Structure-Activity Relationship Studies Based on 3D-QSAR CoMFA/CoMSIA for Thieno-Pyrimidine Derivatives as Triple Negative Breast Cancer Inhibitors
Abstract
1. Introduction
2. Results and Discussion
2.1. 3D-QSAR
2.1.1. CoMFA Studies
Scatter Plots
Progressive Scrambling Stability Test
Contour Map Analysis
2.1.2. CoMSIA Studies
Scatter Plots
Progressive Scrambling Stability Test
Contour Map Analysis
2.1.3. Design of the Novel Potent Derivatives
3. Materials and Methods
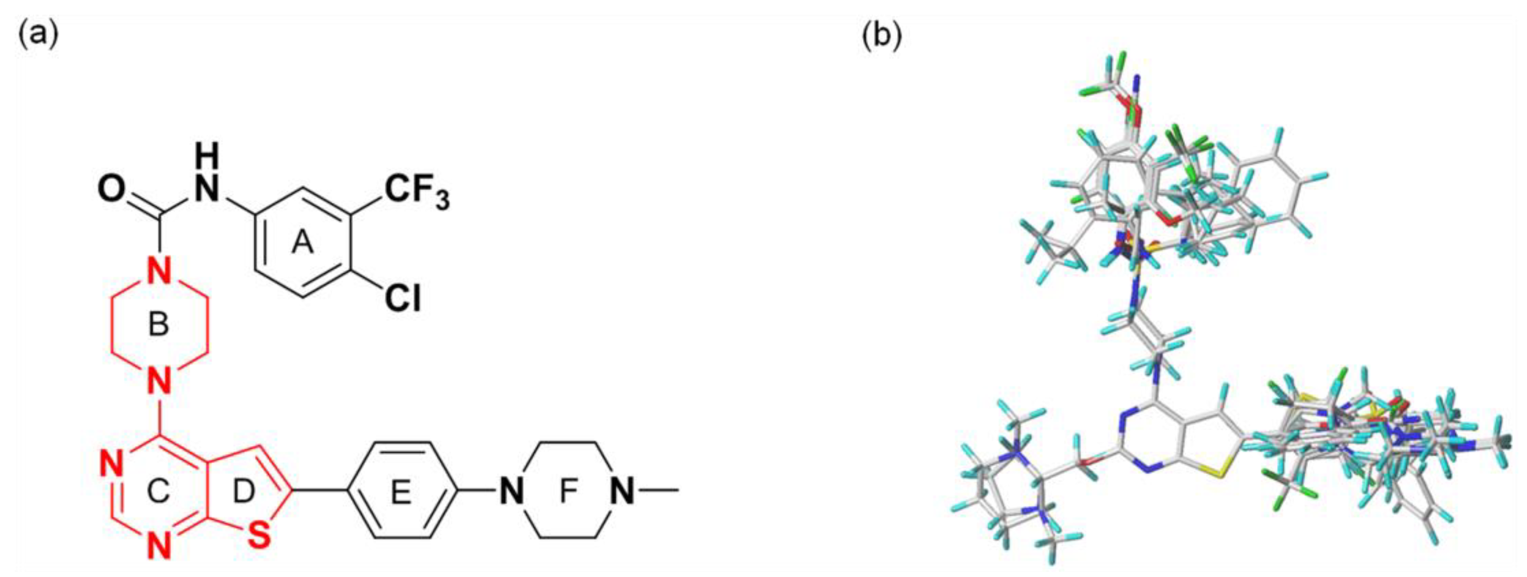
3.1. Dataset
3.2. Alignment
3.3. CoMFA Studies
3.4. CoMSIA Studies
3.5. Partial Least Squares Analysis
3.6. Progressive Scrambling Stability Test
4. Conclusions
Supplementary Materials
Author Contributions
Funding
Institutional Review Board Statement
Informed Consent Statement
Data Availability Statement
Acknowledgments
Conflicts of Interest
Sample Availability
References
- Suleman, M.; Tahir Ul Qamar, M.; Saleem, S.; Ahmad, S.; Ali, S.S.; Khan, H.; Akbar, F.; Khan, W.; Alblihy, A.; Alrumaihi, F.; et al. Mutational Landscape of Pirin and Elucidation of the Impact of Most Detrimental Missense Variants that Accelerate the Breast Cancer Pathways: A Computational Modelling Study. Front. Mol. Biosci. 2021, 8, 692835. [Google Scholar] [CrossRef] [PubMed]
- Ghoncheh, M.; Pournamdar, Z.; Salehiniya, H. Incidence and Mortality and Epidemiology of Breast Cancer in the World. Asian Pac. J. Cancer Prev. 2016, 17, 43–46. [Google Scholar] [CrossRef] [PubMed]
- World Health Organization. Available online: http://www.who.int/news-room/fact-sheets/detail/breast-cancer (accessed on 26 March 2021).
- Medina, M.A.; Oza, G.; Sharma, A.; Arriaga, L.G.; Hernández, J.M.H.; Rotello, V.M.; Ramirez, J.T. Triple-Negative Breast Cancer: A Review of Conventional and Advanced Therapeutic Strategies. Int. J. Environ. Res. Public Health 2020, 17, 2078. [Google Scholar] [CrossRef] [PubMed]
- Ensenyat-Mendez, M.; Llinàs-Arias, P.; Orozco, J.I.J.; Iñiguez-Muñoz, S.; Salomon, M.P.; Sesé, B.; DiNome, M.L.; Marzese, D.M. Current Triple-Negative Breast Cancer Subtypes: Dissecting the Most Aggressive Form of Breast Cancer. Front. Oncol. 2021, 11, 681476. [Google Scholar] [CrossRef]
- Zhao, S.; Zuo, W.-J.; Shao, Z.-M.; Jiang, Y.-Z. Molecular subtypes and precision treatment of triple-negative breast cancer. Ann. Transl. Med. 2020, 8, 499. [Google Scholar] [CrossRef]
- Gupta, G.K.; Collier, A.L.; Lee, D.; Hoefer, R.A.; Zheleva, V.; Siewertsz van Reesema, L.L.; Tang-Tan, A.M.; Guye, M.L.; Chang, D.Z.; Winston, J.S.; et al. Perspectives on Triple-Negative Breast Cancer: Current Treatment Strategies, Unmet Needs, and Potential Targets for Future Therapies. Cancers 2020, 12, 2392. [Google Scholar] [CrossRef]
- Yin, L.; Duan, J.-J.; Bian, X.-W.; Yu, S.-C. Triple-negative breast cancer molecular subtyping and treatment progress. Breast Cancer Res. 2020, 22, 61. [Google Scholar] [CrossRef]
- Bianchini, G.; Balko, J.M.; Mayer, I.A.; Sanders, M.E.; Gianni, L. Triple-negative breast cancer: Challenges and opportunities of a heterogeneous disease. Nat. Rev. Clin. Oncol. 2016, 13, 674–690. [Google Scholar] [CrossRef]
- The American Cancer Society. Available online: http://www.cancer.org/cancer/breast-cancer/about/types-of-breast-cancer/triple-negative.html (accessed on 1 March 2022).
- Baker, E.; Whiteoak, N.; Hall, L.; France, J.; Wilson, D.; Bhaskar, P. Mammaglobin-A, VEGFR3, and Ki67 in Human Breast Cancer Pathology and Five Year Survival. Breast Cancer Basic Clin. Res. 2019, 13, 1–8. [Google Scholar] [CrossRef]
- Shibata, M.-A.; Shibata, E.; Tanaka, Y.; Shiraoka, C.; Kondo, Y. Soluble Vegfr3 gene therapy suppresses multi-organ metastasis in a mouse mammary cancer model. Cancer Sci. 2020, 111, 2837–2849. [Google Scholar] [CrossRef]
- Makinen, T.; Jussila, L.; Veikkola, T.; Karpanen, T.; Kettunen, M.I.; Pulkkanen, K.J.; Kauppinen, R.; Jackson, D.G.; Kubo, H.; Nishikawa, S.-I.; et al. Inhibition of lymphangiogenesis with resulting lymphedema in transgenic mice expressing soluble VEGF receptor-3. Nat. Med. 2001, 7, 199–205. [Google Scholar] [CrossRef] [PubMed]
- Mandriota, S.J.; Jussila, L.; Jeltsch, M.; Compagni, A.; Baetens, D.; Prevo, R.; Banerji, S.; Huarte, J.; Montesano, R.; Jackson, D.G.; et al. Vascular endothelial growth factor-C-mediated lymphangiogenesis promotes tumour metastasis. EMBO J. 2001, 20, 672–682. [Google Scholar] [CrossRef] [PubMed]
- Harris, A.R.; Perez, M.J.; Munson, J.M. Docetaxel facilitates lymphatic-tumor crosstalk to promote lymphangiogenesis and cancer progression. BMC Cancer 2018, 18, 718. [Google Scholar] [CrossRef] [PubMed]
- Li, Y.; Yang, G.; Zhang, J.; Tang, P.; Yang, C.; Wang, G.; Chen, J.; Liu, J.; Zhang, L.; Ouyang, L. Discovery, Synthesis, and Evaluation of Highly Selective Vascular Endothelial Growth Factor Receptor 3 (VEGFR3) Inhibitor for the Potential Treatment of Metastatic Triple-Negative Breast Cancer. J. Med. Chem. 2021, 64, 12022–12048. [Google Scholar] [CrossRef]
- Roskoski, R., Jr. Vascular endothelial growth factor (VEGF) and VEGF receptor inhibitors in the treatment of renal cell carcinomas. Pharmacol. Res. 2017, 120, 116–132. [Google Scholar] [CrossRef]
- Escudier, B.; Powles, T.; Motzer, R.J.; Olencki, T.; Arén Frontera, O.; Oudard, S.; Rolland, F.; Tomczak, P.; Castellano, D.; Appleman, L.J.; et al. Cabozantinib, a New Standard of Care for Patients with Advanced Renal Cell Carcinoma and Bone Metastases? Subgroup Analysis of the METEOR Trial. J. Clin. Oncol. 2018, 36, 765–772. [Google Scholar] [CrossRef]
- Bruix, J.; Cheng, A.-L.; Meinhardt, G.; Nakajima, K.; De Sanctis, Y.; Llovet, J. Prognostic Factors and Predictors of Sorafenib Benefit in Patients with Hepatocellular Carcinoma: Analysis of Two Phase III Studies. J. Hepatol. 2017, 67, 999–1008. [Google Scholar] [CrossRef]
- Gounder, M.M.; Mahoney, M.R.; Van Tine, B.A.; Ravi, V.; Attia, S.; Deshpande, H.A.; Gupta, A.A.; Milhem, M.M.; Conry, R.M.; Movva, S.; et al. Sorafenib for Advanced and Refractory Desmoid Tumors. N. Engl. J. Med. 2018, 379, 2417–2428. [Google Scholar] [CrossRef]
- Kodera, Y.; Katanasaka, Y.; Kitamura, Y.; Tsuda, H.; Nishio, K.; Tamura, T.; Koizumi, F. Sunitinib Inhibits Lymphatic Endothelial Cell Functions and Lymph Node Metastasis in a Breast Cancer Model through Inhibition of Vascular Endothelial Growth Factor Receptor 3. Breast Cancer Res. 2011, 13, R66. [Google Scholar] [CrossRef]
- Matsui, J.; Funahashi, Y.; Uenaka, T.; Watanabe, T.; Tsuruoka, A.; Asada, M. Multi-Kinase Inhibitor E7080 Suppresses Lymph Node and Lung Metastases of Human Mammary Breast Tumor MDA-MB-231 via Inhibition of Vascular Endothelial Growth Factor-Receptor (VEGF-R) 2 and VEGF-R3 Kinase. Clin. Cancer. Res. 2008, 14, 5459–5465. [Google Scholar] [CrossRef]
- Varney, M.L.; Singh, R.K. VEGF-C-VEGFR3/Flt4 axis regulates mammary tumor growth and metastasis in an autocrine manner. Am. J. Cancer Res. 2015, 5, 616–628. [Google Scholar] [PubMed]
- Alam, A.; Blanc, I.; Gueguen-Dorbes, G.; Duclos, O.; Bonnin, J.; Barron, P.; Laplace, M.-C.; Morin, G.; Gaujarengues, F.; Dol, F.; et al. SAR131675, a Potent and Selective VEGFR-3–TK Inhibitor with Antilymphangiogenic, Antitumoral, and Antimetastatic Activities. Mol. Cancer Ther. 2012, 11, 1637–1649. [Google Scholar] [CrossRef] [PubMed]
- Lorca, M.; Morales-Verdejo, C.; Vásquez-Velásquez, D.; Andrades-Lagos, J.; Campanini-Salinas, J.; Soto-Delgado, J.; Recabarren-Gajardo, G.; Mella, J. Structure-Activity Relationships Based on 3D-QSAR CoMFA/CoMSIA and Design of Aryloxypropanol-Amine Agonists with Selectivity for the Human β3-Adrenergic Receptor and Anti-Obesity and Anti-Diabetic Profiles. Molecules 2018, 23, 1191. [Google Scholar] [CrossRef] [PubMed]
- Srivastava, V.; Gupta, S.P.; Siddiqi, M.I.; Mishra, B.N. 3D-QSAR studies on quinazoline antifolate thymidylate synthase inhibitors by CoMFA and CoMSIA models. Eur. J. Med. Chem. 2010, 45, 1560–1571. [Google Scholar] [CrossRef]
- Cramer, R.D.; Patterson, D.E.; Bunce, J.D. Comparative Molecular Field Analysis (CoMFA). 1. Effect of Shape on Binding of Steroids to Carrier Proteins. J. Am. Chem. Soc. 1988, 110, 5959–5967. [Google Scholar] [CrossRef]
- Klebe, G.; Abraham, U.; Mietzner, T. Molecular Similarity Indices in a Comparative Analysis (CoMSIA) of Drug Molecules to Correlate and Predict Their Biological Activity. J. Med. Chem. 1994, 37, 4130–4146. [Google Scholar] [CrossRef]
- Luco, J.M.; Ferretti, F.H. QSAR Based on Multiple Linear Regression and PLS Methods for the Anti-HIV Activity of a Large Group of HEPT Derivatives. J. Chem. Inf. Comput. Sci. 1997, 37, 392–401. [Google Scholar] [CrossRef]
- Golbraikh, A.; Shen, M.; Xiao, Z.; Xiao, Y.-D.; Lee, K.-H.; Tropsha, A. Rational Selection of Training and Test Sets for the Development of Validated QSAR Models. J. Comput. Aided Mol. Des. 2003, 17, 241–253. [Google Scholar] [CrossRef]
- Golbraikh, A.; Tropsha, A. Beware of q2! J. Mol. Graph. Model. 2002, 20, 269–276. [Google Scholar] [CrossRef]
- Clark, R.D.; Fox, P.C. Statistical Variation in Progressive Scrambling. J. Comput. Aided Mol. Des. 2004, 18, 563–576. [Google Scholar] [CrossRef]
- Daina, A.; Michielin, O.; Zoete, V. SwissADME: A free web tool to evaluate pharmacokinetics, drug-likeness and medicinal chemistry friendliness of small molecules. Sci. Rep. 2017, 7, 42717. [Google Scholar] [CrossRef] [PubMed]
- Pires, D.E.V.; Blundell, T.L.; Ascher, D.B. pkCSM: Predicting Small-Molecule Pharmacokinetic and Toxicity Properties Using Graph-Based Signatures. J. Med. Chem. 2015, 58, 4066–4072. [Google Scholar] [CrossRef] [PubMed]
- Patel, S.; Patel, B.; Bhatt, H. 3D-QSAR studies on 5-hydroxy-6-oxo-1,6-dihydropyrimidine-4-carboxamide derivatives as HIV-1 integrase inhibitors. J. Taiwan Inst. Chem. Eng. 2016, 59, 61–68. [Google Scholar] [CrossRef]







| Model | q2 | r2 | SEE | F | r2pred | ONC | Field Contribution (%) | ||||
|---|---|---|---|---|---|---|---|---|---|---|---|
| S | E | H | D | A | |||||||
| CoMFA_SE | 0.818 | 0.917 | 8.142 | 114.235 | 0.794 | 3 | 67.7 | 32.3 | - | - | - |
| CoMSIA_SEHDA | 0.801 | 0.897 | 9.057 | 90.340 | 0.762 | 3 | 29.5 | 29.8 | 29.8 | 6.5 | 4.4 |
| No. of Components | q2 | cSDEP | dq2′/dr2yy′ |
|---|---|---|---|
| 1 | 0.625 | 16.763 | 0.881 |
| 2 | 0.678 | 15.710 | 1.058 |
| 3 | 0.691 | 15.640 | 1.102 |
| 4 | 0.657 | 16.722 | 1.260 |
| 5 | 0.652 | 17.073 | 1.266 |
| No. of Components | q2 | cSDEP | dq2′/dr2yy′ |
|---|---|---|---|
| 1 | 0.428 | 20.708 | 0.709 |
| 2 | 0.644 | 16.580 | 0.819 |
| 3 | 0.674 | 16.106 | 1.035 |
| 4 | 0.635 | 17.242 | 1.162 |
| 5 | 0.593 | 18.441 | 1.165 |
| No | Structure | Predicted Inhibitory Activity (%) |
|---|---|---|
| 42 | ![]() | 85.61 |
| N1 | ![]() | 87.11 |
| N2 | ![]() | 88.01 |
| N3 | ![]() | 89.16 |
| N4 | ![]() | 88.19 |
| N5 | ![]() | 91.18 |
| N6 | ![]() | 90.94 |
| N7 | ![]() | 91.23 |
| N8 | ![]() | 90.10 |
| N9 | ![]() | 90.77 |
| N10 | ![]() | 90.87 |
| N11 | ![]() | 90.45 |
| N12 | ![]() | 89.13 |
| N13 | ![]() | 90.44 |
| N14 | ![]() | 90.55 |
| No | Lipophilicity Log Po/w (MLOGP) | Water Solubility Log S (ESOL) | Pharmacokinetics | Drug-Likeness Lipinski Rule | Synthetic Accessibility | ||
|---|---|---|---|---|---|---|---|
| GI Absorption | BBB Permeant | Toxicity (AMES) Categorical (Yes/No) | |||||
| 42 | 4.05 | −7.21 | High | No | No | Yes; 1 violation | 4.25 |
| N1 | 3.63 | −8.40 | Low | No | No | Yes; 1 violation | 5.01 |
| N2 | 2.97 | −7.88 | Low | No | No | No; 2 violation | 5.70 |
| N3 | 3.56 | −7.73 | High | No | No | No; 2 violation | 5.45 |
| N4 | 4.34 | −8.01 | Low | No | No | No; 2 violation | 4.66 |
| N5 | 5.04 | −9.31 | Low | No | Yes | No; 2 violation | 5.57 |
| N6 | 3.92 | −8.08 | Low | No | No | Yes; 1 violation | 5.63 |
| N7 | 4.27 | −8.57 | Low | No | No | No; 2 violation | 5.86 |
| N8 | 3.90 | −8.19 | Low | No | No | Yes; 1 violation | 5.37 |
| N9 | 4.26 | −8.89 | Low | No | No | No; 2 violation | 5.60 |
| N10 | 4.43 | −9.13 | Low | No | No | No; 2 violation | 5.73 |
| N11 | 4.78 | −9.73 | Low | No | No | No; 2 violation | 5.99 |
| N12 | 3.14 | −7.55 | Low | No | No | No; 2 violation | 5.43 |
| N13 | 3.32 | −7.79 | Low | No | No | No; 2 violation | 5.52 |
| N14 | 3.67 | −8.39 | Low | No | No | No; 2 violation | 6.03 |
![]() | ![]() | ![]() | |||||
| 1–21 | 22–26, 45–46 | 27–44, 47 | |||||
| No | R1 | R2 | Actual Inhibitory Activity (1µM, %) | CoMFA _SE | CoMSIA _SEHDA | CoMFA Residual | CoMSIA Residual |
| 1 * | H | ![]() | 54.23 | 44.45 | 46.49 | 9.78 | 7.74 |
| 2 | H | ![]() | 32.10 | 47.91 | 42.69 | −15.81 | −10.59 |
| 3 | H | ![]() | 48.68 | 53.15 | 52.22 | −4.47 | −3.54 |
| 4 | H | ![]() | 75.36 | 50.87 | 47.48 | 24.50 | 27.88 |
| 5 | H | ![]() | 56.16 | 67.32 | 70.79 | −11.16 | −14.63 |
| 6 | H | ![]() | 78.87 | 72.88 | 71.03 | 5.99 | 7.84 |
| 7 | H | ![]() | 62.70 | 61.54 | 60.58 | 1.16 | 2.12 |
| 8 | H | ![]() | 40.11 | 39.95 | 42.03 | 0.16 | −1.92 |
| 9 | H | ![]() | 43.07 | 38.20 | 40.04 | 4.87 | 3.03 |
| 10 * | H | ![]() | 35.91 | 49.68 | 42.80 | −13.77 | −6.89 |
| 11 | H | ![]() | 38.28 | 42.53 | 47.64 | −4.25 | −9.36 |
| 12 | H | ![]() | 65.71 | 51.82 | 49.23 | 13.89 | 16.48 |
| 13 | H | ![]() | 36.60 | 45.07 | 43.66 | −8.47 | −7.06 |
| 14 * | H | ![]() | 45.18 | 43.36 | 46.31 | 1.82 | −1.13 |
| 15 * | H | ![]() | 51.02 | 39.52 | 40.81 | 11.50 | 10.21 |
| 16 * | H | ![]() | 48.28 | 52.31 | 45.34 | −4.03 | 2.94 |
| 17 * | H | ![]() | 39.59 | 38.53 | 42.56 | 1.06 | −2.97 |
| 18 | H | ![]() | 30.18 | 41.61 | 42.33 | −11.43 | −12.15 |
| 19 * | H | ![]() | 15.99 | 45.46 | 45.31 | −29.47 | −29.32 |
| 20 | ![]() | ![]() | 10.01 | 6.72 | 5.82 | 3.29 | 4.19 |
| 21 | ![]() | ![]() | 10.61 | 8.37 | 8.87 | 2.24 | 1.74 |
| 22 * | ![]() | ![]() | 22.80 | 17.10 | 18.83 | 5.70 | 3.97 |
| 23 | ![]() | ![]() | 11.20 | 16.11 | 18.09 | −4.91 | −6.89 |
| 24 | ![]() | ![]() | 19.22 | 7.74 | 7.54 | 11.48 | 11.68 |
| 25 | ![]() | ![]() | 32.34 | 28.40 | 29.33 | 3.94 | 3.01 |
| 26 | ![]() | ![]() | 18.33 | 27.32 | 28.64 | −8.99 | −10.31 |
| 27 | ![]() | H | 66.15 | 71.53 | 70.31 | −5.38 | −4.16 |
| 28 | ![]() | H | 82.97 | 80.21 | 78.64 | 2.76 | 4.33 |
| 29 | ![]() | H | 79.21 | 73.30 | 71.67 | 5.91 | 7.54 |
| 30 * | ![]() | H | 72.39 | 74.94 | 73.26 | −2.55 | −0.87 |
| 31 * | ![]() | H | 75.36 | 73.07 | 71.73 | 2.29 | 3.63 |
| 32 | ![]() | H | 76.44 | 76.16 | 76.19 | 0.28 | 0.25 |
| 33 | ![]() | H | 80.42 | 78.12 | 78.41 | 2.30 | 2.01 |
| 34 * | ![]() | H | 73.53 | 79.37 | 78.08 | −5.84 | −4.55 |
| 35 | ![]() | H | 89.26 | 86.34 | 82.41 | 2.92 | 6.86 |
| 36 | ![]() | H | 85.42 | 81.22 | 80.99 | 4.20 | 4.43 |
| 37 | ![]() | H | 87.19 | 81.94 | 81.34 | 5.25 | 5.85 |
| 38 | ![]() | H | 74.78 | 76.84 | 77.65 | −2.05 | −2.87 |
| 39 | ![]() | H | 71.60 | 77.42 | 78.20 | −5.82 | −6.60 |
| 40 | ![]() | H | 70.53 | 73.91 | 75.48 | −3.38 | −4.95 |
| 41 | ![]() | H | 73.78 | 79.07 | 79.41 | −5.29 | −5.63 |
| 42 | ![]() | H | 93.47 | 85.84 | 85.61 | 7.63 | 7.86 |
| 43 | ![]() | H | 75.09 | 78.32 | 80.09 | −3.23 | −4.99 |
| 44 | ![]() | H | 77.82 | 82.12 | 83.61 | −4.30 | −5.79 |
| 45 | ![]() | ![]() | 12.80 | 17.51 | 19.46 | −4.71 | −6.66 |
| 46 | ![]() | ![]() | 20.08 | 19.20 | 19.08 | 0.88 | 1.00 |
| 47 * | ![]() | ![]() | 36.09 | 31.69 | 34.75 | 4.40 | 1.34 |
Publisher’s Note: MDPI stays neutral with regard to jurisdictional claims in published maps and institutional affiliations. |
© 2022 by the authors. Licensee MDPI, Basel, Switzerland. This article is an open access article distributed under the terms and conditions of the Creative Commons Attribution (CC BY) license (https://creativecommons.org/licenses/by/4.0/).
Share and Cite
Kim, J.-H.; Jeong, J.-H. Structure-Activity Relationship Studies Based on 3D-QSAR CoMFA/CoMSIA for Thieno-Pyrimidine Derivatives as Triple Negative Breast Cancer Inhibitors. Molecules 2022, 27, 7974. https://doi.org/10.3390/molecules27227974
Kim J-H, Jeong J-H. Structure-Activity Relationship Studies Based on 3D-QSAR CoMFA/CoMSIA for Thieno-Pyrimidine Derivatives as Triple Negative Breast Cancer Inhibitors. Molecules. 2022; 27(22):7974. https://doi.org/10.3390/molecules27227974
Chicago/Turabian StyleKim, Jin-Hee, and Jin-Hyun Jeong. 2022. "Structure-Activity Relationship Studies Based on 3D-QSAR CoMFA/CoMSIA for Thieno-Pyrimidine Derivatives as Triple Negative Breast Cancer Inhibitors" Molecules 27, no. 22: 7974. https://doi.org/10.3390/molecules27227974
APA StyleKim, J.-H., & Jeong, J.-H. (2022). Structure-Activity Relationship Studies Based on 3D-QSAR CoMFA/CoMSIA for Thieno-Pyrimidine Derivatives as Triple Negative Breast Cancer Inhibitors. Molecules, 27(22), 7974. https://doi.org/10.3390/molecules27227974











































































