The Impact of Software Used and the Type of Target Protein on Molecular Docking Accuracy
Abstract
1. Introduction
1.1. Target Proteins
1.2. Molecular Docking Software
1.2.1. AutoDock 4.2.6
1.2.2. AutoDock Vina 1.1.2
1.2.3. Glide Docking
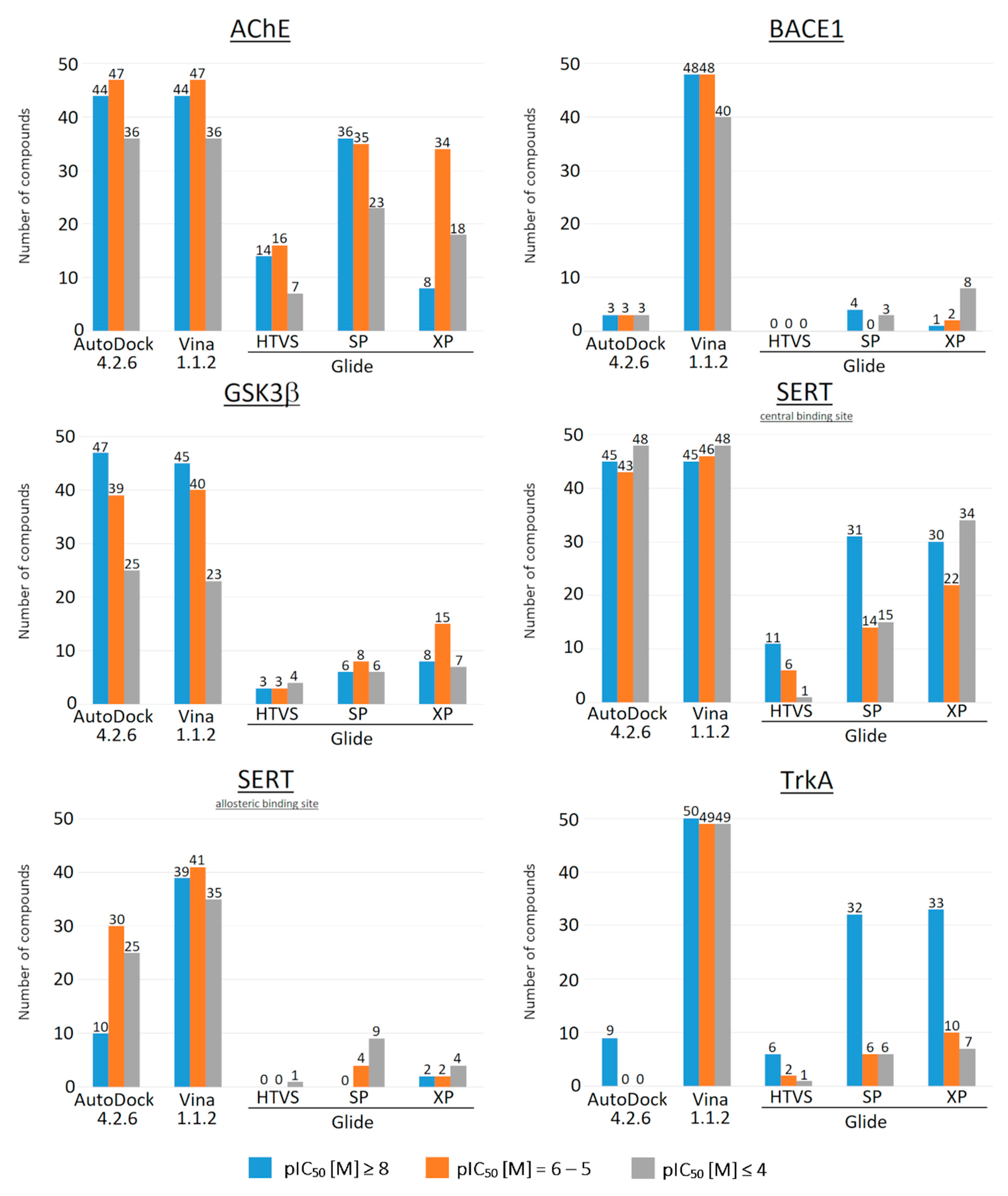
2. Results and Discussions
2.1. Binding Energy and Ligand Efficiency as Selection Criteria
2.2. Identification of a “Reliable Range” of Binding Energy and LE
2.2.1. AutoDock 4.2.6
2.2.2. AutoDock Vina 1.1.2
2.2.3. Glide HTVS
2.2.4. Glide SP
2.2.5. Glide XP
3. Materials and Methods
3.1. Target Proteins and Compound Library
3.1.1. Protein Structure Preparation
3.1.2. Compound Libraries
- -
- 1st group “lead” compounds—pIC50 ≥ 8 (IC50 ≤ 10 nM);
- -
- 2nd group “hit” compounds—pIC50 = 6–5 (IC50 = 1–10 μM);
- -
- 3rd group low-active compounds with pIC50 ≤ 4 (IC50 ≥ 100 μM) or inactive compounds.
3.2. Molecular Docking
3.2.1. Receptor Grid Generation
3.2.2. AutoDock 4.2.6
3.2.3. AutoDock Vina 1.1.2
3.2.4. Glide Docking
3.2.5. Ligand Efficiency Calculation
4. Conclusions
Supplementary Materials
Author Contributions
Funding
Institutional Review Board Statement
Informed Consent Statement
Data Availability Statement
Acknowledgments
Conflicts of Interest
Sample Availability
References
- Davis, A.M.; Keeling, D.J.; Steele, J.; Tomkinson, N.P.; Tinker, A.C. Components of Successful Lead Generation. Curr. Top. Med. Chem. 2005, 5, 421–439. [Google Scholar] [CrossRef] [PubMed]
- Schnecke, V.; Boström, J. Computational chemistry-driven decision making in lead generation. Drug Discov. Today 2006, 11, 43–50. [Google Scholar] [CrossRef] [PubMed]
- Sabe, V.T.; Ntombela, T.; Jhamba, L.A.; Maguire, G.E.; Govender, T.; Naicker, T.; Kruger, H.G. Current trends in computer aided drug design and a highlight of drugs discovered via computational techniques: A review. Eur. J. Med. Chem. 2021, 224, 113705. [Google Scholar] [CrossRef] [PubMed]
- Surabhi, S.; Singh, B. Computer Aided Drug Design: An Overview. J. Drug Deliv. Ther. 2018, 8, 504–509. [Google Scholar] [CrossRef]
- Gurung, A.B.; Ali, M.A.; Lee, J.; Farah, M.A.; Al-Anazi, K.M. An Updated Review of Computer-Aided Drug Design and Its Application to COVID-19. BioMed. Res. Int. 2021, 2021, 8853056. [Google Scholar] [CrossRef] [PubMed]
- Tran-Nguyen, V.-K.; Bret, G.; Rognan, D. True Accuracy of Fast Scoring Functions to Predict High-Throughput Screening Data from Docking Poses: The Simpler the Better. J. Chem. Inf. Model. 2021, 61, 2788–2797. [Google Scholar] [CrossRef]
- Pagadala, N.S.; Syed, K.; Tuszynski, J. Software for molecular docking: A review. Biophys. Rev. 2017, 9, 91–102. [Google Scholar] [CrossRef]
- Kontoyianni, M. Docking and Virtual Screening in Drug Discovery. In Proteomics for Drug Discovery; Lazar, I., Kontoyianni, M., Lazar, A., Eds.; Humana Press: New York, NY, USA, 2017; Volume 1647, pp. 255–266. [Google Scholar] [CrossRef]
- Ha, E.J.; Lwin, C.T.; Durrant, J.D. LigGrep: A tool for filtering docked poses to improve virtual-screening hit rates. J. Cheminformatics 2020, 12, 1–12. [Google Scholar] [CrossRef]
- Bender, B.J.; Gahbauer, S.; Luttens, A.; Lyu, J.; Webb, C.M.; Stein, R.M.; Fink, E.A.; Balius, T.E.; Carlsson, J.; Irwin, J.J.; et al. A practical guide to large-scale docking. Nat. Protoc. 2021, 16, 4799–4832. [Google Scholar] [CrossRef]
- Hopkins, A.L.; Groom, C.R.; Alex, A. Ligand efficiency: A useful metric for lead selection. Drug Discov. Today 2004, 9, 430–431. [Google Scholar] [CrossRef]
- Kenny, P.W. The nature of ligand efficiency. J. Cheminformatics 2019, 11, 1–18. [Google Scholar] [CrossRef] [PubMed]
- Shityakov, S.; Foerster, C. In silico predictive model to determine vector-mediated transport properties for the blood–brain barrier choline transporter. Adv. Appl. Bioinform. Chem. 2014, 7, 23–36. [Google Scholar] [CrossRef] [PubMed]
- Hopkins, A.L.; Keserü, G.M.; Leeson, P.D.; Rees, D.C.; Reynolds, C.H. The role of ligand efficiency metrics in drug discovery. Nat. Rev. Drug Discov. 2014, 13, 105–121. [Google Scholar] [CrossRef]
- Schultes, S.; de Graaf, C.; Haaksma, E.E.J.; de Esch, I.J.P.; Leurs, R.; Krämer, O. Ligand efficiency as a guide in fragment hit selection and optimization. Drug Discov. Today: Technol. 2010, 7, e157–e162. [Google Scholar] [CrossRef]
- Meanwell, N.A. Improving Drug Design: An Update on Recent Applications of Efficiency Metrics, Strategies for Replacing Problematic Elements, and Compounds in Nontraditional Drug Space. Chem. Res. Toxicol. 2016, 29, 564–616. [Google Scholar] [CrossRef]
- Young, R.J.; Leeson, P.D. Mapping the Efficiency and Physicochemical Trajectories of Successful Optimizations. J. Med. Chem. 2018, 61, 6421–6467. [Google Scholar] [CrossRef]
- Pantsar, T.; Poso, A. Binding Affinity via Docking: Fact and Fiction. Molecules 2018, 23, 1899. [Google Scholar] [CrossRef] [PubMed]
- Shun, T.Y.; Lazo, J.S.; Sharlow, E.R.; Johnston, P.A. Identifying Actives from HTS Data Sets: Practical Approaches for the Selection of an Appropriate HTS Data-Processing Method and Quality Control Review. SLAS Discov. Adv. Sci. Drug Discov. 2011, 16, 1–14. [Google Scholar] [CrossRef]
- Truchon, J.-F.; Bayly, C.I. Evaluating Virtual Screening Methods: Good and Bad Metrics for the “Early Recognition” Problem. J. Chem. Inf. Model. 2007, 47, 488–508. [Google Scholar] [CrossRef]
- Zhu, T.; Cao, S.; Su, P.-C.; Patel, R.; Shah, D.; Chokshi, H.B.; Szukala, R.; Johnson, M.E.; Hevener, K.E. Hit Identification and Optimization in Virtual Screening: Practical Recommendations Based on a Critical Literature Analysis. J. Med. Chem. 2013, 56, 6560–6572. [Google Scholar] [CrossRef]
- Cross, J.B.; Thompson, D.C.; Rai, B.K.; Baber, J.C.; Fan, K.Y.; Hu, Y.; Humblet, C. Comparison of Several Molecular Docking Programs: Pose Prediction and Virtual Screening Accuracy. J. Chem. Inf. Model. 2009, 49, 1455–1474. [Google Scholar] [CrossRef] [PubMed]
- Wang, Z.; Sun, H.; Yao, X.; Li, D.; Xu, L.; Li, Y.; Tian, S.; Hou, T. Comprehensive evaluation of ten docking programs on a diverse set of protein–ligand complexes: The prediction accuracy of sampling power and scoring power. Phys. Chem. Chem. Phys. 2016, 18, 12964–12975. [Google Scholar] [CrossRef] [PubMed]
- Raha, K.; Peters, M.B.; Wang, B.; Yu, N.; Wollacott, A.M.; Westerhoff, L.M.; Merz, K.M. The role of quantum mechanics in structure-based drug design. Drug Discov. Today 2007, 12, 725–731. [Google Scholar] [CrossRef] [PubMed]
- Fischer, A.; Smieško, M.; Sellner, M.; Lill, M.A. Decision Making in Structure-Based Drug Discovery: Visual Inspection of Docking Results. J. Med. Chem. 2021, 64, 2489–2500. [Google Scholar] [CrossRef]
- Huey, R.; Morris, G.; Olson, A.J.; Goodsell, D.S. A semiempirical free energy force field with charge-based desolvation. J. Comput. Chem. 2007, 28, 1145–1152. [Google Scholar] [CrossRef]
- Cosconati, S.; Forli, S.; Perryman, A.L.; Harris, R.; Goodsell, D.S.; Olson, A.J. Virtual screening with AutoDock: Theory and practice. Expert Opin. Drug Discov. 2010, 5, 597–607. [Google Scholar] [CrossRef]
- Morris, G.M.; Huey, R.; Lindstrom, W.; Sanner, M.F.; Belew, R.K.; Goodsell, D.S.; Olson, A.J. AutoDock4 and AutoDockTools4: Automated docking with selective receptor flexibility. J. Comput. Chem. 2009, 30, 2785–2791. [Google Scholar] [CrossRef]
- Trott, O.; Olson, A.J. AutoDock Vina: Improving the speed and accuracy of docking with a new scoring function, efficient optimization, and multithreading. J. Comput. Chem. 2010, 31, 455–461. [Google Scholar] [CrossRef]
- Friesner, R.A.; Banks, J.L.; Murphy, R.B.; Halgren, T.A.; Klicic, J.J.; Mainz, D.T.; Repasky, M.P.; Knoll, E.H.; Shelley, M.; Perry, J.K.; et al. Glide: A New Approach for Rapid, Accurate Docking and Scoring. Method and Assessment of Docking Accuracy. J. Med. Chem. 2004, 47, 1739–1749. [Google Scholar] [CrossRef]
- Schrödinger Release 2018-1: Glide; Schrödinger, LLC: New York, NY, USA, 2018.
- Halgren, T.A.; Murphy, R.B.; Friesner, R.A.; Beard, H.S.; Frye, L.L.; Pollard, W.T.; Banks, J.L. Glide: A New Approach for Rapid, Accurate Docking and Scoring. Enrichment Factors in Database Screening. J. Med. Chem. 2004, 47, 1750–1759. [Google Scholar] [CrossRef]
- Sehgal, S.A.; Hammad, M.A.; Tahir, R.A.; Akram, H.N.; Ahmad, F. Current Therapeutic Molecules and Targets in Neurodegenerative Diseases Based on in silico Drug Design. Curr. Neuropharmacol. 2018, 16, 649–663. [Google Scholar] [CrossRef] [PubMed]
- Geula, C.; Mesulam, M.-M. Cholinesterases and the Pathology of Alzheimer Disease. Alzheimer Dis. Assoc. Disord. 1995, 9, 23–28. [Google Scholar] [CrossRef] [PubMed]
- Varadaraju, K.R.; Kumar, J.R.; Mallesha, L.; Muruli, A.; Mohana, K.N.S.; Mukunda, C.K.; Sharanaiah, U. Virtual Screening and Biological Evaluation of Piperazine Derivatives as Human Acetylcholinesterase Inhibitors. Int. J. Alzheimer’s Dis. 2013, 2013, 653962. [Google Scholar] [CrossRef] [PubMed]
- Cheung, J.; Rudolph, M.J.; Burshteyn, F.; Cassidy, M.S.; Gary, E.N.; Love, J.; Franklin, M.C.; Height, J.J. Structures of Human Acetylcholinesterase in Complex with Pharmacologically Important Ligands. J. Med. Chem. 2012, 55, 10282–10286. [Google Scholar] [CrossRef]
- Fukumoto, H.; Cheung, B.S.; Hyman, B.T.; Irizarry, M.C. β-Secretase Protein and Activity Are Increased in the Neocortex in Alzheimer Disease. Arch. Neurol. 2002, 59, 1381–1389. [Google Scholar] [CrossRef]
- Vassar, R.; Bennett, B.D.; Babu-Khan, S.; Kahn, S.; Mendiaz, E.A.; Denis, P.; Teplow, D.B.; Ross, S.; Amarante, P.; Loeloff, R.; et al. β-Secretase Cleavage of Alzheimer’s Amyloid Precursor Protein by the Transmembrane Aspartic Protease BACE. Science 1999, 286, 735–741. [Google Scholar] [CrossRef]
- Neumann, U.; Ufer, M.; Jacobson, L.; Rouzade-Dominguez, M.; Huledal, G.; Kolly, C.; Lüönd, R.M.; Machauer, R.; Veenstra, S.J.; Hurth, K.; et al. The BACE -1 inhibitor CNP 520 for prevention trials in Alzheimer’s disease. EMBO Mol. Med. 2018, 10, e9316. [Google Scholar] [CrossRef]
- Llorens- Martín, M.; Jurado, J.; Hernández, F.; Avila, J. GSK-3β, a pivotal kinase in Alzheimer disease. Front. Mol. Neurosci. 2014, 7, 46. [Google Scholar] [CrossRef]
- Bertrand, J.; Thieffine, S.; Vulpetti, A.; Cristiani, C.; Valsasina, B.; Knapp, S.; Kalisz, H.; Flocco, M. Structural Characterization of the GSK-3β Active Site Using Selective and Non-selective ATP-mimetic Inhibitors. J. Mol. Biol. 2003, 333, 393–407. [Google Scholar] [CrossRef]
- Rodríguez, J.J.; Noristani, H.N.; Verkhratsky, A. The serotonergic system in ageing and Alzheimer’s disease. Prog. Neurobiol. 2012, 99, 15–41. [Google Scholar] [CrossRef]
- Coleman, J.A.; Green, E.M.; Gouaux, E. X-ray structures and mechanism of the human serotonin transporter. Nature 2016, 532, 334–339. [Google Scholar] [CrossRef] [PubMed]
- Pinton, S.; Sampaio, T.B.; Savall, A.S.; Gutierrez, M.E.Z. Neurotrophic factors in Alzheimer’s and Parkinson’s diseases: Implications for pathogenesis and therapy. Neural Regen. Res. 2017, 12, 549–557. [Google Scholar] [CrossRef] [PubMed]
- Wang, T.; Lamb, M.L.; Block, M.H.; Davies, A.M.; Han, Y.; Hoffmann, E.; Ioannidis, S.; Josey, J.A.; Liu, Z.-Y.; Lyne, P.D.; et al. Discovery of Disubstituted Imidazo[4,5-b]pyridines and Purines as Potent TrkA Inhibitors. ACS Med. Chem. Lett. 2012, 3, 705–709. [Google Scholar] [CrossRef] [PubMed]
- Dvir, H.; Silman, I.; Harel, M.; Rosenberry, T.L.; Sussman, J.L. Acetylcholinesterase: From 3D structure to function. Chem. Interact. 2010, 187, 10–22. [Google Scholar] [CrossRef]
- Shimizu, H.; Tosaki, A.; Kaneko, K.; Hisano, T.; Sakurai, T.; Nukina, N. Crystal Structure of an Active Form of BACE1, an Enzyme Responsible for Amyloid β Protein Production. Mol. Cell. Biol. 2008, 28, 3663–3671. [Google Scholar] [CrossRef]
- Beurel, E.; Grieco, S.F.; Jope, R.S. Glycogen synthase kinase-3 (GSK3): Regulation, actions, and diseases. Pharmacol. Ther. 2015, 148, 114–131. [Google Scholar] [CrossRef]
- Marlin, M.C.; Li, G. Biogenesis and Function of the NGF/TrkA Signaling Endosome. Int. Rev. Cell Mol. Biol. 2015, 314, 239–257. [Google Scholar] [CrossRef]
- Arfeen, M.; Patel, R.; Khan, T.; Bharatam, P.V. Molecular dynamics simulation studies of GSK-3β ATP competitive inhibitors: Understanding the factors contributing to selectivity. J. Biomol. Struct. Dyn. 2015, 33, 2578–2593. [Google Scholar] [CrossRef]
- Wang, B.; Wu, H.; Hu, C.; Wang, H.; Liu, J.; Wang, W.; Liu, Q. An overview of kinase downregulators and recent advances in discovery approaches. Signal Transduct. Target. Ther. 2021, 6, 1–19. [Google Scholar] [CrossRef]
- Goodsell, D.S.; Olson, A.J. Automated docking of substrates to proteins by simulated annealing. Proteins Struct. Funct. Bioinform. 1990, 8, 195–202. [Google Scholar] [CrossRef]
- Morris, G.M.; Goodsell, D.S.; Halliday, R.S.; Huey, R.; Hart, W.E.; Belew, R.K.; Olson, A.J. Automated docking using a Lamarckian genetic algorithm and an empirical binding free energy function. J. Comput. Chem. 1998, 19, 1639–1662. [Google Scholar] [CrossRef]
- Höltje, H.D.; Folkers, G. Small molecules. In Molecular Modeling: Basic Principles and Applications; Manhold, R., Kubinyu, H., Timmerman, H., Eds.; Wiley-VCH GmbH: Weinheim, Germany, 1996; pp. 9–63. [Google Scholar]
- Forli, S.; Huey, R.; Pique, M.E.; Sanner, M.F.; Goodsell, D.S.; Olson, A.J. Computational protein–ligand docking and virtual drug screening with the AutoDock suite. Nat. Protoc. 2016, 11, 905–919. [Google Scholar] [CrossRef] [PubMed]
- Bonnans, J.F.; Gilbert, J.C.; Lemaréchal, C.; Sagastizábal, C.A. Newtonian Methods in Numerical Optimization: Theoretical and Practical Aspects, 2nd ed.; Springer: Berlin/Heidelberg, Germany, 2006; pp. 51–66. ISBN 3-540-35445-X. [Google Scholar]
- Österberg, F.; Morris, G.M.; Sanner, M.F.; Olson, A.J.; Goodsell, D.S. Automated docking to multiple target structures: Incorporation of protein mobility and structural water heterogeneity in AutoDock. Proteins Struct. Funct. Bioinform. 2001, 46, 34–40. [Google Scholar] [CrossRef] [PubMed]
- Ismaeel, A.G.; Al-Dulaimy, S.J.; Hasan, F.F. Windows Bioinformatics Platform: Approach for Molecular Docking in Drug Discovery. Int. J. Sci. Eng. Res. 2015, 6, 5–11. [Google Scholar]
- Jaghoori, M.M.; Bleijlevens, B.; Olabarriaga, S.D. 1001 Ways to run AutoDock Vina for virtual screening. J. Comput. Mol. Des. 2016, 30, 237–249. [Google Scholar] [CrossRef]
- Friesner, R.A.; Murphy, R.B.; Repasky, M.P.; Frye, L.L.; Greenwood, J.R.; Halgren, T.A.; Sanschagrin, P.C.; Mainz, D.T. Extra Precision Glide: Docking and Scoring Incorporating a Model of Hydrophobic Enclosure for Protein−Ligand Complexes. J. Med. Chem. 2006, 49, 6177–6196. [Google Scholar] [CrossRef]
- Greenfield, D.A.; Schmidt, H.R.; Skiba, M.A.; Mandler, M.D.; Anderson, J.R.; Sliz, P.; Kruse, A.C. Virtual Screening for Ligand Discovery at the σ1 Receptor. ACS Med. Chem. Lett. 2020, 11, 1555–1561. [Google Scholar] [CrossRef]
- Bourne, Y.; Radić, Z.; Sulzenbacher, G.; Kim, E.; Taylor, P.; Marchot, P. Substrate and Product Trafficking through the Active Center Gorge of Acetylcholinesterase Analyzed by Crystallography and Equilibrium Binding. J. Biol. Chem. 2006, 281, 29256–29267. [Google Scholar] [CrossRef]
- Sherman, W.; Day, T.; Jacobson, M.P.; Friesner, R.A.; Farid, R. Novel Procedure for Modeling Ligand/Receptor Induced Fit Effects. J. Med. Chem. 2005, 49, 534–553. [Google Scholar] [CrossRef]
- Burley, S.K.; Bhikadiya, C.; Bi, C.; Bittrich, S.; Chen, L.; Crichlow, G.V.; Christie, C.H.; Dalenberg, K.; Di Costanzo, L.; Duarte, J.M.; et al. RCSB Protein Data Bank: Powerful new tools for exploring 3D structures of biological macromolecules for basic and applied research and education in fundamental biology, biomedicine, biotechnology, bioengineering and energy sciences. Nucleic Acids Res. 2020, 49, D437–D451. [Google Scholar] [CrossRef]
- Schrödinger Release 2021-4: Protein Preparation Wizard; Epik, Schrödinger, LLC; Impact, Schrödinger, LLC; Prime, Schrödinger, LLC: New York, NY, USA, 2021.
- Sastry, G.M.; Adzhigirey, M.; Day, T.; Annabhimoju, R.; Sherman, W. Protein and ligand preparation: Parameters, protocols, and influence on virtual screening enrichments. J. Comput. Aided Mol. Des. 2013, 27, 221–234. [Google Scholar] [CrossRef] [PubMed]
- Gaulton, A.; Hersey, A.; Nowotka, M.; Bento, A.P.; Chambers, J.; Mendez, D.; Mutowo, P.; Atkinson, F.; Bellis, L.J.; Cibrián-Uhalte, E.; et al. The ChEMBL database in 2017. Nucleic Acids Res. 2017, 45, D945. [Google Scholar] [CrossRef] [PubMed]
- Schrödinger Release 2021-4: LigPrep; Schrödinger, LLC: New York, NY, USA, 2021.
- Lu, C.; Wu, C.; Ghoreishi, D.; Chen, W.; Wang, L.; Damm, W.; Ross, G.A.; Dahlgren, M.K.; Russell, E.; Von Bargen, C.D.; et al. OPLS4: Improving Force Field Accuracy on Challenging Regimes of Chemical Space. J. Chem. Theory Comput. 2021, 17, 4291–4300. [Google Scholar] [CrossRef] [PubMed]



| Target | Classification | Disease | Ref. | PDB ID | Ref. |
|---|---|---|---|---|---|
| AChE | Hydrolase | AD | [34,35] | 4EY6 | [36] |
| BACE1 | Hydrolase | [37,38] | 6EQM | [39] | |
| GSK3β | Transferase | [40] | 1PYX | [41] | |
| SERT | Transport protein | [42] | 5I6X | [43] | |
| 5I73 | |||||
| TrkA | Transferase | PD | [44] | 4AOJ | [45] |
| Target | pIC50 | ΔG, kcal/mol | LE | ||||
|---|---|---|---|---|---|---|---|
| Best | Poorest | Average | Best | Poorest | Average | ||
| AChE | ≥8 | −16.16 | −4.91 | −11.88 ± 2.70 | 0.61 | 0.23 | 0.39 ± 0.07 |
| 6–5 | −14.64 | −7.58 | −10.89 ± 1.76 | 0.46 | 0.21 | 0.36 ± 0.06 | |
| ≤4 | −15.59 | −5.81 | −9.94 ± 2.55 | 0.67 | 0.26 | 0.40 ± 0.06 | |
| BACE1 | ≥8 | −8.88 | −3.29 | −6.65 ± 1.00 | 0.31 | 0.07 | 0.22 ± 0.04 |
| 6–5 | −8.67 | −4.50 | −6.38 ± 1.09 | 0.40 | 0.08 | 0.21 ± 0.06 | |
| ≤4 | −8.60 | −0.96 | −5.25 ± 1.93 | 0.46 | 0.02 | 0.24 ± 0.12 | |
| GSK3β | ≥8 | −11.84 | −6.74 | −9.47 ± 1.14 | 0.51 | 0.20 | 0.39 ± 0.06 |
| 6–5 | −12.29 | −6.94 | −10.10 ± 1.31 | 0.53 | 0.28 | 0.38 ± 0.06 | |
| ≤4 | −12.40 | −7.34 | −9.99 ± 1.38 | 0.56 | 0.28 | 0.38 ± 0.08 | |
| SERT Central binding site | ≥8 | −11.15 | −5.05 | −7.01 ± 1.31 | 0.39 | 0.16 | 0.29 ± 0.05 |
| 6–5 | −10.89 | −5.92 | −8.35 ± 1.19 | 0.41 | 0.22 | 0.31 ± 0.05 | |
| ≤4 | −10.72 | −6.00 | −8.38 ± 1.50 | 0.42 | 0.25 | 0.31 ± 0.04 | |
| SERT Allosteric binding site | ≥8 | −12.15 | −6.80 | −9.25 ± 1.02 | 0.42 | 0.23 | 0.32 ± 0.05 |
| 6–5 | −11.62 | −6.75 | −8.89 ± 1.25 | 0.48 | 0.22 | 0.31 ± 0.06 | |
| ≤4 | −11.71 | −5.19 | −8.34 ± 1.33 | 0.52 | 0.21 | 0.35 ± 0.07 | |
| TrkA | ≥8 | −8.90 | −5.89 | −7.50 ± 0.62 | 0.32 | 0.18 | 0.24 ± 0.03 |
| 6–5 | −7.89 | −4.85 | −6.63 ± 0.75 | 0.29 | 0.10 | 0.22 ± 0.05 | |
| ≤4 | −7.92 | −4.28 | −6.76 ± 0.74 | 0.38 | 0.12 | 0.24 ± 0.04 | |
| Target | pIC50 | ΔG, kcal/mol | LE | ||||
|---|---|---|---|---|---|---|---|
| Best | Poorest | Average | Best | Poorest | Average | ||
| AChE | ≥8 | −12.70 | −5.90 | −10.46 ± 1.64 | 0.74 | 0.18 | 0.35 ± 0.10 |
| 6–5 | −11.90 | −7.50 | −9.83 ± 1.16 | 0.45 | 0.19 | 0.33 ± 0.06 | |
| ≤4 | −11.30 | −5.70 | −8.84 ± 1.51 | 0.69 | 0.24 | 0.37 ± 0.09 | |
| BACE1 | ≥8 | −11.90 | −7.50 | −10.06 ± 1.08 | 0.43 | 0.16 | 0.33 ± 0.05 |
| 6–5 | −11.50 | −6.10 | −9.61 ± 1.04 | 0.47 | 0.19 | 0.32 ± 0.07 | |
| ≤4 | −11.50 | −4.80 | −8.63 ± 1.11 | 0.68 | 0.15 | 0.37 ± 0.15 | |
| GSK3β | ≥8 | −12.70 | −7.50 | −9.60 ± 1.16 | 0.51 | 0.25 | 0.39 ± 0.06 |
| 6–5 | −12.10 | −5.90 | −9.86 ± 1.39 | 0.52 | 0.14 | 0.37 ± 0.07 | |
| ≤4 | −12.80 | −6.80 | −10.09 ± 1.61 | 0.51 | 0.28 | 0.38 ± 0.06 | |
| SERT Central binding site | ≥8 | −10.80 | −6.60 | −8.72 ± 0.99 | 0.50 | 0.21 | 0.36 ± 0.06 |
| 6–5 | −10.40 | −6.50 | −8.88 ± 0.98 | 0.49 | 0.23 | 0.33 ± 0.06 | |
| ≤4 | −10.80 | −6.30 | −8.89 ± 1.22 | 0.44 | 0.25 | 0.33 ± 0.06 | |
| SERT Allosteric binding site | ≥8 | −10.90 | −6.90 | −8.90 ± 0.69 | 0.45 | 0.24 | 0.31 ± 0.05 |
| 6–5 | −10.90 | −6.60 | −8.86 ± 1.13 | 0.47 | 0.22 | 0.31 ± 0.06 | |
| ≤4 | −10.20 | −5.10 | −8.18 ± 1.06 | 0.55 | 0.21 | 0.35 ± 0.08 | |
| TrkA | ≥8 | −11.60 | −8.70 | −10.08 ± 0.59 | 0.42 | 0.23 | 0.33 ± 0.04 |
| 6–5 | −10.70 | −7.80 | −9.48 ± 0.63 | 0.42 | 0.19 | 0.31 ± 0.05 | |
| ≤4 | −11.90 | −8.20 | −9.34 ± 0.73 | 0.51 | 0.23 | 0.34 ± 0.06 | |
| Target | pIC50 | ΔG, kcal/mol | LE | ||||
|---|---|---|---|---|---|---|---|
| Best | Poorest | Average | Best | Poorest | Average | ||
| AChE | ≥8 | −11.11 | −2.41 | −7.30 ± 1.61 | 0.64 | 0.05 | 0.27 ± 0.11 |
| 6–5 | −10.76 | 1.74 | −7.14 ± 2.15 | 0.36 | 0.07 | 0.25 ± 0.07 | |
| ≤4 | −9.95 | −2.02 | −6.65 ± 1.58 | 0.68 | 0.06 | 0.30 ± 0.12 | |
| BACE1 | ≥8 | −7.79 | −1.56 | −4.27 ± 1.33 | 0.27 | 0.05 | 0.14 ± 0.05 |
| 6–5 | −6.67 | −0.34 | −3.84 ± 1.37 | 0.26 | 0.01 | 0.14 ± 0.06 | |
| ≤4 | −6.57 | −1.10 | −4.34 ± 1.09 | 0.55 | 0.02 | 0.20 ± 0.11 | |
| GSK3β | ≥8 | −9.67 | −4.24 | −7.41 ± 1.05 | 0.44 | 0.18 | 0.33 ± 0.07 |
| 6–5 | −9.50 | −4.46 | −6.86 ± 1.17 | 0.44 | 0.13 | 0.29 ± 0.09 | |
| ≤4 | −8.41 | −4.26 | −7.04 ± 0.85 | 0.46 | 0.16 | 0.33 ± 0.08 | |
| SERT Central binding site | ≥8 | −7.63 | −4.06 | −5.92 ± 0.85 | 0.36 | 0.10 | 0.25 ± 0.06 |
| 6–5 | −7.79 | 0.19 | −5.89 ± 1.42 | 0.37 | 0.01 | 0.23 ± 0.08 | |
| ≤4 | −9.40 | −4.98 | −6.28 ± 0.80 | 0.35 | 0.13 | 0.24 ± 0.06 | |
| SERT Allosteric binding site | ≥8 | −10.06 | −3.60 | −6.02 ± 1.09 | 0.37 | 0.09 | 0.22 ± 0.06 |
| 6–5 | −8.50 | −3.12 | −6.01 ± 1.36 | 0.46 | 0.07 | 0.22 ± 0.09 | |
| ≤4 | −8.79 | −3.01 | −5.95 ± 1.36 | 0.56 | 0.10 | 0.27 ± 0.10 | |
| TrkA | ≥8 | −10.03 | −3.51 | −6.09 ± 1.58 | 0.35 | 0.10 | 0.20 ± 0.06 |
| 6–5 | −8.48 | −3.71 | −5.91 ± 1.29 | 0.33 | 0.11 | 0.20 ± 0.05 | |
| ≤4 | −8.04 | −2.78 | −5.94 ± 1.17 | 0.38 | 0.09 | 0.22 ± 0.06 | |
| Target | pIC50 | ΔG, kcal/mol | LE | ||||
|---|---|---|---|---|---|---|---|
| Best | Poorest | Average | Best | Poorest | Average | ||
| AChE | ≥8 | −11.38 | −5.62 | −8.96 ± 1.50 | 0.70 | 0.14 | 0.31 ± 0.09 |
| 6–5 | −10.71 | −5.78 | −8.72 ± 1.08 | 0.41 | 0.19 | 0.29 ± 0.05 | |
| ≤4 | −10.42 | −4.62 | −7.79 ± 1.38 | 0.61 | 0.18 | 0.33 ± 0.10 | |
| BACE1 | ≥8 | −10.16 | −3.99 | −5.85 ± 1.53 | 0.38 | 0.11 | 0.19 ± 0.06 |
| 6–5 | −7.73 | −2.91 | −5.07 ± 1.29 | 0.30 | 0.08 | 0.17 ± 0.06 | |
| ≤4 | −8.95 | −3.32 | −5.55 ± 1.33 | 0.62 | 0.10 | 0.24 ± 0.11 | |
| GSK3β | ≥8 | −9.94 | −4.85 | −8.16 ± 1.07 | 0.47 | 0.12 | 0.35 ± 0.07 |
| 6–5 | −9.58 | −1.92 | −7.54 ±1.11 | 0.51 | 0.05 | 0.29 ± 0.09 | |
| ≤4 | −9.07 | −4.54 | −7.59 ± 0.88 | 0.46 | 0.13 | 0.30 ± 0.09 | |
| SERT Central binding site | ≥8 | −7.75 | −4.81 | −6.59 ± 0.69 | 0.39 | 0.13 | 0.27 ± 0.06 |
| 6–5 | −10.09 | −4.89 | −6.68 ± 0.90 | 0.38 | 0.16 | 0.25 ± 0.06 | |
| ≤4 | −9.84 | −5.70 | −6.98 ± 1.17 | 0.38 | 0.15 | 0.26 ± 0.06 | |
| SERT Allosteric binding site | ≥8 | −13.00 | −5.45 | −7.12 ± 1.22 | 0.41 | 0.16 | 0.25 ± 0.06 |
| 6–5 | −11.65 | −4.80 | −6.99 ± 1.38 | 0.65 | 0.11 | 0.26 ± 0.10 | |
| ≤4 | −11.97 | −4.44 | −6.86 ± 1.64 | 0.54 | 0.16 | 0.30 ± 0.10 | |
| TrkA | ≥8 | −10.67 | −3.83 | −8.61 ± 1.76 | 0.40 | 0.13 | 0.28 ± 0.07 |
| 6–5 | −9.62 | −4.02 | −6.72 ± 1.19 | 0.40 | 0.08 | 0.22 ± 0.06 | |
| ≤4 | −9.38 | −2.16 | −6.73 ± 1.33 | 0.44 | 0.08 | 0.25 ± 0.07 | |
| Target | pIC50 | ΔG, kcal/mol | LE | ||||
|---|---|---|---|---|---|---|---|
| Best | Poorest | Average | Best | Poorest | Average | ||
| AChE | ≥8 | −11.77 | −4.68 | −9.44 ± 2.06 | 0.02 | 0.70 | 0.31 ± 0.12 |
| 6–5 | −13.10 | −2.82 | −8.79 ± 2.07 | 0.09 | 0.44 | 0.29 ± 0.08 | |
| ≤4 | −15.80 | −4.23 | −7.54 ± 2.04 | 0.11 | 0.69 | 0.32 ± 0.12 | |
| BACE1 | ≥8 | −11.61 | −2.65 | −5.08 ± 1.75 | 0.07 | 0.43 | 0.16 ± 0.06 |
| 6−5 | −8.11 | 4.20 | −4.09 ± 2.39 | 0.02 | 0.36 | 0.15 ± 0.07 | |
| ≤4 | −9.85 | −2.49 | −5.46 ± 2.03 | 0.07 | 0.51 | 0.22 ± 0.08 | |
| GSK3β | ≥8 | −11.34 | −0.73 | −8.19 ± 1.57 | 0.02 | 0.46 | 0.34 ± 0.09 |
| 6–5 | −10.72 | −4.30 | −7.85 ± 1.24 | 0.18 | 0.45 | 0.30 ± 0.08 | |
| ≤4 | −10.00 | −6.33 | −8.40 ± 0.83 | 0.17 | 0.48 | 0.32 ± 0.09 | |
| SERT Central binding site | ≥8 | −8.60 | −2.54 | −6.24 ± 1.20 | 0.06 | 0.35 | 0.26 ± 0.06 |
| 6–5 | −8.67 | −1.84 | −5.68 ± 1.48 | 0.05 | 0.35 | 0.22 ± 0.07 | |
| ≤4 | −9.82 | −2.83 | −5.93 ± 1.41 | 0.07 | 0.38 | 0.23 ± 0.08 | |
| SERT Allosteric binding site | ≥8 | −13.98 | −3.80 | −6.67 ± 1.80 | 0.10 | 0.41 | 0.24 ± 0.08 |
| 6–5 | −11.63 | −3.15 | −6.93 ± 1.89 | 0.10 | 0.58 | 0.25 ± 0.11 | |
| ≤4 | −14.38 | −2.73 | −6.81 ± 2.36 | 0.08 | 0.64 | 0.30 ± 0.13 | |
| TrkA | ≥8 | −11.41 | −2.64 | −8.46 ± 2.35 | 0.09 | 0.42 | 0.28 ± 0.09 |
| 6–5 | −10.35 | −1.88 | −6.28 ± 2.03 | 0.04 | 0.38 | 0.21 ± 0.08 | |
| ≤4 | −9.39 | −3.04 | −6.26 ± 1.45 | 0.11 | 0.40 | 0.23 ± 0.07 | |
Publisher’s Note: MDPI stays neutral with regard to jurisdictional claims in published maps and institutional affiliations. |
© 2022 by the authors. Licensee MDPI, Basel, Switzerland. This article is an open access article distributed under the terms and conditions of the Creative Commons Attribution (CC BY) license (https://creativecommons.org/licenses/by/4.0/).
Share and Cite
Ivanova, L.; Karelson, M. The Impact of Software Used and the Type of Target Protein on Molecular Docking Accuracy. Molecules 2022, 27, 9041. https://doi.org/10.3390/molecules27249041
Ivanova L, Karelson M. The Impact of Software Used and the Type of Target Protein on Molecular Docking Accuracy. Molecules. 2022; 27(24):9041. https://doi.org/10.3390/molecules27249041
Chicago/Turabian StyleIvanova, Larisa, and Mati Karelson. 2022. "The Impact of Software Used and the Type of Target Protein on Molecular Docking Accuracy" Molecules 27, no. 24: 9041. https://doi.org/10.3390/molecules27249041
APA StyleIvanova, L., & Karelson, M. (2022). The Impact of Software Used and the Type of Target Protein on Molecular Docking Accuracy. Molecules, 27(24), 9041. https://doi.org/10.3390/molecules27249041
