Experimental and Computational Investigation on the Interaction of Anticancer Drug Gemcitabine with Human Plasma Protein: Effect of Copresence of Ibuprofen on the Binding
Abstract
:1. Introduction
2. Results and Discussions
2.1. UV-Visible Absorption Studies
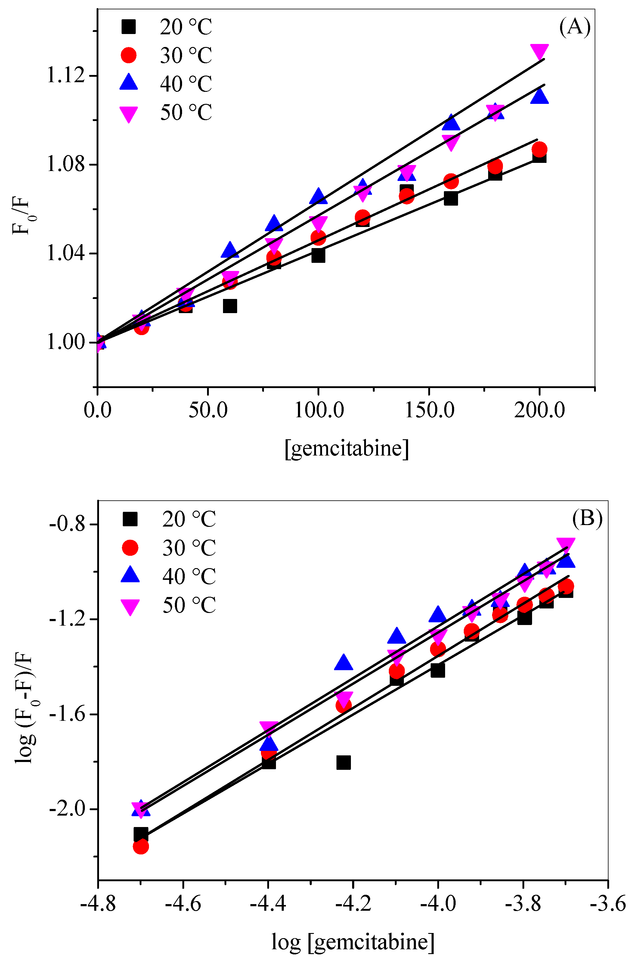
2.2. Fluorescence Quenching of HSA by Gemcitabine
2.3. Evaluation of Quenching and Thermodynamic Parameters
2.4. Secondary Structural Analysis Using Far-UV CD Spectroscopy
2.5. Competitive Binding Site Experiments and Effect of Ibuprofen on the Binding
2.6. Detailed Molecular Docking Studies of HSA Interaction with Gemcitabine in the Absence and Presence of Site Markers
2.7. Density Functional Theory (DFT) Studies
3. Materials and Methods
4. Conclusions
Supplementary Materials
Author Contributions
Funding
Institutional Review Board Statement
Informed Consent Statement
Data Availability Statement
Conflicts of Interest
Sample Availability
References
- Montano, R.; Khan, N.; Hou, H.; Seigne, J.; Ernstoff, M.S.; Lewis, L.D.; Eastman, A. Cell cycle perturbation induced by gemcitabine in human tumor cells in cell culture, xenografts and bladder cancer patients: Implications for clinical trial designs combining gemcitabine with a Chk1 inhibitor. Oncotarget 2017, 8, 67754–67768. [Google Scholar] [CrossRef] [PubMed]
- Cunningham, D.; Chau, I.; Stocken, D.D.; Valle, J.W.; Smith, D.; Steward, W.; Harper, P.G.; Dunn, J.; Tudur-Smith, C.; West, J.; et al. Phase III Randomized Comparison of Gemcitabine Versus Gemcitabine Plus Capecitabine in Patients With Advanced Pancreatic Cancer. J. Clin. Oncol. 2009, 27, 5513–5518. [Google Scholar] [CrossRef] [PubMed]
- Tabernero, J.; Kunzmann, V.; Scheithauer, W.; Reni, M.; Li, J.S.; Ferrara, S.; Djazouli, K. nab-Paclitaxel plus gemcitabine for metastatic pancreatic cancer: A subgroup analysis of the Western European cohort of the MPACACT trial. Onco Targets Ther. 2017, 10, 591–596. [Google Scholar] [CrossRef] [Green Version]
- Von Hoff, D.D.; Ervin, T.; Arena, F.P.; Chiorean, E.G.; Infante, J.; Moore, M.; Seay, T.; Tjulandin, S.A.; Ma, W.W.; Saleh, M.N.; et al. Increased Survival in Pancreatic Cancer with nab-Paclitaxel plus Gemcitabine. N. Engl. J. Med. 2013, 369, 1691–1703. [Google Scholar] [CrossRef] [Green Version]
- Shin, S.; Park, C.M.; Kwon, H.; Lee, K.H. Erlotinib plus gemcitabine versus gemcitabine for pancreatic cancer: Real-world analysis of Korean national database. BMC Cancer 2016, 16, 443. [Google Scholar] [CrossRef] [Green Version]
- Crino, L.; Scagliotti, G.V.; Ricci, S.; De Marinis, F.; Rinaldi, M.; Gridelli, C.; Ceribelli, A.; Bianco, R.; Marangolo, M.; Di Costanzo, F.; et al. Gemcitabine and cisplatin versus mitomycin, ifosfamide, and cisplatin in advanced non-small-cell lung cancer: A randomized phase III study of the Italian lung cancer project. J. Clin. Oncol. 1999, 17, 3522–3530. [Google Scholar] [CrossRef]
- von der Maase, H.; Hansen, S.W.; Roberts, J.T.; Dogliotti, L.; Oliver, T.; Moore, M.J.; Bodrogi, I.; Albers, P.; Knuth, A.; Lippert, C.M.; et al. Gemcitabine and cisplatin versus methotrexate vinblastine, doxorubicin, and cisplatin in advanced or metastatic bladder cancer: Results of a large randomized, multinational, multicenter, phase III study. J. Clin. Oncol. 2000, 18, 3068–3077. [Google Scholar] [CrossRef] [PubMed]
- Carmichael, J.; Possinger, K.; Phillip, P.; Beykirch, M.; Kerr, H.; Walling, J.; Harris, A.L. Advanced Breast-Cancer—A Phase-Ii Trial with Gemcitabine. J. Clin. Oncol. 1995, 13, 2731–2736. [Google Scholar] [CrossRef]
- Bhaskar, L.V.K.S.; Saikrishna, L. Chapter 11—Molecular Markers for Treatment Response and Toxicity of Gemcitabine. In Breaking Tolerance to Pancreatic Cancer Unresponsiveness to Chemotherapy; Nagaraju, G.P., Ed.; Academic Press: Cambridge, MA, USA, 2019; Volume 5, pp. 175–195. [Google Scholar]
- van Riel, J.M.; Peters, G.J.; Mammatas, L.H.; Honeywell, R.J.; Laan, A.C.; Ruyter, R.; van den Berg, F.G.; Giaccone, G.; van Groeningen, C.J. A phase I and pharmacokinetic study of gemcitabine given by 24-h hepatic arterial infusion. Eur. J. Cancer 2009, 45, 2519–2527. [Google Scholar] [CrossRef]
- Abboud, R.; Charcosset, C.; Greige-Gerges, H. Interaction of triterpenoids with human serum albumin: A review. Chem. Phys. Lipids 2017, 207, 260–270. [Google Scholar] [CrossRef]
- Ye, Y.Y.; Chen, W.S.; Gu, M.H.; Xian, G.Y.; Pan, B.Q.; Zheng, L.L.; Zhang, Z.J.; Sheng, P.Y. Serum globulin and albumin to globulin ratio as potential diagnostic biomarkers for periprosthetic joint infection: A retrospective review. J. Orthop. Surg. Res. 2020, 15, 459. [Google Scholar] [CrossRef] [PubMed]
- Seidu, S.; Kunutsor, S.K.; Khunti, K. Serum albumin, cardiometabolic and other adverse outcomes: Systematic review and meta-analyses of 48 published observational cohort studies involving 1,492,237 participants. Scand. Cardiovasc. J. 2020, 54, 280–293. [Google Scholar] [CrossRef] [PubMed]
- Pignatelli, P.; Farcomeni, A.; Menichelli, D.; Pastori, D.; Violi, F. Serum albumin and risk of cardiovascular events in primary and secondary prevention: A systematic review of observational studies and Bayesian meta-regression analysis. Intern. Emerg. Med. 2020, 15, 135–143. [Google Scholar] [CrossRef] [PubMed]
- Aziz, M.; Fatima, R.; Lee-Smith, W.; Assaly, R. The association of low serum albumin level with severe COVID-19: A systematic review and meta-analysis. Crit. Care 2020, 24, 255. [Google Scholar] [CrossRef] [PubMed]
- Lee, P.; Wu, X.Y. Review: Modifications of Human Serum Albumin and their Binding Effect. Curr. Pharm. Des. 2015, 21, 1862–1865. [Google Scholar] [CrossRef] [Green Version]
- Pal, S.; Saha, C. A review on structure-affinity relationship of dietary flavonoids with serum albumins. J. Biomol. Struct. Dyn. 2014, 32, 1132–1147. [Google Scholar] [CrossRef]
- Madhani-Lovely, F.K.; White, R.E.; Crowell, R.E. Trending serum albumin in predicting prognosis in lung cancer: A computer database review. J. Investig. Med. 2006, 54, S112. [Google Scholar] [CrossRef]
- Ascoli, G.A.; Domenici, E.; Bertucci, C. Drug binding to human serum albumin: Abridged review of results obtained with high-performance liquid chromatography and circular dichroism. Chirality 2006, 18, 667–679. [Google Scholar] [CrossRef]
- Janatova, J. Heterogeneity of Serum-Albumin—Critical Review. J. Med. 1974, 5, 149–216. [Google Scholar]
- Ali, M.S.; Muthukumaran, J.; Al-Lohedan, H.A. Molecular interactions of ceftazidime with bovine serum albumin: Spectroscopic, molecular docking, and DFT analyses. J. Mol. Liq. 2020, 313, 113490. [Google Scholar] [CrossRef]
- Ali, M.S.; Al-Lohedan, H.A. Spectroscopic and Molecular Docking Investigation on the Noncovalent Interaction of Lysozyme with Saffron Constituent “Safranal”. ACS Omega 2020, 5, 9131–9141. [Google Scholar] [CrossRef] [PubMed]
- Ali, M.S.; Al-Lohedan, H.A. Experimental and computational investigation on the molecular interactions of safranal with bovine serum albumin: Binding and anti-amyloidogenic efficacy of ligand. J. Mol. Liq. 2019, 278, 385–393. [Google Scholar] [CrossRef]
- Ali, M.S.; Al-Lohedan, H.A. Spectroscopic and computational evaluation on the binding of safranal with human serum albumin: Role of inner filter effect in fluorescence spectral correction. Spectrochim Acta A 2018, 203, 434–442. [Google Scholar] [CrossRef] [PubMed]
- Ali, M.S.; Amina, M.; Al-Lohedan, H.A.; Al Musayeib, N.M. Elucidation of the interaction of human serum albumin with anti-cancer sipholane triterpenoid from the Red Sea sponge. Luminescence 2017, 32, 223–230. [Google Scholar] [CrossRef] [PubMed]
- Ali, M.S.; Al-Lohedan, H.A. Deciphering the interaction of procaine with bovine serum albumin and elucidation of binding site: A multi spectroscopic and molecular docking study. J. Mol. Liq. 2017, 236, 232–240. [Google Scholar] [CrossRef]
- Ali, M.S.; Al-Lohedan, H.A. Multi-technique approach on the interaction between sugar-based surfactant n-dodecyl beta-d-maltoside and bovine serum albumin. J. Lumin. 2016, 169, 35–42. [Google Scholar] [CrossRef]
- Ali, M.S.; Al-Lohedan, H.A. Interaction of biocompatible sugar based surfactant n-dodecyl beta-d-maltoside with lysozyme. J. Mol. Liq. 2015, 209, 662–668. [Google Scholar] [CrossRef]
- Ali, M.S.; Al-Lohedan, H.A. Biophysical characterization of the interaction between human serum albumin and n-dodecyl beta-D-maltoside: A multi-technique approach. Colloids Surf B Biointerfaces 2015, 134, 392–400. [Google Scholar] [CrossRef]
- Ali, M.S.; Al-Lohedan, H.A. Interaction of human serum albumin with sulfadiazine. J. Mol. Liq. 2014, 197, 124–130. [Google Scholar] [CrossRef]
- Ali, M.S.; Al-Lohedan, H.A. Sulfadiazine binds and unfolds bovine serum albumin: An In Vitro study. Mol. Biol. Rep. 2013, 40, 6081–6090. [Google Scholar] [CrossRef]
- Ali, M.S.; Amina, M.; Al-Lohedan, H.A.; Al Musayeib, N.M. Human serum albumin binding to the biologically active labdane diterpene “leoheterin”: Spectroscopic and in silico analysis. J. Photochem. Photobiol. B Biol. 2018, 182, 9–17. [Google Scholar] [CrossRef] [PubMed]
- Chan, A.; Song, M.; Langit, M.R.D.G.; Lim, T.A.; Fong, W.; Tay, K.; Lim, S.T.; Tang, T. Carotid artery inflammation associated with gemcitabine-based therapy: A special report. Future Oncol. 2015, 14, 2049–2058. [Google Scholar] [CrossRef] [PubMed]
- Lock, M.; Sinclair, K.; Welch, S.; Younus, J.; Salim, M. Radiation recall dermatitis due to gemcitabine does not suggest the need to discontinue chemotherapy. Oncol. Lett. 2011, 2, 85–90. [Google Scholar] [CrossRef] [PubMed] [Green Version]
- Jeter, M.D.; Jänne, P.A.; Brooks, S.; Burstein, H.J.; Wen, P.; Fuchs, C.S.; Loeffler, J.S.; Devlin, P.M.; Salgia, R. Gemcitabine-induced radiation recall. Int. J. Radiat. Oncol. Biol. Phys. 2002, 53, 394–400. [Google Scholar] [CrossRef]
- Ali, M.S.; Waseem, M.; Subbarao, N.; Al-Lohedan, H.A. Noncovalent molecular interactions between antineoplastic drug gemcitabine and a carrier protein identified through spectroscopic and in silico methods. Int. J. Biol. Macromol. 2021, 182, 993–1002. [Google Scholar] [CrossRef] [PubMed]
- Ali, M.S.; Muthukumaran, J.; Jain, M.; Al-Lohedan, H.A.; Abul Farah, M.; Alsowilem, O.I. Experimental and computational investigation on the binding of anticancer drug gemcitabine with bovine serum albumin. J. Biomol. Struct. Dyn. 2021. [Google Scholar] [CrossRef] [PubMed]
- Kandagal, P.B.; Ashoka, S.; Seetharamappa, J.; Shaikh, S.M.T.; Jadegoud, Y.; Ijare, O.B. Study of the interaction of an anticancer drug with human and bovine serum albumin: Spectroscopic approach. J. Pharm. Biomed. Anal. 2006, 41, 393–399. [Google Scholar] [CrossRef]
- Ali, M.S.; Farah, M.A.; Al-Lohedan, H.A.; Al-Anazi, K.M. Comprehensive exploration of the anticancer activities of procaine and its binding with calf thymus DNA: A multi spectroscopic and molecular modelling study. RSC Adv. 2018, 8, 9083–9093. [Google Scholar] [CrossRef] [Green Version]
- Sethi, A.; Joshi, K.; Sasikala, K.; Alvala, M. Molecular docking in modern drug discovery: Principles and recent applications. In Drug Discovery and Development-New Advances; IntechOpen: London, UK, 2019. [Google Scholar]
- Kharazian, B.; Ahmad, A.A.; Mabudi, A. A molecular dynamics study on the binding of gemcitabine to human serum albumin. J. Mol. Liq. 2021, 337, 116496. [Google Scholar] [CrossRef]
- Polet, H.; Steinhardt, J. Binding-induced alterations in ultraviolet absorption of native serum albumin. Biochemistry 1968, 7, 1348–1356. [Google Scholar] [CrossRef]
- Eftink, M.R.; Ghiron, C.A. Fluorescence Quenching Studies with Proteins. Anal. Biochem. 1981, 114, 199–227. [Google Scholar] [CrossRef]
- Moller, M.; Denicola, A. Study of protein-ligand binding by fluorescence. Biochem. Mol. Biol. Educ. 2002, 30, 309–312. [Google Scholar] [CrossRef]
- De, S.; Girigoswami, A.; Das, S. Fluorescence probing of albumin-surfactant interaction. J. Colloid Interface Sci. 2005, 285, 562–573. [Google Scholar] [CrossRef] [PubMed]
- Park, Y.S.; Polovka, M.; Martinez-Ayala, A.L.; Gonzalez-Aguilar, G.A.; Ham, K.S.; Kang, S.G.; Park, Y.K.; Heo, B.G.; Namiesnik, J.; Gorinstein, S. Fluorescence studies by quenching and protein unfolding on the interaction of bioactive compounds in water extracts of kiwi fruit cultivars with human serum albumin. J. Lumin. 2015, 160, 71–77. [Google Scholar] [CrossRef]
- Lakowicz, J.R. Principles of Fluorescence Spectroscopy, 3rd ed.; Springer: Boston, MA, USA, 2006; p. 954. [Google Scholar]
- Eftink, M.R. Fluorescence Quenching Reactions. In Biophysical and Biochemical Aspects of Fluorescence Spectroscopy; Dewey, T.G., Ed.; Springer: Boston, MA, USA, 1991; pp. 1–41. [Google Scholar]
- Ali, M.S.; Waseem, M.; Subbarao, N.; Al-Lohedan, H.A. Dynamic interaction between lysozyme and ceftazidime: Experimental and molecular simulation approaches. J. Mol. Liq. 2021, 328, 115412. [Google Scholar] [CrossRef]
- Jiang, M.; Xie, M.X.; Zheng, D.; Liu, Y.; Li, X.Y.; Chen, X. Spectroscopic studies on the interaction of cinnamic acid and its hydroxyl derivatives with human serum albumin. J. Mol. Struct. 2004, 692, 71–80. [Google Scholar]
- Shen, L.L.; Baranowski, J.; Pernet, A.G. Mechanism of inhibition of DNA gyrase by quinolone antibacterials: Specificity and cooperativity of drug binding to DNA. Biochemistry 1989, 28, 3879–3885. [Google Scholar] [CrossRef]
- Shen, L.L.; Mitscher, L.A.; Sharma, P.N.; O’Donnell, T.J.; Chu, D.W.T.; Cooper, C.S.; Rosen, T.; Pernet, A.G. Mechanism of inhibition of DNA gyrase by quinolone antibacterials: A cooperative drug-DNA binding model. Biochemistry 1989, 28, 3886–3894. [Google Scholar] [CrossRef]
- Ross, P.D.; Subramanian, S. Thermodynamics of protein association reactions: Forces contributing to stability. Biochemistry 1981, 20, 3096–3102. [Google Scholar] [CrossRef]
- Kelly, S.M.; Price, N.C. The application of circular dichroism to studies of protein folding and unfolding. Biochim. Biophys. Acta-Protein Struct. Mol. Enzymol. 1997, 1338, 161–185. [Google Scholar] [CrossRef]
- Kelly, S.M.; Price, N.C. The Use of Circular Dichroism in the Investigation of Protein Structure and Function. Curr. Protein Pept. Sci. 2000, 1, 349–384. [Google Scholar] [CrossRef] [PubMed] [Green Version]
- Carter, D.C.; Ho, J.X. Structure of Serum-Albumin. Adv Protein Chem. 1994, 45, 153–203. [Google Scholar] [PubMed]
- Theodore Peters, J. All About Albumin: Biochemistry, Genetics, and Medical Applications; Academic Press: Cambridge, MA, USA, 1995. [Google Scholar]
- Pappa, T.; Refetoff, S. Thyroid Hormone Transport Proteins: Thyroxine-Binding Globulin, Transthyretin, and Albumin. In Reference Module in Neuroscience and Biobehavioral Psychology; Elsevier: Amsterdam, The Netherlands, 2017. [Google Scholar]
- Ghuman, J.; Zunszain, P.A.; Petitpas, I.; Bhattacharya, A.A.; Otagiri, M.; Curry, S. Structural basis of the drug-binding specificity of human serum albumin. J. Mol. Biol. 2005, 353, 38–52. [Google Scholar] [CrossRef] [PubMed]
- Goncharenko, N.A.; Dmytrenko, O.P.; Kulish, M.P.; Pavlenko, O.L.; Lesiuk, A.I.; Busko, T.O.; Pundyk, I.P.; Pinchuk-Rugal, T.M.; Chegel, V.I.; Lopatynskyi, A.M.; et al. Mechanisms of the interaction of bovine serum albumin with anticancer drug gemcitabine. Mol. Cryst. Liq. Cryst. 2020, 701, 59–71. [Google Scholar] [CrossRef]
- Lewis, D.F.V.; Ioannides, C.; Parke, D.V. Interaction of a Series of Nitriles with the Alcohol-Inducible Isoform of P450—Computer-Analysis of Structure-Activity-Relationships. Xenobiotica 1994, 24, 401–408. [Google Scholar] [CrossRef] [PubMed]
- Lynam, M.M.; Kuty, M.; Damborsky, J.; Koca, J.; Adriaens, P. Molecular orbital calculations to describe microbial reductive dechlorination of polychlorinated dioxins. Env. Toxicol. Chem. 1998, 17, 988–997. [Google Scholar] [CrossRef]
- Ding, L.P.; Zhang, F.H.; Zhu, Y.S.; Lu, C.; Kuang, X.Y.; Lv, J.; Shao, P. Understanding the structural transformation, stability of medium-sized neutral and charged silicon clusters. Sci. Rep. 2015, 5, 15951. [Google Scholar] [CrossRef] [Green Version]
- Miar, M.; Shiroudi, A.; Pourshamsian, K.; Oliaey, A.R.; Hatamjafari, F. Theoretical investigations on the HOMO-LUMO gap and global reactivity descriptor studies, natural bond orbital, and nucleus-independent chemical shifts analyses of 3-phenylbenzo[d]thiazole-2(3H)-imine and itspara-substituted derivatives: Solvent and substituent effects. J. Chem. Res. 2021, 45, 147–158. [Google Scholar]
- Trott, O.; Olson, A.J. Software News and Update AutoDock Vina: Improving the Speed and Accuracy of Docking with a New Scoring Function, Efficient Optimization, and Multithreading. J. Comput. Chem. 2010, 31, 455–461. [Google Scholar]
- Neese, F. Software update: The ORCA program system, version 4.0. Wires Comput. Mol. Sci. 2018, 8, e1327. [Google Scholar] [CrossRef]
- Hanwell, M.D.; Curtis, D.E.; Lonie, D.C.; Vandermeersch, T.; Zurek, E.; Hutchison, G.R. Avogadro: An advanced semantic chemical editor, visualization, and analysis platform. J. Cheminform. 2012, 4, 17. [Google Scholar] [CrossRef] [PubMed] [Green Version]
- Morris, G.M.; Huey, R.; Lindstrom, W.; Sanner, M.F.; Belew, R.K.; Goodsell, D.S.; Olson, A.J. AutoDock4 and AutoDockTools4: Automated Docking with Selective Receptor Flexibility. J. Comput. Chem. 2009, 30, 2785–2791. [Google Scholar] [CrossRef] [Green Version]












| Temperature (°C) | 102 Ksv (mol−1) | 1010 kq (mol−1∙s−1) | R2 |
|---|---|---|---|
| λex = 280 nm | |||
| 20 | 4.7 | 8.0 | 0.9945 |
| λex = 295 nm | |||
| 20 | 4.3 | 7.2 | 0.9768 |
| 30 | 4.5 | 7.6 | 0.9955 |
| 40 | 5.8 | 9.8 | 0.9827 |
| 50 | 5.9 | 9.9 | 0.9819 |
| Temperature | Binding Parameters | Thermodynamic Parameters | ||||
|---|---|---|---|---|---|---|
| n | 102Kb (mol−1) | R2 | ∆G (kJ mol−1) | ∆H (kJ mol−1) | ∆S (J mol–1 K−1) | |
| 20 | 1.1 | 8.2 | 0.963 | −16.4 | 7.8 | 82.6 |
| 30 | 1.1 | 9.6 | 0.9924 | −17.2 | ||
| 40 | 1.1 | 10.1 | 0.9784 | −18.1 | ||
| 50 | 1.1 | 11.2 | 0.9952 | −18.9 | ||
| [warfarin] (µM) | Ksv (M−1) | Kb (M−1) |
|---|---|---|
| 3.0 | 1.6 × 102 | 1.0 × 102 |
| 10.0 | 1.4 × 102 | 0.9 × 102 |
| 20.0 | 1.1 × 102 | 0.5 × 102 |
| [ibuprofen] (µM) | Ksv (M−1) | Kb (M−1) |
|---|---|---|
| 3.0 | 4.3 × 102 | 7.5 × 102 |
| 10.0 | 4.4 × 102 | 7.3 × 102 |
| 20.0 | 4.4 × 102 | 7.2 × 102 |
| 100.0 | 4.3 × 102 | 7.0 × 102 |
| 200.0 | 4.2 × 102 | 7.1 × 102 |
| Amino Acid | Type of Interaction | |
|---|---|---|
| free HSA | ARG209 | hydrogen bonding |
| GLY328 | ||
| ALA213 | hydrophobic interaction | |
| LYS212 | ||
| VAL216 | ||
| GLU354 | halogen acceptor | |
| HSA bounded with warfarin | SER193 | hydrogen bonding |
| ASN109 | ||
| ASP108 | ||
| ALA194 | ||
| GLN459 | ||
| HIS146 | halogen acceptor | |
| ARG197 | hydrophobic interaction | |
| SER193 | ||
| HSA bounded with ibuprofen at primary site | Conformer 1 | |
| ARG209 | hydrogen bonding | |
| ASP324 | ||
| ALA213 | hydrophobic interaction | |
| Conformer 2 | ||
| VAL455 | hydrogen bonding | |
| HIS146 | ||
| SER193 | ||
| GLN459 | ||
| ASP108 | halogen acceptor | |
| ARG145 | ||
| ALA194 | hydrophobic interaction | |
| ARG197 | ||
| HSA bounded with ibuprofen at primary and secondary sites | VAL455 | hydrogen bonding |
| ASP108 | ||
| HIS146 | ||
| SER193 | ||
| GLN459 | ||
| ARG145 | halogen acceptor | |
| ALA194 | hydrophobic interaction | |
| ARG197 |
| HOMO | LUMO | ΔE | |
|---|---|---|---|
| Free gemcitabine | ![]() | ![]() | 5.339 |
| Gemcitabine docked with HSA | ![]() | ![]() | 5.340 |
| Gemcitabine docked with HSA–warfarin complex | ![]() | ![]() | 5.334 |
| Gemcitabine docked with HSA complexed with ibuprofen at the primary site (conformer 1) | ![]() | ![]() | 5.343 |
| Gemcitabine docked with HSA complexed with ibuprofen at the primary site (conformer 2) | ![]() | ![]() | 5.344 |
| Gemcitabine docked with HSA complexed with ibuprofen at the primary as well as secondary sites | ![]() | ![]() | 5.360 |
Publisher’s Note: MDPI stays neutral with regard to jurisdictional claims in published maps and institutional affiliations. |
© 2022 by the authors. Licensee MDPI, Basel, Switzerland. This article is an open access article distributed under the terms and conditions of the Creative Commons Attribution (CC BY) license (https://creativecommons.org/licenses/by/4.0/).
Share and Cite
Ali, M.S.; Al-Lohedan, H.A. Experimental and Computational Investigation on the Interaction of Anticancer Drug Gemcitabine with Human Plasma Protein: Effect of Copresence of Ibuprofen on the Binding. Molecules 2022, 27, 1635. https://doi.org/10.3390/molecules27051635
Ali MS, Al-Lohedan HA. Experimental and Computational Investigation on the Interaction of Anticancer Drug Gemcitabine with Human Plasma Protein: Effect of Copresence of Ibuprofen on the Binding. Molecules. 2022; 27(5):1635. https://doi.org/10.3390/molecules27051635
Chicago/Turabian StyleAli, Mohd Sajid, and Hamad A. Al-Lohedan. 2022. "Experimental and Computational Investigation on the Interaction of Anticancer Drug Gemcitabine with Human Plasma Protein: Effect of Copresence of Ibuprofen on the Binding" Molecules 27, no. 5: 1635. https://doi.org/10.3390/molecules27051635
APA StyleAli, M. S., & Al-Lohedan, H. A. (2022). Experimental and Computational Investigation on the Interaction of Anticancer Drug Gemcitabine with Human Plasma Protein: Effect of Copresence of Ibuprofen on the Binding. Molecules, 27(5), 1635. https://doi.org/10.3390/molecules27051635













