Application of TOF-SIMS Method in the Study of Wetting the Iron (111) Surface with Promoter Oxides
Abstract
:1. Introduction
2. Result and Discussion
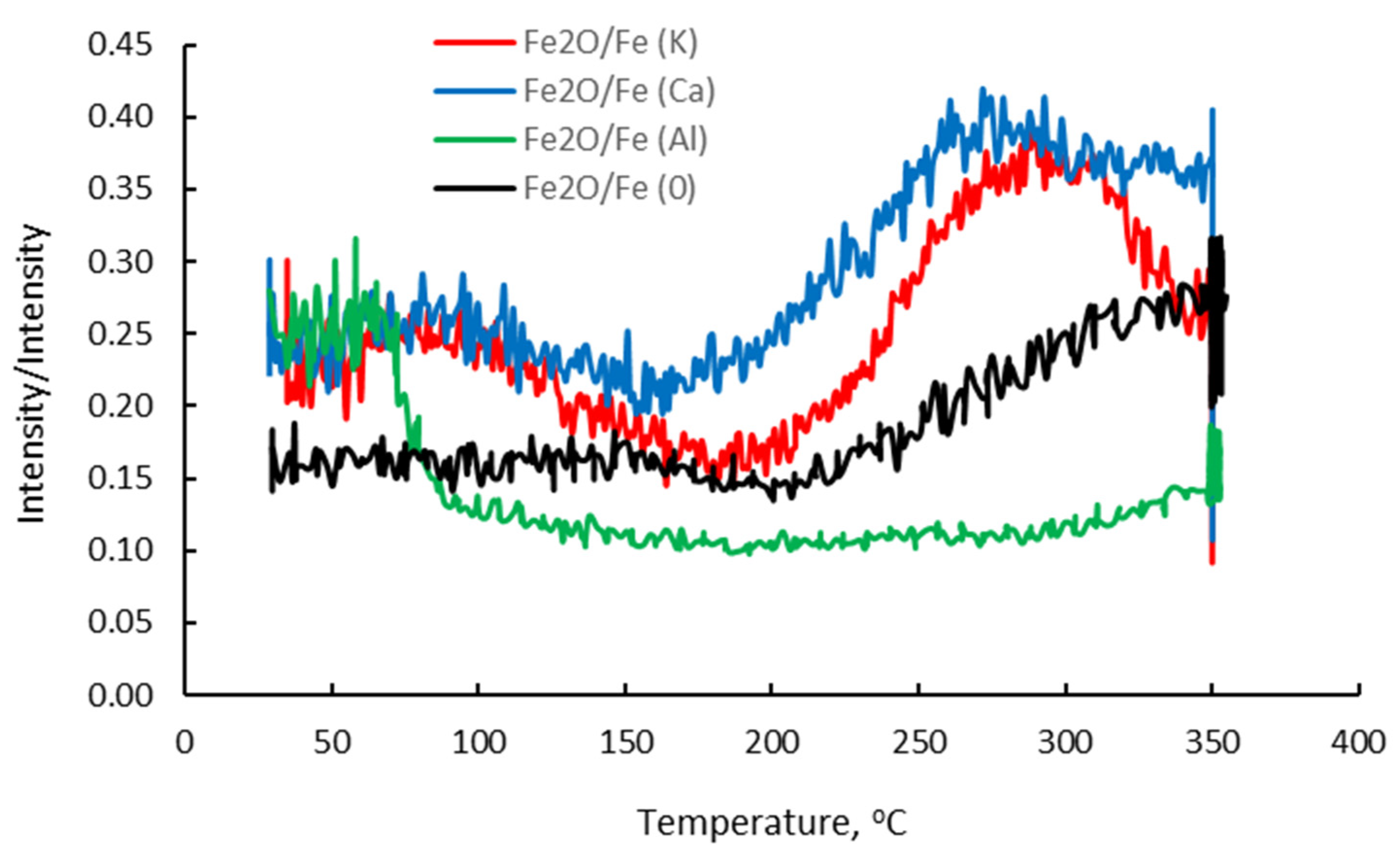
2.1. Wetting the Surface of Iron with Potassium Oxide
2.2. Wetting the Surface of Iron with Calcium Oxide
2.3. Wetting the Surface of Iron with Aluminum Oxide
3. Materials and Methods
3.1. Sample Preparation
3.2. TOF-SIMS Analysis
4. Conclusions
Author Contributions
Funding
Institutional Review Board Statement
Informed Consent Statement
Data Availability Statement
Acknowledgments
Conflicts of Interest
Sample Availability
References
- Liu, H.Z. Ammonia Synthesis Catalysts: Innovation and Practice; World Sci Publishing Co. Ltd.: Singapore, 2013. [Google Scholar]
- Ertl, G. Elementary steps in ammonia synthesis: The surface science approach. In Catalytic Ammonia Synthesis Fundamentals and Practice; Jennings, J.R., Ed.; Plenum Press: New York, NY, USA, 1991. [Google Scholar]
- Schlögl, R. Handbook of Heterogeneous Catalysis; WILEY-VCH Verlag GmbH & Co. KGaA: Weinheim, Germany, 2008. [Google Scholar]
- Arabczyk, W.; Narkiewicz, U.; Kałucki, K. Model of Active Surface of Iron Catalyst for Ammonia Synthesis. Vacuum 1994, 45, 267–269. [Google Scholar] [CrossRef]
- Paal, Z.; Ertl, G.; Lee, S.B. Interactions of potassium, oxygen and nitrogen with polycrystalline iron surfaces. Appl. Surf. Sci. 1981, 8, 231–249. [Google Scholar] [CrossRef]
- Broden, G.; Bonzel, H.P. Potassium adsorption on Fe(110). Surf. Sci. 1979, 84, 106–120. [Google Scholar] [CrossRef]
- Lee, S.B.; Weiss, M.; Ertl, G. Adsorption of potassium on iron. Surf. Sci. 1981, 108, 357–367. [Google Scholar] [CrossRef]
- Van Ommen, J.G.; Bolink, W.J.; Prasad, J.; Mars, P. The nature of the potassium compound acting as a promoter in iron alumina catalysts for ammonia synthesis. J. Catal. 1975, 38, 120–127. [Google Scholar] [CrossRef] [Green Version]
- Bare, S.R.; Strongin, D.R.; Somorjai, G.A. Ammonia synthesis over iron single crystal catalysts: The effects of alumina and potassium. J. Phys. Chem. 1986, 90, 4726–4729. [Google Scholar] [CrossRef]
- Arabczyk, W.; Narkiewicz, U.; Moszyński, D. Double-layer model of the fused iron catalyst for ammonia synthesis. Langmuir 1999, 15, 5785–5789. [Google Scholar] [CrossRef]
- Pirug, G.; Broden, G.; Bonzel, H.P. Coadsorption of potassium and oxygen on Fe(110). Surf. Sci. 1980, 94, 323–338. [Google Scholar] [CrossRef]
- Strongin, D.R.; Somorjai, G.A. The effects of potassium on ammonia synthesis over iron single crystal surfaces. J. Catal. 1988, 109, 51–60. [Google Scholar] [CrossRef] [Green Version]
- Törnqvist, E.; Chen, A.A. Potassium promotion of the ammonia synthesis reaction: A combined UHV-high pressure investigation. Catal. Lett. 1991, 8, 359–366. [Google Scholar] [CrossRef]
- Altenburg, K.; Van Ommen, J.G.; Bosch, H.; Gellings, P.J. The role of potassium as a promoter in iron catalysts for ammonia synthesis. J. Catal. 1980, 66, 326–334. [Google Scholar] [CrossRef]
- Strongin, D.R.; Somorjai, G.A. A surface science and catalytic study of the effects of aluminum oxide and potassium on the ammonia synthesis over iron single-crystal surfaces. In Catalytic Ammonia Synthesis, Fundamentals and Practice; Jennings, J.R., Ed.; Plenum Press: New York, NY, USA, 1991. [Google Scholar]
- Ertl, G. Kinetics of chemical processes on well-defined surfaces. In Catalysis-Science and Technology; Anderson, J.R., Boudart, M., Eds.; Springer: Berlin, Germany, 1983; Volume 4. [Google Scholar]
- Arabczyk, W.; Narkiewicz, U. Kinetics of the oxidation of the iron surface covered with potassium-geometrical aspect. Surf. Sci. 1997, 377, 578–582. [Google Scholar] [CrossRef]
- Rogowski, J. TOF-SIMS study of morphology and chemical composition of wustite-based precursor and iron catalyst for ammonia synthesis. Appl. Surf. Sci. 2019, 469, 82–89. [Google Scholar] [CrossRef]
- Kondo, M.; Kawanowa, H.; Gotoh, Y.; Souda, R. Hydration of ammonia and hydrogen chloride at cryogenic temperature studied by TP-TOF-SIMS. Surf. Sci. 2005, 594, 141–147. [Google Scholar] [CrossRef]
- Souda, R. Morphology, intermixing, and glass transition of amorphous acetic-acid films studied by temperature-programmed TOF-SIMS and TPD. Chem. Phys. Lett. 2005, 413, 171–175. [Google Scholar] [CrossRef]
- Souda, R.; Aizawa, T. Crystallization kinetics of thin water films on Pt(111): Effects of oxygen and carbon-monoxide adspecies. Phys. Chem. Chem. Phys. 2019, 21, 1123–1130. [Google Scholar] [CrossRef] [Green Version]
- Souda, R.; Aizawa, T. Crystallization Kinetics of water on bare, hydrogenated, and hydroxylated Si(100) and Si(111) surfaces studied by RHEED, TOFSIMS, and TPD. J. Phys. Chem. C 2019, 123, 20373–20383. [Google Scholar] [CrossRef]
- Nguyen, D.T.; Freitag, M.; Gutheil, C.; Sotthewes, K.; Tyler, B.J.; Böckmann, M.; Das, M.; Schlüter, F.; Doltsinis, N.L.; Arlinghaus, H.F.; et al. An arylazopyrazole-based N-heterocyclic carbene as a photoswitch on gold surfaces: Light-switchable wettability, work function, and conductance. Angew. Chem. Int. Ed. 2020, 59, 13651–13656. [Google Scholar] [CrossRef]
- Bozso, F.; Ertl, G.; Grunze, M.; Weiss, M. Interaction of nitrogen with iron surfaces. I. Fe(100) and Fe(111). J. Catal. 1977, 49, 18–41. [Google Scholar] [CrossRef]
- Bozso, F.; Ertl, G.; Weiss, M. Interaction of nitrogen with iron surfaces. II. Fe(110). J. Catal. 1977, 50, 519–529. [Google Scholar] [CrossRef]
- Spencer, N.D.; Schoonmaker, R.C.; Somorjai, G.A. Iron single crystals as ammonia synthesis catalysts: Effect of surface structure on catalyst activity. J. Catal. 1982, 74, 129–135. [Google Scholar] [CrossRef] [Green Version]
- Strongin, D.R.; Carrazza, J.; Bare, S.R.; Somorjai, G.A. The importance of C7 sites and surface roughness in the ammonia synthesis reaction over iron. J. Catal. 1987, 103, 213–215. [Google Scholar] [CrossRef] [Green Version]
- Arabczyk, W.; Rausche, E.; Storbeck, F. On the underlayer and overlayer adsorption of oxygen, nitrogen and carbon on the iron (111) surface. Surf. Sci. 1991, 247, 264–268. [Google Scholar] [CrossRef]
- Arabczyk, W. Untersuchung der Segregation Nichtmetallischer Elemente und Ihres Einflusses auf die Oxydation der Eisen-(111) Oberflache mit Hilfe Elektronspektrometrischer Methoden; Publishing House of TU Dresden: Dresden, Germany, 1987. [Google Scholar]
- Arabczyk, W.; Narkiewicz, U. Growth of iron oxides on the Fe(111) surface precovered with sulphur and/or potassium. Appl. Surf. Sci. 1997, 108, 379–384. [Google Scholar] [CrossRef]
- Spencer, M.J.S.; Hung, A.; Snook, I.K.; Yarovsky, I. Density Functional Theory Study of the Relaxation and Energy of Iron Surfaces. Surf. Sci. 2002, 513, 389–398. [Google Scholar] [CrossRef]
- Tyson, W.R.; Miller, W.A. Surface Free Energies of Solid Metals. Estimation from Liquid Surface Tension Measurements. Surf. Sci. 1977, 62, 267–276. [Google Scholar] [CrossRef]










| Sample | Analyzed Surface * | Number of Ion Counts | ||||
|---|---|---|---|---|---|---|
| Al+ | K+ | Ca+ | Fe+ | Fe2O+ | ||
| Fe-K | Fe | 7732 | 6365 | 546 | 376,783 | 22,274 |
| Fe-Ar | 102 | 3613 | 114 | 11,849 | 1059 | |
| Fe/KOH | 0 | 1,308,667 | 634 | 12,579 | 0 | |
| Fe/K-T | 134 | 1,312,932 | 1098 | 10,821 | 1628 | |
| Fe-Ca | Fe | 11,759 | 3141 | 5397 | 431,777 | 26,706 |
| Fe-Ar | 235 | 266 | 176 | 15,423 | 2844 | |
| Fe/Ca(OH)2 | 0 | 25,785 | 41,468 | 4141 | 0 | |
| Fe/Ca-T | 579 | 14,597 | 3870 | 144,315 | 7022 | |
| Fe-Al | Fe | 3053 | 5888 | 2827 | 234,881 | 17,048 |
| Fe-Ar | 14 | 239 | 226 | 15,706 | 3674 | |
| Fe/Al(OH)3 | 92,792 | 6526 | 0 | 100,752 | 9511 | |
| Fe/Al-T | 845 | 8993 | 1132 | 335,641 | 29,592 | |
Publisher’s Note: MDPI stays neutral with regard to jurisdictional claims in published maps and institutional affiliations. |
© 2022 by the authors. Licensee MDPI, Basel, Switzerland. This article is an open access article distributed under the terms and conditions of the Creative Commons Attribution (CC BY) license (https://creativecommons.org/licenses/by/4.0/).
Share and Cite
Arabczyk, W.; Rogowski, J.; Pelka, R.; Lendzion-Bieluń, Z. Application of TOF-SIMS Method in the Study of Wetting the Iron (111) Surface with Promoter Oxides. Molecules 2022, 27, 648. https://doi.org/10.3390/molecules27030648
Arabczyk W, Rogowski J, Pelka R, Lendzion-Bieluń Z. Application of TOF-SIMS Method in the Study of Wetting the Iron (111) Surface with Promoter Oxides. Molecules. 2022; 27(3):648. https://doi.org/10.3390/molecules27030648
Chicago/Turabian StyleArabczyk, Walerian, Jacek Rogowski, Rafał Pelka, and Zofia Lendzion-Bieluń. 2022. "Application of TOF-SIMS Method in the Study of Wetting the Iron (111) Surface with Promoter Oxides" Molecules 27, no. 3: 648. https://doi.org/10.3390/molecules27030648
APA StyleArabczyk, W., Rogowski, J., Pelka, R., & Lendzion-Bieluń, Z. (2022). Application of TOF-SIMS Method in the Study of Wetting the Iron (111) Surface with Promoter Oxides. Molecules, 27(3), 648. https://doi.org/10.3390/molecules27030648

