Diterpenoid Alkaloids Isolated from Delphinium brunonianum and Their Inhibitory Effects on Hepatocytes Lipid Accumulation
Abstract
:1. Introduction
2. Results and Discussion
2.1. Structure Elucidation of Compounds
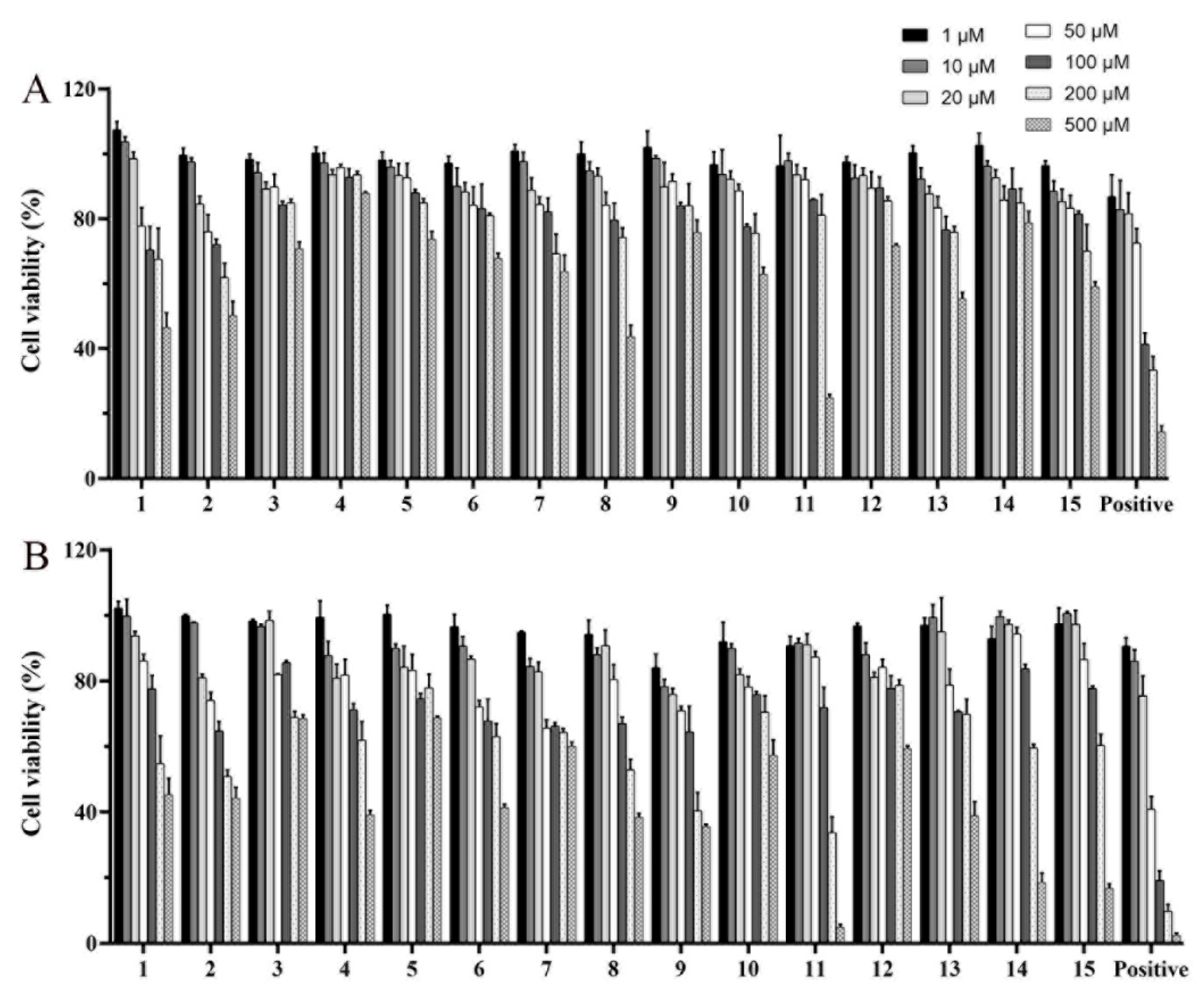
2.2. Cell Viability of Fifteen Isolated Compound and Positive Drug in BRL Cells
2.3. The Inhibitory Effects of Isolated Compounds on Lipid Accumulation in FFA-Induced BRL Cells
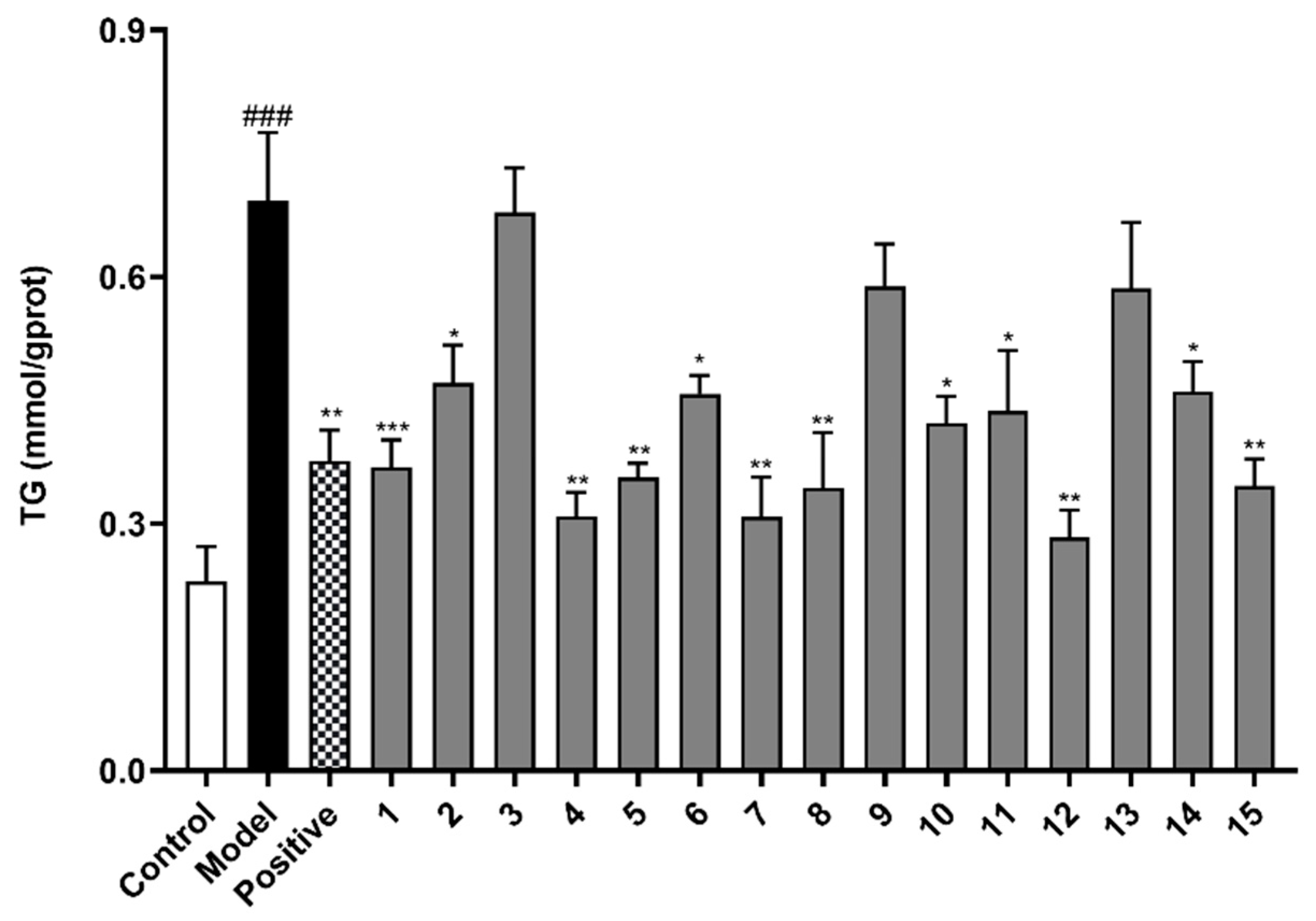
2.3.1. TG, TC, ALT, and AST Levels of Fifteen Isolated Compounds in FFA-Induced BRL Cells
2.3.2. Oil Red O Staining of Lipid Droplets and Quantitative Analysis in FFA-Induced BRL Cells
2.4. Preliminary Mechanism Study of Five Isolated Compounds Based on Network Pharmacology Method
2.4.1. Prediction of Underlying Mechanism for Five Isolated Compounds in the Treatment of NAFLD
2.4.2. Effects of Compound 12 on Fatty Acid Synthesis in FFA Mixture-Induced BRL Cells
3. Materials and Methods
3.1. General Experimental Procedures
3.2. Plant Material
3.3. Extraction and Isolation
3.4. Characterization of Compounds 1–4
3.5. Effects of Fifteen Isolated Compounds on Cell Activity
3.6. Effects of Fifteen Isolated Compounds on the Inhibition of Lipid Accumulation in FFA-Induced BRL Cells
3.6.1. TG, TC, ALT, and AST Quantification of Fifteen Isolated Compounds in FFA-Induced BRL Cells
3.6.2. Oil Red O Staining Assay
3.7. Underlying Mechanism Study of Five Isolated Compounds Based on Network Pharmacology
3.7.1. Prediction of Potential Targets of Action for Five Isolated Compounds in the Treatment of NAFLD
3.7.2. Target Protein Interaction (PPI) Core Network Construction
3.7.3. Effects of Compound 12 on Fatty Acid Synthesis in FFA Mixture-Induced BRL Cells
3.8. Statistical Analysis
4. Conclusions
Supplementary Materials
Author Contributions
Funding
Institutional Review Board Statement
Informed Consent Statement
Data Availability Statement
Conflicts of Interest
Sample Availability
Abbreviations
References
- Friedman, S.L.; Neuschwander-Tetri, B.A.; Mary, R.; Sanyal, A.J.J.N.M. Mechanisms of NAFLD development and therapeutic strategies. Nat. Med. 2018, 24, 908–922. [Google Scholar] [CrossRef] [PubMed]
- Yan, T.; Yan, N.; Wang, P.; Xia, Y.; Hao, H.; Wang, G.; Gonzalez, F.J. Herbal drug discovery for the treatment of nonalcoholic fatty liver disease. Acta Pharm. Sin. B 2020, 10, 3–18. [Google Scholar] [CrossRef] [PubMed]
- Singh, S.; Osna, N.A.; Kharbanda, K.K. Treatment options for alcoholic and non-alcoholic fatty liver disease: A review. World J. Gastroenterol. 2017, 23, 6549–6570. [Google Scholar] [CrossRef] [PubMed]
- The Chinese Academy of Sciences; Flora Reipublicae Popularis Sinicae Editorial Board. Flora Reipublicae Popularis Sinicae; Science Press: Beijing, China, 1979; p. 365. [Google Scholar]
- Thawabteh, A.M.; Thawabteh, A.; Lelario, F.; Bufo, S.A.; Scrano, L. Classification, Toxicity and Bioactivity of Natural Diterpenoid Alkaloids. Molecules. 2021, 26, 4103. [Google Scholar] [CrossRef]
- Tang, Q.; Chen, S.; Rizvi, S.A.H.; Qu, J.; Wang, L.; Wang, S.; Ma, C.; Liu, L.; Kang, W. Two Alkaloids from Delphinium brunonianum Royle, Their Anti-inflammatory and Anti-oxidative Stress Activity via NF-κB Signaling Pathway. Front. Nutr. 2022, 20, 826957. [Google Scholar] [CrossRef] [PubMed]
- Asif, H.; Alamgeer; Ahmad, M.I.; Alotaibi, N.H.; Alharbi, K.S.; Bukhari, S.N.A.; Saleem, H.; Locatelli, M. Phytochemical analysis and reappraisal of diuretic activity of Delphinium brunonianum Royle and its mode of action in experimental rats. Pak. J. Pharm. Sci. 2020, 33, 1833–1838. [Google Scholar]
- Song, Z.; Gao, C.; Jiang, Q.; Xu, J.; Xiong, L.; Liu, K.; Sun, D.; Li, H.; Chen, L. Diterpenoid alkaloids from Delphinium forrestii var. viride and their anti-inflammation activity. Phytochemistry. 2021, 192, 112971. [Google Scholar] [CrossRef] [PubMed]
- Asif, H.; Alamgeer; Bukhari, I.A.; Vohra, F.; Afzal, S.; Khan, S.W.; Niazi, Z.R. Phytochemical analysis of crude extract of Delphinium brunonianum and its effect on hypertension and metabolic perturbations in fructose fed rats. Nat. Prod. Res. 2021, 35, 2982–2986. [Google Scholar] [CrossRef] [PubMed]
- Ulubelen, A.; Desai, H.K.; Teng, Q.; Mericli, A.H.; Meriçli, F.; Kolak, U.S.; Arfan, M.; Lee, C.K.; Pelletier, S.W. Delbruninol, a New Norditerpenoid Alkaloid from Delphinium brunonianum Royle. Heterocycles 1999, 8, 1897–1903. [Google Scholar]
- Wei, D.; Liang, S.W.; Wei, L.S.J.H. Three New C19-Diterpenoid Alkaloids, Delbrunine, Delbruline and Delbrusine from Delphinium brunonianum Royle. Heterocycles 1986, 24, 4. [Google Scholar]
- Zou, Y.S.; Dawa, Z.; Lin, C.Z.; Zhang, Q.Y.; Yao, Y.F.; Yuan, Y.; Zhu, C.C.; Wang, Z.Y. New amide alkaloids from Delphinium brunonianum. Fitoterapia 2019, 136, 104186. [Google Scholar] [CrossRef]
- Wada, K.; Chiba, R.; Kanazawa, R.; Matsuoka, K.; Suzuki, M.; Ikuta, M.; Goto, M.; Yamashita, H.; Lee, K.H. Six new norditerpenoid alkaloids from Delphinium elatum. Phytochem. Lett. 2015, 12, 79–83. [Google Scholar] [CrossRef]
- Gabbasov, T.M.; Tsyrlina, E.M.; Spirikhin, L.V.; Danilov, V.T.; Iunusov, M.S. Uraline, a new norditerpenoid alkaloid from aerial parts of Delphinium uralense nevski. Bioorg. Khim. 2005, 31, 425–429. [Google Scholar] [CrossRef] [PubMed]
- Lu, J.; Desai, H.K.; Ross, S.A.; Sayed, H.M.; Pelletier, S.W. New Norditerpenoid Alkaloids from the Leaves of Delphinium ajacis. J. Nat. Prod. 1993, 56, 2098–2103. [Google Scholar] [CrossRef]
- Morita, H.; Aisa, H.A.; Chen, L.; Hirasawa, Y.; Arai, H.J.C. A New Diterpenoid Alkaloid, Sharwuphinine A from Delphinium sharwurense. Heterocycles 2010, 41, 607–612. [Google Scholar] [CrossRef]
- Gu, D.Y.; Aisa, H.A.; Usmanova, S.K. Shawurensine, a new C19-diterpenoid alkaloid from Delphinium shawurense. Chem. Nat. Compd. 2007, 43, 298–301. [Google Scholar] [CrossRef]
- Ahn, J.; Lee, H.; Jung, C.H.; Ha, S.Y.; Seo, H.D.; Kim, Y.I.; Ha, T. 6-Gingerol Ameliorates Hepatic Steatosis via HNF4α/miR-467b-3p/GPAT1 Cascade. Cell. Mol. Gastroenterol. Hepatol. 2021, 12, 1201–1213. [Google Scholar] [CrossRef]
- Cerda, A.; Bortolin, R.H.; Manriquez, V.; Salazar, L.; Zambrano, T.; Fajardo, C.M.; Hirata, M.H.; Hirata, R.D.C. Effect of statins on lipid metabolism-related microRNA expression in HepG2 cells. Pharmacol. Rep. 2021, 73, 868–880. [Google Scholar] [CrossRef]
- Genvigir, F.D.; Rodrigues, A.C.; Cerda, A.; Arazi, S.S.; Willrich, M.A.; Oliveira, R.; Hirata, M.H.; Dorea, E.L.; Bernik, M.M.; Curi, R.; et al. Effects of lipid-lowering drugs on reverse cholesterol transport gene expressions in peripheral blood mononuclear and HepG2 cells. Pharmacogenomics 2010, 11, 1235–1246. [Google Scholar] [CrossRef] [PubMed]
- Zhang, Y.; Park, J.; Han, S.J.; Park, I.; Huu, T.N.; Kim, J.S.; Woo, H.A.; Lee, S.R. The critical role of redox regulation of PTEN and peroxiredoxin III in alcoholic fatty liver. Free Radic. Biol. Med. 2021, 162, 141–148. [Google Scholar] [CrossRef]
- Jang, J.; Jung, Y.; Chae, S.; Cho, S.H.; Yoon, M.; Yang, H.; Shin, S.S.; Yoon, Y. Gangjihwan, a polyherbal composition, inhibits fat accumulation through the modulation of lipogenic transcription factors SREBP1C, PPARγ and C/EBPα. J. Ethnopharmacol. 2018, 210, 10–22. [Google Scholar] [CrossRef] [PubMed]
- Ju, U.I.; Jeong, D.W.; Seo, J.; Park, J.B.; Park, J.W.; Suh, K.S.; Kim, J.B.; Chun, Y.S. Neddylation of sterol regulatory element-binding protein 1c is a potential therapeutic target for nonalcoholic fatty liver treatment. Cell Death Dis. 2020, 11, 283. [Google Scholar] [CrossRef] [PubMed] [Green Version]
- Zhang, X.; Zhang, Y.; Gao, W.; Guo, Z.; Wang, K.; Liu, S.; Duan, Z.; Chen, Y. Naringin improves lipid metabolism in a tissue-engineered liver model of NAFLD and the underlying mechanisms. Life Sci. 2021, 277, 119487. [Google Scholar] [CrossRef]
- Hu, J.; Hong, W.; Yao, K.N.; Zhu, X.H.; Chen, Z.Y.; Ye, L. Ursodeoxycholic acid ameliorates hepatic lipid metabolism in LO2 cells by regulating the AKT/mTOR/SREBP-1 signaling pathway. World J. Gastroenterol. 2019, 25, 1492–1501. [Google Scholar] [CrossRef]
- Chen, X.; Tan, Q.Q.; Tan, X.R.; Li, S.J.; Zhang, X.X. Circ_0057558 promotes nonalcoholic fatty liver disease by regulating ROCK1/AMPK signaling through targeting miR-206. Cell Death Dis. 2021, 12, 809. [Google Scholar] [CrossRef] [PubMed]
- An, J.P.; Dang, L.H.; Ha, T.K.Q.; Pham, H.T.T.; Lee, B.W.; Lee, C.H.; Oh, W.K. Flavone glycosides from Sicyos angulatus and their inhibitory effects on hepatic lipid accumulation. Phytochemistry 2019, 157, 53–63. [Google Scholar] [CrossRef] [PubMed]
- Ibrahim, M.A.; Na, M.; Oh, J.; Schinazi, R.F.; McBrayer, T.R.; Whitaker, T.; Doerksen, R.J.; Newman, D.J.; Zachos, L.G.; Hamann, M.T. Significance of endangered and threatened plant natural products in the control of human disease. Proc. Natl. Acad. Sci. USA 2013, 110, 16832–16837. [Google Scholar] [CrossRef] [Green Version]
- Zhang, S.; Zheng, L.; Dong, D.; Xu, L.; Yin, L.; Qi, Y.; Han, X.; Lin, Y.; Liu, K.; Peng, J. Effects of flavonoids from Rosa laevigata Michx fruit against high-fat diet-induced non-alcoholic fatty liver disease in rats. Food Chem. 2013, 141, 2108–2116. [Google Scholar] [CrossRef] [PubMed]








| Position | Brunodelphinine B (1), MeOD | Brunodelphinine C (2), CDCl3 | Brunodelphinine D (3), MeOD | Brunodelphinine E (4), DMSO | ||||
|---|---|---|---|---|---|---|---|---|
| δC, Type | δH (J in Hz) | δC, Type | δH (J in Hz) | δC, Type | δH (J in Hz) | δC, Type | δH (J in Hz) | |
| 1 | 89.6, CH | 3.82 m | 80.2, CH | 3.26 s | 91.9, CH | 3.25 q (4.6) | 34.8, CH2 | 1.9 m |
| 1.46 d (9.7) | ||||||||
| 2 | 129.6, CH | 5.98 dd (9.7, 1.4) | 24.4, CH2 | 1.85 m | 23.7, CH2 | 2.09 m | 18.3, CH2 | 1.22 dd (8.0, 4.0) |
| 1.48 m | 32.9, CH2 | 1.04 m | - | 1.52 d (16.3) | ||||
| 3 | 148.8, CH | 7.02 tt (19.7, 7.3) | 28.4, CH2 | 1.76 m | 1.88 m | 36.3, CH2 | 1.78 d (13.3) | |
| 1.59 m | 1.60 m | 1.22 dd (8.0, 4.0) | ||||||
| 4 | 40.7, C | 44.5, C | 39.7, C | - | 36.3, C | - | ||
| 5 | 38.3, CH | 2.95 dd (10.8, 6.6) | 48.4, CH | 1.76 s | 49.8, CH | 2.22 s | 44.7, CH | 1.42 d (8.6) |
| 6 | 202.2, C | - | 89.2, CH | 3.63 d (1.3) | 88.5, CH | 3.99 t (6.6) | 18.9, CH2 | 1.09 d (13.4) |
| 1.52 d (16.3) | ||||||||
| 7 | 77.1, CH | 4.23 s | 90.4, C | - | 209.3, C | - | 67.2, CH | 3.76 dd (11.6, 4.1) |
| 8 | 45.5, CH | 2.04 s | 80.9, C | - | 74.4, C | - | 42.2, C | - |
| 9 | 39.4, CH | 3.31 m | 41.9, CH | 3.59 t (5.4) | 41.6, CH | 3.63 s | 39.4, CH | 2.03 t (8.6) |
| 10 | 56.1, CH | 2.87 dd (9.7, 5.0) | 47.1, CH | 2.08 m | 45.3, CH | 2.67 m | 44.9, C | |
| 11 | 50.8, C | - | 49.5, C | - | 46.4, C | - | 27.5, CH2 | 1.70 d (5.4) |
| 12 | 27.7, CH2 | 2.16 m | 26.5, CH2 | 1.87 m | 26.9, CH2 | 1.50 dd (15.3, 7.9) | 35.5, CH2 | 2.33 m |
| 1.72 m | 1.65 m | 2.16 dd (15.3, 7.9) | - | |||||
| 13 | 21.8, CH2 | 2.06 m | 35.6, CH | 2.42 s | 37.0, CH | 2.54 m | 24.8, CH2 | 1.60 d (14.9) |
| 1.35 m | 1.38 d (8.6) | |||||||
| 14 | 174.6, C | - | 73.9, CH | 3.99 d (5.5) | 76.0, CH | 4.13 t (4.5) | 27.8, CH2 | 1.15 dd (21.9, 9.2) |
| 15 | 27.9, CH2 | 2.20 m | 31.4, CH2 | 2.40 m | 32.6, CH2 | 1.64 d (16.8) | 69.5, CH | 4.02 s |
| 1.32 m | 1.89 m | 2.37 d (16.8) | ||||||
| 16 | 76.88, CH | 3.30 m | 81.3, CH | 3.51 m | 81.1, CH | 3.61 s | 155.8, C | - |
| 17 | 48.7, CH2 | 3.28 m | 77.7, CH | 4.26 d (2.3) | 62.4, CH2 | 3.82 d (17.3) | 109.5, CH2 | 5.00 s |
| - | 3.51 d (17.3) | 4.96 s | ||||||
| 18 | 67.9, CH2 | 3.67 m | 74.3, CH2 | 3.26 s | 76.7, CH2 | 3.50 s | 25.0, CH3 | 0.96 s |
| 3.43 d (9.1) | ||||||||
| 19 | 170.2, C | - | 138.0, CH | 6.78 d (1.6) | 142.5, CH | 7.25 s | 66.1, CH | 4.37 d (7.5) |
| 20 | - | - | - | - | - | 173.2, CH | 8.60 s | |
| 21 | 42.7, CH2 | 3.67 d (3.3) | - | - | - | - | 58.0, CH2 | 3.98 d (9.2) |
| 3.32 d (3.3) | 3.66 s | |||||||
| 22 | 11.1, CH3 | 1.20 t (7.2) | - | - | - | - | 61.3, CH2 | 4.21 d (13.6) |
| 4.08 m | ||||||||
| 23 | - | - | - | - | - | - | 36.2, CH2 | 2.45 d (16.6) |
| 2.33 m | ||||||||
| 24 | - | - | - | - | - | - | 182.9, C | - |
| 1-OCH3 | 56.0 | 3.23 s | 56.0 | 3.18 s | 55.5 | 3.26 s | - | - |
| 6-OCH3 | - | - | 58.9 | 3.33 d (2.7) | 57.4 | 3.37 s | - | - |
| 7-OCH3 | 59.0 | 3.61 s | - | - | - | - | - | - |
| 16-OCH3 | 52.6 | 3.0 s | 56.7 | 3.31 d (2.9) | 55.6 | 3.37 s | - | - |
| 18-OCH3 | 51.2 | 3.63 s | 59.3 | 3.29 d (3.2) | 58.2 | 3.34 s | - | - |
| O-CH2-O | - | - | 95.0 | 5.18 d (4.9) | - | - | - | - |
| Compounds | IC50 (μM) | Compounds | IC50 (μM) |
|---|---|---|---|
| 1 | 387.8 | 9 | >500.0 |
| 2 | 314.7 | 10 | >500.0 |
| 3 | >500.0 | 11 | 399.1.0 |
| 4 | >500.0 | 12 | >500.0 |
| 5 | >500.0 | 13 | >500.0 |
| 6 | >500.0 | 14 | >500.0 |
| 7 | >500.0 | 15 | >500.0 |
| 8 | 407.9 | positive (ATC) | 88.4 |
| Genes | Forward Primer | Reverse Primer |
|---|---|---|
| β-actin | GCTTCTAGGCGGACTGTTAC | CCATGCCAATGTTGTCTCTT |
| PPARγ | CAAGGTGCTCCAGAAGATGA | GTGGGACTTTCCTGCTAATACA |
| SREBP1C | CAGCTGATTGCTATCTTTCC | TATGAGCCATGAGATCAGAG |
Publisher’s Note: MDPI stays neutral with regard to jurisdictional claims in published maps and institutional affiliations. |
© 2022 by the authors. Licensee MDPI, Basel, Switzerland. This article is an open access article distributed under the terms and conditions of the Creative Commons Attribution (CC BY) license (https://creativecommons.org/licenses/by/4.0/).
Share and Cite
Ma, H.; Ma, Y.; Dawa, Z.; Yao, Y.; Wang, M.; Zhang, K.; Zhu, C.; Liu, F.; Lin, C. Diterpenoid Alkaloids Isolated from Delphinium brunonianum and Their Inhibitory Effects on Hepatocytes Lipid Accumulation. Molecules 2022, 27, 2257. https://doi.org/10.3390/molecules27072257
Ma H, Ma Y, Dawa Z, Yao Y, Wang M, Zhang K, Zhu C, Liu F, Lin C. Diterpenoid Alkaloids Isolated from Delphinium brunonianum and Their Inhibitory Effects on Hepatocytes Lipid Accumulation. Molecules. 2022; 27(7):2257. https://doi.org/10.3390/molecules27072257
Chicago/Turabian StyleMa, Huanhuan, Yunxia Ma, Zeren Dawa, Yufeng Yao, Meiqi Wang, Kaihui Zhang, Chenchen Zhu, Fangle Liu, and Chaozhan Lin. 2022. "Diterpenoid Alkaloids Isolated from Delphinium brunonianum and Their Inhibitory Effects on Hepatocytes Lipid Accumulation" Molecules 27, no. 7: 2257. https://doi.org/10.3390/molecules27072257
APA StyleMa, H., Ma, Y., Dawa, Z., Yao, Y., Wang, M., Zhang, K., Zhu, C., Liu, F., & Lin, C. (2022). Diterpenoid Alkaloids Isolated from Delphinium brunonianum and Their Inhibitory Effects on Hepatocytes Lipid Accumulation. Molecules, 27(7), 2257. https://doi.org/10.3390/molecules27072257

