Evaluation of Nutritional Substances and Investigation of Antioxidant and Antimicrobial Potentials of Boerhavia diffusa with in Silico Molecular Docking
Abstract
:1. Introduction
2. Results
2.1. Qualitative Tests
2.2. Quantitative Tests
- Chlorophyll
- Carbohydrates
- Proteins
- Amino Acids
- Flavonoids
- Phenols
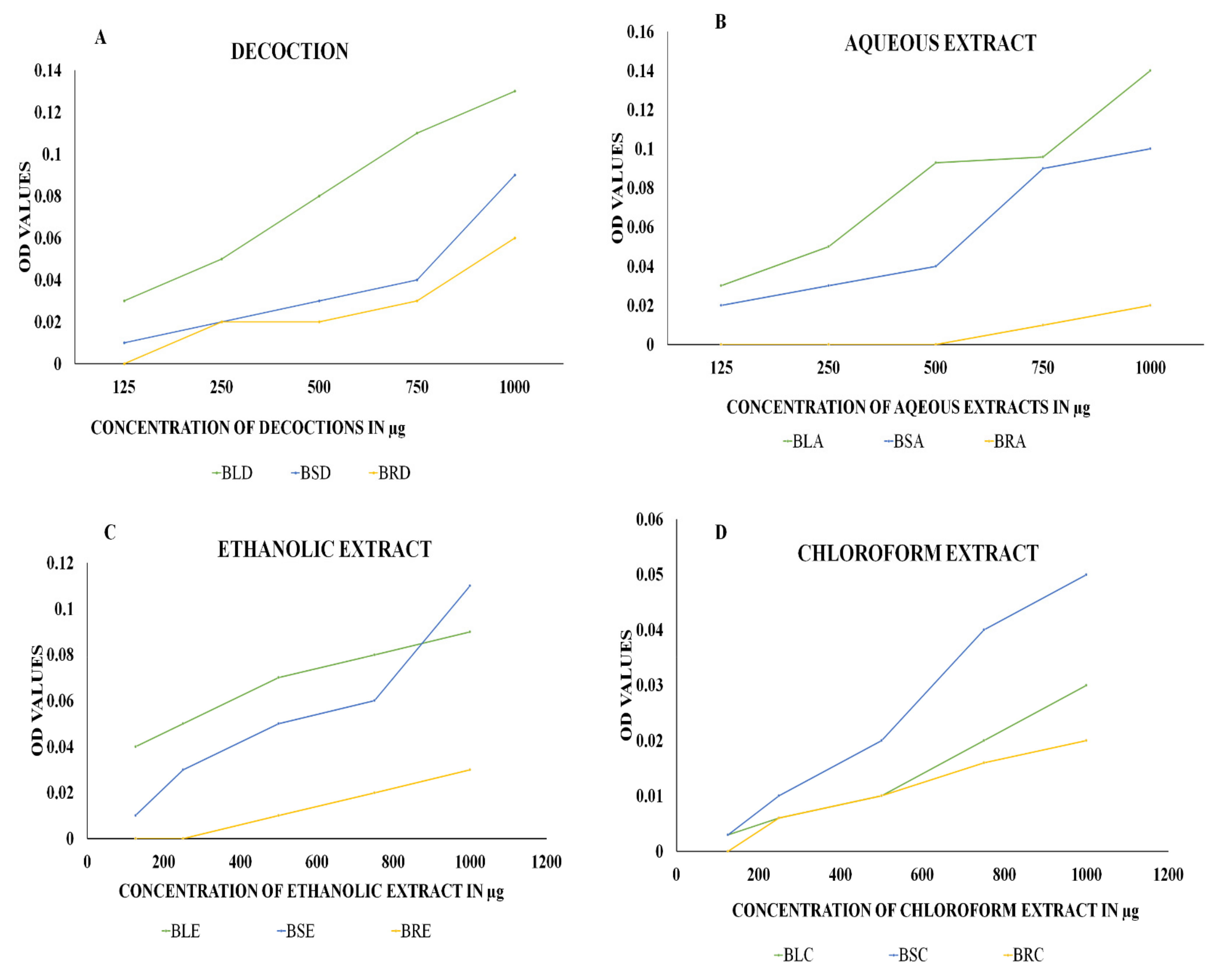
2.3. In Vitro Antioxidant Assays
- DPPH Assay
2.3.1. FRAP Assay
2.3.2. ABTS Assay
2.4. Antimicrobial Activity
2.5. GC–MS
2.6. Molecular Interaction Findings
3. Discussion
4. Materials and Methods
4.1. Plant Collection
4.2. Extraction
4.3. Qualitative Tests
- Carbohydrates
- Proteins
- Amino Acids
- Flavonoids
- Phenols
- Alkaloids
- Phytosterols
- Saponins
- Terpenoids
- Quinone
4.4. Quantitative Tests
- Chlorophyll
- Protein
- Carbohydrate
- Amino acids
- Flavonoids
- Phenols
4.5. In Vitro Antioxidant Assays
- DPPH Scavenging Assay
- FRAP Assay
- ABTS Assay
4.6. Antimicrobial Assay
- Agar disc diffusion method
4.7. Computational Validation
- Molecular docking
- Structure elucidation of small molecules
- Target preprocessing
- Statistical analysis
5. Conclusions
Supplementary Materials
Author Contributions
Funding
Institutional Review Board Statement
Informed Consent Statement
Data Availability Statement
Acknowledgments
Conflicts of Interest
Sample Availability
References
- Zengin, G.; Aktumsek, A.; Guler, G.O.; Cakmak, Y.S.; Yildiztugay, E. Antioxidant Properties of Methanolic Extract and Fatty Acid Composition of Centaurea urvillei DC. subsp. hayekiana Wagenitz. Rec. Nat. Prod. 2011, 5, 123–132. [Google Scholar]
- MacDougall, C.; Harpe, S.E.; Powell, J.P.; Johnson, C.K.; Edmond, M.B.; Polk, R.E. Pseudomonas aeruginosa, Staphylococcus aureus, and fluoroquinolone use. Emerg. Infect. Dis. 2005, 11, 1197–1204. [Google Scholar] [CrossRef] [PubMed]
- Arunkumar, M.; Gunaseelan, S.; Kubendran, A.M.; Mohankumar, V.; Anupam, P.; Harikrishnan, M.; Siva, A.; Ashokkumar, B.; Varalakshmi, P. Marine algal antagonists targeting 3CL protease and spike glycoprotein of SARS-CoV-2: A computational approach for anti-COVID-19 drug discovery. J. Biomol. Struct. Dyn. 2021, 39, 1–28. [Google Scholar] [CrossRef] [PubMed]
- Leistner, O.A. (Ed.) Seed Plants of Southern Africa: Families and Genera. Strelitzia 10; National Botanical Institute, Southern African Botanical Diversity Network (SABONET), Capture Press: Pretoria, South Africa, 2000; p. 775. [Google Scholar]
- Struwig, M.; Jordaan, A.; Siebert, S.J. Anatomy of the southern African Boerhavia and Commicarpus species (Nyctaginaceae). Bangladesh J. Plant Taxon. 2011, 18, 105–115. [Google Scholar] [CrossRef] [Green Version]
- Douglas, N.; Spellenberg, R. A new tribal classification of Nyctaginaceae. Taxon 2010, 59, 905–910. [Google Scholar] [CrossRef]
- Struwig, M.; Siebert, S.J. A taxonomic revision of Boerhavia (Nyctaginaceae) in southern Africa. S. Afr. J. Bot. 2013, 86, 116–134. [Google Scholar] [CrossRef] [Green Version]
- Selvaraj, D.; Shanmughanandhan, D.; Sarma, R.K.; Joseph, J.C.; Srinivasan, R.V.; Ramalingam, S. DNA barcode ITS effectively distinguishes the medicinal plant Boerhavia diffusa from its adulterants. Genom. Proteom. Bioinform. 2012, 10, 364–367. [Google Scholar] [CrossRef] [Green Version]
- Hiruma-Lima, C.A.; Gracioso, J.S.; Bighetti, E.J.; Robineou, L.G.; Brito, A.S. The juice of fresh leaves of Boerhaavia diffusa L.(Nyctaginaceae) markedly reduces pain in mice. J. Ethnopharmacol. 2000, 71, 267–274. [Google Scholar] [CrossRef]
- Olukoya, D.K.; Idika, N.; Odugbemi, T. Antibacterial activity of some medicinal plants from Nigeria. J. Ethnopharmacol. 1993, 39, 69–72. [Google Scholar] [CrossRef]
- Pari, L.; Satheesh, M.A. Antidiabetic activity of Boerhaavia diffusa L.: Effect on hepatic key enzymes in experimental diabetes. J. Ethnopharmacol. 2004, 91, 109–113. [Google Scholar] [CrossRef]
- Mehrotra, S.; Mishra, K.P.; Maurya, R.; Srimal, R.C.; Singh, V.K. Immunomodulation by ethanolic extract of Boerhaavia diffusa roots. Int. Immunopharmacol. 2002, 2, 987–996. [Google Scholar] [CrossRef]
- Anand, A.V.; Balamuralikrishnan, B.; Kaviya, M.; Bharathi, K.; Parithathvi, A.; Arun, M.; Senthilkumar, N.; Velayuthaprabhu, S.; Saradhadevi, M.; Al-Dhabi, N.A.; et al. Medicinal Plants, Phytochemicals, and Herbs to Combat Viral Pathogens Including SARS-CoV-2. Molecules 2021, 26, 1775. [Google Scholar] [CrossRef]
- Manikandan, R.; Anand, A.V.; Kumar, S. Phytochemical and in vitro Antidiabetic activity of Psidium Guajava leaves. Pharmacogn. J. 2016, 8, 392–394. [Google Scholar] [CrossRef] [Green Version]
- Bharathi, V.; Rengarajan, R.L.; Radhakrishnan, R.; Hashem, A.; Abd Allah, E.F.; Alqarawi, A.A.; Anand, A.V. Effects of a medicinal plant Macrotyloma uniflorum (Lam.) Verdc. formulation (MUF) on obesity-associated oxidative stress-induced liver injury. Saudi J. Biol. Sci. 2018, 25, 1115–1121. [Google Scholar] [CrossRef]
- Vijayakumar, K.; Rengarajan, R.L.; Radhakrishnan, R.; Anand, A.V. Hypolipidemic effect of Psidium guajava leaf extract against hepatotoxicity in rats. Pharmacogn. Mag. 2018, 14, 4. [Google Scholar]
- Antonelli, M.; Donelli, D.; Barbieri, G.; Valussi, M.; Maggini, V.; Firenzuoli, F. Forest volatile organic compounds and their effects on human health: A state-of-the-art review. Int. J. Environ. Res. Public Health 2020, 17, 6506. [Google Scholar] [CrossRef]
- Pinto, T.; Aires, A.; Cosme, F.; Bacelar, E.; Morais, M.C.; Oliveira, I.; Ferreira-Cardoso, J.; Anjos, R.; Vilela, A.; Gonçalves, B. Bioactive (Poly) phenols, Volatile Compounds from Vegetables, Medicinal and Aromatic Plants. Foods 2021, 10, 106. [Google Scholar] [CrossRef]
- Zhou, Q.; Li, G.; Ou-Yang, Z.; Yi, X.; Huang, L.; Wang, H. Volatile organic compounds profiles to determine authenticity of sweet orange juice using head space gas chromatography coupled with multivariate analysis. Foods 2020, 9, 505. [Google Scholar] [CrossRef]
- Miller, M.B.; Bassler, B.L. Quorum sensing in bacteria. Annu. Rev. Microbiol. 2001, 55, 165–199. [Google Scholar] [CrossRef] [Green Version]
- Allegretta, G.; Maurer, C.K.; Eberhard, J.; Maura, D.; Hartmann, R.W.; Rahme, L.; Empting, M. In-depth profiling of MvfR-regulated small molecules in Pseudomonas aeruginosa after quorum sensing inhibitor treatment. Front. Microbiol. 2017, 8, 924. [Google Scholar] [CrossRef]
- Huang, L.; Zhu, X.; Zhou, S.; Cheng, Z.; Shi, K.; Zhang, C.; Shao, H. Phthalic acid esters: Natural sources and biological activities. Toxins 2021, 13, 495. [Google Scholar] [CrossRef]
- Liu, X.; Li, Z.; Liu, S.; Sun, J.; Chen, Z.; Jiang, M.; Zhang, Q.; Wei, Y.; Wang, X.; Huang, Y.Y.; et al. Potential therapeutic effects of dipyridamole in the severely ill patients with COVID-19. Acta Pharm. Sin. B 2020, 10, 1205–1215. [Google Scholar] [CrossRef]
- Sweety, S.K.; Nepali, K.; Sapra, S.; Suri, O.P.; Dhar, K.L.; Sarma, G.S.; Saxena, A.K. Synthesis and Biological Evaluation of Chalcones having Heterosubstituent(s). Indian J. Pharm. Sci. 2010, 72, 801–806. [Google Scholar]
- Hawley, S.R.; Bray, P.G.; Park, B.K.; Ward, S.A. Amodiaquine accumulation in Plasmodium falciparum as a possible explanation for its superior antimalarial activity over chloroquine. Mol. Biochem. Parasitol. 1996, 80, 15–25. [Google Scholar] [CrossRef]
- Chang, E.L.; Simmers, C.; Knight, D.A. Cobalt Complexes as Antiviral and Antibacterial Agents. Pharmaceuticals 2010, 3, 1711–1728. [Google Scholar] [CrossRef] [Green Version]
- Gollo, A.L.; Tanobe, V.O.; de Melo Pereira, G.V.; Marin, O.; Bonatto, S.J.; Silva, S.; de Barros, I.R.; Soccol, C.R. Phytochemical analysis and biological activities of in vitro cultured Nidularium procerum, a bromeliad vulnerable to extinction. Sci. Rep. 2020, 10, 7008. [Google Scholar] [CrossRef]
- Bidossi, A.; Bortolin, M.; Toscano, M.; De Vecchi, E.; Romanò, C.L.; Mattina, R.; Drago, L. In vitro comparison between α-tocopheryl acetate and α-tocopheryl phosphate against bacteria responsible of prosthetic and joint infections. PLoS ONE 2017, 12, e0182323. [Google Scholar] [CrossRef] [Green Version]
- Kalinowska, M.; Gołębiewska, E.; Świderski, G.; Męczyńska-Wielgosz, S.; Lewandowska, H.; Pietryczuk, A.; Cudowski, A.; Astel, A.; Świsłocka, R.; Samsonowicz, M.; et al. Plant-Derived and Dietary Hydroxybenzoic Acids-A Comprehensive Study of Structural, Anti-/Pro-Oxidant, Lipophilic, Antimicrobial, and Cytotoxic Activity in MDA-MB-231 and MCF-7 Cell Lines. Nutrients 2021, 13, 3107. [Google Scholar] [CrossRef]
- Apu, A.S.; Liza, M.S.; Jamaluddin, A.T.M.; Howlader, M.A.; Saha, R.K.; Rizwan, F.; Nasrin, N. Phytochemical screening and in vitro bioactivities of the extracts of aerial part of Boerhavia diffusa Linn. Asian Pac. J. Trop. Biomed. 2012, 2, 673–678. [Google Scholar] [CrossRef] [Green Version]
- Pérez-Patricio, M.; Camas-Anzueto, J.L.; Sanchez-Alegría, A.; Aguilar-González, A.; Gutiérrez-Miceli, F.; Escobar-Gómez, E.; Voisin, Y.; Rios-Rojas, C.; Grajales-Coutiño, R. Optical method for estimating the chlorophyll contents in plant leaves. Sensors 2018, 18, 650. [Google Scholar] [CrossRef] [Green Version]
- Lee, J.; Dong, X.; Choi, K.; Song, H.; Yi, H.; Hur, Y. Identification of source-sink tissues in the leaf of Chinese cabbage (Brassica rapa ssp. pekinensis) by carbohydrate content and transcriptomic analysis. Genes Genom. 2020, 42, 13–24. [Google Scholar] [CrossRef] [PubMed]
- Carratù, B.; Boniglia, C.; Giammarioli, S.; Mosca, M.; Sanzini, E. Free amino acids in botanicals and botanical preparations. J. Food Sci. 2008, 73, C323–C328. [Google Scholar] [CrossRef] [PubMed]
- Sen, S.; De, B.; Devanna, N.; Chakraborty, R. Total phenolic, total flavonoid content, and antioxidant capacity of the leaves of Meyna spinosa Roxb., an Indian medicinal plant. Chin. J. Nat. Med. 2013, 11, 149–157. [Google Scholar] [CrossRef]
- Juneja, K.; Mishra, R.; Chauhan, S.; Gupta, S.; Roy, P.; Sircar, D. Metabolite profiling and wound-healing activity of Boerhavia diffusa leaf extracts using in vitro and in vivo models. J. Tradit. Complementary Med. 2020, 10, 52–59. [Google Scholar] [CrossRef]
- Chan, X.H.; Haeusler, I.L.; Win, Y.N.; Pike, J.; Hanboonkunupakarn, B.; Hanafiah, M.; Lee, S.J.; Djimdé, A.; Fanello, C.I.; Kiechel, J.R.; et al. The cardiovascular effects of amodiaquine and structurally related antimalarials: An individual patient data meta-analysis. PLoS Med. 2021, 18, e1003766. [Google Scholar] [CrossRef]
- Spano, D.; Marshall, J.C.; Marino, N.; De Martino, D.; Romano, A.; Scoppettuolo, M.N.; Bello, A.M.; Di Dato, V.; Navas, L.; De Vita, G.; et al. Dipyridamole prevents triple-negative breast-cancer progression. Clin. Exp. Metastasis 2013, 30, 47–68. [Google Scholar] [CrossRef]
- Rasoulinezhad, S.; Yekta, N.H.; Fallah, E. Promising pain-relieving activity of an ancient Persian remedy (mixture of white Lily in sesame oil) in patients with chronic low back pain. J. Fam. Med. Prim. Care 2019, 8, 634. [Google Scholar]
- Feng, G.; Kaplowitz, N. Colchicine protects mice from the lethal effect of an agonistic anti-Fas antibody. J. Clin. Investig. 2000, 105, 329–339. [Google Scholar] [CrossRef] [Green Version]
- Zulkapli, R.; Abdul Razak, F.; Zain, R.B. Vitamin E (α-Tocopherol) exhibits antitumour activity on Oral squamous carcinoma cells ORL-48. Integr. Cancer Ther. 2017, 16, 414–425. [Google Scholar] [CrossRef] [Green Version]
- Jeong, J.H.; Ryu, J.H. Broussoflavonol B from Broussonetia kazinoki Siebold Exerts Anti-Pancreatic Cancer Activity through Downregulating FoxM1. Molecules 2020, 25, 2328. [Google Scholar] [CrossRef]
- Farooq, M.; Abutaha, N.; Mahboob, S.; Baabbad, A.; Almoutiri, N.D.; Wadaan, M.A. Investigating the antiangiogenic potential of Rumex vesicarius (humeidh), anticancer activity in cancer cell lines and assessment of developmental toxicity in zebrafish embryos. Saudi J. Biol. Sci. 2020, 27, 611–622. [Google Scholar] [CrossRef]
- Sahu, S.N.; Satpathy, S.S.; Mohanty, C.; Pattanayak, S.K. Computational study to evaluate the potency of phytochemicals in Boerhavia diffusa and the impact of point mutation on cyclin-dependent kinase 2-associated protein 1. J. Biomol. Struct. Dyn. 2021, 20, 1–15. [Google Scholar] [CrossRef]
- Rampioni, G.; Pustelny, C.; Fletcher, M.P.; Wright, V.J.; Bruce, M.; Rumbaugh, K.P.; Heeb, S.; Cámara, M.; Williams, P. Transcriptomic analysis reveals a global alkyl-quinolone-independent regulatory role for PqsE in facilitating the environmental adaptation of Pseudomonas aeruginosa to plant and animal hosts. Env. Microbiol. 2010, 12, 1659–1673. [Google Scholar]
- Ilangovan, A.; Fletcher, M.; Rampioni, G.; Pustelny, C.; Rumbaugh, K.; Heeb, S.; Cámara, M.; Truman, A.; Chhabra, S.R.; Emsley, J.; et al. Structural basis for native agonist and synthetic inhibitor recognition by the Pseudomonas aeruginosa quorum sensing regulator PqsR (MvfR). PLoS Pathog. 2013, 9, e1003508. [Google Scholar] [CrossRef] [Green Version]
- Cao, H.; Krishnan, G.; Goumnerov, B.; Tsongalis, J.; Tompkins, R.; Rahme, L.G. A quorum sensing-associated virulence gene of Pseudomonas aeruginosa encodes a LysR-like transcription regulator with a unique self-regulatory mechanism. Proc. Natl. Acad. Sci. USA 2001, 98, 14613–14618. [Google Scholar] [CrossRef] [Green Version]
- National Center for Biotechnology Information. PubChem Patent Summary for US-2020000865-A1. 2022. Available online: https://pubchem.ncbi.nlm.nih.gov/patent/US-2020000865-A1 (accessed on 22 December 2021).
- Ongarora, D.S.; Strydom, N.; Wicht, K.; Njoroge, M.; Wiesner, L.; Egan, T.J.; Wittlin, S.; Jurva, U.; Masimirembwa, C.M.; Chibale, K. Antimalarial benzoheterocyclic 4-aminoquinolines: Structure-activity relationship, in vivo evaluation, mechanistic and bioactivation studies. Bioorg. Med. Chem. 2015, 23, 5419–5432. [Google Scholar] [CrossRef] [Green Version]
- Daswani, P.G.; Ghadge, A.A.; Birdi, T.J. Preparation of decoction of medicinal plants: A self-help measure? J. Altern. Complementary Med. 2011, 17, 1099–1100. [Google Scholar] [CrossRef]
- Auwal, M.S.; Saka, S.; Mairiga, I.A.; Sanda, K.A.; Shuaibu, A.; Ibrahim, A. Preliminary phytochemical and elemental analysis of aqueous and fractionated pod extracts of Acacia nilotica (Thorn mimosa). Vet. Res. Forum Int. Q. J. 2014, 5, 95. [Google Scholar]
- Gul, R.; Jan, S.U.; Faridullah, S.; Sherani, S.; Jahan, N. Preliminary phytochemical screening, quantitative analysis of alkaloids, and antioxidant activity of crude plant extracts from Ephedra intermedia indigenous to Balochistan. Sci. World J. 2017, 2017, 1–7. [Google Scholar] [CrossRef] [Green Version]
- Harborne, J.B.; Williams, C.A. Anthocyanins and other flavonoids. Nat. Prod. Rep. 2001, 18, 310–333. [Google Scholar] [CrossRef]
- Saeed, N.; Khan, M.R.; Shabbir, M. Antioxidant activity, total phenolic and total flavonoid contents of whole plant extracts Torilis leptophylla L. BMC Complementary Altern. Med. 2012, 12, 221. [Google Scholar] [CrossRef] [PubMed] [Green Version]
- Senthilkumar, M.; Amaresan, N.; Sankaranarayanan, A. Determination of Chlorophyll. In Plant-Microbe Interactions; Springer: Berlin/Heidelberg, Germany, 2021; pp. 145–146. [Google Scholar]
- Waterborg, J.H.; Matthews, H.R. The lowry method for protein quantitation. Methods Mol. Biol. 1984, 1, 1–3. [Google Scholar] [PubMed]
- Laurentin, A.; Edwards, C.A. A microtiter modification of the anthrone-sulfuric acid colorimetric assay for glucose-based carbohydrates. Anal. Biochem. 2003, 315, 143–145. [Google Scholar] [CrossRef]
- Moore, S.; Stein, W.H. A modified ninhydrin reagent for the photometric determination of amino acids and related compounds. J. Biol. Chem. 1954, 211, 907–913. [Google Scholar] [CrossRef]
- Ainsworth, E.A.; Gillespie, K.M. Estimation of total phenolic content and other oxidation substrates in plant tissues using Folin–Ciocalteu reagent. Nat. Protoc. 2007, 2, 875–877. [Google Scholar] [CrossRef]
- Shahwan, A.; El Aali, N.M.; Layas, Y.F.; El Tumi, S.G. Phytochemical content and antioxidant activities of Rhubarb (Rheum emodi). Natr. Resour. Hum. Health 2022, 2, 156–159. [Google Scholar] [CrossRef]
- Benzie, I.F.; Strain, J.J. The ferric reducing ability of plasma (FRAP) as a measure of “antioxidant power”: The FRAP assay. Anal. Biochem. 1996, 239, 70–76. [Google Scholar] [CrossRef] [Green Version]
- Zheleva-Dimitrova, D.; Nedialkov, P.; Kitanov, G. Radical scavenging and antioxidant activities of methanolic extracts from Hypericum species growing in Bulgaria. Pharmacogn. Mag. 2010, 6, 74. [Google Scholar] [CrossRef] [Green Version]
- Kirby, W.M.; Yoshihara, G.M.; Sundsted, K.S.; Warren, J.H. Clinical usefulness of a single disc method for antibiotic sensitivity testing. Antibiot. Annu. 1957, 892, 1956–1957. [Google Scholar]
- Tahir, F.; Sonibare, M.; Yagi, S.M. Comparative chemical profiling and antimicrobial activity of Nigella sativa seeds oils obtained from different sources. Natr. Resour. Hum. Health 2022, 2, 194–199. [Google Scholar] [CrossRef]










| S.NO | TESTS | LA | LD | LC | LE | SA | SD | SC | SE | RA | RD | RC | RE |
|---|---|---|---|---|---|---|---|---|---|---|---|---|---|
| 1. | Protein | ++ | ++ | ++ | − | ++ | ++ | ++ | − | + | ++ | ++ | − |
| 2. | Saponins | + | − | − | − | − | + | − | − | − | + | − | − |
| 3. | Flavonoids | ++ | + | − | − | + | + | − | − | ++ | ++ | − | + |
| 4. | Quinone | − | − | − | − | ++ | ++ | − | − | + | + | − | − |
| 5. | Terpenoids | + | ++ | − | − | + | ++ | − | ++ | ++ | ++ | ++ | + |
| 6. | Carbohydrates | ++ | ++ | − | ++ | ++ | + | ++ | ++ | ++ | ++ | ++ | ++ |
| 7. | Aminoacids | ++ | ++ | − | ++ | ++ | ++ | − | ++ | − | ++ | − | ++ |
| 8. | Phenols | ++ | ++ | + | + | ++ | ++ | + | − | + | ++ | − | − |
| 9. | Alkaloids | − | − | − | + | − | − | + | + | − | − | + | + |
| 10. | Phytosterols | + | + | − | − | ++ | + | − | − | + | + | + | − |
| S. No | B. diffusa Parts | Total Chlorophyll Content in mg/g (Mean ± SE) | Chlorophyll a Content in mg/g (Mean ± SE) | Chlorophyll b Content in mg/g (Mean ± SE) |
|---|---|---|---|---|
| 1. | Leaves | 1.43 ± 0.05 | 1.03 ± 0.05 | 0.4 ± 0.05 |
| 2. | Stem | 0.35 ± 0.02 | 0.20 ± 0.02 | 0.15 ± 0.02 |
| S. No | Extracts | B. diffusa Leaf Carbohydrate in mg/g (Mean ± SE) | B. diffusa Stem Carbohydrate in mg/g (Mean ± SE) | B. diffusa Root Carbohydrate in mg/g (Mean ± SE) |
|---|---|---|---|---|
| 1. | Decoction | 19.86 ± 1.14 | 41.39 ± 1.6 | 122.0 ± 1.0 |
| 2. | Aqueous | 42.1 ± 2.9 | 36.3 ± 3.47 | 127.16 ± 5.30 |
| 3. | Ethanol | 7.97 ± 0.21 | 2.96 ± 0.50 | 43.1 ± 0.1 |
| 4. | Chloroform | - | 2.00 ± 0.05 | 20.56 ± 0.2 |
| S. No | Extracts | B. diffusa Leaf Protein in mg/g (Mean ± SE) | B. diffusa Stem Protein in mg/g (Mean ± SE) | B. diffusa Root Protein in mg/g (Mean ± SE) |
|---|---|---|---|---|
| 1. | Decoction | 305.8 ± 5.8 | 75 ± 0 | 30.8 ± 0.8 |
| 2. | Aqueous | 98.8 ± 0.4 | 74.2 ± 0.68 | 25 ± 0 |
| 3. | Ethanol | 30 ± 0 | 26.2 ± 1.6 | 25 ± 0 |
| 4. | Chloroform | 23.8 ± 3.8 | 42.7 ± 3 | 60.5 ± 1.6 |
| S. No | Extracts | B. diffusa Leaf Amino Acids in mg/g (Mean ± SE) | B. diffusa Stem Amino Acids in mg/g (Mean ± SE) | B. diffusa Root Amino Acids in mg/g (Mean ± SE) |
|---|---|---|---|---|
| 1. | Decoction | 104.4 ± 2.2 | 18.8 ± 0.5 | 23.3 ± 0.9 |
| 2. | Aqueous | 11.1 ± 1.4 | 15 ± 2.5 | 18 ± 4.9 |
| 3. | Ethanol | 87.2 ± 1.4 | 101.6 ± 0.9 | 48.8 ± 1.1 |
| 4. | Chloroform | 11.6 ± 2.0 | 6.1 ± 0.5 | 18.8 ± 1.1 |
| S. No | Extracts | B. diffusa Leaf Flavonoids in mg/g (Mean ± SE) | B. diffusa Stem Flavonoids in mg/g (Mean ± SE) | B. diffusa Root Flavonoids in mg/g (Mean ± SE) |
|---|---|---|---|---|
| 1. | Decoction | 70 ± 0.01 | 60 ± 0.00 | 60 ± 0.00 |
| 2. | Aqueous | 12 ± 0.03 | 50 ± 0.01 | 50 ± 0.01 |
| 3. | Ethanol | - | - | 50 ± 0.01 |
| 4. | Chloroform | - | - | - |
| S. No | Extracts | B. diffusa Leaf Phenols in mg/g (Mean ± SE) | B. diffusa Stem Phenols in mg/g (Mean ± SE) | B. diffusa Root Phenols in mg/g (Mean ± SE) |
|---|---|---|---|---|
| 1. | Decoction | 36 ± 0.20 | 235 ± 0.40 | 14 ± 0.2 |
| 2. | Aqueous | 37 ± 0.30 | 15 ± 0.45 | 105 ± 0.57 |
| 3. | Ethanol | 165 ± 0.25 | - | - |
| 4. | Chloroform | - | 70 ± 0.01 | - |
| Zone of Inhibition against P. aeruginosa. | ||||||||||
|---|---|---|---|---|---|---|---|---|---|---|
| S. No | Extracts | B. diffusa Leaf Diameter of Zone of Inhibition in mm Mean ± SE | B. diffusa Stem Diameter of Zone of Inhibition in mm Mean ± SE | B. diffusa Root Diameter of Zone of Inhibition in mm Mean ± SE | ||||||
| 100 µg | 150 µg | 200 µg | 100 µg | 150 µg | 200 µg | 100 µg | 150 µg | 200 µg | ||
| 1. | Decoction | - | - | 8 ± 1 | - | - | 8 ± 2 | - | - | 7 ± 1 |
| 2. | Aqueous | - | - | - | - | - | - | - | - | - |
| 3. | Ethanol | - | - | - | - | - | - | - | 7 ± 0 | 8 ± 0 |
| 4. | Chloroform | - | - | - | - | - | - | - | - | - |
| 5. | Negative control (NC) | - | ||||||||
| 6. | Positive control (PC) | 18 ± 2 | ||||||||
| Zone of inhibition against S. aureus. | ||||||||||
| 1. | Decoction | 5 ± 1 | 7 ± 1 | 8 ± 1 | - | 4 ± 0 | 6 ± 2 | - | - | 10 ± 0 |
| 2. | Aqueous | 6 ± 0 | 8 ± 0 | 9 ± 0 | - | 4 ± 0 | 6 ± 0 | - | - | 9 ± 2 |
| 3. | Chloroform | - | - | 8 ± 0 | - | - | - | - | 4 ± 1 | 4 ± 0 |
| 4. | Ethanol | - | - | 17 ± 2 | - | 5 ± 0 | 8 ± 1 | - | 6 ± 0 | 20 ± 2 |
| 5. | Negative control (NC) | 4 ± 2 | ||||||||
| 6. | Positive control (PC) | 20 ± 1 | ||||||||
| S. No. | Compounds | Retention Time (min) | % of Total | Compound Type | Type |
|---|---|---|---|---|---|
| 1. | Phthalic acid, monoamide, N,N-diheptyl, pentyl ester | 27,108 | 15.571 | Alkaloid | Antimicrobial [22] |
| 2. | Xanthine, 8-[3-iodocyclopentyl]-1,3-dipropyl- | 27,108 | 15.571 | Alkaloid | - |
| 3. | Benzoxazole, 2,2’-(2,5-thiophenediyl)bis[5 -(1,1-dimethylethyl)- | 27,108 | 15.571 | Alkaloid | - |
| 4. | Benzamide, N,N-didecyl-4-methoxy- | 27,108 | 15.571 | Alkaloid | - |
| 5. | 14-Acetyldictyocarpine | 30,186 | 6.952 | Alkaloid | - |
| 6. | 2-(2-Hydroxy-4-octyloxyphenyl)-5-(4-octyloxyphenyl)pyrimidine | 30,186 | 6.952 | Alkaloid | - |
| 7. | Silanamine, N-[(17β)-3,17-bis[(trimethylsilyl)oxy]estra-1,3,5(10)-trien-2-yl]-1,1,1-trimethyl- | 30,186 | 6.952 | Alkaloid | |
| 8. | Vobtusine, anhydrode(methoxycarbonyl)- | 30,186 | 6.952 | Alkaloid | |
| 9. | Dipyridamole | 30,186 | 6.952 | Alkaloid | Antimicrobial [23] |
| 10. | trans-4-Nitro-4’-(octadecyloxy)chalcone | 30,186 | 6.952 | Alkaloid | Antimicrobial [24] |
| 11. | Terbutaline, N-trifluoroacetyl-o,o,o-tris(trimethylsilyl)deriv. | 32,943 | 10.516 | Alkaloid | |
| 12. | 1,6-bis(4’-Chlorophenyl)-3-methyl-4,5-dihydropyrazolo[3,4-b]pyridine | 32,943 | 10.516 | Alkaloid | |
| 13. | 6-Aza-5,7,12,14-tetrathiapentacene | 32,943 | 10.516 | Alkaloid | |
| 14. | Benzeneethanamine, N-[(pentafluorophenyl)methylene]-.beta.,3,4-tris[(trimethylsilyl)oxy]- | 32,943 | 10.516 | Alkaloid | |
| 15. | Piperazine-1-ethanol, 4-(2-diethylaminosulfonyll-4-nitrophenyl)- | 32,943 | 10.516 | Alkaloid | |
| 16. | O,O,O-Tris-trimethylsilyl-epinephrine | 32,943 | 10.516 | Alkaloid | |
| 17. | Amodiaquine | 32,943 | 10.516 | Alkaloid | Antimicrobial [25] |
| 18. | 1,6-bis(4’-Chlorophenyl)-3-methylpyrazolo[3,4-b]pyridine | 32,943 | 10.516 | Alkaloid | |
| 19. | Amodiaquine TMS derivative | 32,943 | 10.516 | Alkaloid | Antimicrobial [25] |
| 20. | Cobalt, bis(.eta.-5-piperidinylcyclopentadienyl)- | 32,943 | 10.516 | Alkaloid | Antimicrobial [26] |
| 21. | Glycine, N-methylsulfonyl-N-(4-chloro-2-methylphenyl)-, 4-benzylpiperidide | 32,943 | 10.516 | Alkaloid | - |
| 22. | N-(4-{1-[4-(4-Acetylaminophenoxy)-3-methoxyphenyl]-2-[(4-acetylamino-phenyl)methylamino]ethoxy}phenyl)acetamide | 38,499 | 6.315 | Alkaloid | - |
| 23. | Cholest-2-eno[2,3-b]indole, 1′-methyl-5’-methoxy- | 38,499 | 6.315 | Alkaloid | - |
| 24. | 4-(4-Ethoxycarbonylbuta-1,3-dienyl)-1-methyl-2,5-diphenyl-1H-pyrrole-3-carboxylic acid, ethyl ester | 38,499 | 6.315 | Alkaloid | - |
| 25. | Cholest-2-eno[2,3-b]indole, 1′-methyl-4’-methoxy- | 38,499 | 6.315 | Alkaloid | - |
| 26. | (3,4-Dimethyl-5-oxo-2,5-dihydro-1H-pyrrol-2-yl)-[4,4-dimethyl-5-(2,3,3-trimethyl | 38,499 | 6.315 | Alkaloid | - |
| 27. | 2,16,27,28-Tetraazaheptacyclo[15.7.1.1(3,25).1(5,8).1(10,13).1(15,19).0(18,21)]nonacosa-1,3,5,7,9,11,13(28),14,17,19(29)-decaene-20,22-dione,12-ethyl-21-methoxy-6,11,26,29-tetramethyl-7-ethenyl- | 38,499 | 6.315 | Alkaloid | - |
| 28. | 7-Chloro-1-[[3-[dimethylamino]propyl]imino-2-ethyl-1,3,4,10-tetrahydro-3-(p-trifluorophenyl)-9(2H)acridinone | 38,499 | 6.315 | Alkaloid | - |
| 29. | (3,4-Dimethyl-5-oxo-2,5-dihydro-1H-pyrrol-2-yl)-[4,4-dimethyl-5-(2,3,3-trimethyl-5-methylthio-3,4-dihydro-2H-pyrrol-2-ylmethylene)pyrrolidin-2-ylene]-thioacetic acid, S-(tert-butyl) ester | 38,499 | 6.315 | Alkaloid | - |
| 30. | Silanamine, N-[(17β)-3,17-bis[(trimethylsilyl)oxy]estra-1,3,5(10)-trien-2-yl]-1,1,1-trimethyl- | 38,499 | 6.315 | Alkaloid | - |
| 31. | N-[3-(4-Fluoro-phenoxy)-5-nitro-phenyl]-2-(4-trifluoromethyl-5,6-dihydro-benzo[h]quinazolin-2-ylsulfanyl)-acetamide | 38,499 | 6.315 | Alkaloid | - |
| 32. | Cholest-2-eno[2,3-b]indole, 1′-methyl-7’-methoxy- | 38,499 | 6.315 | Alkaloid | - |
| 33. | Fluvalinate | 38,499 | 6.315 | Alkaloid | - |
| 34. | ⍺-Lumicolchicine | 40,979 | 7.639 | Alkaloid | - |
| 35. | β-Lumicolchicine | 40,979 | 7.639 | Alkaloid | - |
| 36. | γ-Lumicolchicine | 40,979 | 7.639 | Alkaloid | - |
| 37. | 1H-Pyrrolo[2,3-f]quinoline-2,7,9-tricarboxylic acid, 2-ethyl 7,9-dimethyl ester | 40,979 | 7.639 | Alkaloid | - |
| 38. | 6,6’-Bis(phenylethynyl)-2,2’-bipyridine | 40,979 | 7.639 | Alkaloid | - |
| 39. | dl-⍺-Tocopherol succinate | 27,108 | 15.571 | Flavonoid | - |
| 40. | ⍺-Tocopherol-β-d-mannoside | 27,108 | 15.571 | Flavonoid | Antimicrobial [27] |
| 41. | Vitamin E acetate | 27,108 | 15.571 | Flavonoid | Antimicrobial [28] |
| 42. | Brousso-flavonol D | 30,186 | 6.952 | Flavonoid | - |
| 43. | ⍺-Tocopherol | 27,108 | 15.571 | Phenol | Antimicrobial [27] |
| 44. | Eupomatilone-3 | 27,108 | 15.571 | Lignan | - |
| 45. | Eupomatilone-4 | 27,108 | 15.571 | Lignan | - |
| 46. | Irieol | 27,108 | 15.571 | Terpenoid | - |
| 47. | 9-Deacetoxy-14,15-deepoxyxeniculin | 30,186 | 6.952 | Terpenoid | - |
| 48. | Benzeneacetic acid, alpha.,3,4-tris[(trimethylsilyl)oxy]-, trimethylsilyl ester | 32,943 | 10.516 | Terpenoid | - |
| 49. | Benzoic acid, 2,4-bis[(trimethylsilyl)oxy]-, trimethylsilyl ester | 32,943 | 10.516 | Terpenoid | - |
| 50. | Silane, [[4-[1,2-bis[(trimethylsilyl)oxy]ethyl]-1,2-phenylene]bis(oxy)]bis[trimethyl- | 32,943 | 10.516 | Terpenoid | - |
| 51. | Benzeneacetic acid, alpha.,3,4-tris[(trimethylsilyl)oxy]-, methyl ester | 32,943 | 10.516 | Terpenoid | - |
| 52. | Benzoic acid, 2,5-bis(trimethylsiloxy)-, trimethylsilyl ester | 32,943 | 10.516 | Terpenoid | - |
| 53. | 3,4-Dihydroxymandelic acid, ethyl ester, tri-TMS | 32,943 | 10.516 | Terpenoid | - |
| 54. | Benzoic acid, 2,3-bis[(trimethylsilyl)oxy]-, trimethylsilyl ester | 32,943 | 10.516 | Terpenoid | - |
| 55. | 3,5-Dihydroxybenzoic acid 3TMS | 32,943 | 10.516 | Terpenoid | - |
| 56. | Isoproterenol tri-TMS derivative | 32,943 | 10.516 | Terpenoid | - |
| 57. | N-(Trifluoroacetyl)-O,O′,O″-tris(trimethylsilyl)norepinephrine | 32,943 | 10.516 | Terpenoid | - |
| 58. | 2,6-Dihydroxybenzoic acid 3TMS | 32,943 | 10.516 | Terpenoid | Antimicrobial [29] |
| 59. | trans,trans-1,1′-(m-Phenylene)bis(3-(p-(methylthio)phenyl)-2-propen-1-one) | 35,821 | 9.054 | Terpenoid | - |
| 60. | 5⍺-Cholestan-19-oic acid, 2β-methoxy-(CAS) | 38,499 | 6.315 | Terpenoid | - |
| 61. | Estra-1,3,5(10)-triene-7,17-dione, 3-[(trimethylsilyl)oxy]- | 40,979 | 7.639 | Terpenoid | - |
| 62. | 5,12-d-Ethano(furo[2,3,4-mn]oxepino[2,3,4-ed]anthracen-9-ol-2-one), 6-methyl-12acetoxy-2a,3,4,4a,5,7,8a-octahydro- | 40,979 | 7.639 | Terpenoid | - |
| 63. | Kanzonol M; CHEBI:171678; 7-hydroxy-3-[2-hydroxy-4-methoxy-3-(3-methylbut-2-enyl)phenyl]-5-methoxy-3,4-dihydro-2H-chromene-8-carbaldehyde | 40,979 | 7.639 | Terpenoid | - |
| 64. | Oxirane | 3115 | 7.639 | - | - |
| PubChem ID | Molecule Name | Amino-Acid Interaction | Bond Length | Glide Score | Glide Energy |
|---|---|---|---|---|---|
| 597057 | 2-(1,2-Dihydroxyethyl)-5-[[2,5,7,8-tetramethyl-2-(4,8,12-trimethyltridecyl)-3,4-dihydrochromen-6-yl]oxy]oxolane-3,4-diol | ILE149, GLU151, LEU207, TYR258, ILE263, ILE236, GLN194, LEU197, ASN206 | (2.47, 2.57), (2.24, 1.60), (2.51), 2.30, 2.58, 2.35, 1.79, (1.48, 2.26), 1.90 | −8.264 | −47.143 |
| 632012 | Amodiaquine TMS derivative | TYR258, ARG209, ILE263, THR265, LEU207 | (2.38, 1.55, 1.86, 1.69, 2.40, 3.12, 2.42), (2.15, 2.39), 2.49, (2.51, 2.91), 2.55 | −8.131 | −38.567 |
| 2165 | Amodiaquine | ARG209 | 2.18, 2.16 | −7.919 | −42.785 |
| 641324 | 2-Propen-1-one, 3-hydroxy-1,3-diphenyl- | ILE236, LEU197, ARG209 | 2.22, 2.09, 2.20 | −7 | −32.675 |
| PubChem ID | Compound Name | Glide Score | Glide Energy |
|---|---|---|---|
| 597057 | ⍺-Tocopherol-β-d-mannoside | −8.264 | −47.143 |
| 632012 | Amodiaquine TMS derivative | −8.131 | −38.567 |
| 2165 | Amodiaquine | −7.919 | −42.785 |
| 641324 | 2-Propen-1-one, 3-hydroxy-1,3-diphenyl- | −7 | −32.675 |
| 5363841 | 3-Benzyl-4-hydroxy-3-pentene-2-one | −6.75 | −22.638 |
| 136819 | 1,2,3-Triphenylazulene | −6.532 | −20.565 |
| 457194 | ⍺-Conidendrin | −6.406 | −27.392 |
| 103763 | 2H-1-Benzopyran-6-ol, 3,4-dihydro-2-methoxy-2,5,7,8-tetramethyl- | −6.402 | −32.184 |
| 631966 | N-(Pentafluorobenzylidene)-beta,3,4-tris(trimethylsiloxy) phenylethylamine | −6.357 | −39.166 |
| 631978 | Glycine, N-methylsulfonyl-N-(4-chloro-2-methylphenyl)-, 4-benzylpiperidide | −6.272 | −33.443 |
| 621281 | 3-(N-Methylanilino)-2-(triphenylsilyl)-2-cyclobuten-1-one | −6.092 | −31.995 |
| 3108 | Dipyridamole | −5.693 | −49.056 |
| 8117 | Di(hydroxyethyl)ether | −5.642 | −27.889 |
| 6426589 | 2-(4-Methoxyphenyl)amino-5,6-difluoro-3-trifluoromethyl-4-heptafluoropropylthiopyridine | −5.503 | −29.084 |
| 11776 | Triphenylphosphine | −5.489 | −19.828 |
| 624972 | 4-Hydroxy-3-methoxyphenylacetic acid, ethyl ester, PFP | −5.466 | −28.284 |
| 5379882 | trans,trans-1,1′-(m-Phenylene)bis(3-(p-(methylthio)phenyl)-2-propen-1-one) | −5.448 | −41.081 |
| 634764 | Xanthine, 8-[3-iodocyclopentyl]-1,3-dipropyl- | −5.418 | −36.475 |
| 348969051 | diethyl 2-(1-hydroxyethylidene)malonate | −5.214 | −30.149 |
Publisher’s Note: MDPI stays neutral with regard to jurisdictional claims in published maps and institutional affiliations. |
© 2022 by the authors. Licensee MDPI, Basel, Switzerland. This article is an open access article distributed under the terms and conditions of the Creative Commons Attribution (CC BY) license (https://creativecommons.org/licenses/by/4.0/).
Share and Cite
Kaviya, M.; Balasubramanian, B.; Bharathi, K.; Malaisamy, A.; Al-Dhabi, N.A.; Mariadhas, V.A.; Anand, A.V.; Liu, W. Evaluation of Nutritional Substances and Investigation of Antioxidant and Antimicrobial Potentials of Boerhavia diffusa with in Silico Molecular Docking. Molecules 2022, 27, 1280. https://doi.org/10.3390/molecules27041280
Kaviya M, Balasubramanian B, Bharathi K, Malaisamy A, Al-Dhabi NA, Mariadhas VA, Anand AV, Liu W. Evaluation of Nutritional Substances and Investigation of Antioxidant and Antimicrobial Potentials of Boerhavia diffusa with in Silico Molecular Docking. Molecules. 2022; 27(4):1280. https://doi.org/10.3390/molecules27041280
Chicago/Turabian StyleKaviya, Mohandass, Balamuralikrishnan Balasubramanian, Kathirvel Bharathi, Arunkumar Malaisamy, Naif Abdullah Al-Dhabi, Valan Arasu Mariadhas, Arumugam Vijaya Anand, and Wenchao Liu. 2022. "Evaluation of Nutritional Substances and Investigation of Antioxidant and Antimicrobial Potentials of Boerhavia diffusa with in Silico Molecular Docking" Molecules 27, no. 4: 1280. https://doi.org/10.3390/molecules27041280
APA StyleKaviya, M., Balasubramanian, B., Bharathi, K., Malaisamy, A., Al-Dhabi, N. A., Mariadhas, V. A., Anand, A. V., & Liu, W. (2022). Evaluation of Nutritional Substances and Investigation of Antioxidant and Antimicrobial Potentials of Boerhavia diffusa with in Silico Molecular Docking. Molecules, 27(4), 1280. https://doi.org/10.3390/molecules27041280

