegetable Quality—A Review. Agronomy 2021, 11, 813. [Google Scholar] [CrossRef]
- Galus, S.; Gaouditz, M.; Kowalska, H.; Debeaufort, F. Effects of candelilla and carnauba wax incorporation on the functional properties of edible sodium caseinate films. Int. J. Mol. Sci. 2020, 21, 9349. [Google Scholar] [CrossRef] [PubMed]
- Yousuf, B.; Wu, S.; Siddiqui, M.W. Incorporating essential oils or compounds derived thereof into edible coatings: Effect on quality and shelf life of fresh/fresh-cut produce. Trends Food Sci. Technol. 2021, 108, 245–257. [Google Scholar]
- Silva, M.A.; Bierhalz, A.C.K.; Kieckbusch, T.G. Alginate and pectin composite films crosslinked with Ca2+ ions: Effect of the plasticizer concentration. Carbohy. Polym. 2009, 77, 736–742. [Google Scholar] [CrossRef]
- Soliva-Fortuny, R.C.; Grigelmo-Miguel, N.; Hernando, I.; Lluch, M.A.; Martín-Belloso, O. Effect of minimal processing on the textural and structural properties of fresh-cut pears. J. Sci. Food Agric. 2002, 82, 1682–1688. [Google Scholar] [CrossRef]
- Spotti, M.L.; Cecchini, J.P.; Spotti, M.J.; Carrara, C.R. Brea Gum (from Cercidium praecox) as a structural support for emulsion-based edible films. LWT-Food Sci. Technol. 2016, 68, 127–134. [Google Scholar] [CrossRef]
- Cecchini, J.P.; Spotti, M.J.; Piagentini, A.M.; Milt, Y.G.; Carrara, C.R. Development of edible films obtained from submicron emulsions based on whey protein concentrate, oil/beeswax and brea gum. Food Sci. Technol. Int. 2017, 23, 371–381. [Google Scholar] [CrossRef]
- Razavi, S.M.A.; Amini, A.M.; Zahedi, Y. Characterisation of a new biodegradable edible film based on sage seed gum: Influence of plasticiser type and concentration. Food Hydrocoll. 2015, 43, 290–298. [Google Scholar] [CrossRef]
- Parra, D.F.; Tadini, C.C.; Ponce, P.; Lugao, A.B. Mechanical properties and water vapor transmission in some blends of cassava starch edible fifilms. Carbohydr. Polym. 2004, 58, 475–481. [Google Scholar] [CrossRef]
- Baldwin, E.A.; Nisperos-Carriedo, M.O.; Hagenmaier, R.D.; Baker, R.A. Use of lipids in coatings for food products. Food Technol. 1997, 51, 56–62. [Google Scholar]
- Edhirej, A.; Sapuan, S.M.; Jawaid, M.; Zahari, N.I. Effect of various plasticizers and concentration on the physical, thermal, mechanical, and structural properties of cassava-starch-based films. Starch-Stärke. 2016, 69, 1500366. [Google Scholar] [CrossRef]
- Simona, J.; Dani, D.; Petr, S.; Marcela, N.; Jakub, T.; Bohuslava, T. Edible Films from Carrageenan/Orange Essential Oil/Trehalose—Structure, Optical Properties, and Antimicrobial Activity. Polymers 2021, 13, 332. [Google Scholar] [CrossRef] [PubMed]
- Tang, X.X.; Alavi, S.; Herald, T.J. Effects of plasticizers on the structure and properties of starch-clay nanocomposite films. Carbohy. Polym. 2008, 74, 552–558. [Google Scholar] [CrossRef]
- Zhang, Y.; Simpson, B.K.; Dumont, M.J. Effect of beeswax and carnauba wax addition on properties of gelatin films: A comparative study. Food Biosci. 2018, 26, 88–95. [Google Scholar] [CrossRef]
- Zheng, S.H.; Zhou, W.H.; Li, Z.H. Study on the mini-process of fresh-cut pear. Food Mach. 2006, 22, 66–68. [Google Scholar]
- Gheribi, R.; Puchot, L.; Verge, P.; Jaoued-Grayaa, N.; Mezni, M.; Habibi, Y.; Khwaldia, K. Development of plasticized edible films from Opuntia ficus-indica mucilage: A comparative study of various polyol plasticizers. Carbohy. Polym. 2018, 190, 204–211. [Google Scholar] [CrossRef]
- Galus, S.; Lenart, A. Effect of coating on food quality. Technol. Prog. Food Process. 2019, 2, 106–114. [Google Scholar]
- De Pena, M.; Welti-Chanes, J.; Martin-Belloso, O. Novel technologies to improve food safety and quality. Curr. Opin. Food Sci. 2019, 30, 1–7. [Google Scholar] [CrossRef]
- Tumbarski, Y.; Todorova, M.; Topuzova, M.; Georgieva, P.; Petkova, N.; Ivanov, I. Postharvest Biopreservation of Fresh Blueberries by Propolis-Containing Edible Coatings Under Refrigerated Conditions. Curr. Res. Nutr. Food Sci. J. 2022, 10, 99–112. [Google Scholar] [CrossRef]
- Hammad, K.; Elsayed, N.; Elkashef, H. Development of a whey protein concentrate/apple pomace extract edible coating for shelf life extension of fresh-cut apple. Int. Food Res. J. 2021, 28, 377–385. [Google Scholar] [CrossRef]
- Berger, C.N.; Sodha, S.V.; Shaw, R.K.; Griffin, P.M.; Pink, D.; Hand, P. Fresh fruit and vegetables as vehicles for the transmission of human pathogens. Environ. Microbiol. 2010, 12, 238–247. [Google Scholar] [CrossRef] [PubMed]
- Tahir, H.E.; Zou, X.; Shi, J.; Mahunu, G.K.; Zhai, X.; Mariod, A.A. Quality and postharvest-shelf life of cold-stored strawberry fruit as affected by gum arabic (Acacia senegal) edible coating. J. Food Biochem. 2018, 42, e12527. [Google Scholar] [CrossRef]
- Rojas-Grau, M.A.; Tapia, M.S.; Martin-Belloso, O. Using polysaccharide-based edible coatings to maintain quality of fresh-cut Fuji apples. LWT-Food Sci. Technol. 2008, 41, 139–147. [Google Scholar] [CrossRef]
- Rao, T.V.R.; Nilana, S.B.; Pinal, B.V. Composite coating of alginate olive oil enriched with antioxidants enhances postharvest quality and shelf life of ber fruit. J. Food Sci. Technol. 2016, 53, 748–756. [Google Scholar]
- Sady, S.; Błaszczyk, A.; Kozak, W.; Boryło, P.; Szindler, M. Quality assessment of innovative chitosan-based biopolymers for edible food packaging applications. Food Packag. Shelf Life 2021, 30, 100756. [Google Scholar] [CrossRef]
- Kumari, N.; Bangar, S.P.; Petrů, M.; Ilyas, R.A.; Singh, A.; Kumar, P. Development and characterization of fenugreek protein-based edible film. Foods 2021, 10, 1976. [Google Scholar] [CrossRef]







Disclaimer/Publisher’s Note: The statements, opinions and data contained in all publications are solely those of the individual author(s) and contributor(s) and not of MDPI and/or the editor(s). MDPI and/or the editor(s) disclaim responsibility for any injury to people or property resulting from any ideas, methods, instructions or products referred to in the content. |
© 2023 by the authors. Licensee MDPI, Basel, Switzerland. This article is an open access article distributed under the terms and conditions of the Creative Commons Attribution (CC BY) license (https://creativecommons.org/licenses/by/4.0/).
Share and Cite
Lin, X.; Zhang, H.; Guo, X.; Qin, Y.; Shen, P.; Peng, Q. A Novel Sodium Alginate-Carnauba Wax Film Containing Calcium Ascorbate: Structural Properties and Preservative Effect on Fresh-Cut Apples. Molecules 2023, 28, 367. https://doi.org/10.3390/molecules28010367
Lin X, Zhang H, Guo X, Qin Y, Shen P, Peng Q. A Novel Sodium Alginate-Carnauba Wax Film Containing Calcium Ascorbate: Structural Properties and Preservative Effect on Fresh-Cut Apples. Molecules. 2023; 28(1):367. https://doi.org/10.3390/molecules28010367
Chicago/Turabian StyleLin, Ximeng, Hanyu Zhang, Xi Guo, Yimin Qin, Peili Shen, and Qiang Peng. 2023. "A Novel Sodium Alginate-Carnauba Wax Film Containing Calcium Ascorbate: Structural Properties and Preservative Effect on Fresh-Cut Apples" Molecules 28, no. 1: 367. https://doi.org/10.3390/molecules28010367
APA StyleLin, X., Zhang, H., Guo, X., Qin, Y., Shen, P., & Peng, Q. (2023). A Novel Sodium Alginate-Carnauba Wax Film Containing Calcium Ascorbate: Structural Properties and Preservative Effect on Fresh-Cut Apples. Molecules, 28(1), 367. https://doi.org/10.3390/molecules28010367

