A Chromo-Fluorogenic Naphthoquinolinedione-Based Probe for Dual Detection of Cu2+ and Its Use for Various Water Samples
Abstract
:1. Introduction
2. Results and Discussion
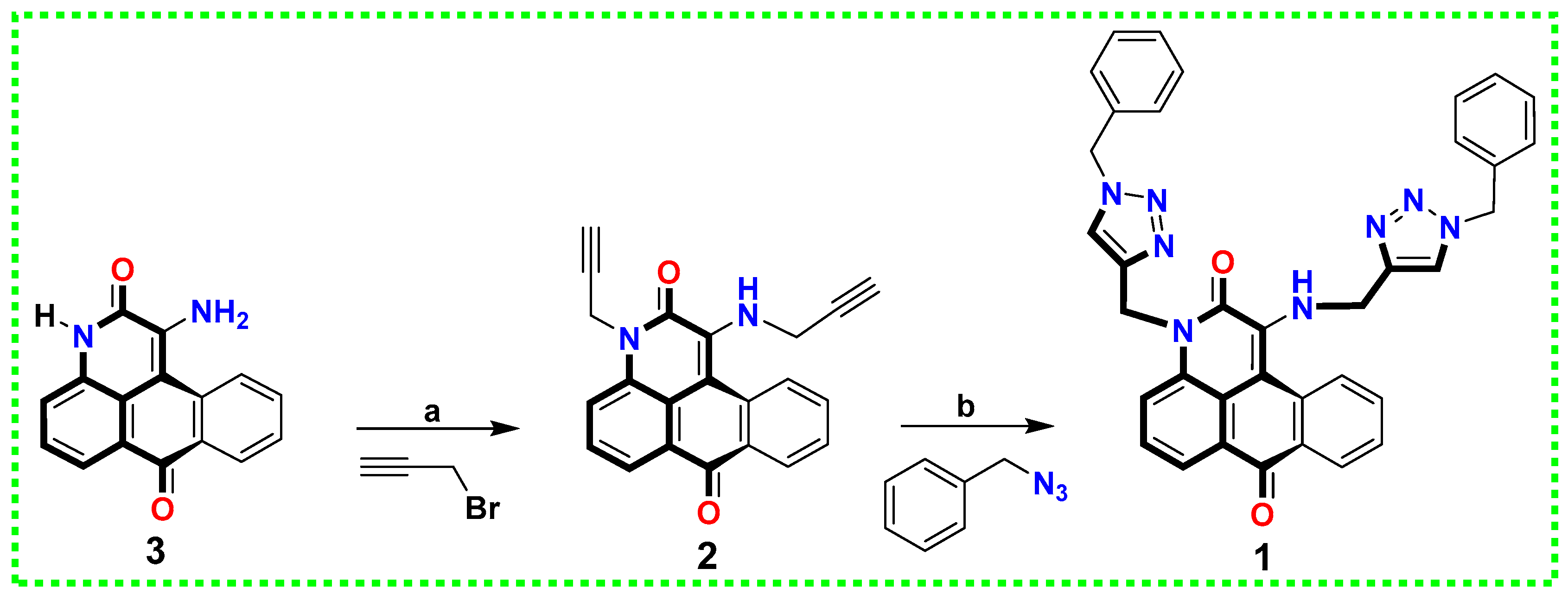
2.1. Synthesis and Characterization of Probe 1
2.2. Spectroscopic Characterization and Sensing Ability of Probe 1
2.3. Density Functional Theory (DFT) Calculations for Probe 1 and Its Cu2+ Complex
2.4. Practical Application of Probe 1
3. Materials and Methods
3.1. General Chemicals and Materials
3.2. Parameters and Conditions for Photo-Physical Studies of Probe 1
3.3. LOD Calculation of Probe 1 for Cu2+ Detection
3.4. Theoretical Calculations
3.5. Synthesis of Probe 1
3.5.1. Compound 2
3.5.2. Probe 1
3.6. Live Cell Imaging
4. Conclusions
Supplementary Materials
Author Contributions
Funding
Institutional Review Board Statement
Informed Consent Statement
Data Availability Statement
Conflicts of Interest
Sample Availability
References
- Shimizu, T.; Lengalova, A.; Martinek, V.; Martinkova, M. Heme: Emergent roles of heme in signal transduction, functional regulation and as catalytic centres. Chem. Soc. Rev. 2019, 48, 5624–5657. [Google Scholar] [CrossRef] [PubMed]
- Berg, J.M.; Shi, Y. The galvanization of biology: A growing appreciation for the roles of zinc. Science 1996, 271, 1081–1085. [Google Scholar] [CrossRef] [PubMed]
- Lippard, S.J.; Berg, J.M. Principles of Bioinorganic Chemistry; University Science Books: Mill Valley, CA, USA, 1994. [Google Scholar]
- Park, S.-H.; Kwon, N.; Lee, J.-H.; Yoon, J.; Shin, I. Synthetic ratiometric fluorescent probes for detection of ions. Chem. Soc. Rev. 2020, 49, 143–179. [Google Scholar] [CrossRef] [PubMed]
- Kumar, R.; Sharma, A.; Singh, H.; Suating, P.; Kim, H.S.; Sunwoo, K.; Shim, I.; Gibb, B.C.; Kim, J.S. Revisiting Fluorescent Calixarenes: From Molecular Sensors to Smart Materials. Chem. Rev. 2019, 119, 9657–9721. [Google Scholar] [CrossRef] [PubMed]
- Bertini, I.; Messori, L.; Viezzoli, M.S. Coordination compounds and life processes. Coord. Chem. Rev. 1992, 120, 163–192. [Google Scholar] [CrossRef]
- Silva, J.J.R.F.D.; Williams, R.J.P. The Biological Chemistry of the Elements; Clarendon Press: Oxford, UK, 1991. [Google Scholar]
- Carter, K.P.; Young, A.M.; Palmer, A.E. Fluorescent Sensors for Measuring Metal Ions in Living Systems. Chem. Rev. 2014, 114, 4564–4601. [Google Scholar] [CrossRef] [PubMed]
- Beutler, E. Iron storage disease: Facts, fiction and progress. Blood Cells Mol. Dis. 2007, 39, 140–147. [Google Scholar] [CrossRef] [Green Version]
- Sarpong-Kumankomah, S.; Gibson, M.A.; Gailer, J. Organ damage by toxic metals is critically determined by the bloodstream. Coord. Chem. Rev. 2018, 374, 376–386. [Google Scholar] [CrossRef]
- Goodman, J.E.; Prueitt, R.L.; Dodge, D.G.; Thakali, S. Carcinogenicity assessment of water-soluble nickel compounds. Crit. Rev. Toxicol. 2009, 39, 365–417. [Google Scholar] [CrossRef]
- Wu, D.; Chen, L.; Lee, W.; Ko, G.; Yin, J.; Yoon, J. Recent progress in the development of organic dye based near-infrared fluorescence probes for metal ions. Coord. Chem. Rev. 2018, 354, 74–97. [Google Scholar] [CrossRef]
- Xu, Z.; Yoon, J.; Spring, D.R. Fluorescent chemosensors for Zn2+. Chem. Soc. Rev. 2010, 39, 1996–2006. [Google Scholar] [CrossRef] [PubMed] [Green Version]
- Chyan, W.; Zhang, D.Y.; Lippard, S.J.; Radford, R.J. Reaction-based fluorescent sensor for investigating mobile Zn2+ in mitochondria of healthy versus cancerous prostate cells. Proc. Natl. Acad. Sci. USA 2014, 111, 143–148. [Google Scholar] [CrossRef] [PubMed] [Green Version]
- Peng, S.; He, Q.; Vargas-Zúñiga, G.I.; Qin, L.; Hwang, I.; Kim, S.K.; Heo, N.J.; Lee, C.-H.; Dutta, R.; Sessler, J.L. Strapped calix[4]pyrroles: From syntheses to applications. Chem. Soc. Rev. 2020, 49, 865–907. [Google Scholar] [CrossRef] [PubMed]
- Kumar, A.; Hur, W.; Seong, G.H.; Kumar, S.; Chae, P.S. Chromofluorogenic naphthoquinolinedione-based probes for sensitive detection and removal of Hg2+ in aqueous solutions. Dyes Pigments 2022, 198, 110025. [Google Scholar] [CrossRef]
- Li, J.; Wang, J.; Li, H.; Song, N.; Wang, D.; Tang, B.Z. Supramolecular materials based on AIE luminogens (AIEgens): Construction and applications. Chem. Soc. Rev. 2020, 49, 1144–1172. [Google Scholar] [CrossRef]
- Erbas-Cakmak, S.; Leigh, D.A.; McTernan, C.T.; Nussbaumer, A.L. Artificial Molecular Machines. Chem. Rev. 2015, 115, 10081–10206. [Google Scholar] [CrossRef] [Green Version]
- Kaur, K.; Saini, R.; Kumar, A.; Luxami, V.; Kaur, N.; Singh, P.; Kumar, S. Chemodosimeters: An approach for detection and estimation of biologically and medically relevant metal ions, anions and thiols. Coord. Chem. Rev. 2012, 256, 1992–2028. [Google Scholar] [CrossRef]
- Bothra, S.; Upadhyay, Y.; Kumar, R.; Kumar, S.K.A.; Sahoo, S.K. Chemically modified cellulose strips with pyridoxal conjugated red fluorescent gold nanoclusters for nanomolar detection of mercuric ions. Biosens. Bioelectron. 2017, 90, 329–335. [Google Scholar] [CrossRef]
- Jung, J.H.; Lee, J.H.; Shinkai, S. Functionalized magnetic nanoparticles as chemosensors and adsorbents for toxic metal ions in environmental and biological fields. Chem. Soc. Rev. 2011, 40, 4464–4474. [Google Scholar] [CrossRef]
- Tchounwou, P.B.; Yedjou, C.G.; Patlolla, A.K.; Sutton, D.J. Heavy Metals Toxicity and the Environment. Exp. Suppl. 2012, 101, 133–164. [Google Scholar]
- Clarkson, T.W.; Magos, L. The Toxicology of Mercury and Its Chemical Compounds. Crit. Rev. Toxicol. 2006, 36, 609–662. [Google Scholar] [CrossRef] [PubMed]
- Hare, D.J.; New, E.J.; de Jonge, M.D.; McColl, G. Imaging metals in biology: Balancing sensitivity, selectivity and spatial resolution. Chem. Soc. Rev. 2015, 44, 5941–5958. [Google Scholar] [CrossRef] [PubMed] [Green Version]
- Arena, G.; Mendola, D.L.; Pappalardo, G.; Sóvágó, I.; Rizzarelli, E. Interactions of Cu2+ with prion family peptide fragments: Considerations on affinity, speciation and coordination. Coord. Chem. Rev. 2012, 256, 2202–2218. [Google Scholar] [CrossRef]
- Udhayakumari, D.; Naha, S.; Velmathi, S. Colorimetric and fluorescent chemosensors for Cu2+. A comprehensive review from the years 2013–15. Anal. Methods 2017, 9, 552–578. [Google Scholar] [CrossRef]
- Rahimi, Y.; Goulding, A.; Shrestha, S.; Mirpuri, S.; Deo, S.K. Mechanism of copper induced fluorescence quenching of red fluorescent protein, DsRed. Biochem. Biophys. Res. Commun. 2008, 370, 57–61. [Google Scholar] [CrossRef] [PubMed] [Green Version]
- Gaetke, L.M.; Chow, C.K. Copper toxicity, oxidative stress, and antioxidant nutrients. Toxicology 2003, 189, 147–163. [Google Scholar] [CrossRef]
- Pal, A. Copper toxicity induced hepatocerebral and neurodegenerative diseases: An urgent need for prognostic biomarkers. Neuro Toxicol. 2014, 40, 97–101. [Google Scholar] [CrossRef]
- Zheng, W.; Monnot, A.D. Regulation of brain iron and copper homeostasis by brain barrier systems: Implication in neurodegenerative diseases. Pharmacol. Ther. 2012, 133, 177–188. [Google Scholar] [CrossRef] [Green Version]
- Squitti, R. Copper dysfunction in Alzheimer’s disease: From meta-analysis of biochemical studies to new insight into genetics. J. Trace Elem. Med. Biol. 2012, 26, 93–96. [Google Scholar] [CrossRef]
- Gaggelli, E.; Kozlowski, H.; Valensin, D.; Valensin, G. Copper Homeostasis and Neurodegenerative Disorders (Alzheimer’s, Prion, and Parkinson’s Diseases and Amyotrophic Lateral Sclerosis). Chem. Rev. 2006, 106, 1995. [Google Scholar] [CrossRef]
- Matthias, W.H.; Martina, U.M.; Nancy, C.A. Balancing Acts: Molecular Control of Mammalian Iron Metabolism. Cell 2004, 117, 285. [Google Scholar]
- Madsen, E.; Gitlin, J.D. Copper and Iron Disorders of the Brain. Annu. Rev. Neurosci. 2007, 30, 317. [Google Scholar] [CrossRef] [PubMed]
- Kardos, J.; Héja, L.; Simon, Á.; Jablonkai, I.; Kovács, R.; Jemnitz, K. Copper signalling: Causes and consequences. Cell Commun. Signal. 2018, 16, 71. [Google Scholar] [CrossRef] [Green Version]
- Wang, L.Y.; Fang, G.P.; Cao, D.R. A novel phenol-based BODIPY chemosensor for selective detection Fe3+ with colorimetric and fluorometric dual-mode. Sens. Actuator B Chem. 2015, 207, 849–857. [Google Scholar] [CrossRef]
- Schulte, J.; Ny, H. Electric Road Systems: Strategic Stepping Stone on the Way towards Sustainable Freight Transport? Sustainability 2018, 10, 1148. [Google Scholar] [CrossRef] [Green Version]
- Lamichhane, J.R.; Osdaghi, E.; Behlau, F.; Jones, J.K.J.B.; Aubertot, J.-N. Thirteen decades of antimicrobial copper compounds applied in agriculture. A review. Agron. Sustain. Dev. 2018, 38, 28. [Google Scholar] [CrossRef] [Green Version]
- Brewer, G.J. Copper in medicine. Curr. Opin. Chem. Biol. 2003, 7, 207–212. [Google Scholar] [CrossRef]
- Hordyjewska, A.; Popiołek, Ł.; Kocot, J. The many “faces” of copper in medicine and treatment. Biometals 2014, 27, 611–621. [Google Scholar] [CrossRef] [Green Version]
- Guidelines for Drinking Water Quality, 3rd ed.; World Health Organization: Geneva, Switzerland, 2004; p. 188.
- Ranee, S.J.; Sivaraman, G.; Pushpalatha, A.M.; Muthusubramanian, S. Quinoline based sensors for bivalent copper ions in living cells. Sens. Actuator B Chem. 2018, 255, 630–637. [Google Scholar] [CrossRef]
- Sivaraman, G.; Iniya, M.; Anand, T.; Kotla, N.G.; Sunnapu, O.; Singaravadivel, S.; Gulyani, A.; Chellappa, D. Chemically diverse small molecule fluorescent chemosensors for copper ion. Coord. Chem. Rev. 2018, 357, 50–104. [Google Scholar] [CrossRef]
- Yang, J.-Y.; Yang, T.; Wang, X.-Y.; Chen, M.-L.; Yu, Y.-L.; Wang, J.-H. Mercury Speciation with Fluorescent Gold Nanocluster as a Probe. Anal. Chem. 2018, 90, 6945–6951. [Google Scholar] [CrossRef] [PubMed]
- Yin, H.; Zhao, B.; Kan, W.; Ding, L.; Wang, L.; Song, B.; Wang, W.; Deng, Q. A phenanthro[9,10-d]imidazole-based optical sensor for dual-responsive turn-on detection of acidic pH and Cu2+ in chicken blood and living cells. Dyes Pigments 2020, 173, 107916. [Google Scholar] [CrossRef]
- Kumar, A.; Chae, P.S. Fluorescence tunable thiophene-bis(benzimidazole)-based probes for a cascade trace detection of Hg2+ and lysine: A molecular switch mimic. Sens. Actuator B Chem. 2019, 281, 933–944. [Google Scholar] [CrossRef]
- Kumar, A.; Chae, P.S. A simple and dual responsive ultrasensitive thioether-functionalizedpyrenesulfonamide for the cascade detection of mercury ion anddithiouracil, a mimetic system for molecular logic gates. Sens. Actuator B Chem. 2017, 251, 416–426. [Google Scholar] [CrossRef]
- Wang, J.; Ha, C.S. Fluorescent logic operations based on azobenzene-containing compounds. Sens. Actuator B Chem. 2010, 146, 373–380. [Google Scholar] [CrossRef]
- Kang, D.E.; Lim, C.S.; Kim, J.Y.; Kim, E.S.; Chun, H.J.; Cho, B.R. Two-Photon Probe for Cu2+ with an Internal Reference: Quantitative Estimation of Cu2+ in Human Tissues by Two-Photon Microscopy. Anal. Chem. 2014, 86, 5353–5359. [Google Scholar] [CrossRef]
- Shi, F.; Cui, S.; Liu, H.; Pu, S. A high selective fluorescent sensor for Cu2+ in solution and test paper strips. Dyes Pigments 2020, 173, 107914. [Google Scholar] [CrossRef]
- Kumar, R.; Bawa, R.; Gahlyan, P.; Dalela, M.; Jindal, K.; Jha, P.K.; Tomar, M.; Gupta, V. Pyrene appended bis-triazolylated 1,4-dihydropyridine as a selective fluorogenic sensor for Cu2+. Dyes Pigments 2019, 161, 162–171. [Google Scholar] [CrossRef]
- Chen, Y.-Y.; Gong, G.-F.; Fan, Y.-Q.; Zhou, Q.; Zhang, Q.-P.; Yao, H.; Zhang, Y.-M.; Wei, T.-B.; Lin, Q. A novel AIE-based supramolecular polymer gel serves as an ultrasensitive detection and efficient separation material for multiple heavy metal ions. Soft Matter 2019, 15, 6878–6884. [Google Scholar] [CrossRef]
- Phichi, M.; Imyim, A.; Tuntulani, T.; Aeungmaitrepirom, W. Paper-based cation-selective optode sensor containing benzothiazole calix[4]arene for dual colorimetric Ag+ and Hg2+ detection. Anal. Chim. Acta 2020, 1104, 147–155. [Google Scholar] [CrossRef]
- Takara, E.A.; Pasini-Cabello, S.D.; Cerutti, S.; Gasquez, J.A.; Martinez, L.D.J. On-line preconcentration/determination of copper in parenteral solutions using activated carbon by inductively coupled plasma optical emission spectrometry. J. Pharm. Biomed. Anal. 2005, 39, 735–739. [Google Scholar] [CrossRef] [PubMed]
- Ghaedi, M.; Jaberi, S.Y.S.; Hajati, S.; Montazerozohori, M.; Zarr, M.; Asfaram, A.; Kumawat, L.K.; Gupta, V.K. Preparation of Iodide Selective Carbon Paste Electrode with Modified Carbon Nanotubes by Potentiometric Method and Effect of CuS-NPs on Its Response. Electroanalysis 2015, 27, 1516–1522. [Google Scholar] [CrossRef]
- Wang, Y.; Wang, P.; Wu, Y. A cathodic “signal-on” photoelectrochemical sensor for Hg2+ detection based on ion-exchange with ZnS quantum dots. Sens. Actuator B Chem. 2018, 254, 910–915. [Google Scholar] [CrossRef]
- Liu, X.Q.; Zhou, X.; Shu, X.; Zhu, J. A Polymer-Based Ultrasensitive Metal Ion Sensor. Macromolecules 2009, 42, 7634. [Google Scholar] [CrossRef]
- Prodi, L.; Bolletta, F.; Montalti, M.; Zaccheroni, N. Luminescent chemosensors for transition metal ions. Coord. Chem. Rev. 2000, 205, 59. [Google Scholar] [CrossRef]
- Yunes, N.; Moyano, S.; Cerutti, S.; Gasquez, J.; Martinez, L.D. On-line preconcentration and determination of nickel in natural water samples by flow injection-inductively coupled plasma optical emission spectrometry (FI-ICP-OES). Talanta 2003, 59, 943–949. [Google Scholar] [CrossRef]
- Shiowatana, J.; Benyatianb, K.; Siripinyanond, A. Determination of Cd, Co, Hg, and Ni in Seawater After Enrichment on Activated Carbon by Slurry Sampling Electrothermal AAS. Spectrochim. Acta Part B 2000, 21, 179. [Google Scholar]
- Benavides, J.; Quijada-Garrido, I.; García, O. The synthesis of switch-off fluorescent water-stable copper nanocluster Hg2+ sensors via a simple one-pot approach by an in situ metal reduction strategy in the presence of a thiolated polymer ligand template. Nanoscale 2020, 12, 944–955. [Google Scholar] [CrossRef] [Green Version]
- Kumar, A.; Vanita, V.; Walia, A.; Chae, P.S.; Kumar, S. Pyridoanthrone-based chromo-fluorogenic amphiphiles for selective CN− detection and their bioimaging application. Sens. Actuator B Chem. 2020, 304, 127396. [Google Scholar] [CrossRef]
- Kumar, A.; Chae, P.S.; Kumar, S. A dual-responsive anthrapyridone-triazole-based probe for selective detection of Ni2+ and Cu2+: A mimetic system for molecular logic gates based on color change. Dyes Pigments 2020, 174, 108092. [Google Scholar] [CrossRef]
- Feng, Y.; Yang, Y.; Wang, Y.; Qiu, F.; Song, X.; Tang, X.; Zhang, G.; Liu, W. Dual-functional colorimetric fluorescent probe for sequential Cu2+ and S2− detection in bio-imaging. Sens. Actuator B Chem. 2019, 288, 27–37. [Google Scholar] [CrossRef]
- Kim, H.N.; Guo, Z.; Zhu, W.; Yoon, J.; Tian, H. Recent progress on polymer-based fluorescent and colorimetric chemosensors. Chem. Soc. Rev. 2011, 40, 79–93. [Google Scholar] [CrossRef] [PubMed]
- Kumar, A.; Kumar, S.; Chae, P.S. A novel anthrapyridone diamine-based probe for selective and distinctive Cu2+ and Hg2+ sensing in aqueous solution; utility as molecular logic gates. Dyes Pigments 2020, 181, 108522. [Google Scholar] [CrossRef]
- Vinayak, R.; Nayek, H.P. Selective sensing of a Cu(II) ion by organotin anchored keto-enamine ligands. New J. Chem. 2019, 43, 16050–16057. [Google Scholar] [CrossRef]
- Kumar, A.; Vanita, V.; Walia, A.; Kumar, S. N,N-dimethylaminoethylaminoanthrone–A chromofluorogenic chemosensor for estimation of Cu2+ in aqueous medium and HeLa cells imaging. Sens. Actuator B Chem. 2013, 177, 904–912. [Google Scholar] [CrossRef]
- Huang, Z.; Yang, L.; Kong, L.; Yang, J.-X. Two-photon fluorescent detection of Cu2+ in live cells through ZnS-microhybrid constructed from interfacial coordination bridge of thiocyanate. Dyes Pigments 2020, 172, 107831. [Google Scholar] [CrossRef]
- Kumar, A.; Hur, W.; Seong, G.H.; Chae, P.S. Sensitive detection of DMSO/DMF in water, human urine and blood plasma using novel 1,8-naphthalimide-based amphiphilic spectroscopic probes. Dyes Pigments 2021, 189, 109240. [Google Scholar] [CrossRef]
- Huang, S.; Gao, T.; Bi, A.; Cao, X.; Feng, B.; Liu, M.; Du, T.; Feng, X.; Zeng, W. Revealing aggregation-induced emission effect of imidazolium derivatives and application for detection of Hg2+. Dyes Pigments 2020, 172, 107830. [Google Scholar] [CrossRef]
- Chang, Y.; Fu, J.; Yao, K.; Li, B.; Xu, K.; Pang, X. Novel fluorescent probes for sequential detection of Cu2+ and citrate anion and application in living cell imaging. Dyes Pigments 2019, 161, 331–340. [Google Scholar] [CrossRef]
- Venkateswarlu, S.; Viswanath, B.; Reddy, A.S.; Yoon, M. Fungus-derived photoluminescent carbon nanodots for ultrasensitive detection of Hg2+ ions and photoinduced bactericidal activity. Sens. Actuator B Chem. 2018, 258, 172–183. [Google Scholar] [CrossRef]
- Kumar, A.; Chae, P.S. New 1,8-naphthalimide-conjugated sulfonamide probes for TNPsensing in water. Sens. Actuator B Chem. 2017, 240, 1–9. [Google Scholar] [CrossRef]
- Kumar, A.; Chae, P.S. Electronically tuned sulfonamide-based probes with ultra-sensitivity for Ga3+ or Al3+ detection in aqueous solution. Anal. Chim. Acta 2017, 958, 38–50. [Google Scholar] [CrossRef] [PubMed]
- Manna, A.K.; Mondal, J.; Rout, K.; Patra, G.K. A benzohydrazide based two-in-one Ni2+/Cu2+ fluorescent colorimetric chemosensor and its applications in real sample analysis and molecular logic gate. Sens. Actuator B Chem. 2018, 275, 350–358. [Google Scholar] [CrossRef]
- Cao, X.; Lin, W.; He, L. A Near-Infrared Fluorescence Turn-On Sensor for Sulfide Anions. Org. Lett. 2011, 13, 4716–4719. [Google Scholar] [CrossRef]
- Kumar, A.; Kumar, S. Anthroneamine based chromofluorogenic probes for Hg2+ detection in aqueous solution. Tetrahedron Lett. 2012, 53, 2030–2034. [Google Scholar] [CrossRef]
- Mei, Q.; Shi, Y.; Hua, Q.; Tong, B. Phosphorescent chemosensor for Hg2+ based on an iridium(iii) complex coordinated with 4-phenylquinazoline and carbazole dithiocarbamate. RSC Adv. 2015, 5, 74924–74931. [Google Scholar] [CrossRef]
- Becke, A.D. Density-functional thermochemistry. III. The role of exact exchange. J. Chem. Phys. 1993, 98, 5648–5652. [Google Scholar] [CrossRef] [Green Version]
- Lee, C.; Yang, W.; Parr, R.G. Development of the Colle-Salvetti correlation-energy formula into a functional of the electron density. Phys. Rev. B Condens. Matter 1988, 37, 785–789. [Google Scholar] [CrossRef] [Green Version]
- Schmidt, M.W.; Balbridge, K.K.; Boatz, J.A.; Elbert, S.T.; Gordon, M.S.; Jensen, J.H.; Koseki, S.; Matsunaga, N.; Nguyen, K.A.; Su, S.; et al. General atomic and molecular electronic structure system. J. Comput. Chem. 1993, 14, 1347–1363. [Google Scholar] [CrossRef]
- Huber, R.G.; Margreiter, M.A.; Fuchs, J.E.; Grafenstein, S.V.; Tautermann, C.S.; Liedl, K.R. Heteroaromatic π-Stacking Energy Landscapes. J. Chem. Inf. Model. 2014, 54, 1371–1379. [Google Scholar] [CrossRef]








Publisher’s Note: MDPI stays neutral with regard to jurisdictional claims in published maps and institutional affiliations. |
© 2022 by the authors. Licensee MDPI, Basel, Switzerland. This article is an open access article distributed under the terms and conditions of the Creative Commons Attribution (CC BY) license (https://creativecommons.org/licenses/by/4.0/).
Share and Cite
Kumar, A.; Kumar, S.; Chae, P.S. A Chromo-Fluorogenic Naphthoquinolinedione-Based Probe for Dual Detection of Cu2+ and Its Use for Various Water Samples. Molecules 2022, 27, 785. https://doi.org/10.3390/molecules27030785
Kumar A, Kumar S, Chae PS. A Chromo-Fluorogenic Naphthoquinolinedione-Based Probe for Dual Detection of Cu2+ and Its Use for Various Water Samples. Molecules. 2022; 27(3):785. https://doi.org/10.3390/molecules27030785
Chicago/Turabian StyleKumar, Ashwani, Subodh Kumar, and Pil Seok Chae. 2022. "A Chromo-Fluorogenic Naphthoquinolinedione-Based Probe for Dual Detection of Cu2+ and Its Use for Various Water Samples" Molecules 27, no. 3: 785. https://doi.org/10.3390/molecules27030785
APA StyleKumar, A., Kumar, S., & Chae, P. S. (2022). A Chromo-Fluorogenic Naphthoquinolinedione-Based Probe for Dual Detection of Cu2+ and Its Use for Various Water Samples. Molecules, 27(3), 785. https://doi.org/10.3390/molecules27030785

