Enhanced Adsorption of Bromoform onto Microplastic Polyethylene Terephthalate Exposed to Ozonation and Chlorination
Abstract
1. Introduction
2. Results and Discussion
2.1. Characteristics of Pristine PET and Oxidized PET
2.2. Adsorption TBM on PET
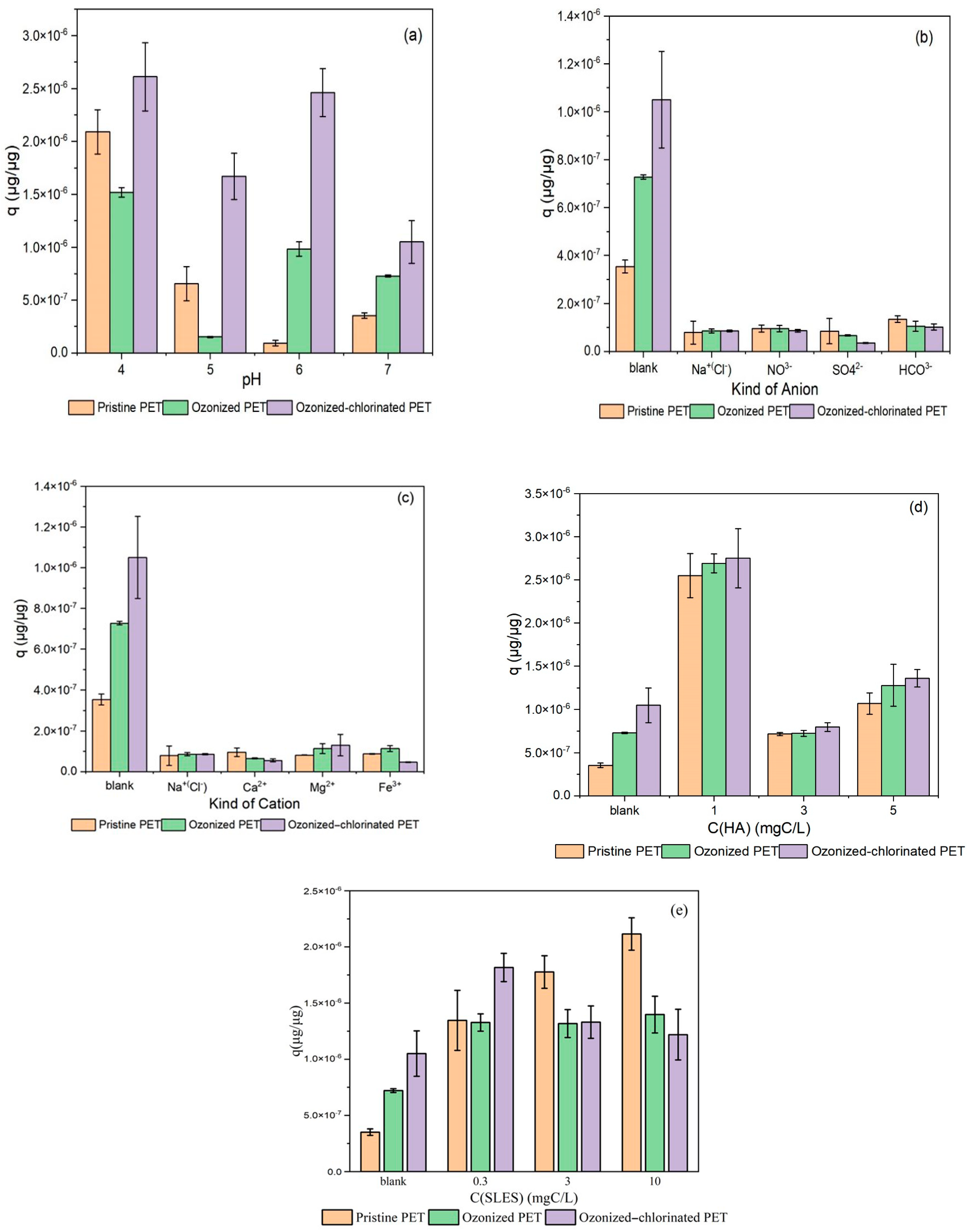
2.3. Effects of Water Quality on TBM Adsorption
2.3.1. Effects of pH
2.3.2. Effects of Inorganic Ions
2.3.3. Effects of Humic Acid
2.3.4. Effects of Anion Surfactant
2.3.5. Effects of BSA
2.4. Adsorption Mechanism
3. Materials and Methods
3.1. Materials and Regents
3.2. Oxidation of PET
3.3. Adsorption of TBM on PET
3.4. Effect of Water Quality on Adsorption
3.5. Characterization of PET
3.6. Data Analysis
3.7. Statistical Analysis
4. Conclusions
Author Contributions
Funding
Informed Consent Statement
Data Availability Statement
Conflicts of Interest
References
- Mai, L.; Sun, X.; Xia, L.; Bao, L.; Liu, L.; Zeng, E.Y. Global riverine plastic outflows. Environ. Sci. Technol. 2020, 54, 10049–10056. [Google Scholar] [CrossRef] [PubMed]
- Directive 2008/56/EC of the european parliamentand of the council of 17 june 2008: Establishing a framework for communityaction in the field of marine environmental policy. Off. J. Eur. Union 2008, L164, 19–40.
- Gündoğdu, S.; Çevik, C.; Güzel, E.; Kilercioğlu, S. Microplastics in municipal wastewater treatment plants in Turkey: A comparison of the influent and secondary effluent concentrations. Environ. Monit. Assess. 2018, 190, 626. [Google Scholar] [CrossRef]
- Mason, S.A.; Garneau, D.; Sutton, R.; Chu, Y.; Ehmann, K.; Barnes, J.; Fink, P.; Papazissimos, D.; Rogers, D.L. Microplastic pollution is widely detected in US municipal wastewater treatment plant effluent. Environ. Pollut. 2016, 218, 1045–1054. [Google Scholar] [CrossRef]
- Akdogan, Z.; Guven, B. Microplastics in the environment: A critical review of current understanding and identification of future research needs. Environ. Pollut. 2019, 254, 113011. [Google Scholar] [CrossRef]
- Elkhatib, D.; Oyanedel-Craver, V. A critical review of extraction and identification methods of microplastics in wastewater and drinking water. Environ. Sci. Technol. 2020, 54, 7037–7049. [Google Scholar] [CrossRef]
- Conley, K.; Clum, A.; Deepe, J.; Lane, H.; Beckingham, B. Wastewater treatment plants as a source of microplastics to an urban estuary: Removal efficiencies and loading per capita over one year. Water Res. X 2019, 3, 100030. [Google Scholar] [CrossRef]
- Galafassi, S.; Nizzetto, L.; Volta, P. Plastic sources: A survey across scientific and grey literature for their inventory and relative contribution to microplastics pollution in natural environments, with an emphasis on surface water. Sci. Total Environ. 2019, 693, 133499. [Google Scholar] [CrossRef]
- Li, J.; Liu, H.; Paul Chen, J. Microplastics in freshwater systems: A review on occurrence, environmental effects, and methods for microplastics detection. Water Res. 2018, 137, 362–374. [Google Scholar] [CrossRef]
- Eriksen, M.; Mason, S.; Wilson, S.; Box, C.; Zellers, A.; Edwards, W.; Farley, H.; Amato, S. Microplastic pollution in the surface waters of the Laurentian Great Lakes. Mar. Pollut. Bull. 2013, 77, 177–182. [Google Scholar] [CrossRef]
- Zbyszewski, M.; Corcoran, P.L.; Hockin, A. Comparison of the distribution and degradation of plastic debris along shorelines of the Great Lakes, North America. J. Great Lakes Res. 2014, 40, 288–299. [Google Scholar] [CrossRef]
- Mason, S.A.; Kammin, L.; Eriksen, M.; Aleid, G.; Wilson, S.; Box, C.; Williamson, N.; Riley, A. Pelagic plastic pollution within the surface waters of Lake Michigan, USA. J. Great Lakes Res. 2016, 42, 753–759. [Google Scholar] [CrossRef]
- Su, L.; Xue, Y.; Li, L.; Yang, D.; Kolandhasamy, P.; Li, D.; Shi, H. Microplastics in Taihu Lake, China. Environ. Pollut. 2016, 216, 711–719. [Google Scholar] [CrossRef] [PubMed]
- Yuan, W.; Liu, X.; Wang, W.; Di, M.; Wang, J. Microplastic abundance, distribution and composition in water, sediments, and wild fish from Poyang Lake, China. Ecotoxicol. Environ. Saf. 2019, 170, 180–187. [Google Scholar] [CrossRef] [PubMed]
- Wang, W.; Yuan, W.; Chen, Y.; Wang, J. Microplastics in surface waters of Dongting Lake and Hong Lake, China. Sci. Total Environ. 2018, 633, 539–545. [Google Scholar] [CrossRef]
- Pivokonský, M.; Pivokonská, L.; Novotná, K.; Čermáková, L.; Klimtová, M. Occurrence and fate of microplastics at two different drinking water treatment plants within a river catchment. Sci. Total Environ. 2020, 741, 140236. [Google Scholar] [CrossRef]
- Sarkar, D.J.; Das Sarkar, S.; Das, B.K.; Praharaj, J.K.; Mahajan, D.K.; Purokait, B.; Mohanty, T.R.; Mohanty, D.; Gogoi, P.; Kumar, V.S.; et al. Microplastics removal efficiency of drinking water treatment plant with pulse clarifier. J. Hazard. Mater. 2021, 413, 125347. [Google Scholar] [CrossRef]
- Wang, Z.; Lin, T.; Chen, W. Occurrence and removal of microplastics in an advanced drinking water treatment plant (ADWTP). Sci. Total Environ. 2020, 700, 134520. [Google Scholar] [CrossRef]
- Pivokonsky, M.; Cermakova, L.; Novotna, K.; Peer, P.; Cajthaml, T.; Janda, V. Occurrence of microplastics in raw and treated drinking water. Sci. Total Environ. 2018, 643, 1644–1651. [Google Scholar] [CrossRef]
- Tong, H.; Jiang, Q.; Hu, X.; Zhong, X. Occurrence and identification of microplastics in tap water from China. Chemosphere 2020, 252, 126493. [Google Scholar] [CrossRef]
- Liu, Y.; Hu, Y.; Yang, C.; Chen, C.; Huang, W.; Dang, Z. Aggregation kinetics of UV irradiated nanoplastics in aquatic environments. Water Res. 2019, 163, 114870. [Google Scholar] [CrossRef] [PubMed]
- Wijesekara, H.; Bolan, N.S.; Bradney, L.; Obadamudalige, N.; Seshadri, B.; Kunhikrishnan, A.; Dharmarajan, R.; Ok, Y.S.; Rinklebe, J.; Kirkham, M.B.; et al. Trace element dynamics of biosolids-derived microbeads. Chemosphere 2018, 199, 331–339. [Google Scholar] [CrossRef] [PubMed]
- Kelkar, V.P.; Rolsky, C.B.; Pant, A.; Green, M.D.; Tongay, S.; Halden, R.U. Chemical and physical changes of microplastics during sterilization by chlorination. Water Res. 2019, 163, 114871. [Google Scholar] [CrossRef] [PubMed]
- Fan, X.; Ma, Z.; Zou, Y.; Liu, J.; Hou, J. Investigation on the adsorption and desorption behaviors of heavy metals by tire wear particles with or without UV ageing processes. Environ. Res. 2021, 195, 110858. [Google Scholar] [CrossRef] [PubMed]
- Ye, B.; Wang, W.; Yang, L.; Wei, J.; Xueli, E. Formation and modeling of disinfection by-products in drinking water of six cities in China. J. Environ. Monit. 2011, 13, 1271–1275. [Google Scholar] [CrossRef]
- He, X.; Elkouz, M.; Inyang, M.; Dickenson, E.; Wert, E.C. Ozone regeneration of granular activated carbon for trihalomethane control. J. Hazard. Mater. 2017, 326, 101–109. [Google Scholar] [CrossRef]
- Basu, M.; Gupta, S.K.; Singh, G.; Mukhopadhyay, U. Multi-route risk assessment from trihalomethanes in drinking water supplies. Environ. Monit. Assess. 2011, 178, 121–134. [Google Scholar] [CrossRef]
- Shao, Y.; Zhou, X.; Liu, X.; Wang, L. Pre-oxidization-induced change of physicochemical characteristics and removal behaviours in conventional drinking water treatment processes for polyethylene microplastics. RSC Adv. 2020, 10, 41488–41494. [Google Scholar] [CrossRef] [PubMed]
- Liu, P.; Qian, L.; Wang, H.; Zhan, X.; Lu, K.; Gu, C.; Gao, S. New insights into the aging behavior of microplastics accelerated by advanced oxidation processes. Environ. Sci. Technol. 2019, 53, 3579–3588. [Google Scholar] [CrossRef]
- Li, Y.; Zhang, Y.; Su, F.; Wang, Y.; Peng, L.; Liu, D. Adsorption behaviour of microplastics on the heavy metal Cr(VI) before and after ageing. Chemosphere 2022, 302, 134865. [Google Scholar] [CrossRef]
- Miranda, M.N.; Lado Ribeiro, A.R.; Silva, A.M.T.; Pereira, M.F.R. Can aged microplastics be transport vectors for organic micropollutants?—Sorption and phytotoxicity tests. Sci. Total Environ. 2022, 850, 158073. [Google Scholar] [CrossRef]
- Sun, Y.; Yuan, J.; Zhou, T.; Zhao, Y.; Yu, F.; Ma, J. Laboratory simulation of microplastics weathering and its adsorption behaviors in an aqueous environment: A systematic review. Environ. Pollut. 2020, 265, 114864. [Google Scholar] [CrossRef]
- Hartmann, N.B.; Rist, S.; Bodin, J.; Jensen, L.H.S.; Schmidt, S.N.; Mayer, P.; Meibom, A.; Baun, A. Microplastics as vectors for environmental contaminants: Exploring sorption, desorption, and transfer to biota. Integr. Environ. Assess. Manag. 2017, 13, 488–493. [Google Scholar] [CrossRef]
- Prata, J.C.; Reis, V.; Paço, A.; Martins, P.; Cruz, A.; da Costa, J.P.; Duarte, A.C.; Rocha-Santos, T. Effects of spatial and seasonal factors on the characteristics and carbonyl index of (micro)plastics in a sandy beach in Aveiro, Portugal. Sci. Total Environ. 2020, 709, 135892. [Google Scholar] [CrossRef]
- Luo, H.; Zeng, Y.; Zhao, Y.; Xiang, Y.; Li, Y.; Pan, X. Effects of advanced oxidation processes on leachates and properties of microplastics. J. Hazard. Mater. 2021, 413, 125342. [Google Scholar] [CrossRef]
- Kong, F.; Xu, X.; Xue, Y.; Gao, Y.; Zhang, L.; Wang, L.; Jiang, S.; Zhang, Q. Investigation of the adsorption of sulfamethoxazole by degradable microplastics artificially aged by chemical oxidation. Arch. Environ. Contam. Toxicol. 2021, 81, 155–165. [Google Scholar] [CrossRef]
- Zhou, Y.; Yang, Y.; Liu, G.; He, G.; Liu, W. Adsorption mechanism of cadmium on microplastics and their desorption behavior in sediment and gut environments: The roles of water pH, lead ions, natural organic matter and phenanthrene. Water Res. 2020, 184, 116209. [Google Scholar] [CrossRef]
- Cortés-Arriagada, D. Elucidating the co-transport of bisphenol a with polyethylene terephthalate (PET) nanoplastics: A theoretical study of the adsorption mechanism. Environ. Pollut. 2021, 270, 116192. [Google Scholar] [CrossRef]
- Techaumnat, B.; Hamada, S.; Takuma, T. Electric field behavior near a zero-angle contact point in the presence of surface conductivity. IEEE Trns. Dielectr. Electr. Insul. 2002, 9, 537–543. [Google Scholar] [CrossRef]
- Zhang, H.; Wang, J.; Zhou, B.; Zhou, Y.; Dai, Z.; Zhou, Q.; Chriestie, P.; Luo, Y. Enhanced adsorption of oxytetracycline to weathered microplastic polystyrene: Kinetics, isotherms and influencing factors. Environ. Pollut. 2018, 243, 1550–1557. [Google Scholar] [CrossRef]
- Xu, B.; Liu, F.; Brookes, P.C.; Xu, J. Microplastics play a minor role in tetracycline sorption in the presence of dissolved organic matter. Environ. Pollut. 2018, 240, 87–94. [Google Scholar] [CrossRef]
- Lv, X.; Gao, B.; Sun, Y.; Shi, X.; Xu, H.; Wu, J. Effects of humic acid and solution chemistry on the retention and transport of cerium dioxide nanoparticles in saturated porous media. Water Air Soil Pollut. 2014, 225, 2167. [Google Scholar] [CrossRef]
- Dong, S.; Cai, W.; Xia, J.; Sheng, L.; Wang, W.; Liu, H. Aggregation kinetics of fragmental PET nanoplastics in aqueous environment: Complex roles of electrolytes, pH and humic acid. Environ. Pollut. 2021, 268, 115828. [Google Scholar] [CrossRef]
- Shen, M.; Song, B.; Zeng, G.; Zhang, Y.; Teng, F.; Zhou, C. Surfactant changes lead adsorption behaviors and mechanisms on microplastics. Chem. Eng. J. 2021, 405, 126989. [Google Scholar] [CrossRef]
- Rong, H.; He, L.; Li, M.; Zhang, M.; Yi, K.; Han, P.; Tong, M. Different electrically charged proteins result in diverse transport behaviors of plastic particles with different surface charge in quartz sand. Sci. Total Environ. 2021, 756, 143837. [Google Scholar] [CrossRef]
- Hu, J.; Li, S.; Liu, B. Adsorption of BSA onto sulfonated microspheres. Biochem. Eng. J. 2005, 23, 259–263. [Google Scholar] [CrossRef]
- Park, J.H.; Sut, T.N.; Jackman, J.A.; Ferhan, A.R.; Yoon, B.K.; Cho, N.-J. Controlling adsorption and passivation properties of bovine serum albumin on silica surfaces by ionic strength modulation and cross-linking. Phys. Chem. Chem. Phys. 2017, 19, 8854–8865. [Google Scholar] [CrossRef]
- Lee, Y.K.; Romera-Castillo, C.; Hong, S.; Hur, J. Characteristics of microplastic polymer-derived dissolved organic matter and its potential as a disinfection byproduct precursor. Water Res. 2020, 175, 115678. [Google Scholar] [CrossRef]












| Sample | Binding Energy (eV) | Half-Width(eV) | Peak Area | Area Percentage (%) | Ground |
|---|---|---|---|---|---|
| Pristine PET | 531.5199 | 1.36 | 5048.592 | 27.26 | -C=O |
| 532.1599 | 1.5 | 10,607.8 | 57.27 | -OH, O-C-O | |
| 533.5499 | 1.31 | 2864.492 | 15.47 | C-O-C=O | |
| ozonized PET | 531.74 | 1.39 | 11,764.37 | 58.30 | -C=O |
| 532.4499 | 1.27 | 4027.378 | 19.96 | -OH, O-C-O | |
| 533.4499 | 1.2 | 4387.843 | 21.74 | C-O-C=O | |
| ozonized-chlorinated PET | 531.12998 | 1.35 | 3242.759 | 18.07 | -C=O |
| 531.9599 | 1.27 | 10,664.25 | 59.44 | -OH, O-C-O | |
| 533.2099 | 1.37 | 4034.377 | 22.49 | C-O-C=O | |
| Pristine PET+TBM | 531.57 | 1.28 | 5018.695 | 27.50 | -C=O |
| 532.2899 | 1.68 | 10,229.62 | 56.06 | -OH, O-C-O | |
| 533.6699 | 1.2 | 2999.607 | 16.44 | C-O-C=O | |
| ozonized PET+TBM | 531.6399 | 1.26 | 8662.442 | 42.61 | -C=O |
| 532.6299 | 1.44 | 8070.743 | 39.70 | -OH, O-C-O | |
| 533.78999 | 1.16 | 3594.756 | 17.68 | C-O-C=O | |
| ozonized-chlorinated PET+TBM | 531.61998 | 1.34 | 7419.59 | 43.62 | -C=O |
| 532.399 | 1.52 | 6174.726 | 36.30 | -OH, O-C-O | |
| 533.58998 | 1.33 | 3416.825 | 20.09 | C-O-C=O | |
| ozonized-chlorinated PET+TBM | 531.61998 | 1.34 | 7419.59 | 43.62 | -C=O |
| 532.399 | 1.52 | 6174.726 | 36.30 | -OH, O-C-O | |
| 533.58998 | 1.33 | 3416.825 | 20.09 | C-O-C=O |
| Sample | Pseudo-First-Order Model | Pseudo-Second-Order Model | ||||
|---|---|---|---|---|---|---|
| K1 | Qe μg/μg | R2 | K2 | Qe μg/μg | R2 | |
| Pristine PET | 0.285 | 2.486 × 10−6 | 0.9381 | 16111 | 2.667 × 10−6 | 0.9332 |
| ozonized PET | 0.128 | 2.842 × 10−6 | 0.9234 | 45552 | 2.959 × 10−6 | 0.8717 |
| ozonized−chlorinated PET | 0.0593 | 3.765 × 10−6 | 0.9343 | 116381 | 1.840 × 10−6 | 0.7779 |
| Sample | Freundlich | Langmuir | D-R | ||||||
|---|---|---|---|---|---|---|---|---|---|
| k | 1/n | R2 | qm | b | R2 | Qmax | k | R2 | |
| Pristine PET | 1.1 × 10−7 | 0.879 | 0.9789 | 1.720 × 10−5 | 0.0051 | 0.9835 | 1.707 × 10−6 | 7.939 × 10−6 | 0.8012 |
| ozonized PET | 1.712 × 10−7 | 0.754 | 0.7228 | 2.388 × 10−6 | 0.0736 | 0.5190 | 1.627 × 10−6 | 4.91 × 10−6 | 0.2330 |
| ozonized-chlorinated PET | 1.592 × 10−10 | 3.222 | 0.7684 | −3.484 × 10−8 | −0.0584 | 0.7599 | 3.703 × 10−6 | 2.81 × 10−5 | 0.9660 |
Disclaimer/Publisher’s Note: The statements, opinions and data contained in all publications are solely those of the individual author(s) and contributor(s) and not of MDPI and/or the editor(s). MDPI and/or the editor(s) disclaim responsibility for any injury to people or property resulting from any ideas, methods, instructions or products referred to in the content. |
© 2022 by the authors. Licensee MDPI, Basel, Switzerland. This article is an open access article distributed under the terms and conditions of the Creative Commons Attribution (CC BY) license (https://creativecommons.org/licenses/by/4.0/).
Share and Cite
Zhu, X.; Hao, C.; Zhang, M.; Lan, B. Enhanced Adsorption of Bromoform onto Microplastic Polyethylene Terephthalate Exposed to Ozonation and Chlorination. Molecules 2023, 28, 259. https://doi.org/10.3390/molecules28010259
Zhu X, Hao C, Zhang M, Lan B. Enhanced Adsorption of Bromoform onto Microplastic Polyethylene Terephthalate Exposed to Ozonation and Chlorination. Molecules. 2023; 28(1):259. https://doi.org/10.3390/molecules28010259
Chicago/Turabian StyleZhu, Ximiao, Chenhui Hao, Mengze Zhang, and Bingyan Lan. 2023. "Enhanced Adsorption of Bromoform onto Microplastic Polyethylene Terephthalate Exposed to Ozonation and Chlorination" Molecules 28, no. 1: 259. https://doi.org/10.3390/molecules28010259
APA StyleZhu, X., Hao, C., Zhang, M., & Lan, B. (2023). Enhanced Adsorption of Bromoform onto Microplastic Polyethylene Terephthalate Exposed to Ozonation and Chlorination. Molecules, 28(1), 259. https://doi.org/10.3390/molecules28010259
