The Effect of Supramolecular Humic Acids on the Diffusivity of Metal Ions in Agarose Hydrogel
Abstract
:1. Introduction
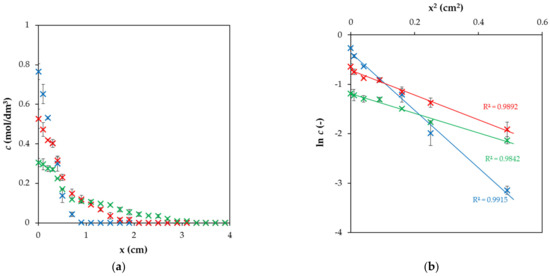
2. Results and Discussion
3. Materials and Methods
4. Conclusions
Funding
Institutional Review Board Statement
Informed Consent Statement
Data Availability Statement
Conflicts of Interest
Sample Availability
References
- Manceau, A.; Matynia, A. The nature of Cu bonding to natural organic matter. Geochim. Cosmochim. Acta 2010, 74, 2556–2580. [Google Scholar] [CrossRef]
- Klucakova, M.; Pekar, M. Study of structure and properties of humic and fulvic acids. IV. Study of complexation of Cu2+ ions with humic gels and final comparison. J. Polym. Mater. 2003, 20, 155–162. [Google Scholar]
- Sierra, J.; Roig, N.; Gimenez Papiol, G.; Perez-Gallego, E.; Schuhmacher, M. Prediction of the bioavailability of potentially toxic elements in freshwaters. Comparison between speciation models and passive samplers. Sci. Total Environ. 2017, 605, 211–218. [Google Scholar] [CrossRef] [PubMed]
- Baek, K.; Yang, J.-W. Humic-substance-enhanced ultrafiltration for removal of heavy metals. Sep. Sci. Technol. 2005, 40, 699–708. [Google Scholar] [CrossRef]
- Christl, I.; Metzger, A.; Heidmann, I.; Kretzschmar, R. Effect of humic and fulvic acid concentrations and ionic strength on copper and lead binding. Environ. Sci. Technol. 2005, 39, 5319–5326. [Google Scholar] [CrossRef]
- Vialykh, E.A.; Salahub, D.R.; Achari, G. Metal ion binding by humic substances as emergent functions of labile supramolecular assemblies. Environ. Chem. 2020, 17, 252–265. [Google Scholar] [CrossRef]
- Piccolo, A. The supramolecular structure of humic substances. Soil Sci. 2001, 166, 810–832. [Google Scholar] [CrossRef] [Green Version]
- Alvarez-Puebla, R.A.; Valenzuela-Calahorro, C.; Garrido, J.J. Theoretical study on fulvic acid structure, conformation and aggregation: A molecular modelling approach. Sci. Total Environ. 2006, 358, 243–254. [Google Scholar] [CrossRef]
- Conte, P.; Piccolo, A. Conformational arrangement of dissolved humic substances. Influence of solution composition on association of humic molecules. Environ. Sci. Technol. 1999, 33, 1682–1690. [Google Scholar] [CrossRef]
- Picollo, A.; Nardi, S.; Concheri, G. Micelle-like conformation of humic substances as revealed by size exclusion chromatography. Chemosphere 1996, 33, 595–602. [Google Scholar] [CrossRef]
- Tarasevich, Y.I.; Dolenko, S.A.; Trifonova, M.Y.; Alexeenko, E.Y. Association and colloid-chemical properties of humic acids in aqueous solutions. Colloid J. 2013, 75, 207–213. [Google Scholar] [CrossRef]
- Baalousha, M.; Motelica-Heino, M.; Galaup, S.; LeCoustumer, P. Supramolecular structure of humic acids by TEM with improved sample preparation and staining. Microsc. Res. Tech. 2005, 66, 299–306. [Google Scholar] [CrossRef]
- Fischer, T. Humic supramolecular structures have polar surfaces and unipolar cores in native soil. Chemosphere 2017, 183, 437–443. [Google Scholar] [CrossRef]
- Simpson, A.J.; Kingery, W.L.; Hayes, M.H.B.; Spraul, M.; Humpfer, E.; Dvortsak, P.; Kerssebaum, R.; Godejohann, M.; Hofman, M. Molecular structure and associations of humic substances in the terrestrial environment. Naturwissenschaften 2002, 89, 84–88. [Google Scholar] [CrossRef]
- Simpson, A.J. Determining the molecular weight, aggregation, structures and interactions of natural organic matter using diffusion ordered spectroscopy. Magn. Reson. Chem. 2002, 40, S72–S82. [Google Scholar] [CrossRef]
- Jansen, S.A.; Malatz, M.; Nwbara, S.; Johnson, E.; Ghabbour, E.; Davies, G.; Varnum, J.M. Structural modeling in humic acids. Mat. Sci. Eng. C 1996, 4, 175–179. [Google Scholar] [CrossRef]
- Baigorri, R.; Fuentes, M.; Gonyaley-Gaitano, G.; Garcia-Mina, J.M. Simultaneous presence of diverse molecular pattern in humic substances in solution. J. Phys. Chem. B 2007, 111, 10577–10582. [Google Scholar] [CrossRef]
- Trubetskoi, O.A.; Trubetskaya, O.E. Reversed-phase high-performance liquid chromatography of the stable electrophoretic fractions of soil humic acids. Eurasian Soil Sci. 2015, 48, 148–156. [Google Scholar] [CrossRef]
- Giachin, G.; Nepravishta, R.; Mandaliti, W.; Melino, S.; Margon, A.; Scaini, D.; Mazzei, P.; Piccolo, A.; Legname, G.; Paci, M.; et al. The mechanisms of humic substances selfassembly with biological molecules: The case study of the prion protein. PLoS ONE 2017, 14, e0213673. [Google Scholar]
- Nebbioso, A.; Piccolo, A. Basis of a humeomics science: Chemical fractionation and molecular characteriazation of humic suprastructures. Biomacromolecules 2011, 12, 1187–1199. [Google Scholar] [CrossRef]
- Chilom, G.; Baglieri, A.; Johnson-Edler, C.A.; Rice, J.A. Hierarchical self-assembling properties of natural organic matter’s components. Org. Geochem. 2013, 57, 119–126. [Google Scholar] [CrossRef]
- Klucakova, M.; Pekař, M. Study of structure and properties of humic and fulvic acids. III. Study of complexation of Cu2+ ions with humic acid in sols. J. Polym. Mater. 2003, 20, 145–154. [Google Scholar]
- Klucakova, M.; Veznikova, K. The role of concentration and solvent character in the molecular organization of humic acids. Molecules 2016, 21, 1410. [Google Scholar] [CrossRef] [Green Version]
- Klucakova, M.; Veznikova, K. Micro-organization of humic acids in aqueous solutions. J. Mol. Struct. 2017, 1144, 33–40. [Google Scholar] [CrossRef]
- Klucakova, M.; Kalina, M. Composition, particle size, charge and colloidal stability of pH-fractionated humic acids. J. Soils Sediments 2015, 15, 1900–1908. [Google Scholar] [CrossRef]
- Klucakova, M. Size and charge evaluation of standard humic and fulvic acids as crucial factors to determine their environmental behavior and impact. Front. Chem. 2018, 6, 235. [Google Scholar] [CrossRef] [PubMed]
- Varga, B.; Kiss, G.; Galambos, I.; Gelencser, A.; Hlavay, J.; Krivacsy, Z. Secondary structure of humic acids. Can micelle-like conformation be proved by aqueous size exclusion chromatography? Environ. Sci. Technol. 2000, 34, 3303–3306. [Google Scholar] [CrossRef]
- Jung, A.V.; Frochot, C.; Villieras, F.; Lartiges, B.S.; Parant, S.; Viriot, M.L.; Bersilion, J.L. Interaction of pyrene fluoroprobe with natural and synthetic humic substances: Examining the local molecular organization from photophysical and interfacial processes. Chemosphere 2010, 80, 228–234. [Google Scholar] [CrossRef]
- Vashurina, I.Y.; Kochkina, N.E.; Kalinnikov, Y.A. Effect of humic acid microadditives on the properties of starch hydrogels and films from them. Fibre Chem. 2004, 36, 338–342. [Google Scholar] [CrossRef]
- Zielinska, K.; Town, R.M.; Yasadi, K.; Van Leeuven, H.P. Partitioning of humic acids between aqueous solution and hydrogel: Concentration profiling of humic acids in hydrogel phase. Langmuir 2014, 30, 2084–2092. [Google Scholar] [CrossRef]
- Kanmaz, N.; Saloglu, D.; Hizal, J. Humic acid embedded chitosan/poly (vinyl alcohol) pH-sensitive hydrogel: Synthesis, characterization, swelling kinetic and diffusion coefficient. Chem. Eng. Commun. 2018, 206, 1168–1180. [Google Scholar] [CrossRef]
- Ma, J.; Luo, J.; Liu, Z.; Wei, Z.; Cai, T.; Zu, X.; Liu, H.; Crittenden, J.C. Pb (II), Cu (II) and Cd (II) removal using a humic substance-based double network hydrogel in individual and multicomponent systems. J. Mater. Chem. A 2018, 6, 20110–20120. [Google Scholar] [CrossRef]
- Hou, M.; Yang, R.; Zhang, L.; Liu, G.; Xu, Z.; Kang, Y.; Xue, P. Injectable and natural humic acid/agarose hybrid hydrogel for localized light-driven photothermal ablation and chemotheraphy of cancer. ACS Biomater. Sci. Eng. 2018, 4, 4266–4277. [Google Scholar] [CrossRef]
- Sedlacek, P.; Smilek, J.; Klucakova, M. How interactions with polyelectrolytes affect mobility of low molecular ions—Results from diffusion cells. React. Funct. Polym. 2013, 73, 1500–1509. [Google Scholar] [CrossRef]
- Sedlacek, P.; Smilek, J.; Klucakova, M. How interactions with polyelectrolytes affect mobility of low molecular ions—2. Non-stationery diffusion experiments. React. Funct. Polym. 2014, 75, 41–50. [Google Scholar] [CrossRef]
- Chen, R.; Zhang, Y.; Shen, L.; Wang, X.; Chen, J.; Ma, A.; Jiang, W. Lead (II) and methylene blue removal using a fully biodegradable hydrogel based on starch immobilized humic acid. Chem. Eng. J. 2015, 268, 348–355. [Google Scholar] [CrossRef]
- Klucakova, M.; Smilek, J.; Sedlacek, P. How humic acids affect the rheological and transport properties of hydrogels. Molecules 2019, 24, 1545. [Google Scholar] [CrossRef] [PubMed] [Green Version]
- Klucakova, M. Agarose hydrogels enriched by humic acids as complexation agent. Polymers 2020, 12, 687. [Google Scholar] [CrossRef] [Green Version]
- Klucakova, M.; Kalina, M.; Sedlacek, P. Grasset, L. Reactivity and transport mapping of Cu (II) ions in humic hydrogels. J. Soils Sediments 2014, 14, 368–376. [Google Scholar] [CrossRef]
- Klucakova, M.; Kalina, M. Diffusivity of Cu (II) ions in humic gels-influence of reactive functional groups of humic acids. Colloids Surf. A 2015, 483, 162–170. [Google Scholar] [CrossRef]
- Iglesias, A.; Lopez, R.; Antelo, J.; Fiol, S.; Arce, F. Effect of pH and ionic strength on the binding of paraquat and MCPA by soil fulvic and humic acids. Chemosphere 2009, 76, 107–113. [Google Scholar] [CrossRef]
- Paradelo, M.; Perez-Rodriguez, P.; Fernandez-Calvino, D.; Ariaz-Estevez, M.; Lopez-Periago, J.E. Coupled transport of humic acids and copper through saturated porous media. Eur. J. Soil Sci. 2012, 63, 708–716. [Google Scholar] [CrossRef]
- Crank, J. The Mathematics of Diffusion; Clarendon Press: Oxford, UK, 1956; pp. 9–26. [Google Scholar]
- Cussler, E.L. Diffusion: Mass Transfer in Fluid Systems, 2nd ed.; Cambridge University Press: Cambridge, UK, 1984; pp. 35–37. [Google Scholar]
- IHSS Natural Organic Matter Research. Available online: http:/www.Humic-substances.org (accessed on 21 February 2021).
- Haynes, W.M. Handbook of Chemistry and Physics, 93rd ed.; CRC Press: Boca Raton, FL, USA, 2012; pp. 5-77–5-79. [Google Scholar]
- Scally, S.; Davison, W.; Zhang, H. Diffusion coefficients of metals and metal complexes in hydrogels used in diffusive gradients in thin films. Anal. Chim. Acta 2006, 558, 222–229. [Google Scholar] [CrossRef]
- Yasadi, K.; Pinheiro, J.P.; Zielińska, K.; Town, R.M.; Van Leeuwen, H.P. Partitioning of humic acids between aqueous solution and hydrogel. 3. Microelectrodic dynamic speciation analysis of free and bound humic metal complexes in the gel phase. Langmuir 2015, 31, 1737–1745. [Google Scholar] [CrossRef]
- Wang, Y.; Ding, S.; Gong, M.; Xu, S.; Xu, W.; Zhang, C. Diffusion characteristics of agarose hydrogel used in diffusive gradients in thin films for measurements of cations and anions. Anal. Chim. Acta 2016, 945, 47–56. [Google Scholar] [CrossRef]
- Garmo, O.A.; Royset, O.; Steinnes, E.; Flaten, T.P. Performance study of diffusive gradients in thin films for 55 elements. Anal. Chem. 2003, 75, 3573–3580. [Google Scholar] [CrossRef]
- Tang, J.; Huang, J.; Tun, T.; Liu, S.; Hu, J.; Zhou, G. Cu (II) and Cd (II) capture using novel thermosensitive hydrogel microspheres: Adsorption behavior study and mechanism investigation. J. Chem. Technol. Biotechnol. 2021, 96, 2382–2389. [Google Scholar] [CrossRef]
- Zhang, W.; Song, J.; He, Q.; Wang, H.; Lyu, W.; Feng, H.; Xiong, W.; Guo, W.; Wu, J.; Chen, L. Novel pectin based composite hydrogel derived from grapefruit peel for enhanced Cu (II) removal. J. Hazard. Mater. 2020, 384, 121445. [Google Scholar] [CrossRef]
- Ramirez Coutino, V.A.; Torres Bustillos, L.G.; Godinez Mora Tovar, L.A.; Guerra Sanchez, R.J.; Rodriguez Valadez, F.J. pH effect on surfactant properties and supramolecular structure of humic substances obtained from sewage sludge composting. Rev. Int. Contam. Ambient. 2013, 29, 191–199. [Google Scholar]
- Nuzzo, A.; Sanchez, A.; Fontaine, B.; Piccolo, A. Conformational changes of dissolved humic and fulvic superstructures with compressive iron complexation. J. Geochem. Explor. 2013, 129, 1–5. [Google Scholar] [CrossRef]
- Peuravuori, J.; Zbankova, P.; Pihlaja, K. Aspects of structural features in lignite and lignite humic acids. Fuel Process. Technol. 2006, 87, 829–839. [Google Scholar] [CrossRef]



| Sample | C (% at.) | H (% at.) | N (% at.) | O (% at.) | C/H | O/C | β (mmol·g−1) |
|---|---|---|---|---|---|---|---|
| LGHA | 39.07 | 38.44 | 1.08 | 21.41 | 1.02 | 0.55 | 9.00 |
| NLHA | 39.81 | 35.31 | 0.74 | 24.14 | 1.13 | 0.61 | 12.19 |
| ESHA | 44.34 | 33.45 | 2.71 | 19.51 | 1.33 | 0.44 | 10.15 |
| SRHA | 38.64 | 37.45 | 0.74 | 23.17 | 1.03 | 0.60 | 12.85 |
| PPHA | 42.36 | 34.20 | 2.38 | 21.06 | 1.24 | 0.50 | 10.92 |
| LEHA | 48.18 | 33.29 | 0.80 | 17.73 | 1.45 | 0.37 | 9.77 |
| Sample | 10−10 Deff (m2·s−1) | K (-) | Free Cu(II) (μmol·g−1) | Immobilized Cu(II) (μmol·g−1) |
|---|---|---|---|---|
| LGHA | 2.38 | 0.56 | 58.78 | 32.22 |
| NLHA | 1.79 | 1.08 | 59.23 | 63.67 |
| ESHA | 2.09 | 0.78 | 57.14 | 44.36 |
| SRHA | 0.74 | 4.02 | 25.58 | 102.92 |
| PPHA | 2.13 | 0.66 | 62.76 | 46.44 |
| LEHA | 3.39 | 0.10 | 89.21 | 8.49 |
Publisher’s Note: MDPI stays neutral with regard to jurisdictional claims in published maps and institutional affiliations. |
© 2022 by the author. Licensee MDPI, Basel, Switzerland. This article is an open access article distributed under the terms and conditions of the Creative Commons Attribution (CC BY) license (https://creativecommons.org/licenses/by/4.0/).
Share and Cite
Klučáková, M. The Effect of Supramolecular Humic Acids on the Diffusivity of Metal Ions in Agarose Hydrogel. Molecules 2022, 27, 1019. https://doi.org/10.3390/molecules27031019
Klučáková M. The Effect of Supramolecular Humic Acids on the Diffusivity of Metal Ions in Agarose Hydrogel. Molecules. 2022; 27(3):1019. https://doi.org/10.3390/molecules27031019
Chicago/Turabian StyleKlučáková, Martina. 2022. "The Effect of Supramolecular Humic Acids on the Diffusivity of Metal Ions in Agarose Hydrogel" Molecules 27, no. 3: 1019. https://doi.org/10.3390/molecules27031019
APA StyleKlučáková, M. (2022). The Effect of Supramolecular Humic Acids on the Diffusivity of Metal Ions in Agarose Hydrogel. Molecules, 27(3), 1019. https://doi.org/10.3390/molecules27031019

