Preparation of Chitosan/Clay Composites for Safe and Effective Hemorrhage Control
Abstract
:1. Introduction
2. Results and Discussion
2.1. Characterization
2.1.1. FTIR and XRD Analyses
2.1.2. SEM Observation
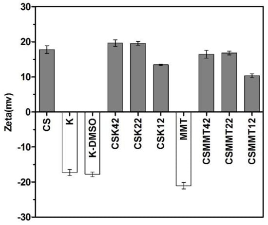
2.1.3. Zeta Potential Analysis
2.1.4. Chemical Composition Analysis
2.2. Hemostatic Mechanisms
2.2.1. APTT and PT Measurements
2.2.2. Whole Blood Clotting
2.2.3. Erythrocyte Aggregation Test
2.2.4. Thromboelastograph Analysis
2.3. Hemostasis In Vivo
2.3.1. Hemostatic Efficiency on Rat Tail Amputation
2.3.2. Hemostatic Efficiency on Rat Arteriovenous Hemorrhage
2.4. Biocompatibility Evaluation
2.4.1. Hemolytic Tests In Vitro
2.4.2. Cytotoxicity Assay
2.4.3. Acute Toxicity Test
2.4.4. Skin Irritation Test
3. Materials and Methods
3.1. Materials
3.2. Preparation of CSK Composites
3.3. Preparation of CSMMT Composites
3.4. Characterization of CSK and CSMMT Composites
3.5. In Vitro Blood Plasma Coagulation Assay
3.6. Whole Blood Clotting Tests
3.7. Erythrocyte Aggregation Test
3.8. Thromboelastograph Analysis
3.9. Hemostatic Efficiency on Rat Tail Amputation
3.10. Hemostatic Efficiency on the Rat Arteriovenous Injury Model
3.11. Hemolysis Test In Vitro
3.12. Cytotoxicity Assay
3.13. Acute Toxicity Test
3.14. Skin Irritation Test
3.15. Statistical Analysis
4. Conclusions
Author Contributions
Funding
Institutional Review Board Statement
Informed Consent Statement
Data Availability Statement
Acknowledgments
Conflicts of Interest
Sample Availability
References
- Littlejohn, L.F.; Devlin, J.J.; Kircher, S.S.; Lueken, R.; Melia, M.R.; Johnson, A.S. Comparison of Celox-A, ChitoFlex, WoundStat, and combat gauze hemostatic agents versus standard gauze dressing in control of hemorrhage in a swine model of penetrating trauma. Acad. Emerg. Med. 2011, 18, 340–350. [Google Scholar] [CrossRef] [PubMed]
- Gu, R.; Sun, W.; Zhou, H.; Wu, Z.; Meng, Z.; Zhu, X.; Tang, Q.; Dong, J.; Dou, G. The performance of a fly-larva shell-derived chitosan sponge as an absorbable surgical hemostatic agent. Biomaterials 2010, 31, 1270–1277. [Google Scholar] [CrossRef] [PubMed]
- Aird, W.C. Hemostasis and irreducible complexity. J. Thromb. Haemost. 2003, 1, 227–230. [Google Scholar] [CrossRef] [PubMed]
- Björses, K.; Holst, J. Various local hemostatic agents with different modes of action; an in vivo comparative randomized vascular surgical experimental study. Eur. J. Vasc. Endovasc. Surg. 2007, 33, 363–370. [Google Scholar] [CrossRef] [PubMed] [Green Version]
- Schonauer, C.; Tessitore, E.; Barbagallo, G.; Albanese, V.; Moraci, A. The use of local agents: Bone wax, gelatin, collagen, oxidized cellulose. Eur. Spine. J. 2004, 13, S89–S96. [Google Scholar] [CrossRef] [PubMed] [Green Version]
- Pomini, K.T.; Buchaim, D.V.; Andreo, J.C.; Rosso, M.P.O.; Della Coletta, B.B.; German, Í.J.S.; Biguetti, A.C.C.; Shinohara, A.L.; Rosa Júnior, G.M.; Cosin Shindo, J.V.T.; et al. Fibrin Sealant Derived from Human Plasma as a Scaffold for Bone Grafts Associated with Photobiomodulation Therapy. Int. J. Mol. Sci. 2019, 20, 1761. [Google Scholar] [CrossRef] [Green Version]
- Clark, R.A. Fibrin glue for wound repair: Facts and fancy. Thromb. Haemost. 2003, 90, 1003–1006. [Google Scholar]
- Farndale, R.W. Collagen-induced platelet activation. Blood. Cells Mol. Dis. 2006, 36, 162–165. [Google Scholar] [CrossRef]
- Farndale, R.W.; Sixma, J.J.; Barnes, M.J.; de Groot, P.G. The role of collagen in thrombosis and hemostasis. J. Thromb. Haemost. 2004, 2, 561–573. [Google Scholar] [CrossRef]
- Wang, C.; Luo, W.; Li, P.; Li, S.; Yang, Z.; Hu, Z.; Liu, Y.; Ao, N. Preparation and evaluation of chitosan/alginate porous microspheres/Bletilla striata polysaccharide composite hemostatic sponges. Carbohydr. Polym. 2017, 174, 432–442. [Google Scholar] [CrossRef]
- Wright, J.K.; Kalns, J.; Wolf, E.A.; Traweek, F.; Schwarz, S.; Loeffler, C.K.; Snyder, W.; Yantis, L.D.; Eggers, J. Thermal injury resulting from application of a granular mineral hemostatic agent. J. Trauma 2004, 57, 224–230. [Google Scholar] [CrossRef]
- Johnson, D.; Bates, S.; Nukalo, S.; Staub, A.; Hines, A.; Leishman, T.; Michel, J.; Sikes, D.; Gegel, B.; Burgert, J. The effects of QuikClot Combat Gauze on hemorrhage control in the presence of hemodilution and hypothermia. Ann. Med. Surg. 2014, 3, 21–25. [Google Scholar] [CrossRef]
- Cao, J.; Li, D.; Liang, W.; Wang, Y.; Wul, D. Glutaraldehyde Cross-Linked Chitosan Nanofibers: Preparation, Characterization and Application in Adsorption of Cu (II). J. Nanosci. Nanotechnol. 2016, 16, 2922–2928. [Google Scholar] [CrossRef]
- Matica, M.A.; Aachmann, F.L.; Tøndervik, A.; Sletta, H.; Ostafe, V. Chitosan as a Wound Dressing Starting Material: Antimicrobial Properties and Mode of Action. Int. J. Mol. Sci. 2019, 20, 5889. [Google Scholar] [CrossRef] [PubMed] [Green Version]
- Dowling, M.B.; Smith, W.; Balogh, P.; Duggan, M.J.; MacIntire, I.C.; Harris, E.; Mesar, T.; Raghavan, S.R.; King, D.R. Hydrophobically-modified chitosan foam: Description and hemostatic efficacy. J. Surg. Res. 2015, 193, 316–323. [Google Scholar] [CrossRef]
- Ong, S.Y.; Wu, J.; Moochhala, S.M.; Tan, M.H.; Lu, J. Development of a chitosan-based wound dressing with improved hemostatic and antimicrobial properties. Biomaterials 2008, 29, 4323–4332. [Google Scholar] [CrossRef]
- Bennett, B.L.; Littlejohn, L. Review of new topical hemostatic dressings for combat casualty care. Mil Med. 2014, 179, 497–514. [Google Scholar] [CrossRef] [Green Version]
- Alsarra, I.A. Chitosan topical gel formulation in the management of burn wounds. Int. J. Biol. Macromol. 2009, 45, 16–21. [Google Scholar] [CrossRef]
- Hu, Z.; Lu, S.; Cheng, Y.; Kong, S.; Li, S.; Li, C.; Yang, L. Investigation of the Effects of Molecular Parameters on the Hemostatic Properties of Chitosan. Molecules 2018, 23, 3147. [Google Scholar] [CrossRef] [Green Version]
- Jayakumar, R.; Prabaharan, M.; Sudheesh Kumar, P.T.; Nair, S.V.; Tamura, H. Biomaterials based on chitin and chitosan in wound dressing applications. Biotechnol. Adv. 2011, 29, 322–337. [Google Scholar] [CrossRef]
- Aguilar, A.; Zein, N.; Harmouch, E.; Hafdi, B.; Bornert, F.; Offner, D.; Clauss, F.; Fioretti, F.; Huck, O.; Benkirane-Jessel, N.; et al. Application of Chitosan in Bone and Dental Engineering. Molecules 2019, 24, 3009. [Google Scholar] [CrossRef] [Green Version]
- Detellier, C. Functional Kaolinite. Chem. Rec. 2018, 18, 868–877. [Google Scholar] [CrossRef] [PubMed]
- Liu, C.; Liu, C.; Yu, S.; Wang, N.; Yao, W.; Liu, X.; Sun, G.; Song, Q.; Qiao, W. Efficient antibacterial dextran-montmorillonite composite sponge for rapid hemostasis with wound healing. Int. J. Biol. Macromol. 2020, 160, 1130–1143. [Google Scholar] [CrossRef] [PubMed]
- Fan, X.; Wang, S.; Fang, Y.; Li, P.; Zhou, W.; Wang, Z.; Chen, M.; Liu, H. Tough polyacrylamide-tannic acid-kaolin adhesive hydrogels for quick hemostatic application. Mater. Sci. Eng. C Mater. Biol. Appl. 2020, 109, 110649. [Google Scholar] [CrossRef] [PubMed]
- Gan, C.; Hu, H.; Meng, Z.; Zhu, X.; Gu, R.; Wu, Z.; Wang, H.; Wang, D.; Gan, H.; Wang, J.; et al. Characterization and Hemostatic Potential of Two Kaolins from Southern China. Molecules 2019, 24, 3160. [Google Scholar] [CrossRef] [Green Version]
- Carrott, P.W.; Low, D.E. Advances in the management of esophageal perforation. Thorac. Surg. Clin. 2011, 21, 541–555. [Google Scholar] [CrossRef] [PubMed]
- Oscarson, D.W. Lysis of Erythrocytes by Silicate Minerals. Clays. Clay. Miner. 1986, 34, 74–80. [Google Scholar] [CrossRef]
- Khan, M.A.; Mujahid, M. A review on recent advances in chitosan based composite for hemostatic dressings. Int. J. Biol. Macromol. 2019, 124, 138–147. [Google Scholar] [CrossRef]
- Hu, Z.; Zhang, D.Y.; Lu, S.T.; Li, P.W.; Li, S.D. Chitosan-Based Composite Materials for Prospective Hemostatic Applications. Mar. Drugs 2018, 16, 273. [Google Scholar] [CrossRef] [Green Version]
- Elsabahy, M.; Hamad, M.A. Design and Preclinical Evaluation of Chitosan/Kaolin Nanocomposites with Enhanced Hemostatic Efficiency. Mar. Drugs 2021, 19, 50. [Google Scholar] [CrossRef]
- Sun, X.; Tang, Z.; Pan, M.; Wang, Z.; Yang, H.; Liu, H. Chitosan/kaolin composite porous microspheres with high hemostatic efficacy. Carbohydr. Polym. 2017, 177, 135–143. [Google Scholar] [CrossRef] [PubMed]
- Zaharia, A.; Perrin, F.X.; Teodorescu, M.; Radu, A.L.; Iordache, T.V.; Florea, A.M.; Donescu, D.; Sarbu, A. New organophilic kaolin clays based on single-point grafted 3-aminopropyl dimethylethoxysilane. Phys. Chem. Chem. Phys. 2015, 17, 24908–24916. [Google Scholar] [CrossRef] [PubMed]
- Branca, C.; Khouzami, K.; Wanderlingh, U.; D’Angelo, G. Effect of intercalated chitosan/clay nanostructures on concentrated pluronic F127 solution: A FTIR-ATR, DSC and rheological study. J. Colloid Interface Sci. 2018, 517, 221–229. [Google Scholar] [CrossRef]
- Jimtaisong, A.; Sarakonsri, T. Chitosan intercalated bentonite as natural adsorbent matrix for water-soluble sappanwood dye. Int. J. Biol. Macromol. 2019, 129, 737–743. [Google Scholar] [CrossRef] [PubMed]
- Heidmann, I.; Christl, I.; Leu, C.; Kretzschmar, R. Competitive sorption of protons and metal cations onto kaolinite: Experiments and modeling. J. Colloid Interface Sci. 2005, 282, 270–282. [Google Scholar] [CrossRef] [PubMed]
- Leroy, P.; Weigand, M.; Mériguet, G.; Zimmermann, E.; Tournassat, C.; Fagerlund, F.; Kemna, A.; Huisman, J.A. Spectral induced polarization of Na-montmorillonite dispersions. J. Colloid Interface Sci. 2017, 505, 1093–1110. [Google Scholar] [CrossRef] [PubMed] [Green Version]
- Radmanesh, F.; Rijnaarts, T.; Moheb, A.; Sadeghi, M.; de Vos, W.M. Enhanced selectivity and performance of heterogeneous cation exchange membranes through addition of sulfonated and protonated Montmorillonite. J. Colloid Interface Sci. 2019, 533, 658–670. [Google Scholar] [CrossRef]
- Benzon, H.T.; Park, M.; McCarthy, R.J.; Kendall, M.C.; Lindholm, P.F. Mixing Studies in Patients with Prolonged Activated Partial Thromboplastin Time or Prothrombin Time. Anesth. Analg. 2019, 128, 1089–1096. [Google Scholar] [CrossRef]
- Luddington, R.J. Thrombelastography/thromboelastometry. Clin. Lab. Haematol. 2005, 27, 81–90. [Google Scholar] [CrossRef]
- Long, M.; Zhang, Y.; Huan, P.; Chang, S.; Hu, Y.H.; Yang, Q.; Mao, L.F.; Yang, H.M. Emerging Nanoclay Composite for Effective Hemostasis. Adv. Funct. Mater. 2017, 28, 1704452. [Google Scholar] [CrossRef]
- Lan, G.; Lu, B.; Wang, T.; Wang, L.; Chen, J.; Yu, K.; Liu, J.; Dai, F.; Wu, D. Chitosan/gelatin composite sponge is an absorbable surgical hemostatic agent. Colloids Surf. B Biointerfaces 2015, 136, 1026–1034. [Google Scholar] [CrossRef] [PubMed]
- Wang, X.; Guan, J.; Zhuang, X.; Li, Z.; Huang, S.; Yang, J.; Liu, C.; Li, F.; Tian, F.; Wu, J.; et al. Exploration of Blood Coagulation of N-Alkyl Chitosan Nanofiber Membrane in Vitro. Biomacromolecules 2018, 19, 731–739. [Google Scholar] [CrossRef] [PubMed]
- Mu, Y.; Fu, Y.; Li, J.; Shao, K.; Pang, J.; Su, C.; Cai, Y.; Sun, X.; Cong, X.; Chen, X.; et al. Thrombin immobilized polydopamine-diatom biosilica for effective hemorrhage control. Biomater. Sci. 2021, 9, 4952–4967. [Google Scholar] [CrossRef]
- Zhang, K.; Li, J.; Wang, Y.; Mu, Y.; Sun, X.; Su, C.; Dong, Y.; Pang, J.; Huang, L.; Chen, X.; et al. Hydroxybutyl chitosan/diatom-biosilica composite sponge for hemorrhage control. Carbohydr. Polym. 2020, 236, 116051. [Google Scholar] [CrossRef] [PubMed]
- Zhao, Y.; Xiao, A.; Wu, P.; Chen, F.; Zhang, Q.; Liang, X.; Han, X.; Shi, X.; Li, Y.; Chen, Y. Fabrication of Hydroxypropyl Chitosan/Soy Protein Isolate Hydrogel for Effective Hemorrhage Control. Tissue Eng. Part A 2021, 27, 788–795. [Google Scholar] [CrossRef] [PubMed]
- Sundaram, M.N.; Mony, U.; Varma, P.K.; Rangasamy, J. Vasoconstrictor and coagulation activator entrapped chitosan based composite hydrogel for rapid bleeding control. Carbohydr. Polym. 2021, 258, 117634. [Google Scholar] [CrossRef] [PubMed]
- Zhang, J.; Xue, S.; Zhu, X.; Zhao, Y.; Chen, Y.; Tong, J.; Shi, X.; Du, Y.; Zhong, Z.; Ye, Q. Emerging chitin nanogels/rectorite nanocomposites for safe and effective hemorrhage control. J. Mater. Chem. B 2019, 7, 5096–5103. [Google Scholar] [CrossRef] [PubMed]
- Capone, A.; Safar, P.; Stezoski, S.W.; Peitzman, A.; Tisherman, S. Uncontrolled hemorrhagic shock outcome model in rats. Resuscitation 1995, 29, 143–152. [Google Scholar] [CrossRef]
- Liu, C.; Liu, X.; Liu, C.; Wang, N.; Chen, H.; Yao, W.; Sun, G.; Song, Q.; Qiao, W. A highly efficient, in situ wet-adhesive dextran derivative sponge for rapid hemostasis. Biomaterials 2019, 205, 23–37. [Google Scholar] [CrossRef]
- Chen, H.; Shang, X.; Yu, L.; Xiao, L.; Fan, J. Safety evaluation of a low-heat producing zeolite granular hemostatic dressing in a rabbit femoral artery hemorrhage model. J. Biomater. Appl. 2020, 34, 988–997. [Google Scholar] [CrossRef]
- Torlopov, M.A.; Drozd, N.N.; Paderin, N.M.; Tarabukin, D.V.; Udoratina, E.V. Hemocompatibility, biodegradability and acute toxicity of acetylated cellulose nanocrystals of different types in comparison. Carbohydr. Polym. 2021, 269, 118307. [Google Scholar] [CrossRef] [PubMed]












| Element | K | K−DMSO | CSK42 | CSK22 | CSK12 | MMT | CSMMT42 | CSMMT22 | CSMMT12 |
|---|---|---|---|---|---|---|---|---|---|
| Si | 25.47 | 22.86 | 25.37 | 25.37 | 25.42 | 34.44 | 37.05 | 36.46 | 36.09 |
| Al | 22.88 | 20.82 | 22.68 | 22.86 | 22.86 | 7.510 | 6.910 | 6.920 | 6.890 |
| Ca | 0.023 | 0.020 | 0.006 | 0.003 | 0.004 | 1.380 | 0.510 | 0.507 | 0.517 |
| Na | 0.205 | 0.175 | 0.016 | 0.017 | 0.014 | 1.590 | 0.460 | 0.471 | 0.463 |
| S | 0.022 | 3.950 | 0.111 | 0.101 | 0.102 | 0.006 | 0.010 | 0.014 | 0.006 |
| Fe | 0.312 | 0.261 | 0.328 | 0.319 | 0.298 | 0.646 | 0.687 | 0.667 | 0.575 |
| Samples | R (min) | K (min) | Angle (Deg) | MA (mm) |
|---|---|---|---|---|
| Control | 2.40 ± 0.30 | 0.87 ± 0.12 | 78.03 ± 1.99 | 80.13 ± 1.81 |
| CS | 2.23 ± 0.35 | 0.80 | 79.87 ± 1.18 | 83.60 ± 4.87 |
| K | 0.37 ± 0.12 ** | 0.80 | 84.07 ± 0.98 * | 83.73 ± 2.02 |
| MMT | 0.40 ± 0.10 ** | 0.80 | 84.90 ± 1.82 * | 86.60 ± 7.61 * |
| CSK22 | 0.50 ± 0.17 ** | 0.80 | 84.03 ± 1.42 * | 86.27 ± 5.80 * |
| CSMMT22 | 0.33 ± 0.06 ** | 0.80 | 85.53 ± 1.05 ** | 86.97 ± 6.47 * |
Publisher’s Note: MDPI stays neutral with regard to jurisdictional claims in published maps and institutional affiliations. |
© 2022 by the authors. Licensee MDPI, Basel, Switzerland. This article is an open access article distributed under the terms and conditions of the Creative Commons Attribution (CC BY) license (https://creativecommons.org/licenses/by/4.0/).
Share and Cite
Yang, Z.; Ye, T.; Ma, F.; Zhao, X.; Yang, L.; Dou, G.; Gan, H.; Wu, Z.; Zhu, X.; Gu, R.; et al. Preparation of Chitosan/Clay Composites for Safe and Effective Hemorrhage Control. Molecules 2022, 27, 2571. https://doi.org/10.3390/molecules27082571
Yang Z, Ye T, Ma F, Zhao X, Yang L, Dou G, Gan H, Wu Z, Zhu X, Gu R, et al. Preparation of Chitosan/Clay Composites for Safe and Effective Hemorrhage Control. Molecules. 2022; 27(8):2571. https://doi.org/10.3390/molecules27082571
Chicago/Turabian StyleYang, Zhiyuan, Tong Ye, Fei Ma, Xinhong Zhao, Lei Yang, Guifang Dou, Hui Gan, Zhuona Wu, Xiaoxia Zhu, Ruolan Gu, and et al. 2022. "Preparation of Chitosan/Clay Composites for Safe and Effective Hemorrhage Control" Molecules 27, no. 8: 2571. https://doi.org/10.3390/molecules27082571
APA StyleYang, Z., Ye, T., Ma, F., Zhao, X., Yang, L., Dou, G., Gan, H., Wu, Z., Zhu, X., Gu, R., & Meng, Z. (2022). Preparation of Chitosan/Clay Composites for Safe and Effective Hemorrhage Control. Molecules, 27(8), 2571. https://doi.org/10.3390/molecules27082571
