Synthesis and Evaluation of Serinolamide Derivatives as Sphingosine-1-Phosphate-1 (S1P1) Receptor Agonists
Abstract
:1. Introduction
2. Results and Discussion
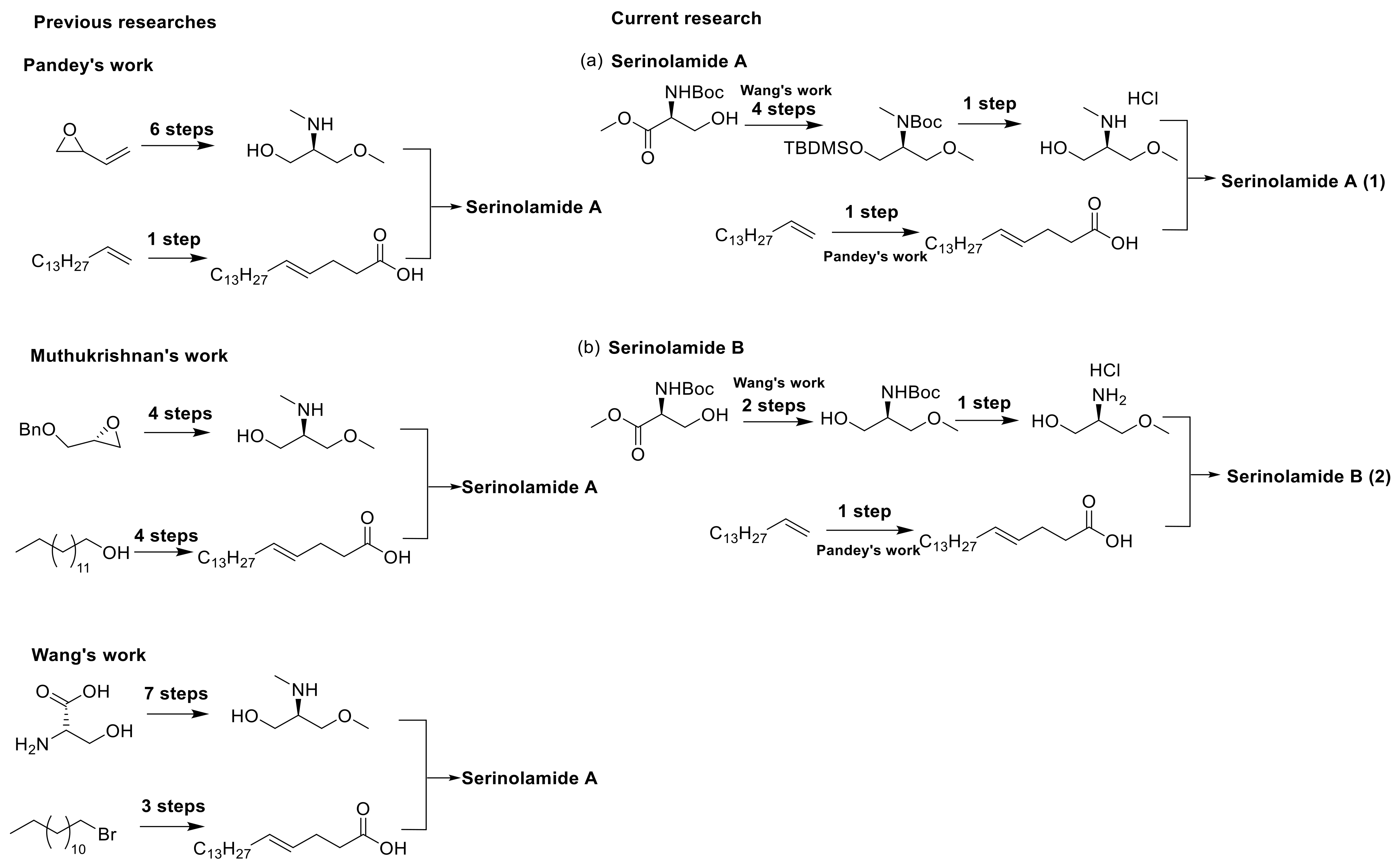
2.1. Chemical Synthesis of Serinolamide Derivatives
2.2. Chemical Synthesis of Fingolimod Analogues
2.3. Evaluation of the Synthesized Serinolamide Derivatives as S1P1 Receptor Agonists
2.4. In Vivo Reduction of Peripheral Blood Lymphocyte Count by Treatment of Compounds 19 and 21 in Mice
3. Experimental Section
3.1. General Methods
3.2. General Procedure for Amide Coupling Reaction (Method A)
3.3. General Procedure for Boc Deprotection and Deacetylation Reaction (Method B)
3.4. General Procedure for the Reductive Amination with Aldehyde (Method C)
3.4.1. Synthesis of Serinolamide A (1)
3.4.2. Synthesis of Serinolamide B (2)
3.4.3. Synthesis of (E)-N-(1,3-dihydroxypropan-2-yl)octadec-4-enamide (4)
3.4.4. Synthesis of (E)-2-(octadec-4-en-1-ylamino)propane-1,3-diol (6)
3.4.5. Synthesis of diethyl (E)-2-acetamido-2-(4-(octadec-4-enamido)benzyl)malonate (9)
3.4.6. Synthesis of 10, 11, 12
3.4.7. Synthesis of diethyl (E)-2-acetamido-2-(4-(octadec-4-en-1-ylamino)benzyl)malonate (13)
3.4.8. Synthesis of (E)-2-amino-2-(4-(octadec-4-en-1-ylamino)benzyl)propane-1,3-diol (19)
3.4.9. Synthesis of (E)-N-(4-(2-amino-3-hydroxy-2-(hydroxymethyl)propyl)phenyl)octadec-4-enamide (21)
3.5. Cell Culture
3.6. S1P1 Receptor Internalization Assay
3.7. Measurement of Peripheral Lymphocyte Count
4. Conclusions
Supplementary Materials
Author Contributions
Funding
Institutional Review Board Statement
Informed Consent Statement
Data Availability Statement
Acknowledgments
Conflicts of Interest
Sample Availability
References
- Compston, A.; Coles, A. Multiple sclerosis. Lancet 2008, 372, 1502–1517. [Google Scholar] [CrossRef]
- O’Gorman, C.; Lucas, R.; Taylor, B. Environmental Risk Factors for Multiple Sclerosis: A Review with a Focus on Molecular Mechanisms. Int. J. Mol. Sci. 2012, 13, 11718–11752. [Google Scholar] [CrossRef] [PubMed] [Green Version]
- Ghasemi, N.; Razavi, S.; Nikzad, E. Multiple Sclerosis: Pathogenesis, Symptoms, Diagnoses and Cell-Based Therapy. Cell J. 2017, 19, 1–10. [Google Scholar] [PubMed]
- Fletcher, J.M.; Lalor, S.J.; Sweeney, C.M.; Tubridy, N.; Mills, K.H. T cells in Multiple Sclerosis and Experimental Autoimmune Encephalomyelitis. Clin. Exp. Immunol. 2010, 162, 1–11. [Google Scholar] [CrossRef] [PubMed]
- Sykes, D.A.; Riddy, D.M.; Stamp, C.; Bradley, M.E.; McGuiness, N.; Sattikar, A.; Guerini, D.; Rodrigues, I.; Glaenzel, A.; Dowling, M.R.; et al. Investigating the Molecular Mechanisms through which FTY720-P Causes Persistent S1P(1) Receptor Internalization. Br. J. Pharmacol. 2014, 171, 4797–4807. [Google Scholar] [CrossRef] [PubMed] [Green Version]
- Cyster, J.G.; Schwab, S.R. Sphingosine-1-Phosphate and Lymphocyte Egress from Lymphoid Organs. Annu. Rev. Immunol. 2012, 30, 69–94. [Google Scholar] [CrossRef] [PubMed]
- Pappu, R.; Schwab, S.R.; Cornelissen, I.; Pereira, J.P.; Regard, J.B.; Xu, Y.; Camerer, E.; Zheng, Y.W.; Huang, Y.; Cyster, J.G.; et al. Promotion of Lymphocyte Egress into Blood and Lymph by Distinct Sources of Sphingosine-1-Phosphate. Science 2007, 316, 295–298. [Google Scholar] [CrossRef] [PubMed]
- Kunkel, G.T.; Maceyka, M.; Milstien, S.; Spiegel, S. Targeting the Sphingosine-1-Phosphate Axis in Cancer, Inflammation and Beyond. Nat. Rev. Drug Discov. 2013, 12, 688–702. [Google Scholar] [CrossRef] [PubMed] [Green Version]
- Gutiérrez, M.; Pereira, A.R.; Debonsi, H.M.; Ligresti, A.; Di Marzo, A.; Gerwick, W.H. A Cannabinomimetic Lipid from a Marine Cyanobacterium. J. Nat. Prod. 2011, 74, 2313–2317. [Google Scholar] [CrossRef] [PubMed] [Green Version]
- Gahalawat, S.; Pandey, S.K. Enantioselective total synthesis of (+)-serinolamide A. RSC Adv. 2015, 5, 41013. [Google Scholar] [CrossRef]
- Gao, Y.R.; Guo, S.H.; Zhang, Z.X.; Mao, S.; Zhang, Y.L.; Wang, Y.Q. Concise synthesis of (+)-serinolamide A. Tetrahedron Lett. 2013, 54, 6511–6513. [Google Scholar] [CrossRef]
- Ghotekar, G.S.; Mujahid, M.; Muthukrishnan, M. Total Synthesis of Marine Natural Products Serinolamide A and Columbamide D. ACS Omega. 2019, 4, 1322–1328. [Google Scholar] [CrossRef] [PubMed]
- Lescop, C.; Müller, C.; Mathys, B.; Birker, M.; de Kanter, R.; Kohl, C.; Hess, P.; Nayler, O.; Rey, M.; Sieber, P.; et al. Novel S1P1 receptor agonists–Part 4: Alkylaminomethyl substituted aryl head groups. Eur. J. Med. Chem. 2016, 116, 222–238. [Google Scholar] [CrossRef] [PubMed]
- Bolli, M.H.; Lescop, C.; Birker, M.; de Kanter, R.; Hess, P.; Kohl, C.; Nayler, O.; Rey, M.; Sieber, P.; Velker, J.; et al. Novel S1P1 receptor agonists–Part 5: From amino-to alkoxy-pyridines. Eur. J. Med. Chem. 2016, 115, 326–341. [Google Scholar] [CrossRef] [PubMed]
- Park, S.J.; Yeon, S.K.; Kim, Y.; Kim, H.J.; Kim, S.; Kim, J.; Choi, J.W.; Kim, B.; Lee, E.H.; Seo, S.H.; et al. Discovery of Novel Sphingosice-1-Phosphate-1 Receptor Agonists for the Treatment of Multiple Sclerosis. J. Med. Chem. 2022, 65, 3539–3562. [Google Scholar] [CrossRef] [PubMed]
- Marsolais, D.; Rosen, H. Chemical Modulators of Sphingosine-1-Phosphate Receptors as Barrier-Oriented Therapeutic Molecules. Nat. Rev. Drug Discov. 2009, 8, 297–307. [Google Scholar] [CrossRef] [PubMed] [Green Version]
- Scott, F.L.; Clemons, B.; Brooks, J.; Brahmachary, E.; Powell, R.; Dedman, H.; Desale, H.G.; Timony, G.A.; Martinborough, E.; Rosen, H.; et al. Ozanimod (RPC1063) is a Potent Sphingosine-1-Phosphate Receptor-1 (S1P(1)) and Receptor-5 (S1P(5)) Agonist with Autoimmune Disease-Modifying Activity. Br. J. Pharmacol. 2016, 173, 1778–1792. [Google Scholar] [CrossRef] [PubMed] [Green Version]






| Compounds | S1P1 Receptor Internalization 1 | ||
|---|---|---|---|
| 30 μM (% Efficacy 2) | 20 μM (% Efficacy 2) | 10 μM (% Efficacy 2) | |
| 1 (Serinolamide A) | 60.4 | 36.2 | 30.1 |
| 2 (Serinolamide B) | 53.5 | 46.4 | 31.7 |
| 4 | 27.8 | 22.5 | 15.8 |
| 6 | 0.98 | 13.7 | nd 3 |
| 9 | 44.4 | 40.1 | nd 3 |
| 10 | 41.3 | 41.2 | nd 3 |
| 11 | 69.0 | 78.0 | nd 3 |
| 12 | 84.4 | 77.8 | 43.1 |
| 13 | 22.2 | 16.7 | nd 3 |
| 19 | 147 | 107.3 | 37.8 |
| 21 | 94.2 | 97.5 | 34.2 |
Publisher’s Note: MDPI stays neutral with regard to jurisdictional claims in published maps and institutional affiliations. |
© 2022 by the authors. Licensee MDPI, Basel, Switzerland. This article is an open access article distributed under the terms and conditions of the Creative Commons Attribution (CC BY) license (https://creativecommons.org/licenses/by/4.0/).
Share and Cite
Park, S.J.; Kim, J.; Kim, J.; Kim, Y.; Lee, E.H.; Kim, H.J.; Kim, S.; Kim, B.; Kim, R.; Choi, J.W.; et al. Synthesis and Evaluation of Serinolamide Derivatives as Sphingosine-1-Phosphate-1 (S1P1) Receptor Agonists. Molecules 2022, 27, 2818. https://doi.org/10.3390/molecules27092818
Park SJ, Kim J, Kim J, Kim Y, Lee EH, Kim HJ, Kim S, Kim B, Kim R, Choi JW, et al. Synthesis and Evaluation of Serinolamide Derivatives as Sphingosine-1-Phosphate-1 (S1P1) Receptor Agonists. Molecules. 2022; 27(9):2818. https://doi.org/10.3390/molecules27092818
Chicago/Turabian StylePark, Sun Jun, Jushin Kim, Jaehwan Kim, Yoowon Kim, Elijah Hwejin Lee, Hyeon Jeong Kim, Siwon Kim, Byungeun Kim, Rium Kim, Ji Won Choi, and et al. 2022. "Synthesis and Evaluation of Serinolamide Derivatives as Sphingosine-1-Phosphate-1 (S1P1) Receptor Agonists" Molecules 27, no. 9: 2818. https://doi.org/10.3390/molecules27092818
APA StylePark, S. J., Kim, J., Kim, J., Kim, Y., Lee, E. H., Kim, H. J., Kim, S., Kim, B., Kim, R., Choi, J. W., Park, J.-H., & Park, K. D. (2022). Synthesis and Evaluation of Serinolamide Derivatives as Sphingosine-1-Phosphate-1 (S1P1) Receptor Agonists. Molecules, 27(9), 2818. https://doi.org/10.3390/molecules27092818

