Deep Eutectic Solvents as Phase Change Materials in Solar Thermal Power Plants: Energy and Exergy Analyses
Abstract
:1. Introduction
2. Method
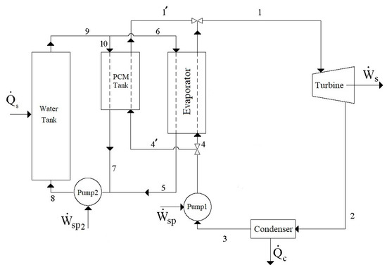
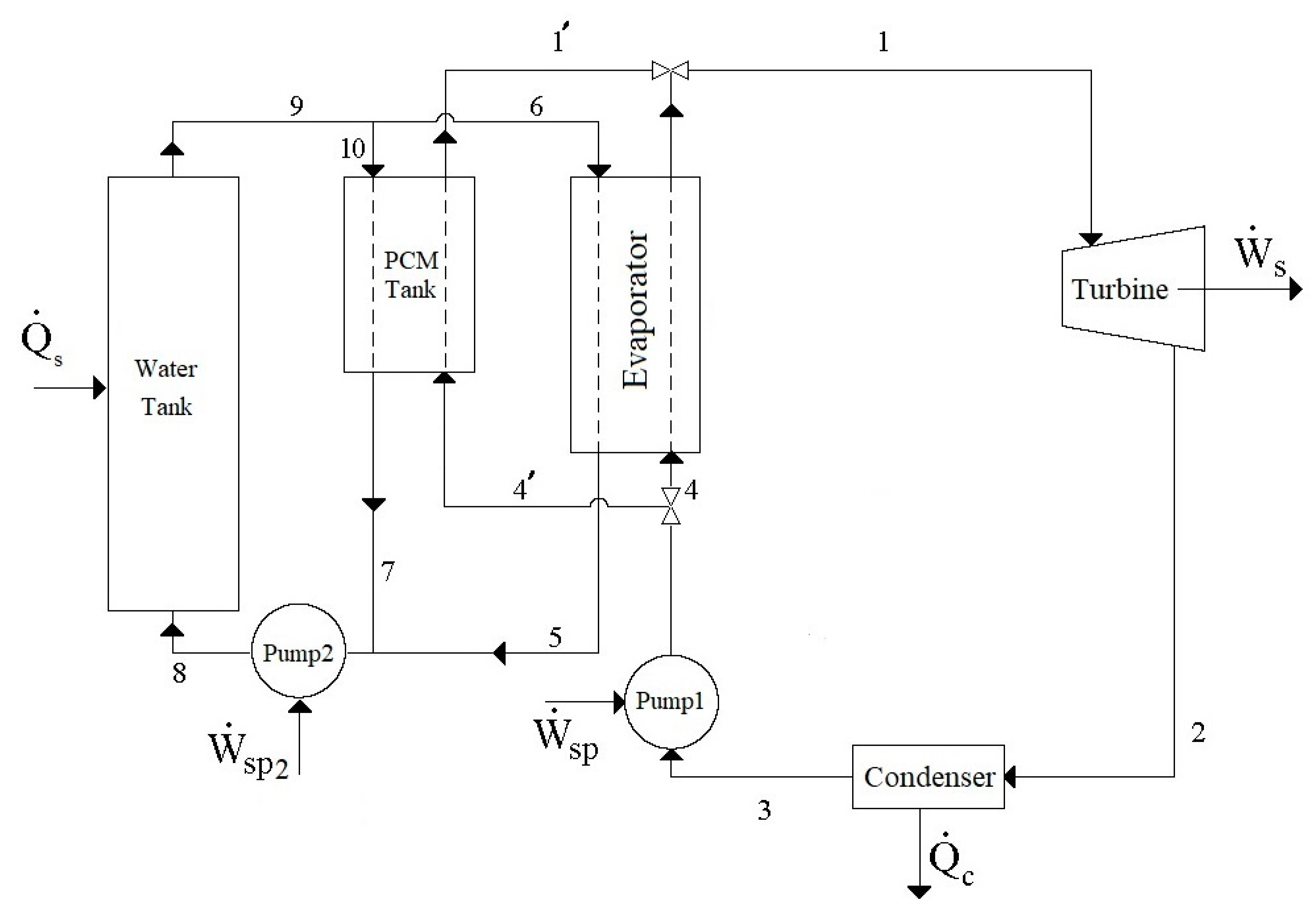
2.1. The Modified Solar Thermal Power Generation Cycle
2.2. Energy Analysis
- The pressure drops (i.e., the required shaft work for Pump 2) in the pipes, PCM tank, condenser, and evaporator are neglected. Additionally, heat losses of the pipelines are neglected;
- Stream 3 is considered as saturated liquid R134a at the condenser pressure;
- The turbine’s isentropic efficiency is considered to be equal to 0.75;
- The PCM tank is well insulated;
- The required work of Pump 1 is negligible in comparison to the produced work of the turbine;
- The outlet water from the water tank (Streams 6, 9, and 10) is saturated liquid;
- The mass flow rate of the outlet water from the water tank (Stream 9) is split equally into Streams 6 and 10. Then, mass flow rates of the water entering the PCM tank and evaporator are the same during the day;
- The general cycle properties, excluding the received solar energy, remains constant during day and night;
- Day and night hours are considered equal, as 12 h.
- During the DayThe PCM tank is charged during the day by absorbing heat from the heating fluid (water). Accordingly, the energy balance of the PCM tank during the day follows Equation (4).where is the mass of the PCM, is the PCM enthalpy of fusion, and is the charging time in the day, equal to 12 h. is the heat absorbed by the PCM from the heating fluid (water) during the day. Streams and are shut down during the day and the only inlet and outlet streams of the PCM tank are Streams 10 and 7, whose specific enthalpies are shown as and .
- During the NightThe PCM tank is discharged during the night by desorbing heat to the Rankine cycle working fluid (R134a). Therefore, the energy balance of the PCM tank during the night follows Equation (5).where is the discharging time during the night, equal to 12 h. is the desorbed heat by the PCM to the Rankine cycle working fluid (R134a) during the night. Streams 10 and 7 are shut down at night, therefore, the only inlet and outlet streams of the PCM tank are Streams and , with specific enthalpies of and , respectively.
2.3. Exergy Analysis
2.4. Investigated DESs
3. Results and Discussion
3.1. Method of Calculation
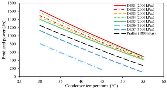
3.2. Effect of the Condenser Temperature
3.3. Effect of the Evaporator Pressure
3.4. Effects of the Melting Point Temperature and the Enthalpy of Fusion
4. Conclusions
Supplementary Materials
Author Contributions
Funding
Institutional Review Board Statement
Informed Consent Statement
Data Availability Statement
Acknowledgments
Conflicts of Interest
References
- Vural, G. How do output, trade, renewable energy and non-renewable energy impact carbon emissions in selected Sub-Saharan African Countries? Resour. Policy 2020, 69, 101840. [Google Scholar] [CrossRef]
- Fathi Assi, D.A.; Isiksal, A.Z.; Tursoy, T. Renewable energy consumption, financial development, environmental pollution, and innovations in the ASEAN +3 group: Evidence from (P-ARDL) model. Renew. Energy 2020, 165, 689–700. [Google Scholar] [CrossRef]
- Levenda, A.M.; Behrsin, I.; Disano, F. Renewable energy for whom? A global systematic review of the environmental justice implications of renewable energy technologies. Energy Res. Soc. Sci. 2021, 71, 101837. [Google Scholar] [CrossRef]
- Haghbakhsh, R.; Peyrovedin, H.; Raeissi, S.; Duarte, A.R.C.; Shariati, A. Investigating the performance of novel green solvents in absorption refrigeration cycles: Energy and exergy analyses. Int. J. Refrig. 2020, 113, 174–186. [Google Scholar] [CrossRef]
- Haghbakhsh, R.; Peyrovedin, H.; Raeissi, S.; Duarte, A.R.C.; Shariati, A. Energy conservation in absorption refrigeration cycles using DES as a new generation of green absorbents. Entropy 2020, 22, 409. [Google Scholar] [CrossRef] [PubMed] [Green Version]
- Walch, A.; Mohajeri, N.; Gudmundsson, A.; Scartezzini, J.-L. Quantifying the technical geothermal potential from shallow borehole heat exchangers at regional scale. Renew. Energy 2021, 165, 369–380. [Google Scholar] [CrossRef]
- Barbier, E. Geothermal energy technology and current status: An overview. Renew. Sustain. Energy Rev. 2002, 6, 3–65. [Google Scholar] [CrossRef]
- Daut, I.; Razliana, A.R.N.; Irwan, Y.M.; Farhana, Z. A Study on the wind as renewable energy in Perlis, Northern Malaysia. Energy Procedia 2012, 18, 1428–1433. [Google Scholar] [CrossRef] [Green Version]
- Joselin Herbert, G.M.; Iniyan, S.; Sreevalsan, E.; Rajapandian, S. A review of wind energy technologies. Renew. Sustain. Energy Rev. 2007, 11, 1117–1145. [Google Scholar] [CrossRef]
- Behar, O. Solar thermal power plants—A review of configurations and performance comparison. Renew. Sustain. Energy Rev. 2018, 92, 608–627. [Google Scholar] [CrossRef]
- Javed, M.S.; Ma, T.; Jurasz, J.; Amin, M.Y. Solar and wind power generation systems with pumped hydro storage: Review and future perspectives. Renew. Energy 2020, 148, 176–192. [Google Scholar] [CrossRef]
- Shankar Ganesh, N.; Srinivas, T. Design and modeling of low temperature solar thermal power station. Appl. Energy 2012, 91, 180–186. [Google Scholar] [CrossRef]
- Chowdhury, M.T.; Mokheimer, E.M.A. Recent developments in solar and low-temperature heat sources assisted power and cooling systems: A design perspective. J. Energy Resour. Technol. 2019, 142, 040801. [Google Scholar] [CrossRef]
- Singh, N.; Kaushik, S.C.; Misra, R.D. Exergetic analysis of a solar thermal power system. Renew. Energy 2000, 19, 135–143. [Google Scholar] [CrossRef]
- Dragomir-Stanciu, D.; Luca, C. Solar power generation system with low temperature heat storage. Procedia Technol. 2016, 22, 848–853. [Google Scholar] [CrossRef] [Green Version]
- Kargar, M.R.; Baniasadi, E.; Mosharaf-Dehkordi, M. Numerical analysis of a new thermal energy storage system using phase change materials for direct steam parabolic trough solar power plants. Sol. Energy 2018, 170, 594–605. [Google Scholar] [CrossRef]
- Pielichowska, K.; Pielichowski, K. Phase change materials for thermal energy storage. Prog. Mater. Sci. 2014, 65, 67–123. [Google Scholar] [CrossRef]
- Zalba, B.; Marín, J.M.; Cabeza, L.F.; Mehling, H. Review on thermal energy storage with phase change: Materials, heat transfer analysis and applications. Appl. Therm. Eng. 2003, 23, 251–283. [Google Scholar] [CrossRef]
- Koca, A.; Oztop, H.F.; Koyun, T.; Varol, Y. Energy and exergy analysis of a latent heat storage system with phase change material for a solar collector. Renew. Energy 2008, 33, 567–574. [Google Scholar] [CrossRef]
- Gürtürk, M.; Koca, A.; Öztop, H.F.; Varol, Y.; Şekerci, M. Energy and exergy analysis of a heat storage tank with a novel eutectic phase change material layer of a solar heater system. Int. J. Green Energy 2017, 14, 1073–1080. [Google Scholar] [CrossRef]
- Mofijur, M.; Mahlia, T.M.I.; Silitonga, A.S.; Ong, H.C.; Silakhori, M.; Hasan, M.H.; Putra, N.; Rahman, S.M.A. phase change materials (PCM) for solar energy usages and storage: An overview. Energies 2019, 12, 3167. [Google Scholar] [CrossRef] [Green Version]
- Pirasaci, T.; Goswami, D.Y. Influence of design on performance of a latent heat storage system for a direct steam generation power plant. Appl. Energy 2016, 162, 644–652. [Google Scholar] [CrossRef] [Green Version]
- Abbott, A.P.; Boothby, D.; Capper, G.; Davies, D.L.; Rasheed, R.K. Deep Eutectic solvents formed between choline chloride and carboxylic acids: Versatile alternatives to ionic liquids. J. Am. Chem. Soc. 2004, 126, 9142–9147. [Google Scholar] [CrossRef] [PubMed]
- Zhao, B.-Y.; Xu, P.; Yang, F.-X.; Wu, H.; Zong, M.-H.; Lou, W.-Y. Biocompatible deep eutectic solvents based on choline chloride: Characterization and application to the extraction of rutin from Sophora japonica. ACS Sustain. Chem. Eng. 2015, 3, 2746–2755. [Google Scholar] [CrossRef]
- Zhang, Q.; de Oliveira Vigier, K.; Royer, S.; Jérôme, F. Deep eutectic solvents: Syntheses, properties and applications. Chem. Soc. Rev. 2012, 41, 7108–7146. [Google Scholar] [CrossRef] [PubMed]
- Shahbaz, K.; AlNashef, I.M.; Lin, R.J.T.; Hashim, M.A.; Mjalli, F.S.; Farid, M.M. A novel calcium chloride hexahydrate-based deep eutectic solvent as a phase change materials. Sol. Energy Mater. Sol. Cells 2016, 155, 147–154. [Google Scholar] [CrossRef]
- Brett, C.M.A. Deep eutectic solvents and applications in electrochemical sensing. Curr. Opin. Electrochem. 2018, 10, 143–148. [Google Scholar] [CrossRef]
- Khandelwal, S.; Tailor, Y.K.; Kumar, M. Deep eutectic solvents (DESs) as eco-friendly and sustainable solvent/catalyst systems in organic transformations. J. Mol. Liq. 2016, 215, 345–386. [Google Scholar] [CrossRef]
- Freeman, J.; Hellgardt, K.; Markides, C.N. An assessment of solar-powered organic Rankine cycle systems for combined heating and power in UK domestic applications. Appl. Energy 2015, 138, 605–620. [Google Scholar] [CrossRef] [Green Version]
- Freeman, J.; Guarracino, I.; Kalogirou, S.A.; Markides, C.N. A small-scale solar organic Rankine cycle combined heat and power system with integrated thermal energy storage. Appl. Therm. Eng. 2017, 127, 1543–1554. [Google Scholar] [CrossRef]
- Dincer, I. Refrigeration Systems and Applications, 3rd ed.; John Wiley & Sons: New York, NY, USA, 2017. [Google Scholar]
- Aman, J.; Ting, D.S.K.; Henshaw, P. Residential solar air conditioning: Energy and exergy analyses of an ammonia–water absorption cooling system. Appl. Therm. Eng. 2014, 62, 424–432. [Google Scholar] [CrossRef] [Green Version]
- Yataganbaba, A.; Kilicarslan, A.; Kurtbaş, İ. Exergy analysis of R1234yf and R1234ze as R134a replacements in a two evaporator vapour compression refrigeration system. Int. J. Refrig. 2015, 60, 26–37. [Google Scholar] [CrossRef]
- Hoseini Rahdar, M.; Emamzadeh, A.; Ataei, A. A comparative study on PCM and ice thermal energy storage tank for air- conditioning systems in office buildings. Appl. Therm. Eng. 2016, 96, 391–399. [Google Scholar] [CrossRef]
- Navidbakhsh, M.; Shirazi, A.; Sanaye, S. Four E analysis and multi-objective optimization of an ice storage system incorporating PCM as the partial cold storage for air-conditioning applications. Appl. Therm. Eng. 2013, 58, 30–41. [Google Scholar] [CrossRef]
- Maugeri, Z.; Domínguez de María, P. Novel choline-chloride-based deep-eutectic-solvents with renewable hydrogen bond donors: Levulinic acid and sugar-based polyols. RSC Adv. 2012, 2, 421–425. [Google Scholar] [CrossRef]
- Pyykkö, P. Simple estimates for eutectic behavior. Chemphyschem A Eur. J. Chem. Phys. Phys. Chem. 2019, 20, 123–127. [Google Scholar] [CrossRef]
- Raud, R.; Bell, S.; Adams, K.; Lima, R.; Will, G.; Steinberg, T.A. Experimental verification of theoretically estimated composition and enthalpy of fusion of eutectic salt mixtures. Sol. Energy Mater. Sol. Cells 2018, 174, 515–522. [Google Scholar] [CrossRef]
- López-Porfiri, P.; Brennecke, J.F.; Gonzalez-Miquel, M. Excess molar enthalpies of deep eutectic solvents (DESs) composed of quaternary ammonium salts and glycerol or ethylene glycol. J. Chem. Eng. Data 2016, 61, 4245–4251. [Google Scholar] [CrossRef]
- Linstorm, P.J.; Mallard, W.G. NIST Chemistry WebBook, NIST Standard Reference Database Number 69; National Institute of Standards and Technology: Gaithersburg, MD, USA. Available online: https://webbook.nist.gov/ (accessed on 1 January 2021).
- Joback, K.G.; Reid, R.C. Estimation of pure-component properties from group-contributions. Chem. Eng. Commun. 1987, 57, 233–243. [Google Scholar] [CrossRef]
- Ukrainczyk, N.; Kurajica, S.; Šipušić, J. Thermophysical comparison of five commercial paraffin waxes as latent heat storage materials. Chem. Biochem. Eng. Q. 2010, 24, 129–137. [Google Scholar]










| DES Code | HBA | HBD | HBA:HBD Molar Ratio | DES Molecular Weight (g/mol) |
|---|---|---|---|---|
| DES1 | Choline chloride | Suberic acid | 1:1 1 | 156.92 |
| DES2 | Choline chloride | Urea | 1:0.9 2 | 102.22 |
| DES3 | Choline chloride | Gallic acid | 1:0.5 1 | 149.79 |
| DES4 | Choline chloride | 4-Hydroxybenzoic acid | 1:0.5 1 | 139.13 |
| DES5 | Choline chloride | Oxalic acid | 1:0.8 2 | 117.81 |
| DES6 | Choline chloride | Itaconic acid | 1:1 1 | 134.87 |
| DES7 | Choline chloride | p-Coumaric acid | 1:0.5 1 | 147.81 |
| DES | HBA to HBD molar ratio | |||||
|---|---|---|---|---|---|---|
| DES1 | 1:1 | 29.76 1 | 30.70 2 | 30.23 | 192.65 | 93 4 |
| DES2 | 1:0.9 | 29.76 1 | 13.61 2 | 22.17 | 216.89 | 80 5 |
| DES3 | 1:0.5 | 29.76 1 | 30.96 3 | 30.17 | 201.42 | 77 4 |
| DES4 | 1:0.5 | 29.76 1 | 32.00 2 | 30.50 | 219.22 | 87 4 |
| DES5 | 1:0.8 | 29.76 1 | 12.31 3 | 22.08 | 187.42 | 73 5 |
| DES6 | 1:1 | 29.76 1 | 17.49 3 | 23.62 | 175.13 | 57 4 |
| DES7 | 1:0.5 | 29.76 1 | 24.78 3 | 28.10 | 190.11 | 67 4 |
| Paraffin | - | - | - | - | 189.00 6 | 68 6 |
| Water Tank Outlet Temperature, T9 | Condenser Temperature Range (°C) | R134a Outlet Temperature of PCM tank, T1′ | Evaporator Pressure (kPa) | Mass Flow Rate of Water, | Mass Flow Rate of R134a |
|---|---|---|---|---|---|
| Tm,PCM + 5 | 30–55 | Tm,PCM − 5 | 1000–2000 | 1.5 | 0.1 |
| Cycle | Evaporator Pressure (kPa) | Produced Power (J/s) | Required Mass of PCM (kg) | Total Exergy Destruction (J/s) | Total Exergy Destruction Without the Water Tank (J/s) |
|---|---|---|---|---|---|
| DES1 | 2000 | 1630.5 | 4803.57 | 32,717.11 | 3710.68 |
| DES2 | 2000 | 1491.75 | 3936.70 | 30,249.98 | 2427.12 |
| DES3 | 2000 | 1452.75 | 4146.14 | 29,600.00 | 2182.53 |
| DES4 | 2000 | 1569.75 | 4071.55 | 31,599.43 | 3148.88 |
| DES5 | 2000 | 1402.01 | 4324.36 | 28,758.28 | 1826.06 |
| DES6 | 1300 | 807.75 | 4553.63 | 29,515.55 | 1619.44 |
| DES7 | 1600 | 1128.75 | 4311.56 | 29,697.07 | 1928.57 |
| Paraffin | 1800 | 1254.14 | 4246.63 | 28,763.60 | 1658.43 |
Publisher’s Note: MDPI stays neutral with regard to jurisdictional claims in published maps and institutional affiliations. |
© 2022 by the authors. Licensee MDPI, Basel, Switzerland. This article is an open access article distributed under the terms and conditions of the Creative Commons Attribution (CC BY) license (https://creativecommons.org/licenses/by/4.0/).
Share and Cite
Peyrovedin, H.; Haghbakhsh, R.; Duarte, A.R.C.; Shariati, A. Deep Eutectic Solvents as Phase Change Materials in Solar Thermal Power Plants: Energy and Exergy Analyses. Molecules 2022, 27, 1427. https://doi.org/10.3390/molecules27041427
Peyrovedin H, Haghbakhsh R, Duarte ARC, Shariati A. Deep Eutectic Solvents as Phase Change Materials in Solar Thermal Power Plants: Energy and Exergy Analyses. Molecules. 2022; 27(4):1427. https://doi.org/10.3390/molecules27041427
Chicago/Turabian StylePeyrovedin, Hamed, Reza Haghbakhsh, Ana Rita C. Duarte, and Alireza Shariati. 2022. "Deep Eutectic Solvents as Phase Change Materials in Solar Thermal Power Plants: Energy and Exergy Analyses" Molecules 27, no. 4: 1427. https://doi.org/10.3390/molecules27041427
APA StylePeyrovedin, H., Haghbakhsh, R., Duarte, A. R. C., & Shariati, A. (2022). Deep Eutectic Solvents as Phase Change Materials in Solar Thermal Power Plants: Energy and Exergy Analyses. Molecules, 27(4), 1427. https://doi.org/10.3390/molecules27041427

