Identification of Polyphenol Derivatives as Novel SARS-CoV-2 and DENV Non-Nucleoside RdRp Inhibitors
Abstract
1. Introduction
2. Results and Discussion
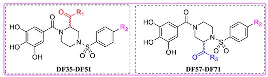
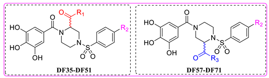
2.1. In-House Library Screening For Potent Rdrp Inhibitors
2.2. Evaluation of Virus Inhibition Activity
2.3. Antiviral Activity of DF-47 and DF-51
2.4. In Silico Study
3. Materials and Methods
3.1. Compounds and the Stock Solution
3.2. Gel-based SARS-CoV-2 RdRp Assay
3.3. Fluorescent Plate DENV RdRp Assay
3.4. Cells and Viruses
3.5. In Vitro Antiviral Assays
3.6. In Silico Study
4. Conclusions
Supplementary Materials
Author Contributions
Funding
Informed Consent Statement
Data Availability Statement
Conflicts of Interest
Abbreviations
References
- Li, H.; Liu, S.; Yu, X.; Tang, S.; Tang, C.K. Coronavirus Disease 2019 (COVID-19): Current Status and Future Perspectives. Int. J. Antimicrob. Agents 2020, 55, 105951. [Google Scholar] [CrossRef] [PubMed]
- Hu, B.; Guo, H.; Zhou, P.; Shi, Z.L. Characteristics of SARS-CoV-2 and COVID-19. Nat. Rev. Microbiol. 2021, 19, 141–154. [Google Scholar] [CrossRef] [PubMed]
- World Health Organization. WHO Coronavirus (COVID-19) Dashboard. Available online: https://covid19.who.int/ (accessed on 13 November 2022).
- Feikin, D.R.; Higdon, M.M.; Abu-Raddad, L.J.; Andrews, N.; Araos, R.; Goldberg, Y.; Groome, M.J.; Huppert, A.; O’Brien, K.L.; Smith, P.; et al. Duration of Effectiveness of Vaccines Against SARS-CoV-2 Infection and COVID-19 Disease: Results of a Systematic Review and Meta-Regression. Lancet 2022, 399, 924–944. [Google Scholar] [CrossRef]
- Malavige, G.N.; Jeewandara, C.; Ogg, G.S. Dengue and COVID-19: Two sides of the same coin. J. Biomed. Sci. 2022, 29, 48. [Google Scholar] [CrossRef]
- Prapty, C.N.B.S.; Rahmat, R.; Araf, Y.; Shounak, S.K.; Noor-A-Afrin; Rahaman, T.I.; Hosen, M.J.; Zheng, C.; Hossain, M.G. SARS-CoV-2 and dengue virus co-infection: Epidemiology, pathogenesis, diagnosis, treatment, and management. Rev. Med. Virol. 2022, e2340. [Google Scholar] [CrossRef] [PubMed]
- Oladipo, H.J.; Rabiu, I.; Tajudeen, Y.A. Dengue Virus and SARS-CoV-2 Co-infection Dynamics: An Emerging Threat Among African Countries. Ann. Med. Surg. 2022, 82, 104398. [Google Scholar] [CrossRef]
- Lim, J.T.; Dickens, B.S.L.; Chew, L.Z.X.; Choo, E.L.W.; Koo, J.R.; Aik, J.; Ng, L.C.; Cook, A.R. Impact of SARS-CoV-2 Interventions on Dengue Transmission. PLoS Negl. Trop Dis. 2020, 14, e0008719. [Google Scholar] [CrossRef]
- Vicenti, I.; Zazzi, M.; Saladini, F. SARS-CoV-2 RNA-Dependent RNA Polymerase as a Therapeutic Target for COVID-19. Expert Opin. Ther. Pat. 2021, 31, 325–337. [Google Scholar] [CrossRef]
- Jiang, Y.; Yin, W.; Xu, H.E. RNA-Dependent RNA polymerase: Structure, Mechanism, and Drug Discovery for COVID-19. Biochem. Biophys. Res. Commun. 2021, 538, 47–53. [Google Scholar] [CrossRef]
- Picarazzi, F.; Vicenti, I.; Saladini, F.; Zazzi, M.; Mori, M. Targeting the RdRp of Emerging RNA Viruses: The Structure-Based Drug Design Challenge. Molecules 2020, 25, 5695. [Google Scholar] [CrossRef]
- Lim, S.; Noble, C.; Shi, P. The Dengue Virus NS5 Protein as a Target for Drug Discovery. Antiviral. Res. 2015, 119, 57–67. [Google Scholar] [CrossRef] [PubMed]
- Nascimento, I.J.D.S.; Santos-Júnior, P.F.D.S.; Aquino, T.M.; Araújo-Júnior, J.X.; Silva-Júnior, E.F.D. Insights on Dengue and Zika NS5 RNA-Dependent RNA Polymerase (RdRp) Inhibitors. Eur. J. Med. Chem. 2021, 224, 113698. [Google Scholar] [CrossRef] [PubMed]
- Tian, L.; Qiang, T.; Liang, C.; Ren, X.; Jia, M.; Zhang, J.; Li, J.; Wan, M.; YuWen, X.; Li, H.; et al. RNA-Dependent RNA Polymerase (RdRp) Inhibitors: The Current Landscape and Repurposing for the COVID-19 Pandemic. Eur. J. Med. Chem. 2021, 213, 113201. [Google Scholar] [CrossRef] [PubMed]
- Wang, Y.; Zhang, D.; Du, G.; Du, R.; Zhao, J.; Jin, Y.; Fu, S.; Gao, L.; Cheng, Z.; Lu, Q.; et al. Remdesivir in Adults with Severe COVID-19: A Randomised, Double-blind, Placebo-controlled, Multicentre Trial. Lancet 2020, 395, 1569–1578. [Google Scholar] [CrossRef] [PubMed]
- Goldman, J.D.; Lye, D.C.B.; Hui, D.S.; Marks, K.M.; Bruno, R.; Montejano, R.; Spinner, C.D.; Galli, M.; Ahn, M.Y.; Nahass, R.G.; et al. Remdesivir for 5 or 10 Days in Patients with Severe Covid-19. N. Engl. J. Med. 2020, 383, 1827–1837. [Google Scholar] [CrossRef]
- Spinner, C.D.; Gottlieb, R.L.; Criner, G.J.; Arribas López, J.R.; Cattelan, A.M.; Soriano Viladomiu, A.; Ogbuagu, O.; Malhotra, P.; Mullane, K.M.; Castagna, A.; et al. Effect of Remdesivir vs. Standard Care on Clinical Status at 11 Days in Patients with Moderate COVID-19: A Randomized Clinical Trial. Jama-J. Am. Med. Assoc. 2020, 324, 1048–1057. [Google Scholar] [CrossRef]
- Tanni, S.E.; Silvinato, A.; Floriano, I.; Bacha, H.A.; Barbosa, A.N.; Bernardo, W.M. Use of Remdesivir in Patients with COVID-19: A Systematic Review and Meta-Analysis. J. Bras. Pneumol. 2022, 48, e20210393. [Google Scholar] [CrossRef]
- Naydenova, K.; Muir, K.W.; Wu, L.F.; Zhang, Z.; Coscia, F.; Peet, M.J.; Castro-Hartmann, P.; Qian, P.; Sader, K.; Dent, K.; et al. Structure of the SARS-CoV-2 RNA-dependent RNA Polymerase in the Presence of Favipiravir-RTP. Proc. Natl. Acad. Sci. USA 2021, 118, e2021946118. [Google Scholar] [CrossRef]
- FUJIFILM. Available online: https://www.fujifilm.com/jp/ja/news/list/8698 (accessed on 6 December 2022).
- FDA News Release. Available online: https://www.fda.gov/news-events/press-announcements/coronavirus-covid-19-update-fda-authorizes-additional-oral-antiviral-treatment-covid-19-certain (accessed on 23 July 2022).
- Good, S.S.; Westover, J.; Jung, K.H.; Zhou, X.J.; Moussa, A.; La Colla, P.; Collu, G.; Canard, B.; Sommadossi, J. AT-527, a Double Prodrug of a Guanosine Nucleotide Analog, Is a Potent Inhibitor of SARS-CoV-2 In Vitro and a Promising Oral Antiviral for Treatment of COVID-19. Antimicrob. Agents Chemother. 2021, 65, e02479-20. [Google Scholar] [CrossRef]
- Clinical Trials Arena. Atea’s AT-527 Fails to Meet Primary Goal of Phase II COVID-19 Trial. Available online: https://www.clinicaltrialsarena.com/news/atea-at-527-primary-goal/ (accessed on 23 July 2022).
- Good, S.S.; Shannon, A.; Lin, K.; Moussa, A.; Julander, J.G.; La Colla, P.; Collu, G.; Canard, B.; Sommadossi, J.P. Evaluation of AT-752, a Double Prodrug of a Guanosine Nucleotide Analog with In Vitro and In Vivo Activity against Dengue and Other Flaviviruses. Antimicrob. Agents Chemother. 2021, 65, e0098821. [Google Scholar] [CrossRef]
- Carcelli, M.; Rogolino, D.; Sechi, M.; Rispoli, G.; Fisicaro, E.; Compari, C.; Grandi, N.; Corona, A.; Tramontano, E.; Pannecouque, C.; et al. Antiretroviral activity of metal-chelating HIV-1 integrase inhibitors. Eur. J. Med. Chem. 2014, 83, 594–600. [Google Scholar] [CrossRef] [PubMed]
- Koch, U.; Attenni, B.; Malancona, S.; Colarusso, S.; Conte, I.; Di Filippo, M.; Harper, S.; Pacini, B.; Giomini, C.; Thomas, S.; et al. 2-(2-Thienyl)-5,6-dihydroxy-4-carboxypyrimidines as inhibitors of the hepatitis C virus NS5B polymerase: Discovery, SAR, modeling, and mutagenesis. J. Med. Chem. 2006, 49, 1693–1705. [Google Scholar] [CrossRef] [PubMed]
- Carcelli, M.; Rogolino, D.; Bacchi, A.; Rispoli, G.; Fisicaro, E.; Compari, C.; Sechi, M.; Stevaert, A.; Naesens, L. Metal-chelating 2-hydroxyphenyl amide pharmacophore for inhibition of influenza virus endonuclease. Mol. Pharm. 2014, 11, 304–316. [Google Scholar] [CrossRef] [PubMed]
- Wu, Y.; Crich, D.; Pegan, S.; Lou, L.; Hansen, M.; Booth, C.; Desrochers, E.; Mullininx, L.; Starling, E.; Chang, K.; et al. Polyphenols as Potential Inhibitors of SARS-CoV-2 RNA Dependent RNA Polymerase (RdRp). Molecules 2021, 26, 7438. [Google Scholar] [CrossRef] [PubMed]
- Zandi, K.; Musall, K.; Oo, A.; Cao, D.; Liang, B.; Hassandarvish, P.; Lan, S.; Slack, R.; Kirby, K.; Bassit, L.; et al. Baicalein and Baicalin Inhibit SARS-CoV-2 RNA-Dependent-RNA Polymerase. Microorganisms 2021, 9, 893. [Google Scholar] [CrossRef] [PubMed]
- Xu, H.T.; Colby-Germinario, S.P.; Hassounah, S.; Quashie, P.K.; Han, Y.; Oliveira, M.; Stranix, B.R.; Wainberg, M.A. Identification of a Pyridoxine-Derived Small-Molecule Inhibitor Targeting Dengue Virus RNA-Dependent RNA Polymerase. Antimicrob. Agents Chemother. 2015, 60, 600–608. [Google Scholar] [CrossRef] [PubMed]
- Nobori, H.; Uemura, K.; Toba, S.; Sanaki, T.; Shishido, T.; Hall, W.W.; Orba, Y.; Sawa, H.; Sato, A. Identification of quinolone derivatives as effective antiDengue virus agents. Antivir. Res. 2020, 184, 104969. [Google Scholar] [CrossRef] [PubMed]
- Gao, P.; Wang, X.; Sun, L.; Cheng, X.; Poongavanam, V.; Kongsted, J.; Álvarez, M.; Luczkowiak, J.; Pannecouque, C.; De Clercq, E.; et al. Design, synthesis, and biologic evaluation of novel galloyl derivatives as HIV-1 RNase H inhibitors. Chem. Biol. Drug Des. 2019, 93, 582–589. [Google Scholar] [CrossRef]
- Zhang, L.; Wei, F.; Borrego, D.; Zhao, F.; Río, J.M.D.; Frutos-Beltrán, E.; Zhang, J.; Xu, S.; López-Carrobles, N.; Gao, S.; et al. Design, synthesis, and biological evaluation of novel double-winged galloyl derivatives as HIV-1 RNase H inhibitors. Eur. J. Med. Chem. 2022, 240, 114563. [Google Scholar] [CrossRef]
- Gao, P.; Cheng, X.; Sun, L.; Song, S.; Álvarez, M.; Luczkowiak, J.; Pannecouque, C.; De Clercq, E.; Menéndez-Arias, L.; Zhan, P.; et al. Design, Synthesis and Biological Evaluation of 3-Hydroxyquinazoline-2,4(1H,3H)-diones as Dual Inhibitors of HIV-1 Reverse Transcriptase-associated RNase H and Integrase. Bioorg. Med. Chem. 2019, 27, 3836–3845. [Google Scholar] [CrossRef]
- Sun, L.; Gao, P.; Dong, G.; Zhang, X.; Cheng, X.; Ding, X.; Wang, X.; Daelemans, D.; De Clercq, E.; Pannecouque, C.; et al. 5-Hydroxypyrido[2,3-b]pyrazin-6(5H)-one Derivatives As Novel Dual Inhibitors of HIV-1 Reverse Transcriptase-associated Ribonuclease H and Integrase. Eur. J. Med. Chem. 2018, 155, 714–724. [Google Scholar] [CrossRef] [PubMed]
- Gao, P.; Zhang, L.; Sun, L.; Huang, T.; Tan, J.; Zhang, J.; Zhou, Z.; Zhao, T.; Menéndez-Arias, L.; Pannecouque, C.; et al. 1-Hydroxypyrido[2,3-d] Pyrimidin-2(1H)-ones As Novel Selective HIV Integrase Inhibitors Obtained Via Privileged Substructure-based Compound Libraries. Bioorg. Med. Chem. 2017, 25, 5779–5789. [Google Scholar] [CrossRef] [PubMed]
- Hillen, H.S.; Kokic, G.; Farnung, L.; Dienemann, C.; Tegunov, D.; Cramer, P. Structure of Replicating SARS-CoV-2 Polymerase. Nature 2020, 584, 154–156. [Google Scholar] [CrossRef] [PubMed]
- Wang, B.; Svetlov, V.; Wolf, Y.; Koonin, E.; Nudler, E.; Artsimovitch, I. Allosteric Activation of SARS-CoV-2 RNA-Dependent RNA Polymerase by Remdesivir Triphosphate and Other Phosphorylated Nucleotides. Mbio 2021, 12, e0142321. [Google Scholar] [CrossRef] [PubMed]
- Nguyen, H.; Thai, N.; Truong, D.; Li, M. Remdesivir Strongly Binds to Both RNA-Dependent RNA Polymerase and Main Protease of SARS-CoV-2: Evidence from Molecular Simulations. J. Phys. Chem. B 2020, 124, 11337–11348. [Google Scholar] [CrossRef] [PubMed]
- Gordon, C.; Tchesnokov, E.; Woolner, E.; Perry, J.; Feng, J.; Porter, D.; Götte, M. Remdesivir is a Direct-acting Antiviral that Inhibits RNA-dependent RNA Polymerase from Severe Acute Respiratory Syndrome Coronavirus 2 with High Potency. J. Biol. Chem. 2020, 295, 6785–6797. [Google Scholar] [CrossRef]
- Leung, S.S.; Mijalkovic, J.; Borrelli, K.; Jacobson, M.P. Testing Physical Models of Passive Membrane Permeation. J. Chem. Inf. Model. 2012, 52, 1621–1636. [Google Scholar] [CrossRef]
- Leung, S.S.; Sindhikara, D.; Jacobson, M.P. Simple Predictive Models of Passive Membrane Permeability Incorporating Size-Dependent Membrane-Water Partition. J. Chem. Inf. Model 2016, 56, 924–929. [Google Scholar] [CrossRef]
- Malet, H.; Massé, N.; Selisko, B.; Romette, J.; Alvarez, K.; Guillemot, J.; Tolou, H.; Yap, T.; Vasudevan, S.; Lescar, J.; et al. The Flavivirus Polymerase as a Target for Drug Discovery. Antiviral. Res. 2008, 80, 23–35. [Google Scholar] [CrossRef]
- Annunziata, G.; Maisto, M.; Schisano, C.; Ciampaglia, R.; Narciso, V.; Tenore, G.C.; Novellino, E. Resveratrol as a Novel Anti-Herpes Simplex Virus Nutraceutical Agent: An Overview. Viruses 2018, 10, 473. [Google Scholar] [CrossRef]
- Lin, C.; Lin, H.; Chen, T.; Hsu, Y.; Liu, C.; Hwang, G.; Wan, L. Polygonum Cuspidatum and its Active Components Inhibit Replication of the Influenza Virus through Toll-like Receptor 9-induced Interferon Beta Expression. PLoS ONE 2015, 10, e0117602. [Google Scholar]
- Xu, H.T.; Colby-Germinario, S.P.; Hassounah, S.A.; Fogarty, C.; Osman, N.; Palanisamy, N.; Han, Y.; Oliveira, M.; Quan, Y.; Wainberg, M.A. Evaluation of Sofosbuvir (β-D-2’-deoxy-2’-α-fluoro-2’-β-C-methyluridine) as an Inhibitor of Dengue Virus Replication. Sci. Rep. 2017, 7, 6345. [Google Scholar] [CrossRef] [PubMed]
- Shimizu, H.; Saito, A.; Mikuni, J.; Nakayama, E.; Koyama, H.; Honma, T.; Shirouzu, M.; Sekine, S.; Shioda, T. Discovery of a Small Molecule Inhibitor Targeting Dengue Virus NS5 RNA-Dependent RNA Polymerase. PLoS. Negl. Trop. Dis. 2019, 13, e0007894. [Google Scholar] [CrossRef] [PubMed]
- Yi, D.; Li, Q.; Pang, L.; Wang, Y.; Zhang, Y.; Duan, Z.; Liang, C.; Cen, S. Identification of a Broad-Spectrum Viral Inhibitor Targeting a Novel Allosteric Site in the RNA-Dependent RNA Polymerases of Dengue Virus and Norovirus. Front. Microbiol. 2020, 11, 1440. [Google Scholar] [CrossRef] [PubMed]
- Boudewijns, R.; Thibaut, H.; Kaptein, S.; Li, R.; Vergote, V.; Seldeslachts, L.; Van Weyenbergh, J.; De Keyzer, C.; Bervoets, L.; Sharma, S.; et al. STAT2 Signaling Restricts Viral Dissemination but Drives Severe Pneumonia in SARS-CoV-2 infected hamsters. Nat. Commun. 2020, 11, 5838. [Google Scholar] [CrossRef]
- Ivens, T.; Van den Eynde, C.; Van Acker, K.; Nijs, E.; Dams, G.; Bettens, E.; Ohagen, A.; Pauwels, R.; Hertogs, K. Development of a Homogeneous Screening Assay for Automated Detection of Antiviral Agents Active Against Severe Acute Respiratory Syndrome-associated Coronavirus. J. Virol. Methods 2005, 129, 56–63. [Google Scholar] [CrossRef]
- Jochmans, D.; Leyssen, P.; Neyts, J. A Novel Method for High-Throughput Screening to Quantify Antiviral Activity Against Viruses that Induce Limited CPE. J. Virol. Methods 2012, 183, 176–179. [Google Scholar] [CrossRef]
- Fikatas, A.; Vervaeke, P.; Meyen, E.; Llor, N.; Ordeix, S.; Boonen, I.; Bletsa, M.; Kafetzopoulou, L.; Lemey, P.; Amat, M.; et al. A Novel Series of Indole Alkaloid Derivatives Inhibit Dengue and Zika Virus Infection by Interference with the Viral Replication Complex. Antimicrob. Agents Chemother. 2021, 65, e0234920. [Google Scholar] [CrossRef]
- Friesner, R.A.; Banks, J.L.; Murphy, R.B.; Halgren, T.A.; Klicic, J.J.; Mainz, D.T.; Repasky, M.P.; Knoll, E.H.; Shelley, M.; Perry, J.K.; et al. Glide: A New Approach for Rapid, Accurate Docking and Scoring. 1. Method and Assessment of Docking Accuracy. J. Med. Chem. 2004, 47, 1739–1749. [Google Scholar] [CrossRef]
- Halgren, T.A.; Murphy, R.B.; Friesner, R.A.; Beard, H.S.; Frye, L.L.; Pollard, W.T.; Banks, J.L. Glide: A New Approach for Rapid, Accurate Docking and Scoring. 2. Enrichment Factors in Database Screening. J. Med. Chem. 2004, 47, 1750–1759. [Google Scholar] [CrossRef]








| Compounds | R1 | R2 | Inhibition Rate (%) |
|---|---|---|---|
| DF-35 | ![]() | -NH2 | 81 |
| DF-36 | ![]() | -NH2 | 87 |
| DF-47 | ![]() | -NH2 | 92 |
| DF-51 | ![]() | -CN | 90 |
| DF-57 | ![]() | -NH2 | 85 |
| DF-63 | ![]() | -NH2 | 75 |
| DF-64 | ![]() | -NH2 | 80 |
| DF-67 | ![]() | -NH2 | 83 |
| DF-68 | ![]() | -NH2 | 73 |
| DF-69 | ![]() | -NH2 | 72 |
| DF-71 | ![]() | -NH2 | 70 |
| Compounds | IC50 (µM) |
|---|---|
| DF-47 | 14 ± 2.3 |
| DF-51 | 4.8 ± 0.7 |
| Virus/Cells. | Compounds | EC50 (μM) | CC50 (μM) | Selective Index |
|---|---|---|---|---|
| SARS-CoV-2/ Vero E6 | DF-47 | >100 | >100 | - |
| DF-51 | >89 | >100 | - | |
| Remdesivir | 0.046 ± 0.0002 | 10.1 | 219.6 | |
| Baicalein | 4.5 | 86 | 19.1 | |
| DENV3/A549 | DF-47 | 51.9 ± 26.3 | >100 | >1.9 |
| DF-51 | 21.5 ± 14.9 | >100 | >4.6 |
| Compounds | Membrane dG Insert | Compounds | Membrane dG Insert |
|---|---|---|---|
| DF-35 | −23.79 | DF-51 | −19.23 |
| DF-36 | −26.28 | DF-67 | −22.99 |
| DF-47 | −21.63 | DF-69 | −21.97 |
![]() DF-47-pro | −5.50 | ![]() DF-51-pro | −5.42 |
Disclaimer/Publisher’s Note: The statements, opinions and data contained in all publications are solely those of the individual author(s) and contributor(s) and not of MDPI and/or the editor(s). MDPI and/or the editor(s) disclaim responsibility for any injury to people or property resulting from any ideas, methods, instructions or products referred to in the content. |
© 2022 by the authors. Licensee MDPI, Basel, Switzerland. This article is an open access article distributed under the terms and conditions of the Creative Commons Attribution (CC BY) license (https://creativecommons.org/licenses/by/4.0/).
Share and Cite
Gao, S.; Song, L.; Xu, H.; Fikatas, A.; Oeyen, M.; De Jonghe, S.; Zhao, F.; Jing, L.; Jochmans, D.; Vangeel, L.; et al. Identification of Polyphenol Derivatives as Novel SARS-CoV-2 and DENV Non-Nucleoside RdRp Inhibitors. Molecules 2023, 28, 160. https://doi.org/10.3390/molecules28010160
Gao S, Song L, Xu H, Fikatas A, Oeyen M, De Jonghe S, Zhao F, Jing L, Jochmans D, Vangeel L, et al. Identification of Polyphenol Derivatives as Novel SARS-CoV-2 and DENV Non-Nucleoside RdRp Inhibitors. Molecules. 2023; 28(1):160. https://doi.org/10.3390/molecules28010160
Chicago/Turabian StyleGao, Shenghua, Letian Song, Hongtao Xu, Antonios Fikatas, Merel Oeyen, Steven De Jonghe, Fabao Zhao, Lanlan Jing, Dirk Jochmans, Laura Vangeel, and et al. 2023. "Identification of Polyphenol Derivatives as Novel SARS-CoV-2 and DENV Non-Nucleoside RdRp Inhibitors" Molecules 28, no. 1: 160. https://doi.org/10.3390/molecules28010160
APA StyleGao, S., Song, L., Xu, H., Fikatas, A., Oeyen, M., De Jonghe, S., Zhao, F., Jing, L., Jochmans, D., Vangeel, L., Cheng, Y., Kang, D., Neyts, J., Herdewijn, P., Schols, D., Zhan, P., & Liu, X. (2023). Identification of Polyphenol Derivatives as Novel SARS-CoV-2 and DENV Non-Nucleoside RdRp Inhibitors. Molecules, 28(1), 160. https://doi.org/10.3390/molecules28010160














