Metabolites Identification and Mechanism Prediction of Neobavaisoflavone In Vitro and In Vivo of Rats through UHPLC-Q-Exactive Plus Orbitrap MS Integrated Network Pharmacology
Abstract
1. Introduction
2. Results
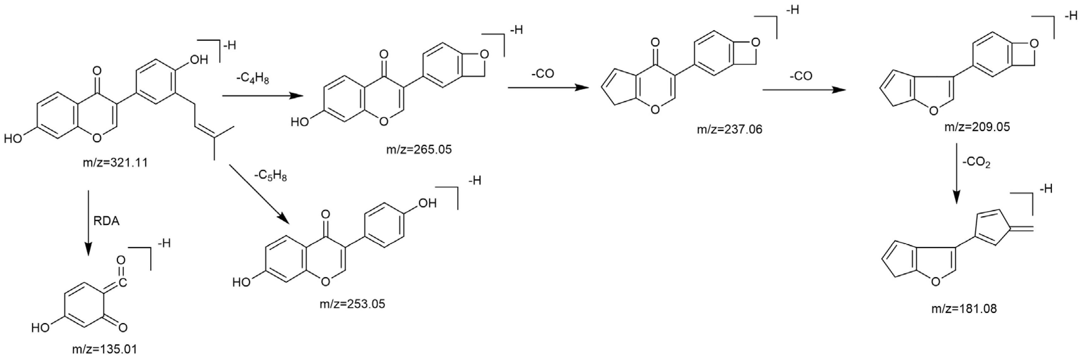
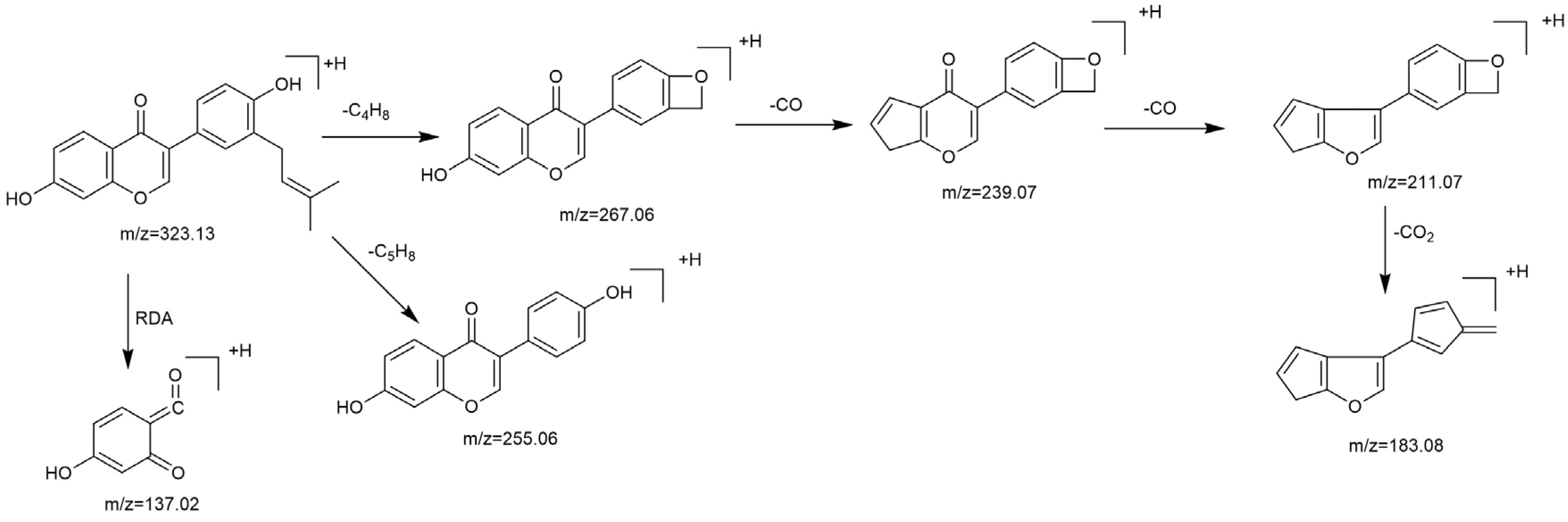
2.1. DPIs Construction and Fragmentation Pathways of Neobavaisoflavone
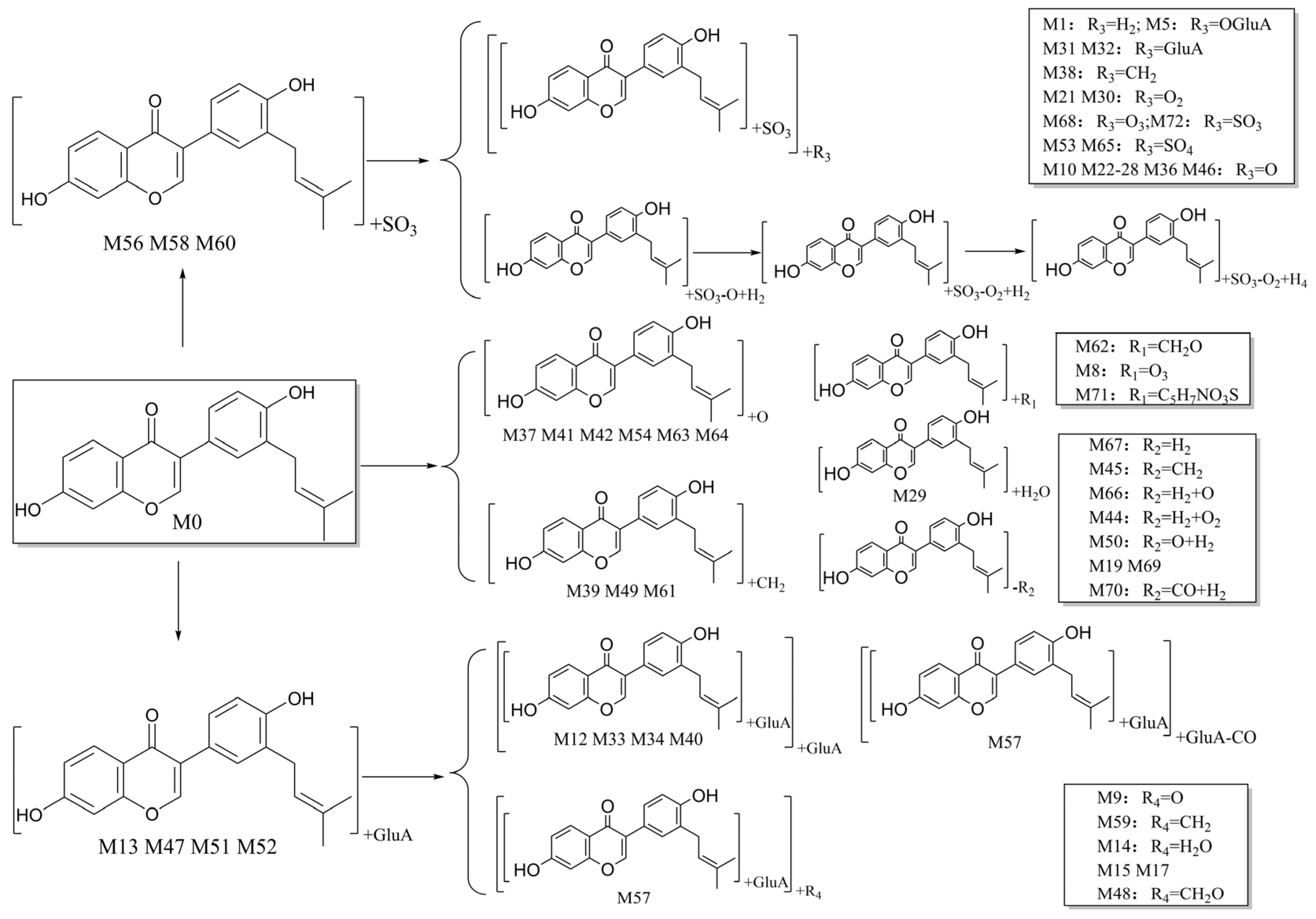
2.2. Fragmentation Pattern Analysis and DPIs Determination of Neobavaisoflavone Metabolites
2.3. Metabolic Pathway Mechanism Analysis of Neobavaisoflavone
2.4. Network Pharmacology of Neobavaisoflavone and Its Main Metabolites
2.4.1. Construction and Analysis of Ingredient-Target Network
2.4.2. GO Analysis of Target
2.4.3. KEGG Analysis of Target
3. Discussion
4. Materials and Methods
4.1. Reagents and Chemicals
4.2. Animals and Drug Administration
4.3. Biological Samples Collection and Preparation
4.3.1. Plasma Samples
4.3.2. Urine, Feces, and Liver Tissue Samples
4.3.3. Liver Microsome
4.4. Instrument and Conditions
4.5. Data Processing
5. Conclusions
Author Contributions
Funding
Institutional Review Board Statement
Informed Consent Statement
Data Availability Statement
Conflicts of Interest
References
- Gao, F.; Wu, W.Q.; Wang, B.; Liu, G.J.; Jiang, F. Identification of psoraleae fructus illegally added in mixed wine and mixed tea based on high resolution mass spectrometry library and diagnostic ratio of characteristic components. Food Mach. 2022, 38, 61–67. [Google Scholar] [CrossRef]
- Alam, F.; Khan, G.N.; Asad, M. Psoralea corylifolia L.: Ethnobotanical, biological, and chemical aspects: A review. Phytother. Res. PTR 2018, 32, 597–615. [Google Scholar] [CrossRef]
- Shi, G.Z.; Song, D.; Li, P.Y.; Chen, S.S.; Zhang, L.; Li, S.S.; Xiao, X.H.; Qin, X.H.; Wang, J.B. Screening of hepatotoxic compounds in Psoralea corylifolia L., a traditional Chinese herbal and dietary supplement, using high-resolution mass spectrometry and high-content imaging. Biomed. Chromatogr. BMC 2021, 35, e5140. [Google Scholar] [CrossRef]
- Cao, S.F. Two medicinal diets to nourish the kidneys. New Rural Technol. 2016, 8, 63–64. [Google Scholar]
- Zhang, X.; Zhao, W.; Wang, Y.; Lu, J.; Chen, X. The Chemical Constituents and Bioactivities of Psoralea corylifolia Linn.: A Review. Am. J. Chin. Med. 2016, 44, 35–60. [Google Scholar] [CrossRef]
- Dai, T.; Sun, G. Metabolite profiling analysis of plasma, urine, and feces of rats after oral administration of Flos Chrysanthemi Indici preparation through UHPLC-Q-Exactive-MS combined with pharmacokinetic study of markers by UHPLC-QQQ-MS/MS. Anal. Bioanal. Chem. 2022, 414, 3927–3943. [Google Scholar] [CrossRef]
- Szliszka, E.; Skaba, D.; Czuba, Z.P.; Krol, W. Inhibition of inflammatory mediators by neobavaisoflavone in activated RAW264.7 macrophages. Molecules 2011, 16, 3701–3712. [Google Scholar] [CrossRef]
- Bronikowska, J.; Szliszka, E.; Czuba, Z.P.; Zwolinski, D.; Szmydki, D.; Krol, W. The combination of TRAIL and isoflavones enhances apoptosis in cancer cells. Molecules 2010, 15, 2000–2015. [Google Scholar] [CrossRef]
- Chen, H.; Wang, J.; Wang, M. Effects of Dietary Supplementation of Soybean lsoflavones on Growth Performance Serum Biochemistry, lmmunity and Antioxidant Capacity in Growing Pigs. Chin. J. Anim. Sci. 2022, 58, 229-233+238. [Google Scholar] [CrossRef]
- Wei, M.M.; Sun, X.Y.; Wu, S.Y.; Wang, S.Y.; Gao, Y.; Kang, C.; Yang, W.; Li, Y.F.; Li, C. Rapid and simultaneous determination of 10 active components of Psoraleae Fructus in beagle dog plasma using UPLC-MS/MS and its application in pharmacokinetic study. Zhongguo Zhong Yao Za Zhi = Zhongguo Zhongyao Zazhi = China J. Chin. Mater. Med. 2021, 46, 444–453. [Google Scholar] [CrossRef]
- Chen, H. Mechanism Study of the Role of Neobavaisoflavone in Inhibiting Osteoclastogenesis and Alleviating Bone Loss Induced by Ovariectomy; Naval Medical University: Shanghai, China, 2021. [Google Scholar]
- Kim, D.E.; Chang, B.Y.; Ham, S.O.; Kim, Y.C.; Kim, S.Y. Neobavaisoflavone Inhibits Melanogenesis through the Regulation of Akt/GSK-3β and MEK/ERK Pathways in B16F10 Cells and a Reconstructed Human 3D Skin Model. Molecules 2020, 25, 2683. [Google Scholar] [CrossRef] [PubMed]
- Fu, Y.; Wu, Y.; Mei, C.; Hua, Z.; Li, W. Study of cholestatic liver injury in female ICR mice by decoction of Psoraleae Fructus before and after processing. Chin. Tradit. Herb. Drugs 2022, 53, 1434–1441. [Google Scholar]
- Guo, Z.; Li, P.; Wang, C.; Kang, Q.; Tu, C.; Jiang, B.; Zhang, J.; Wang, W.; Wang, T. Five Constituents Contributed to the Psoraleae Fructus-Induced Hepatotoxicity via Mitochondrial Dysfunction and Apoptosis. Front. Pharmacol. 2021, 12, 682823. [Google Scholar] [CrossRef] [PubMed]
- Rashid, M.M.; Oh, H.A.; Lee, H.; Jung, B.H. Metabolite identification of AZD8055 in Sprague-Dawley rats after a single oral administration using ultra-performance liquid chromatography and mass spectrometry. J. Pharm. Biomed. Anal. 2017, 145, 473–481. [Google Scholar] [CrossRef]
- Khamis, M.M.; Adamko, D.J.; El-Aneed, A. Strategies and challenges in method development and validation for the absolute quantification of endogenous biomarker metabolites using liquid chromatography-tandem mass spectrometry. Mass Spectrom. Rev. 2021, 40, 31–52. [Google Scholar] [CrossRef]
- Wang, X.; Sun, H.; Zhang, A.; Sun, W.; Wang, P.; Wang, Z. Potential role of metabolomics apporoaches in the area of traditional Chinese medicine: As pillars of the bridge between Chinese and Western medicine. J. Pharm. Biomed. Anal. 2011, 55, 859–868. [Google Scholar] [CrossRef]
- Araújo-Lima, C.F.; Paula da Silva Oliveira, J.; Coscarella, I.L.; Aiub, C.A.F.; Felzenszwalb, I.; Caprini Evaristo, G.P.; Macedo, A.F. Metabolomic analysis of Cyrtopodium glutiniferum extract by UHPLC-MS/MS and in vitro antiproliferative and genotoxicity assessment. J. Ethnopharmacol. 2020, 253, 112607. [Google Scholar] [CrossRef]
- Li, H.; Qian, Z.; Zhao, Y.; Zheng, H. Study on the metabolic process of synthetic cannabinoids 4F-MDMB-BINACA and 4F-MDMB-BICA in human liver microsome and zebrafish model via UHPLC-QE Orbitrap MS. Anal. Bioanal. Chem. 2022, 414, 3905–3916. [Google Scholar] [CrossRef]
- Yuan, S.; Gao, P.; Shi, Y.; Tu, P.; Jiang, Y. Rapid screening and identification of metabolites of murpanicin in rats by UHPLC/Q-TOF-MS/MS combined with diagnostic fragment ions (DFIs) and multiple mass defect filter. J. Pharm. Biomed. Anal. 2022, 213, 114679. [Google Scholar] [CrossRef]
- Gao, Q.; Xu, Z.; Zhao, G.; Wang, H.; Weng, Z.; Pei, K.; Wu, L.; Cai, B.; Chen, Z.; Li, W. Simultaneous quantification of 5 main components of Psoralea corylifolia L. in rats’ plasma by utilizing ultra high pressure liquid chromatography tandem mass spectrometry. J. Chromatogr. B Anal. Technol. Biomed. Life Sci. 2016, 1011, 128–135. [Google Scholar] [CrossRef]
- Zhou, Y.; Zhou, B.; Pache, L.; Chang, M.; Khodabakhshi, A.H.; Tanaseichuk, O.; Benner, C.; Chanda, S.K. Metascape provides a biologist-oriented resource for the analysis of systems-level datasets. Nat. Commun. 2019, 10, 1523. [Google Scholar] [CrossRef] [PubMed]
- Wang, X.X.; Lv, X.; Li, S.Y.; Hou, J.; Ning, J.; Wang, J.Y.; Cao, Y.F.; Ge, G.B.; Guo, B.; Yang, L. Identification and characterization of naturally occurring inhibitors against UDP-glucuronosyltransferase 1A1 in Fructus Psoraleae (Bu-gu-zhi). Toxicol. Appl. Pharmacol. 2015, 289, 70–78. [Google Scholar] [CrossRef] [PubMed]
- Chen, H.; Fang, C.; Zhi, X.; Song, S.; Gu, Y.; Chen, X.; Cui, J.; Hu, Y.; Weng, W.; Zhou, Q.; et al. Neobavaisoflavone inhibits osteoclastogenesis through blocking RANKL signalling-mediated TRAF6 and c-Src recruitment and NF-κB, MAPK and Akt pathways. J. Cell. Mol. Med. 2020, 24, 9067–9084. [Google Scholar] [CrossRef] [PubMed]
- Cai, X.; Zhou, F.; Xie, X.; Zheng, D.; Yao, Y.; Zhao, C.; Huang, X.; Hu, K. Neobavaisoflavone Demonstrates Valid Anti-tumor Effects in Non-Small- Cell Lung Cancer by Inhibiting STAT3. Comb. Chem. High Throughput Screen. 2022, 25, 29–37. [Google Scholar] [CrossRef] [PubMed]
- Xin, D.; Wang, H.; Yang, J.; Su, Y.F.; Fan, G.W.; Wang, Y.F.; Zhu, Y.; Gao, X.M. Phytoestrogens from Psoralea corylifolia reveal estrogen receptor-subtype selectivity. Phytomed. Int. J. Phytother. Phytopharm. 2010, 17, 126–131. [Google Scholar] [CrossRef]
- Chen, M.; Zhao, H.; Cheng, Y.; Wang, L.; Alotaibi, S.H.; Zhang, Y. Anti-human Glioma Cancer Potentials of Neobavaisoflavone as Natural Antioxidant Compound and Its Inhibition Profiles for Acetylcholinesterase and Butyrylcholinesterase Enzymes with Molecular Modeling and Spin Density Distributions Studies. J. Oleo Sci. 2022, 71, 277–288. [Google Scholar] [CrossRef]
- Ren, H.; Guo, S.; Zhang, Y.Y.; Li, Q.; Wang, H.B.; Geng, W.L.; Shang, E.X.; Qian, D.W.; Duan, J.A. Determination of eight active components of Bufei Huoxue Capsules in rat plasma and their pharmacokinetics by UHPLC-MS/MS. China J. Chin. Mater. Med. 2022, 47, 215–223. [Google Scholar] [CrossRef]
- Tian, Y.; Ma, B.; Liu, C.; Zhao, X.; Yu, S.; Li, Y.; Tian, S.; Pei, H.; Wang, Z.; Zuo, Z.; et al. Integrated Solid-Phase Extraction, Ultra-High-Performance Liquid Chromatography–Quadrupole-Orbitrap High-Resolution Mass Spectrometry, and Multidimensional Data-Mining Techniques to Unravel the Metabolic Network of Dehydrocostus Lactone in Rats. Molecules 2022, 27, 7688. [Google Scholar] [CrossRef]
- Dong, P.; Shi, L.; Wang, S.; Jiang, S.; Li, H.; Dong, F.; Xu, J.; Dai, L.; Zhang, J. Rapid Profiling and Identification of Vitexin Metabolites in Rat Urine, Plasma and Faeces after Oral Administration Using a UHPLC-Q-Exactive Orbitrap Mass Spectrometer Coupled with Multiple Data-mining Methods. Curr. Drug Metab. 2021, 22, 185–197. [Google Scholar] [CrossRef]












| No. | tR/min | Formula | Theoretical Mass m/z | Experimental Mass m/z | RDB | Error (ppm) | MS/MS Fragment Ions | PM | PA | PS | U | F | L | LM |
|---|---|---|---|---|---|---|---|---|---|---|---|---|---|---|
| [M−H]− | 11.47 | C20H17O4 | 321.11323 | 321.11182 | 12.5 | 0.316 | 321.11(100.00),265.05(18.15), 319.10(0.62),237.05(0.44), 135.01(0.40),253.05(0.38) | + | + | + | + | + | − | + |
| [M+H]+ | 11.45 | C20H19O4 | 323.12779 | 323.12659 | 11.5 | 3.700 | 323.13(100.00),267.06(95.34), 255.06(87.43),239.07(14.39), 137.02(3.53), | + | + | + | + | + | − | + |
| Peak | tR/Min | Formula [M−H]− | Theoretical Mass m/z | Experimental Mass m/z | RDB | Error (ppm) | MS/MS Fragment Ions | Identification Reactions | PM | PA | PS | U | F | L | LM |
|---|---|---|---|---|---|---|---|---|---|---|---|---|---|---|---|
| M1 | 2.26 | C20H19O7S | 403.08575 | 403.08469 | 11.5 | 4.689 | 113.02(100),403.12(99),212.07(65),227.09(41),96.96(31) | M+SO3+H2 | - | - | - | + | - | - | - |
| M2 | 2.31 | C20H21O6S | 389.10590 | 389.10855 | 10.5 | 2.684 | 389.09(100),113.02(93),149.06(44),213.06(30),242.01(18) | M+SO3-O2+H4 | - | - | - | + | - | - | - |
| M3 | 2.71 | C20H19O5S | 371.09595 | 371.09726 | 11.5 | 1.102 | 371.10(100),113.02(46),133.06(15) | M+SO3-O2+H2 | - | + | - | - | - | - | - |
| M4 | 5.23 | C26H25O11 | 513.14023 | 513.14081 | 14.5 | 3.258 | 187.01(100),113.02(2),513.08(1),337.04(1),175.02(1) | M+C6H8O7 | - | - | - | + | - | - | - |
| M5 | 5.37 | C26H25O14S | 593.09705 | 593.09589 | 14.5 | −0.105 | 187.01(100),79.96(8),337.11(2),113.02(1),417.06(1) | M+SO3+C6H8O7 | - | - | - | + | - | - | - |
| M6 | 5.78 | C26H25O11 | 513.14023 | 513.13861 | 14.5 | −1.029 | 337.11(100),113.02(42),513.14(26),175.02(21),319.09(19),265.05(4) | M+C6H8O7 | + | + | + | - | - | - | - |
| M7 * | 5.79 | C19H15O4 | 307.09758 | 307.09665 | 12.5 | 4.704 | 266.05(3.80),278.06(2.09),323.12(1.40),319.10(0.62), | M-CH2 | - | - | - | - | - | + | - |
| M8 | 5.83 | C20H17O7 | 369.09798 | 369.09531 | 12.5 | −4.252 | 369.12(100),193.09(57.65),113.02(56),175.02(22),175.07(10),124.01(6) | M+O3 | - | - | - | + | - | - | - |
| M9 | 5.84 | C26H25O11 | 513.13969 | 513.13910 | 14.5 | −0.074 | 337.11(100),113.02(56),175.02(26),513.14(19),319.09(9) | M+C6H8O6+O | - | + | - | + | - | - | - |
| M10 | 5.93 | C20H17O8S | 417.06496 | 417.06415 | 12.5 | 0.684 | 80.96(100),417.07(55),307.18(18),96.96(15),337.11(9) | M+SO4 | - | - | - | - | + | - | - |
| M11 | 5.97 | C26H25O11 | 513.14023 | 513.13922 | 14.5 | 0.160 | 337.11(100),113.02(87),175.02(45),513.14(14) | M+C6H8O7 | - | - | - | + | - | - | - |
| M12 | 5.99 | C32H33O16 | 673.17741 | 673.17676 | 16.5 | 0.667 | 321.11(100),113.02(72),497.14(67),175.02(31),673.18(28), | M+C12H16O12 | + | + | - | + | - | - | - |
| M13 | 6.00 | C26H25O10 | 497.14532 | 497.14453 | 14.5 | 0.617 | 321.11(100),113.02(64),497.14(53),175.02(30),252.04(14) | M+C6H8O6 | + | + | + | - | - | - | - |
| M14 | 6.02 | C26H27O11 | 515.15593 | 515.15472 | 13.5 | −0.132 | 339.12(100),113.02(51),175.02(27),266.05(4) | M+C6H8O6+H2O | - | - | - | + | - | - | - |
| M15 | 5.93 | C27H27O11 | 527.15583 | 527.15918 | 14.5 | −1.514 | 113.02(68),175.02(35),351.07(18),527.12(16) | M+C6H8O6+CH2O | - | - | - | + | - | - | - |
| M16 | 6.21 | C26H25O11 | 513.14023 | 513.13910 | 14.5 | −0.074 | 113.02(100),513.14(88),319.10(56),337.11(53),307.10(41),175.02(41) | M+C6H8O7 | + | + | + | - | - | - | - |
| M17 | 6.23 | C27H27O11 | 527.15583 | 527.15991 | 14.5 | −3.942 | 113.02(70),175.02(33),527.12(28),351.05(8) | M+C6H8O6+CH2O | - | - | - | + | + | - | - |
| M18 | 6.37 | C26H25O11 | 513.14023 | 513.13885 | 14.5 | −0.561 | 337.11(100),113.02(78),175.02(43),266.06(30),513.14(26) | M+C6H8O7 | - | - | - | + | - | - | - |
| M19 * | 8.68 | C19H19O3 | 295.13397 | 295.13004 | 10.5 | −4.544 | 277.11(100),295.12(44),135.08(21),121.06(19) | M-CO+H2 | - | - | - | + | - | - | - |
| M20 | 6.45 | C26H25O11 | 513.14023 | 513.13885 | 14.5 | −0.561 | 513.14(100),113.02(79),337.11(73),319.10(39),175.02(31) | M+C6H8O7 | + | + | - | - | - | - | - |
| M21 | 6.51 | C20H17O9S | 433.05985 | 433.05823 | 12.5 | −1.268 | 418.13(7),403.09(11),96.96(12) | M+SO3+O2 | - | - | - | - | - | + | - |
| M22 | 6.56 | C20H17O8S | 417.06496 | 417.06390 | 12.5 | 0.085 | 417.06(100),319.10(63),337.11(57),307.11(57),79.96(10) | M+SO4 | - | - | - | + | - | - | - |
| M23 | 6.63 | C20H17O8S | 417.06496 | 417.06400 | 12.5 | 0.325 | 417.06(100),337.11(59),319.10(57),307.10(55),79.96(9),96.96(3) | M+SO4 | + | + | + | + | - | - | - |
| M24 | 6.74 | C20H17O8S | 417.06496 | 417.06372 | 12.5 | −0.347 | 417.06(100),319.10(62),337.11(59),307.10(55),79.96(7) | M+SO4 | - | - | - | + | - | - | - |
| M25 | 6.92 | C20H17O8S | 417.06496 | 417.06403 | 12.5 | 0.397 | 417.06(100),337.11(65),319.10(59),307.11(52),96.96(17),79.96(8) | M+SO4 | - | - | - | + | - | - | - |
| M26 | 6.99 | C20H17O8S | 417.06496 | 417.06418 | 12.5 | 0.756 | 417.06(100),337.11(58),319.10(50),307.10(38) | M+SO4 | - | - | - | - | - | + | - |
| M27 | 7.11 | C20H17O8S | 417.06496 | 417.06403 | 12.5 | 0.397 | 417.06(100),337.11(63),319.10(58),307.11(51),96.96(28),79.96(10) | M+SO4 | - | - | - | + | + | - | - |
| M28 | 7.17 | C20H17O8S | 417.06496 | 417.06430 | 12.5 | 1.044 | 337.11(100),417.06(40),319.10(5),307.10(3),96.96(2) | M+SO4 | + | + | + | + | - | - | - |
| M29 * | 7.21 | C21H19O4 | 335.12888 | 335.12567 | 12.5 | −4.314 | 335.13(23),321.11(2),265.05(2) | M+CH2 | + | + | - | - | - | - | - |
| M30 | 7.26 | C20H17O9S | 433.05985 | 433.05783 | 12.5 | −2.192 | 257.08(100),308.10(99),433.11(92),113.02(81),353.10(17),175.02(31) | M+SO3+O2 | - | + | + | + | - | - | - |
| M31 | 7.28 | C26H25O13S | 577.10215 | 577.10120 | 14.5 | 0.281 | 321.11(100),577.10(79.99),401.07(19.52),79.96(9.21) | M+SO3+C6H8O6 | + | - | + | - | - | - | - |
| M32 | 7.36 | C26H25O13S | 577.10215 | 577.10101 | 14.5 | −0.048 | 321.11(100),577.10(91),401.07(20),79.96(9),113.02(5) | M+SO3+C6H8O6 | - | - | + | - | - | - | - |
| M33 | 7.56 | C32H33O16 | 673.17741 | 673.17633 | 16.5 | 0.028 | 113.02(100),175.02(63),321.11(34),497.14(24) | M+C12H16O12 | - | - | - | + | - | - | - |
| M34 | 7.74 | C32H33O16 | 673.17741 | 673.17670 | 16.5 | 0.578 | 113.02(100),175.02(61),321.11(27),497.14(16) | M+C12H16O12 | - | - | - | + | - | - | - |
| M35 | 6.46 | C20H19O6S | 387.09139 | 387.09244 | 11.5 | 0.658 | 113.02(100),143.11(85),319.14(37),387.16(31),79.96(14) | M+SO3-O+H2 | + | - | - | + | - | - | - |
| M36 | 7.88 | C20H17O8S | 417.06496 | 417.06430 | 12.5 | 1.044 | 337.11(75),417.06(58),113.02(29),79.96(27),319.10(22), 96.96(19),307.11(15) | M+SO4 | - | - | - | + | - | - | - |
| M37 * | 7.90 | C20H17O5 | 337.10815 | 337.10727 | 12.5 | 0.652 | 337.11(100),265.05(9),279.07(6),319.10(3),252.04(3) | M+O | + | - | - | + | + | - | - |
| M38 | 7.90 | C21H19O7S | 415.08605 | 415.08502 | 12.5 | 1.012 | 335.09(70),145.05(53),415.09(47),131.03(46),151.02(29) | M+SO3+CH2 | - | - | - | - | - | + | - |
| M39 * | 7.96 | C20H19O5 | 339.12380 | 339.12259 | 11.5 | −0.325 | 167.11(19),339.12(11),113.06(8),73.03(8) | M+H2O | - | - | - | - | + | - | - |
| M40 | 7.97 | C32H33O16 | 673.17741 | 673.17688 | 16.5 | 0.845 | 673.18(100),351.06(72),113.02(43),674.18(34),321.11(32) | M+C12H16O12 | + | + | - | + | - | - | - |
| M41 * | 8.06 | C20H17O5 | 337.10815 | 337.10739 | 12.5 | 1.008 | 337.11(100),252.04(14),265.05(11),319.10(9) | M+O | - | - | - | + | + | - | - |
| M42 | 8.13 | C20H17O5 | 337.10815 | 337.10742 | 12.5 | 1.097 | 337.11(100),252.04(14),265.05(12),319.10(5) | M+O | + | - | - | - | - | - | - |
| M43 | 8.15 | C20H15O6 | 351.08741 | 351.08661 | 13.5 | 0.841 | 252.04(29),351.09(7),266.06(2) | M-H2+O2 | + | - | - | - | - | - | - |
| M44 | 6.10 | C20H19O3 | 307.13397 | 307.13010 | 11.5 | −1.273 | 307.10(100),162.02(10),252.04(7),236.14(4) | M-O+H2 | - | - | - | + | + | - | - |
| M45 | 8.16 | C19H15O4 | 307.09758 | 307.09665 | 12.5 | 0.536 | 237.05(0.44),135.01(0.40),253.05(0.38),267.06(0.37), | M-CH2 | - | - | - | - | + | - | + |
| M46 | 8.18 | C20H17O8S | 417.06496 | 417.06415 | 12.5 | 0.684 | 113.02(49),417.07(38),79.96(29),337.11(25),319.10(20),96.96(19) | M+SO4 | - | - | - | + | - | - | - |
| M47 | 8.21 | C26H25O10 | 497.14532 | 497.14441 | 14.5 | 0.375 | 321.11(100),113.02(78),497.14(55),175.02(29) | M+C6H8O6 | + | + | + | + | - | - | - |
| M48 | 8.21 | C27H27O11 | 527.15583 | 527.15454 | 14.5 | −0.470 | 336.10(100),113.02(50),351.12(46),175.02(23),527.15(15) | M+C6H8O6+CH2O | - | - | - | + | - | - | - |
| M49 * | 8.22 | C20H19O5 | 339.12380 | 339.12277 | 11.5 | 0.206 | 339.12(100),252.04(5),267.06(2),237.05(0.34) | M+H2O | - | - | - | + | + | - | - |
| M50 | 8.46 | C20H19O3 | 307.13397 | 307.13129 | 11.5 | −4.855 | 307.12(100),263.13(63),219.14(72) | M-O+H2 | - | - | - | + | + | - | - |
| M51 | 8.52 | C26H25O10 | 497.14532 | 497.14456 | 14.5 | 0.436 | 321.11(73),113.02(40),175.02(18),497.14(8),265.05(5) | M+C6H8O6 | - | - | + | + | - | - | - |
| M52 | 8.66 | C26H25O10 | 497.14532 | 497.14441 | 14.5 | 0.255 | 321.11(100),113.02(55),175.02(25),497.14(10),265.05(7) | M+C6H8O6 | - | - | - | + | - | - | - |
| M53 | 8.66 | C20H17O11S2 | 497.02175 | 497.02170 | 12.5 | 2.054 | 321.11(100),113.02(58),497.15(13),95.01(7) | M+SO3+SO4 | - | - | - | + | - | - | - |
| M54 | 8.75 | C20H17O5 | 337.10815 | 337.10742 | 12.5 | 1.097 | 337.11(100),265.05(47),252.04(11) | M+O | - | - | - | + | + | - | - |
| M55 | 8.95 | C19H15O4 | 307.09758 | 307.09689 | 12.5 | 1.415 | 223.04(0.26),305.08(0.21),221.06(0.17),238.06(0.15), | M-CH2 | - | - | - | - | - | - | + |
| M56 * | 9.08 | C20H17O7S | 401.07005 | 401.06885 | 12.5 | −0.249 | 321.11(100),401.07(59),121.03(7),79.96(6) | M+SO3 | - | - | + | - | - | - | - |
| M57 | 8.90 | C25H25O9 | 469.15043 | 469.15167 | 13.5 | 4.138 | 469.21(100),113.02(51),293.17(47),275.16(38),175.02(16),401.07(13) | M+C6H8O6-CO | + | - | - | - | - | - | - |
| M58 | 9.18 | C20H17O7S | 401.07003 | 407.06934 | 12.5 | 0.972 | 321.11(100),401.07(64.82),121.03(30.52),79.96(7.54) | M+SO3 | + | + | + | + | + | + | + |
| M59 | 9.24 | C27H27O10 | 511.16133 | 511.15991 | 14.5 | 0.072 | 511.16(100),277.05(84),265.05(34),320.10(22),321.11(10),113.02(1) | M+C6H8O6+CH2 | - | - | - | + | - | - | - |
| M60 | 9.33 | C20H17O7S | 401.07003 | 401.06888 | 12.5 | −0.175 | 79.96(39.99),321.11(32.15),401.08(27.66),96.96(10.39) | M+SO3 | - | - | - | - | + | - | - |
| M61 | 9.45 | C20H19O5 | 339.12380 | 339.12234 | 11.5 | −1.151 | 309.11(100),339.12(51),253.05(22) | M+H2O | - | - | - | - | + | - | - |
| M62 | 9.65 | C21H19O5 | 351.12380 | 351.12268 | 12.5 | −0.057 | 319.10(54),351.12(52),321.11(18),271.21(13),307.19(10) | M+CH2O | - | - | - | + | + | - | + |
| M63 | 9.73 | C20H17O5 | 337.10815 | 337.10690 | 12.5 | 0.207 | 337.11(100),265.14(14),293.12(9),309.11(4) | M+O | - | - | - | + | + | - | - |
| M64 | 10.40 | C20H17O5 | 337.10815 | 337.10703 | 12.5 | −0.060 | 293.17(100),337.10(42),137.02(20) | M+O | - | - | - | + | - | - | - |
| M65 | 10.61 | C20H17O11S2 | 497.02175 | 497.02332 | 12.5 | 3.040 | 497.24(54),113.02(27),321.21(257),95.01(5) | M+SO3+SO4 | - | + | - | - | - | - | - |
| M66 | 11.15 | C20H15O5 | 335.09250 | 335.09146 | 13.5 | 0.179 | 317.21(21),299.20(11),291.23(10),335.09(6) | M-H2+O | - | - | - | - | + | - | - |
| M67 | 12.67 | C20H15O4 | 320.10431 | 319.09653 | 13.5 | 0.140 | 319.10(100),116.93(6),304.07(6), | M-H2 | - | - | - | + | - | - | - |
| M68 | 15.44 | C20H17O10S | 449.05475 | 449.05615 | 12.5 | −0.632 | 116.93(100),151.02(47),379.21(9),96.96(7) | M+SO3+O3 | - | - | - | - | - | + | - |
| M69 | 17.35 | C19H19O3 | 295.13397 | 295.13120 | 10.5 | −3.188 | 295.23(100),134.89(5),113.10(5),179.14(2),254.99(2) | M-CO+H2 | - | + | - | - | - | - | - |
| M70 | 19.06 | C19H19O3 | 295.13397 | 295.13028 | 10.5 | −4.950 | 295.23(65),265.26(3),120.13(3) | M-CO+H2 | - | - | + | - | + | - | - |
| M71 | 23.06 | C25H24O7NS | 482.12790 | 482.12555 | 14.5 | −2.591 | 129.97(23),412.21(20),116.93(11),482.13(6) | M+C5H7NO3S | - | - | + | - | - | - | - |
| M72 | 23.09 | C20H17O10S2 | 481.02685 | 481.02747 | 12.5 | 3.546 | 412.21(25),129.97(22),481.30(4),96.96(2),400.74(2) | M+SO3+SO3 | - | + | - | - | - | - | - |
| Compound | Structural Formula | Reaction | Bioavailability Score | Drug-Likeness (Yes) | Number of Targets |
|---|---|---|---|---|---|
| M0 | ![]() | Neobavaisoflavone | 0.55 | 5 | 33 |
| N1 | ![]() | Sulfation | 0.56 | 5 | 35 |
| N2 | ![]() | Hydroxylation | 0.55 | 5 | 40 |
| N3 | ![]() | Hydroxylation | 0.55 | 5 | 33 |
| N4 | ![]() | Demethylation | 0.55 | 5 | 36 |
| N5 | ![]() | Hydration | 0.55 | 5 | 39 |
| N6 | ![]() | Epoxidation | 0.55 | 5 | 25 |
| N7 | ![]() | Decarbonylation Hydrogenation | 0.55 | 4 | 66 |
| N8 | ![]() | Methylation | 0.55 | 5 | 99 |
Publisher’s Note: MDPI stays neutral with regard to jurisdictional claims in published maps and institutional affiliations. |
© 2022 by the authors. Licensee MDPI, Basel, Switzerland. This article is an open access article distributed under the terms and conditions of the Creative Commons Attribution (CC BY) license (https://creativecommons.org/licenses/by/4.0/).
Share and Cite
Li, L.; Dong, F.; Wang, B.; Song, J.; Zhang, H.; Wang, P.; Wang, F.; Yan, Y.; Zhang, X. Metabolites Identification and Mechanism Prediction of Neobavaisoflavone In Vitro and In Vivo of Rats through UHPLC-Q-Exactive Plus Orbitrap MS Integrated Network Pharmacology. Molecules 2022, 27, 8413. https://doi.org/10.3390/molecules27238413
Li L, Dong F, Wang B, Song J, Zhang H, Wang P, Wang F, Yan Y, Zhang X. Metabolites Identification and Mechanism Prediction of Neobavaisoflavone In Vitro and In Vivo of Rats through UHPLC-Q-Exactive Plus Orbitrap MS Integrated Network Pharmacology. Molecules. 2022; 27(23):8413. https://doi.org/10.3390/molecules27238413
Chicago/Turabian StyleLi, Linlin, Fan Dong, Bianli Wang, Jian Song, Huimin Zhang, Ping Wang, Feiran Wang, Yingying Yan, and Xiao Zhang. 2022. "Metabolites Identification and Mechanism Prediction of Neobavaisoflavone In Vitro and In Vivo of Rats through UHPLC-Q-Exactive Plus Orbitrap MS Integrated Network Pharmacology" Molecules 27, no. 23: 8413. https://doi.org/10.3390/molecules27238413
APA StyleLi, L., Dong, F., Wang, B., Song, J., Zhang, H., Wang, P., Wang, F., Yan, Y., & Zhang, X. (2022). Metabolites Identification and Mechanism Prediction of Neobavaisoflavone In Vitro and In Vivo of Rats through UHPLC-Q-Exactive Plus Orbitrap MS Integrated Network Pharmacology. Molecules, 27(23), 8413. https://doi.org/10.3390/molecules27238413










