Enzymatic Oxidation of Tea Catechins and Its Mechanism
Abstract
:1. Introduction
2. Major Components in Tea
2.1. The Major Polyphenol Compounds in Green Tea
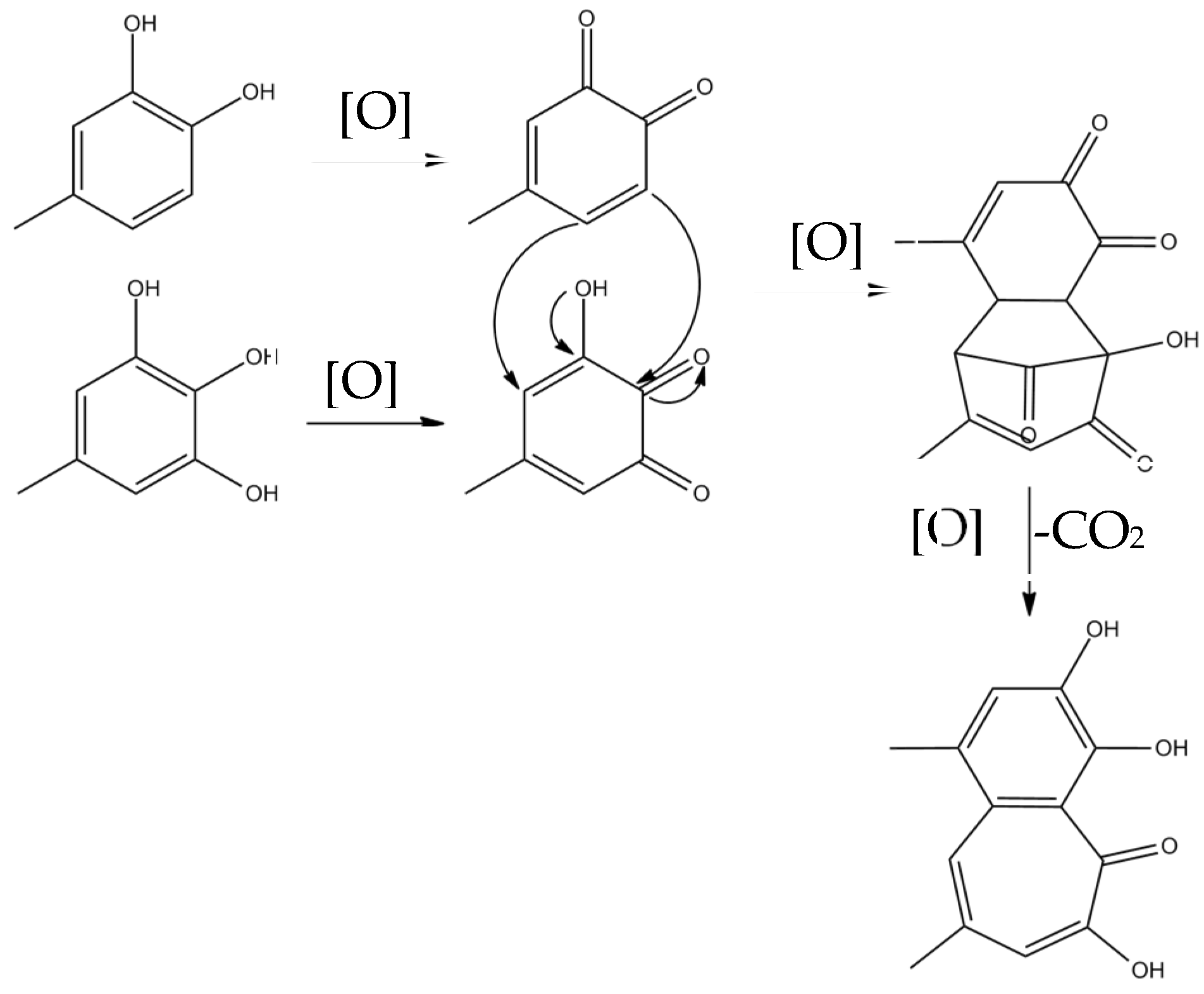
2.2. Benzotroplone Derivates in Tea
2.3. Theanaphthoquinone in Tea
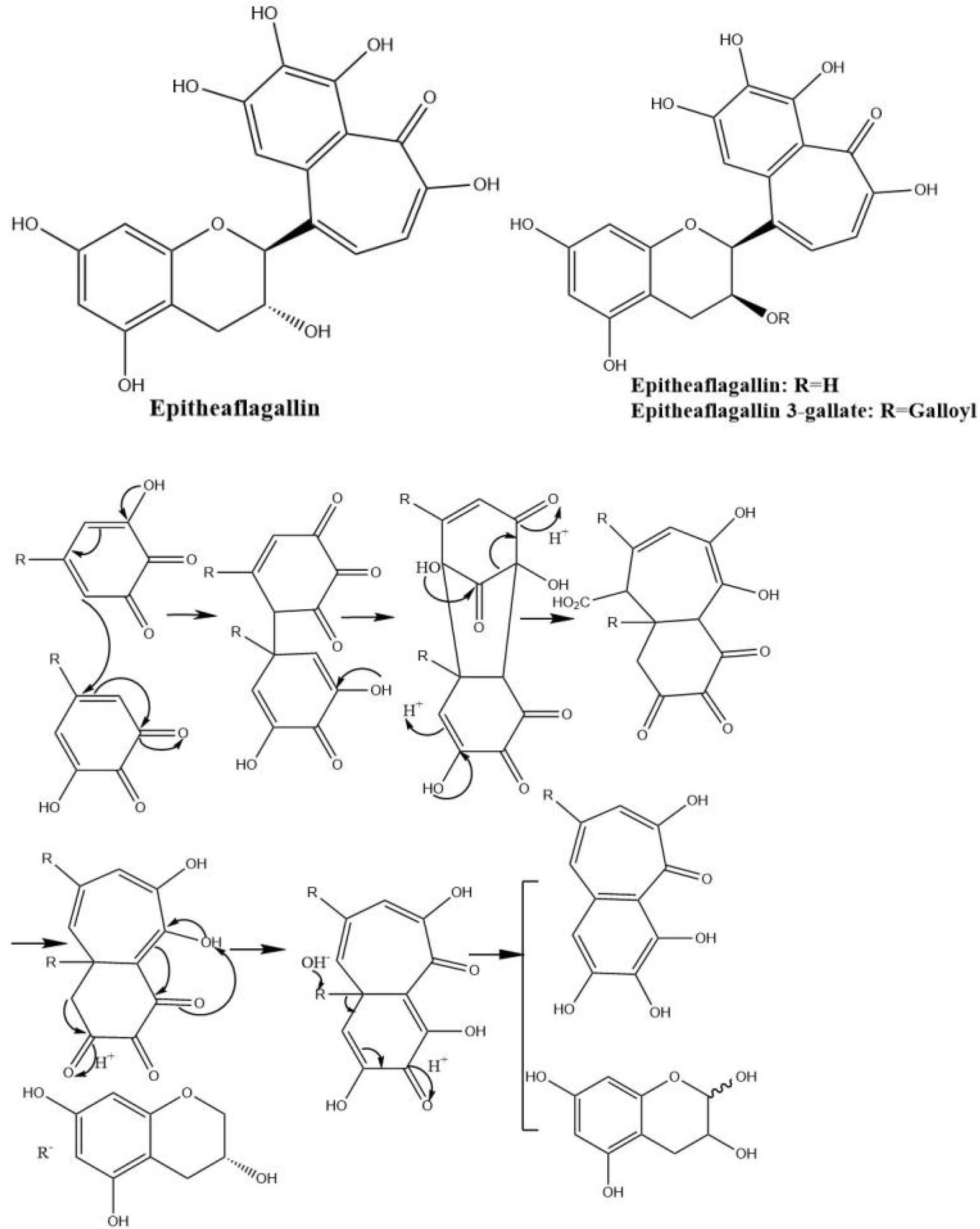
2.4. Theaflagallinas in Tea
2.5. Theasinensin Derivates and Oolongtheanins in Tea
2.6. Theacitrin Derivates in Tea
2.7. Dimers of Theaflavin Derivates in Tea
2.8. Thearubigins in Tea
3. Conclusions
Author Contributions
Funding
Institutional Review Board Statement
Informed Consent Statement
Conflicts of Interest
References
- Balentine, D.A.; Wiseman, S.A.; Bouwens, L.C. The chemistry of tea flavonoids. Crit. Rev. Food Sci. Nutr. 1997, 37, 693–704. [Google Scholar] [CrossRef] [PubMed]
- Wang, Y.; Kan, Z.; Thompson, H.J.; Ling, T.; Ho, C.T.; Li, D.; Wan, X. Impact of six typical processing methods on the chemical composition of tea leaves using a single Camellia sinensis cultivar, Longjing 43. J. Agric. Food Chem. 2019, 67, 5423–5436. [Google Scholar] [CrossRef] [PubMed]
- Alfke, J.; Kampermann, U.; Kalinina, S.; Esselen, M. Isolation and structural elucidation of dimeric epigallocatechin 3 gallate autoxidation products and their antioxidant capacity. Eur. Food Res. Technol. 2021, 247, 2961–2975. [Google Scholar] [CrossRef]
- Harbowy, M.E.; Balentine, D.A. Tea chemistry. Crit. Rev. Plant Sci 1997, 16, 415–480. [Google Scholar] [CrossRef]
- Graham, H.N. Green tea composition, consumption, and polyphenol chemistry. Prev. Med. 1992, 21, 334–350. [Google Scholar] [CrossRef]
- Chiu, F.L.; Lin, J.K. HPLC analysis of naturally occurring methylated catechins, 3′’--and 4′’-methyl-epigallocatechin gallate, in various fresh tea leaves and commercial teas and their potent inhibitory effects on inducible nitric oxide synthase in macrophages. J. Agric. Food Chem. 2005, 53, 7035–7042. [Google Scholar] [CrossRef] [PubMed]
- Engelhardt, U.H.; Finger, A.; Kuhr, S. Determination of flavone C-glycosides in tea. Z Lebensm Unters 1993, 197, 239–244. [Google Scholar] [CrossRef] [PubMed]
- Lin, L.Z.; Chen, P.; Harnly, J.M. New phenolic components and chromatographic profiles of green and fermented teas. J. Agric. Food Chem. 2008, 56, 8130–8140. [Google Scholar] [CrossRef] [Green Version]
- Abeywickrama, K.R.W.; Ratnasooriya, W.D.; Amarakoon, A.M.T. Oral hypoglycaemic, antihyperglycaemic and antidiabetic activities of Sri Lankan Broken Orange Pekoe Fannings (BOPF) grade black tea (Camellia sinensis L.) in rats. J. Ethnopharmacol. 2011, 135, 278–286. [Google Scholar] [CrossRef]
- Qi, D.D.; Miao, A.Q.; Chen, W.; Wang, W.W.; He, X.G.; Ma, C.Y. Characterization of the volatile compounds profile of the innovative broken oolong-black tea in comparison with broken oolong and broken black tea. Food Control 2021, 129, 108197. [Google Scholar] [CrossRef]
- Takino, Y.; Imagawa, H.; Horikawa, H.; Tanaka, A. Studies on the mechanism of the oxidation of tea leaf catechins: Part III. Formation of a reddish orange pigment and its spectral relationship to some benzotropolone derivatives. Agric. Biol. Chem. 1964, 28, 64–71. [Google Scholar] [CrossRef] [Green Version]
- Nonaka, G.; Kawahara, O.; Nishioka, I. Tannins and related compounds. XV. A new class of dimeric flavan-3-ol gallates, theasinensins A and B, and proanthocyanidin gallates from green tea leaf (1). Chem. Pharm. Bull. 1983, 31, 3906–3914. [Google Scholar] [CrossRef] [Green Version]
- Tanaka, T.; Matsuo, Y.; Kouno, I. Chemistry of secondary polyphenols produced during processing of tea and selected foods. Int. J. Mol. Sci. 2010, 11, 14–40. [Google Scholar] [CrossRef]
- Kusano, R.; Tanaka, T.; Matsuo, Y.; Kounoet, I. Structures of epicatechin gallate trimer and tetramer produced by enzymatic oxidation. Chem. Pharm. Bull. 2007, 55, 1768–1772. [Google Scholar] [CrossRef] [Green Version]
- Finger, A. In vitro studies on the effect of polyphenol oxidase and peroxidase in the formation of black tea constituents. J. Sci. Food Agric. 1994, 66, 293–305. [Google Scholar] [CrossRef]
- Kuhnert, N.; Drynan, J.W.; Obuchowicz, J.; Clifford, M.N.; Witt, M. Mass spectrometric characterization of black tea thearubigins leading to an oxidative cascade hypothesis for thearubigin formation. Rapid Commun. Mass Spectrom. 2010, 24, 3387–3404. [Google Scholar] [CrossRef]
- Tanaka, T.; Matsuo, Y. Production mechanisms of black tea polyphenols. Chem. Pharm. Bull. 2020, 68, 1131–1142. [Google Scholar] [CrossRef]
- Sang, S.; Tian, S.; Stark, R.E.; Yang, C.S.; Ho, C.T. New dibenzotropolone derivatives characterized from black tea using LC/MS/MS. Bioorg Med. Chem. 2004, 12, 3009–3017. [Google Scholar] [CrossRef]
- Jolvis Pou, K.R. Fermentation: The key step in the processing of Black Tea. J. Biosys. Eng. 2016, 41, 85–92. [Google Scholar] [CrossRef] [Green Version]
- Stodt, U.W.; Blauth, N.; Niemann, S.; Stark, J.; Pawar, V.; Jayaraman, S.; Koek, J.; Engelhardt, U.H. Investigation of processes in black tea manufacture through model fermentation (oxidation) experiments. J. Agric. Food Chem. 2014, 62, 7854–7861. [Google Scholar] [CrossRef]
- Sang, S.; Lambert, J.D.; Ho, C.T.; Yang, C.S. The chemistry and biotransformation of tea constituents. Pharm. Res. 2011, 64, 87–99. [Google Scholar] [CrossRef] [PubMed]
- Verloop, A.J.W.; Vincken, J.P.; Gruppen, H. Peroxidase can perform the hydroxylation step in the “oxidative cascade” during oxidation of tea catechins. J. Agric. Food Chem. 2016, 64, 8002–8009. [Google Scholar] [CrossRef] [PubMed]
- Bonnely, S.; Davis, A.L.; Lewis, J.R.; Astill, C. A model oxidation system to study oxidised phenolic compounds present in black tea. Food Chem. 2003, 83, 485–492. [Google Scholar] [CrossRef]
- Sang, S.; Tian, S.; Meng, X.; Stark, R.E.; Rosen, R.T.; Yang, C.S.; Ho, C.T. Theadibenzotropolone A, a new type pigment from enzymatic oxidation of (−)-epicatechin and (−)-epigallocatechin gallate and characterized from black tea using LC/MS/MS. Tetrahedron Lett. 2002, 43, 7129–7133. [Google Scholar] [CrossRef]
- Tanaka, T.; Yasumatsu, M.; Hirotani, M.; Matsuo, Y.; Li, N.; Zhu, H.T.; Saito, Y.; Ishimaru, K.; Zhang, Y.J. New degradation mechanism of black tea pigment theaflavin involving condensation with epigallocatechin-3-O-gallate. Food Chem. 2022, 370, 131326. [Google Scholar] [CrossRef]
- Matsuo, Y.; Tanaka, T.; Kouno, I. A new mechanism for oxidation of epigallocatechin and production of benzotropolone pigments. Tetrahedron 2006, 62, 4774–4783. [Google Scholar] [CrossRef]
- Li, Y.; Tanaka, T.; Kouno, I. Oxidative coupling of the pyrogallol B-ring with a galloyl group during enzymatic oxidation of epigallocatechin 3-O-gallate. Phytochemistry 2007, 68, 1081–1088. [Google Scholar] [CrossRef]
- Yamashita, T.; Matsuo, Y.; Saito, Y.; Tanaka, T. Formation of dehydrohexahydroxydiphenoyl esters by oxidative coupling of galloyl esters in an aqueous medium involved in ellagitannin biosynthesis. Chem. Asian J. 2021, 16, 1735–1740. [Google Scholar] [CrossRef]
- Barbehenn, R.V.; Jones, C.P.; Hagerman, A.E.; Karonen, M.; Salminen, J.P. Ellagitannins have greater oxidative activities than condensed tannins and galloyl glucoses at high pH: Potential impact on caterpillars. J. Chem. Ecol. 2006, 32, 2253–2267. [Google Scholar] [CrossRef]
- Tanaka, T.; Kouno, I. Oxidation of tea catechins: Chemical structures and reaction mechanism. Food Sci. Technol. Res. 2003, 9, 128–133. [Google Scholar] [CrossRef] [Green Version]
- Matsuo, Y.; Tanaka, T. Oxidation mechanism of polyphenols and chemistry of black tea. In Recent Advances in Polyphenol Research; John Wiley & Sons, Ltz.: Oxford, UK, 2017; pp. 67–85. [Google Scholar]
- Haslam, E. Thoughts on thearubigins. Phytochemistry 2003, 64, 61–73. [Google Scholar] [CrossRef]
- Andueza, A.; García-Garzón, A.; Galarreta, M.R.; Ansorena, E.; Iraburu, M.J.; López-Zabalza, M.J.; Martínez-Irujo, J.J. Oxidation pathways underlying the pro-oxidant effects of apigenin. Free Radic. Biol. Med. 2015, 87, 169–180. [Google Scholar] [CrossRef] [PubMed]
- Li, S.M.; Lo, C.Y.; Pan, M.H.; Lai, C.S.; Ho, C.T. Black tea: Chemical analysis and stability. Food Funct. 2013, 4, 10–18. [Google Scholar] [CrossRef] [PubMed]
- Sang, S.M.; Yang, C.S.; Ho, C.T. Peroxidase-mediated oxidation of catechins. Phytochem. Rev. 2004, 3, 229–241. [Google Scholar] [CrossRef]
- Lewis, J.R.; Davis, A.L.; Cai, Y.; Davies, A.P.; Wilkins, J.P.G.; Pennington, M. Theaflavate B, isotheaflavin-3′-O-gallate and neotheaflavin-3-O-gallate: Three polyphenolic pigments from black tea. Phytochemistry 1998, 49, 2511–2519. [Google Scholar] [CrossRef]
- Zhang, L.; Ho, C.T.; Zhou, J.; Santos, J.S.; Armstrong, L.; Granato, D. Chemistry and biological activities of processed Camellia sinensis teas: A comprehensive review. Compr. Rev. Food Sci. Food Saf. 2019, 18, 1474–1495. [Google Scholar] [CrossRef] [Green Version]
- Tounekti, T.; Joubert, E.; Hernández, I.; Munné-Bosch, S. Improving the polyphenol content of tea. Crit. Rev. Plant. Sci. 2013, 32, 192–215. [Google Scholar] [CrossRef]
- Wan, X.; Nursten, H.E.; Cai, Y.; Davis, A.L.; Wilkins, J.P.G.; Davies, A.P. A new type of tea pigment-from the chemical oxidation of epicatechin gallate and isolated from tea. J. Sci. Food Agric. 1997, 74, 401–408. [Google Scholar] [CrossRef]
- Menet, M.C.; Sang, S.; Yang, C.S.; Ho, C.T.; Rosen, R.T. Analysis of theaflavins and thearubigins from black tea extract by MALDI-TOF mass spectrometry. J. Agric. Food Chem. 2004, 52, 2455–2461. [Google Scholar] [CrossRef]
- Drynan, J.W.; Clifford, M.N.; Obuchowicz, J.; Kuhnert, N. The chemistry of low molecular weight black tea polyphenols. Nat. Prod. Rep. 2010, 27, 417–462. [Google Scholar] [CrossRef]
- Wang, Y.; Ho, C.T. Polyphenolic chemistry of tea and coffee: A century of progress. J. Agric. Food Chem. 2009, 57, 8109–8114. [Google Scholar] [CrossRef] [PubMed]
- Chen, H.D.; Shurlknight, K.; Leung, T.C.; Sang, S. Structural identification of theaflavin trigallate and tetragallate from black tea using liquid chromatography/electrospray ionization tandem mass spectrometry. J. Agric. Food Chem. 2012, 60, 10850–10857. [Google Scholar] [CrossRef]
- Sang, S.M.; Yang, I.; Buckley, B.; Ho CTYang, C.S. Autoxidative quinone formation in vitro and metabolite formation in vivo from tea polyphenol (-)-epigallocatechin-3-gallate: Studied by real-time mass spectrometry combined with tandem mass ion mapping. Free Radic. Biol. Med. 2007, 43, 362–371. [Google Scholar] [CrossRef] [PubMed] [Green Version]
- Deka, H.; Sarmah, P.P.; Devi, A.; Tamulya, P.; Karak, T. Changes in major catechins, caffeine, and antioxidant activity during CTC processing of black tea from North East India. RSC Adv. 2021, 11, 11457–11467. [Google Scholar] [CrossRef]
- Powell, C. Characterisation of Theacitrins. In Polyphenolic Pigments of Black Tea; ProQuest LLC.: Guildford, UK, 1994; pp. 101–127. [Google Scholar]
- Qiao, J.P.; Kong, X.Y.; Kong, A.Y.; Han, M. Pharmacokinetics and biotransformation of tea polyphenols. Curr. Drug Metab. 2014, 15, 30–36. [Google Scholar] [CrossRef] [Green Version]
- Sang, S.M.; Lee, M.J.; Hou, Z.; Ho, C.T.; Yang, C.S. Stability of tea polyphenol (−)-epigallocatechin-3-gallate and formation of dimers and epimers under common experimental conditions. J. Agric. Food Chem. 2005, 53, 9478–9484. [Google Scholar] [CrossRef]
- Tanaka, T.; Watarumi, S.; Matsuo, Y.; Kamei, M.; Kouno, I. Production of theasinensins A and D, epigallocatechin gallate dimers of black tea, by oxidation-reduction dismutation of dehydrotheasinensin A. Tetrahedron 2003, 59, 7939–7947. [Google Scholar] [CrossRef]
- Matsuo, Y.; Tadakuma, F.; Shii, T.; Saito, Y.; Tanaka, T. Selective oxidation of pyrogallol-type catechins with unripe fruit homogenate of Citrus unshiu and structural revision of oolongtheanins. Tetrahedron 2015, 71, 2540–2548. [Google Scholar] [CrossRef] [Green Version]
- Davis, A.L.; Lewis, J.R.; Cai, Y.; Powell, C.; Davis, A.P.; Wilkins, J.P.G.; Pudney, P.; Clifford, M.N. A polyphenolic pigment from black tea. Phytochemistry 1997, 46, 1397–1402. [Google Scholar] [CrossRef]
- Matsuo, Y.; Li, Y.; Watarumi, S.; Tanaka, T.; Kouno, I. Production and degradation mechanism of theacitrin C, a black tea pigment derived from epigallocatechin-3-O-gallate via a bicyclo [3.2.1] octane-type intermediate. Tetrahedron 2011, 67, 2051–2059. [Google Scholar] [CrossRef] [Green Version]
- Tanaka, T.; Inoue, K.; Betsumiya, Y.; Mine, C.; Kouno, I. Two types of oxidative dimerization of the black tea polyphenol theaflavin. J. Agric. Food Chem. 2001, 49, 5785–5789. [Google Scholar] [CrossRef] [PubMed]
- Tanaka, T.; Mine, C.; Inoue, K.; Matsuda, M.; Kouno, I. Synthesis of theaflavin from epicatechin and epigallocatechin by plant homogenates and role of epicatechin quinone in the synthesis and degradation of theaflavin. J. Agric. Food Chem. 2002, 50, 2142–2148. [Google Scholar] [CrossRef] [PubMed]
- Kusano, R.; Andou, H.; Fujieda, M.; Tanaka, T.; Matsuo, Y.; Kouno, I. Polymer-like polyphenols of black tea and their lipase and amylase inhibitory activities. Chem. Pharm. Bull. 2008, 56, 266–272. [Google Scholar] [CrossRef] [PubMed] [Green Version]
- Elena, O. Understanding Interactions of Mucins with Flavour Mompounds in Tea; ProQuest Dissertations Publishing: Manchester, UK, 2019. [Google Scholar]
- Bailey, R.G.; Nursten, H.E.; McDowell, I. Comparative study of the reversed-phase high-performance liquid chromatography of black tea liquors with special reference to the thearubigins. J. Chromatogr. A 1991, 542, 115–128. [Google Scholar] [CrossRef]
- Yassin, G.H.; Koek, J.H.; Jayaraman, S.; Kuhner, N. Identification of novel homologous series of polyhydroxylated theasinensins and theanaphthoquinones in the SII sraction of black tea thearubigins using ESI/HPLC tandem mass spectrometry. J. Agric. Food Chem. 2014, 62, 9848–9859. [Google Scholar] [CrossRef]












Publisher’s Note: MDPI stays neutral with regard to jurisdictional claims in published maps and institutional affiliations. |
© 2022 by the authors. Licensee MDPI, Basel, Switzerland. This article is an open access article distributed under the terms and conditions of the Creative Commons Attribution (CC BY) license (https://creativecommons.org/licenses/by/4.0/).
Share and Cite
Abudureheman, B.; Yu, X.; Fang, D.; Zhang, H. Enzymatic Oxidation of Tea Catechins and Its Mechanism. Molecules 2022, 27, 942. https://doi.org/10.3390/molecules27030942
Abudureheman B, Yu X, Fang D, Zhang H. Enzymatic Oxidation of Tea Catechins and Its Mechanism. Molecules. 2022; 27(3):942. https://doi.org/10.3390/molecules27030942
Chicago/Turabian StyleAbudureheman, Buhailiqiemu, Xiaochun Yu, Dandan Fang, and Henghui Zhang. 2022. "Enzymatic Oxidation of Tea Catechins and Its Mechanism" Molecules 27, no. 3: 942. https://doi.org/10.3390/molecules27030942
APA StyleAbudureheman, B., Yu, X., Fang, D., & Zhang, H. (2022). Enzymatic Oxidation of Tea Catechins and Its Mechanism. Molecules, 27(3), 942. https://doi.org/10.3390/molecules27030942
