Preparation, Optimisation, and In Vitro Evaluation of [18F]AlF-NOTA-Pamidronic Acid for Bone Imaging PET
Abstract
1. Introduction
2. Results and Discussion
2.1. Preparation, Validation, and Isolation of NOTA-Pamidronic Acid
2.1.1. Preparation of NOTA-Pamidronic Acid
2.1.2. Validation of NOTA-Pamidronic Acid Using LC-MS Analysis
2.1.3. Mass Spectrometry Analysis of NOTA-Pamidronic Acid
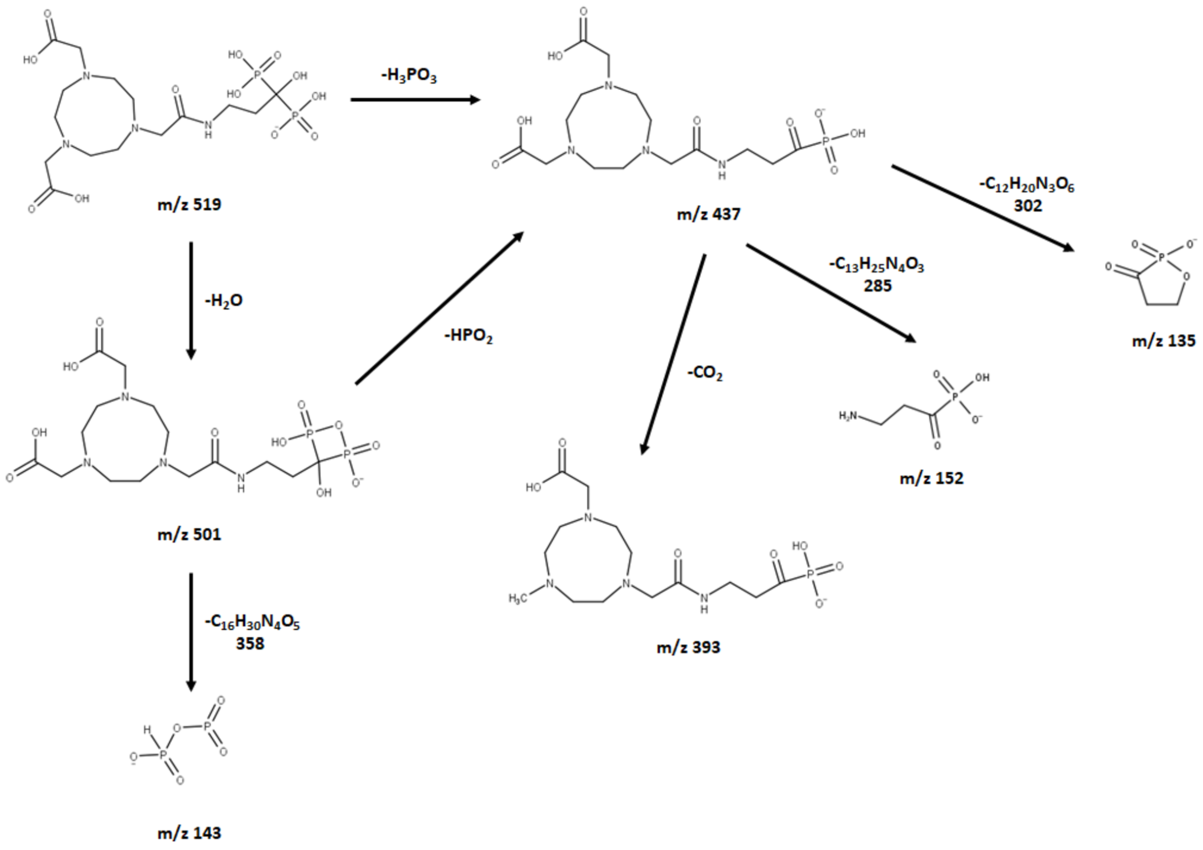
2.1.4. Fragmentation Analysis of NOTA-Pamidronic Acid
2.1.5. Isolation of the NOTA-Pamidronic Acid Fraction from the Crude Sample
2.2. Optimisation of [18F]AlF-NOTA-Pamidronic Acid Radiolabeling Conditions
2.2.1. [18F]F− Activity
2.2.2. Effect of AlCl3 Concentration on the Radiochemical Yield (RCY) of [18F]AlF2+ Complexes
2.2.3. Effect of Reaction Temperature and Time on the Formation of the [18F]AlF-NOTA-NHS Complex
2.2.4. Effect of Organic Solvent and Percentage of Organic Solvent
2.2.5. The Optimal Ratio between AlCl3 and NOTA-Pamidronic Acid
2.2.6. Molar Activity (Am)
2.3. Quality Control Analysis of [18F]AlF-NOTA-Pamidronic acid
2.3.1. Radiochemical Purity (RCP) Analysis of [18F]AlF-NOTA-Pamidronic Acid Using RP-HPLC
RCY Analysis of the [18F]AlF-NOTA-Pamidronic Acid Using r-TLC
2.3.2. Residual Solvents Analysis
2.3.3. Stability Study of [18F]AlF-NOTA-Pamidronic Acid
2.4. In Vitro Binding Studies of [18F]AlF-NOTA-Pamidronic Acid
2.4.1. In Vitro Bone Binding Assay Using Hydroxyapatite (HA)
2.4.2. In Vitro Cellular Uptake Studies
2.4.3. Limitation of the Study
3. Materials and Methods
3.1. Materials
3.2. Methods
3.2.1. Preparation, Validation, and Isolation of NOTA-Pamidronic Acid Precursor
3.2.2. Validation of NOTA-Pamidronic Acid Using LC-MS Analysis
3.2.3. Isolation of the NOTA-Pamidronic Acid Fraction from the Crude Sample
3.2.4. Preparation of [18F]AlF2+ Complexes
3.2.5. Quality Control Analysis for [18F]AlF-NOTA-Pamidronic Acid
3.2.6. In Vitro Stability Study of [18F]AlF-NOTA-Pamidronic Acid
3.2.7. In Vitro Binding Studies of [18F]AlF-NOTA-Pamidronic Acid
In Vitro Bone Binding Assay Using Hydroxyapatite
In Vitro Cellular Uptake Studies
4. Conclusions
Author Contributions
Funding
Institutional Review Board Statement
Informed Consent Statement
Data Availability Statement
Acknowledgments
Conflicts of Interest
References
- Pullan, J.E.; Lotfollahzadeh, S. Primary Bone Cancer; StatPearls Publishing: Treasure Island, FL, USA, 2022. [Google Scholar]
- de Azevedo, J.W.V.; de Medeiros Fernandes, T.A.A.; Fernandes, J.V.; de Azevedo, J.C.V.; Lanza, D.C.F.; Bezerra, C.M.; Andrade, V.S.; de Araújo, J.M.G.; Fernandes, J.V. Biology and pathogenesis of human osteosarcoma (Review). Oncol. Lett. 2020, 19, 1099–1116. [Google Scholar] [CrossRef] [PubMed]
- Abarrategi, A.; Tornin, J.; Martinez-cruzado, L.; Hamilton, A.; Martinez-campos, E.; Rodrigo, J.P.; González, M.V.; Baldini, N.; Garcia-castro, J.; Rodriguez, R. Osteosarcoma: Cells-of-Origin, Cancer Stem Cells, and Targeted Therapies. Stem Cells Int. 2016, 2016, 13. [Google Scholar] [CrossRef] [PubMed]
- Cancer Research UK Survival for Bone Cancer. Available online: https://www.cancerresearchuk.org/about-cancer/bone-cancer/survival (accessed on 25 July 2022).
- The American Cancer Society Survival Rates for Osteosarcoma. Available online: https://www.cancer.org/cancer/osteosarcoma/detection-diagnosis-staging/survival-rates.html (accessed on 18 July 2022).
- Scimeca, M.; Urbano, N.; Rita, B.; Mapelli, S.N.; Catapano, C.V.; Carbone, G.M.; Ciuffa, S.; Tavolozza, M.; Schillaci, O.; Mauriello, A.; et al. Prostate Osteoblast-Like Cells: A Reliable Prognostic Marker of Bone Metastasis in Prostate Cancer Patients. Contrast Media Mol. Imaging 2018, 2018, 9840962. [Google Scholar] [CrossRef] [PubMed]
- Jin, J.K.; Dayyani, F.; Gallick, G.E. Steps in prostate cancer progression that lead to bone metastasis. Int. J. Cancer 2011, 128, 2545–2561. [Google Scholar] [CrossRef] [PubMed]
- Quiroz-Munoz, M.; Izadmehr, S.; Arumugam, D.; Wong, B.; Kirschenbaum, A.; Levine, A.C. Mechanisms of osteoblastic bone metastasis in prostate cancer: Role of prostatic acid phosphatase. J. Endocr. Soc. 2019, 3, 655–664. [Google Scholar] [CrossRef]
- Bayouth, J.E.; Macey, D.J.; Kasi, L.P.; Fossella, F. V Dosimetry and toxicity of samarium-153-EDTMP administered for bone pain due to skeletal metastases. J. Nucl. Med. 1994, 35, 63–69. [Google Scholar]
- Costelloe, C.M.; Chuang, H.H.; Madewell, J.E. FDG PET for the detection of bone metastases: Sensitivity, specificity and comparison with other imaging modalities. PET Clin. 2010, 5, 281–295. [Google Scholar] [CrossRef]
- Azad, G.K.; Cook, G.J. Multi-technique imaging of bone metastases: Spotlight on PET-CT. Clin. Radiol. 2016, 71, 620–631. [Google Scholar] [CrossRef]
- Cuccurullo, V.; Di Stasio, G.D.; Mansi, L. Nuclear Medicine in Prostate Cancer: A New Era for Radiotracers. World J. Nucl. Med. 2018, 17, 70–78. [Google Scholar] [CrossRef]
- Hung, C.-S.; Su, H.-Y.; Liang, H.-H.; Lai, C.-W.; Chang, Y.-C.; Ho, Y.-S.; Wu, C.-H.; Ho, J.-D.; Wei, P.-L.; Chang, Y.-J. High-level expression of CXCR4 in breast cancer is associated with early distant and bone metastases. Tumor Biol. 2014, 35, 1581–1588. [Google Scholar] [CrossRef]
- Calais, J.; Cao, M.; Nickols, N.G. The Utility of PET/CT in the Planning of External Radiation Therapy for Prostate Cancer. J. Nucl. Med. 2018, 59, 557–567. [Google Scholar] [CrossRef] [PubMed]
- Araz, M.; Aras, G.; Küçük, Ö.N. The role of 18F-NaF PET/CT in metastatic bone disease. J. Bone Oncol. 2015, 4, 92–97. [Google Scholar] [CrossRef] [PubMed]
- Bouter, C.; Meller, B.; Sahlmann, C.O.; Staab, W.; Wester, H.J.; Kropf, S.; Meller, J. (68)Ga-Pentixafor PET/CT Imaging of Chemokine Receptor CXCR4 in Chronic Infection of the Bone: First Insights. J. Nucl. Med. 2018, 59, 320–326. [Google Scholar] [CrossRef] [PubMed]
- Schirrmeister, H.; Guhlmann, A.; Elsner, K.; Kotzerke, J.; Glatting, G.; Rentschler, M.; Neumaier, B.; Träger, H.; Nüssle, K.; Reske, S.N. Sensitivity in Detecting Osseous Lesions Depends on Anatomic Localization: Planar Bone Scintigraphy Versus 18F PET. J. Nucl. Med. 1999, 40, 1623–1629. [Google Scholar]
- Schirrmeister, H.; Guhlmann, A.; Kotzerke, J.; Santjohanser, C.; Kühn, T.; Kreienberg, R.; Messer, P.; Nüssle, K.; Elsner, K.; Glatting, G.; et al. Early detection and accurate description of extent of metastatic bone disease in breast cancer with fluoride ion and positron emission tomography. J. Clin. Oncol. Off. J. Am. Soc. Clin. Oncol. 1999, 17, 2381–2389. [Google Scholar] [CrossRef]
- Bastawrous, S.; Bhargava, P.; Behnia, F.; Djang, D.S.W.; Haseley, D.R. Newer PET application with an old tracer: Role of 18F-NaF skeletal PET/CT in oncologic practice. Radio Graph. 2014, 34, 1295–1316. [Google Scholar] [CrossRef]
- Fleisch, H.; Russel, R.; Straumann, F. Effect of Pyrophosphate on Hydroxyapatite and Its Implications in Calcium Homeostasis. Nature 1966, 212, 901–903. [Google Scholar] [CrossRef]
- Russell, R.G.G.; Watts, N.B.; Ebetino, F.H.; Rogers, M.J. Mechanisms of action of bisphosphonates: Similarities and differences and their potential influence on clinical efficacy. Osteoporos. Int. 2008, 19, 733–759. [Google Scholar] [CrossRef]
- Gonzalez-Galofre, Z.N.; Alcaide-Corral, C.J.; Tavares, A.A.S. Effects of administration route on uptake kinetics of 18F-sodium fluoride positron emission tomography in mice. Sci. Rep. 2021, 11, 5512. [Google Scholar] [CrossRef]
- Keeling, G.P.; Sherin, B.; Kim, J.; San Juan, B.; Grus, T.; Eykyn, T.R.; Rösch, F.; Smith, G.E.; Blower, P.J.; Terry, S.Y.A.; et al. [68 Ga]Ga-THP-Pam: A Bisphosphonate PET Tracer with Facile Radiolabeling and Broad Calcium Mineral Affinity. Bioconjug. Chem. 2020, 32, 1276–1289. [Google Scholar] [CrossRef]
- Ebetino, E.H.; Barnett, B.L.; Russell, R.G.G. A computational model delineates differences in hydroxyapatite binding affinities of bisphosphonates in clinical use VO—20 RT—Conference Proceedings. J. Bone Miner. Res. 2005, 20, S259. [Google Scholar]
- Jahnke, W.; Henry, C. An in vitro assay to measure targeted drug delivery to bone mineral. ChemMedChem 2010, 5, 770–776. [Google Scholar] [CrossRef] [PubMed]
- Holub, J.; Meckel, M.; Kubíček, V.; Rösch, F.; Hermann, P. Gallium(III) complexes of NOTA-bis (phosphonate) conjugates as PET radiotracers for bone imaging. Contrast Media Mol. Imaging 2015, 10, 122–134. [Google Scholar] [CrossRef]
- Meckel, M.; Bergmann, R.; Miederer, M.; Roesch, F. Bone targeting compounds for radiotherapy and imaging: *Me(III)-DOTA conjugates of bisphosphonic acid, pamidronic acid and zoledronic acid. EJNMMI Radiopharm. Chem. 2016, 1, 14. [Google Scholar] [CrossRef]
- Passah, A.; Tripathi, M.; Ballal, S.; Yadav, M.P.; Kumar, R.; Roesch, F.; Meckel, M.; Sarathi Chakraborty, P.; Bal, C. Evaluation of bone-seeking novel radiotracer (68)Ga-NO2AP-Bisphosphonate for the detection of skeletal metastases in carcinoma breast. Eur. J. Nucl. Med. Mol. Imaging 2017, 44, 41–49. [Google Scholar] [CrossRef] [PubMed]
- Mueller, D.; Fuchs, A.; Leshch, Y.; Proehl, M. The Shortage of Approved 68Ge/68Ga Generators—Incoming Material Inspection and GMP Compliant Use of Non-Approved Generators. J. Nucl. Med. 2019, 60, 1059. [Google Scholar]
- Kang, D.; Simon, U.; Mottaghy, F.M.; Vogg, A.T.J. Labelling via [al18f]2+ using precomplexed al-noda moieties. Pharmaceuticals 2021, 14, 818. [Google Scholar] [CrossRef]
- McBride, W.J.; Sharkey, R.M.; Karacay, H.; D’Souza, C.A.; Rossi, E.A.; Laverman, P.; Chang, C.H.; Boerman, O.C.; Goldenberg, D.M. A novel method of 18F radiolabeling for PET. J. Nucl. Med. 2009, 50, 991–998. [Google Scholar] [CrossRef]
- Huynh, P.T.; Soni, N.; Pal, R.; Sarkar, S.; Jung, J.-M.; Lee, W.; Yoo, J. Direct radiofluorination of heat-sensitive antibody by Al-18F complexation. New J. Chem. 2019, 43, 15389–15395. [Google Scholar] [CrossRef]
- Richter, S.; Wuest, F. 18 F-labeled peptides: The future is bright. Molecules 2014, 19, 20536–20556. [Google Scholar] [CrossRef]
- Archibald, S.J.; Allott, L. The aluminium-[18F] fluoride revolution: Simple radiochemistry with a big impact for radiolabelled biomolecules. EJNMMI Radiopharm. Chem. 2021, 6, 30. [Google Scholar] [CrossRef] [PubMed]
- Poschenrieder, A.; Osl, T.; Schottelius, M.; Hoffmann, F.; Wirtz, M.; Schwaiger, M.; Wester, H. First 18 F-Labeled Pentixafor-Based Imaging Agent for PET Imaging of CXCR4 Expression In Vivo. Tomography 2016, 2, 85–93. [Google Scholar] [CrossRef] [PubMed]
- ThermoFisher Scientific Amine-reactive Crosslinker Chemistry. Available online: https://www.thermofisher.com.my/en/home/life-science/protein-biology/protein-biology-learning-center/protein-biology-resource-library/pierce-protein-methods/amine-reactive-crosslinker-chemistry.html (accessed on 23 November 2020).
- Hermanson, G.T. The Reactions of Bioconjugation. Bioconjugate Tech. 2013, 2013, 229–258. [Google Scholar] [CrossRef]
- Alonso Martinez, L.M.; Harel, F.; Nguyen, Q.T.; Létourneau, M.; D’Oliviera-Sousa, C.; Meloche, B.; Finnerty, V.; Fournier, A.; Dupuis, J.; DaSilva, J.N. Al18F-complexation of DFH17, a NOTA-conjugated adrenomedullin analog, for PET imaging of pulmonary circulation. Nucl. Med. Biol. 2018, 67, 36–42. [Google Scholar] [CrossRef]
- Hermanson, G.T. The Reactions of Bioconjugation. In Bioconjugate Techniques; Academic Press: Boston, MA, USA, 2013; pp. 229–258. ISBN 978-0-12-382239-0. [Google Scholar]
- Woodman, R.H. Bioconjugation Discussion Reasons for Choosing NHS, TFP, or PFP Esters for Conjugating to Amines. Available online: https://www.researchgate.net/post/Bioconjugation_Discussion_Reasons_for_Choosing_NHS_TFP_or_PFP_esters_for_conjugating_to_amines (accessed on 1 September 2021).
- Liigand, P.; Kaupmees, K.; Haav, K.; Liigand, J.; Leito, I.; Girod, M.; Antoine, R.; Kruve, A. Think Negative: Finding the Best Electrospray Ionization/MS Mode for Your Analyte. Anal. Chem. 2017, 89, 5665–5668. [Google Scholar] [CrossRef] [PubMed]
- Strupat, K.; Scheibner, O.; Bromirski, M. High-resolution, accurate-mass Orbitrap Mass Spectrometry—Definitions, opportunities, and advantages. Tech. Note 64287 2013, 1–5. [Google Scholar]
- Qu, Z.; Chen, X.; Qu, C.; Qu, L.; Yuan, J.; Wei, D.; Li, H.; Huang, X.; Jiang, Y.; Zhao, Y. Fragmentation pathways of eight nitrogen-containing bisphosphonates (BPs) investigated by ESI-MSn in negative ion mode. Int. J. Mass Spectrom. 2010, 295, 85–93. [Google Scholar] [CrossRef]
- Cheng, C.; Gross, M.L. Applications and mechanisms of charge-remote fragmentation. Mass Spectrom. Rev. 2000, 19, 398–420. [Google Scholar] [CrossRef]
- International Atomic Energy Agency. Cyclotron Produced Radionuclides: Operation and Maintenance of Gas and Liquid Targets; International Atomic Energy Agency (IAEA): Vienna, Austria, 2012; ISBN 2077-6462. [Google Scholar]
- Laverman, P.; McBride, W.J.; Sharkey, R.M.; Goldenberg, D.M.; Boerman, O.C. Al18F labeling of peptides and proteins. J. Label. Compd. Radiopharm. 2014, 57, 219–223. [Google Scholar] [CrossRef]
- Cleeren, F.; Lecina, J.; Billaud, E.M.F.; Ahamed, M.; Verbruggen, A.; Bormans, G.M. New Chelators for Low Temperature Al18F-Labeling of Biomolecules. Bioconjug. Chem. 2016, 27, 790–798. [Google Scholar] [CrossRef]
- Tsionou, M.I.; Knapp, C.E.; Foley, C.A.; Munteanu, C.R.; Cakebread, A.; Imberti, C.; Eykyn, T.R.; Young, J.D.; Paterson, B.M.; Blower, P.J.; et al. Comparison of macrocyclic and acyclic chelators for gallium-68 radiolabelling. RSC Adv. 2017, 7, 49586–49599. [Google Scholar] [CrossRef] [PubMed]
- De Meyer, T.; Muyldermans, S.; Depicker, A. Nanobody-based products as research and diagnostic tools. Trends Biotechnol. 2014, 32, 263–270. [Google Scholar] [CrossRef] [PubMed]
- Hassan, H.; Othman, M.F.; Abdul Razak, H.R. Optimal 18F-fluorination conditions for the high radiochemical yield of [18F]AlF-NOTA-NHS complexes. Radiochim. Acta 2021, 109, 567–574. [Google Scholar] [CrossRef]
- McBride, W.J.; Sharkey, R.M.; Goldenberg, D.M. Radiofluorination using aluminum-fluoride (Al18F). EJNMMI Res. 2013, 3, 36. [Google Scholar] [CrossRef] [PubMed]
- D’Souza, C.A.; McBride, W.J.; Sharkey, R.M.; Todaro, L.J.; Goldenberg, D.M. High-yielding aqueous 18F-labeling of peptides via Al 18F chelation. Bioconjug. Chem. 2011, 22, 1793–1803. [Google Scholar] [CrossRef]
- McBride, W.J.; D’souza, C.A.; Sharkey, R.M.; Karacay, H.; Rossi, E.A.; Chang, C.H.; Goldenberg, D.M. Improved 18F labeling of peptides with a fluoride-aluminum-chelate complex. Bioconjug. Chem. 2010, 21, 1331–1340. [Google Scholar] [CrossRef]
- Hou, J.; Long, T.; Hu, S. Head-to-head Comparison of the 18F-AlF-NOTA-Octreotide and 68Ga-DOTATATE PET/CT within patients with Neuroendocrine Neoplasms. J. Nucl. Med. 2020, 61, 59. [Google Scholar]
- Giglio, J.; Zeni, M.; Savio, E.; Engler, H. Synthesis of an Al18F radiofluorinated GLU-UREA-LYS(AHX)-HBED-CC PSMA ligand in an automated synthesis platform. EJNMMI Radiopharm. Chem. 2018, 3, 4. [Google Scholar] [CrossRef]
- Fellner, M.; Biesalski, B.; Bausbacher, N.; Kubícek, V.; Hermann, P.; Rösch, F.; Thews, O. 68Ga-BPAMD: PET-imaging of bone metastases with a generator based positron emitter. Nucl. Med. Biol. 2012, 39, 993–999. [Google Scholar] [CrossRef]
- Fakhari, A.; Jalilian, A.R.; Johari-daha, F.; Shafiee-ardestani, M.; Khalaj, A. Preparation and Biological Study of 68 Ga-DOTA-alendronate. Asia Ocean J. Nucl. Med. Biol. 2016, 4, 98–105. [Google Scholar] [CrossRef]
- Ashhar, Z.; Yusof, N.A.; Ahmad Saad, F.F.; Mohd Nor, S.M.; Mohammad, F.; Bahrin Wan Kamal, W.H.; Hassan, M.H.; Ahmad Hassali, H.; Al-Lohedan, H.A. Preparation, Characterization, and Radiolabeling of [(68)Ga]Ga-NODAGA-Pamidronic Acid: A Potential PET Bone Imaging Agent. Molecules 2020, 25, 2668. [Google Scholar] [CrossRef] [PubMed]
- Park, P.S.U.; Raynor, W.Y.; Sun, Y.; Werner, T.J.; Rajapakse, C.S.; Alavi, A. 18F-sodium fluoride pet as a diagnostic modality for metabolic, autoimmune, and osteogenic bone disorders: Cellular mechanisms and clinical applications. Int. J. Mol. Sci. 2021, 22, 6504. [Google Scholar] [CrossRef] [PubMed]
- Cutilli, T.; Scarsella, S.; Fabio, D.D.; Oliva, A.; Cargini, P. High-grade chondroblastic and fibroblastic osteosarcoma of the upper jaw. Ann. Maxillofac. Surg. 2011, 1, 176–180. [Google Scholar] [CrossRef] [PubMed]
- Tahmasbi-Arashlow, M.; Barnts, K.L.; Nair, M.K.; Cheng, Y.-S.L.; Reddy, L. V Radiographic manifestations of fibroblastic osteosarcoma: A diagnostic challenge. Imaging Sci. Dent. 2019, 49, 235–240. [Google Scholar] [CrossRef]
- Hassan, H.; Othman, M.F.; Zakaria, Z.A.; Ahmad Saad, F.F.; Abdul Razak, H.R. Multivariate optimisation and validation of the analytical GC-FID for evaluating organic solvents in radiopharmaceutical. J. King Saud Univ. -Sci. 2021, 33, 101554. [Google Scholar] [CrossRef]
- IAEA. Guidance for Preclinical Studies with Radiopharmaceuticals; IAEA: Vienna, Austria, 2021. [Google Scholar]


















| Pamidronic Acid: NOTA Molar Ratio | Peak Area (Average, n = 3) | % Yield | |
|---|---|---|---|
| Free Pamidronic Acid | NOTA-Pamidronic Acid | ||
| 5:1 | 3,409,680,392 | 1,084,594,404 | 24.13 |
| 10:1 | 5,242,116,420 | 1,155,377,273 | 18.06 |
| 15:1 | 8,343,559,233 | 1,243,259,017 | 12.97 |
| Compound | [M-H]− Calculated m/z | [M-H]− Obtained m/z | Relative Error (ppm) |
|---|---|---|---|
| Pamidronic acid | 233.9932 | 233.9934 | 0.9972 |
| NOTA-pamidronic acid | 519.1263 | 519.1265 | 0.4495 |
| NOTA | 302.1358 | 302.1358 | 0.0000 |
| Obtained m/z | Exact m/z (Predicted) | Relative Error (ppm) | RDBE | Molecular Formula |
|---|---|---|---|---|
| 519.1265 | 519.1263 | 0.3853 | 4.5 | C15H29N4O12P2 |
| 501.1159 | 501.1157 | 0.3991 | 5.5 | C15H27N4O11P2 |
| 437.1442 | 437.1443 | 0.2288 | 5.5 | C15H26N4O9P1 |
| 393.1546 | 393.1545 | 0.2544 | 4.5 | C14H26N4O7P1 |
| 283.1772 | 283.1776 | 1.4125 | 4.5 | C13H23N4O3 |
| 152.0108 | 152.0118 | 6.5784 | 1.5 | C3H7NO4P1 |
| 142.9294 | 142.9299 | 3.4982 | 1.5 | H1O5P2 |
| 134.9841 | 134.9847 | 4.4449 | 2.5 | C3H4O4P1 |
| Variables | Optimal Conditions |
|---|---|
| AlCl3 concentration | 2 mM |
| AlCl3-to-NOTA-pamidronic acid molar ratio | 1:1 (2 µmol NOTA-pamidronic acid) |
| Reaction temperature | 100 °C |
| Reaction time | 15 min |
| Organic solvent | Ethanol 50% (v/v) |
| Quality Control Analysis | Acceptance Criteria | [18F]AlF-NOTA-Pamidronic Acid |
|---|---|---|
| Appearance | Clear, colourless and free of particles | Verified |
| pH | 4 to 8 | 7 |
| RCP (HPLC) | ≥90% | 100% |
| RCY (ITLC-SG) | 90% | 95% |
| Organic solvent: ethanol (GC) | ≤5 mg mL−1 | 1.353 mL−1 |
| Pamidronic Acid (mg) | Pamidronic Acid (mM) | NOTA-NHS (mM) | Pamidronic Acid: NOTA-NHS Molar Ratio |
|---|---|---|---|
| 5.875 | 10 | 2 | 5:1 |
| 11.750 | 20 | 2 | 10:1 |
| 17.625 | 30 | 2 | 15:1 |
Publisher’s Note: MDPI stays neutral with regard to jurisdictional claims in published maps and institutional affiliations. |
© 2022 by the authors. Licensee MDPI, Basel, Switzerland. This article is an open access article distributed under the terms and conditions of the Creative Commons Attribution (CC BY) license (https://creativecommons.org/licenses/by/4.0/).
Share and Cite
Hassan, H.; Othman, M.F.; Abdul Razak, H.R.; Zakaria, Z.A.; Ahmad Saad, F.F.; Osman, M.A.; Yi, L.H.; Ashhar, Z.; Idris, J.; Abdul Hamid, M.H.N.; et al. Preparation, Optimisation, and In Vitro Evaluation of [18F]AlF-NOTA-Pamidronic Acid for Bone Imaging PET. Molecules 2022, 27, 7969. https://doi.org/10.3390/molecules27227969
Hassan H, Othman MF, Abdul Razak HR, Zakaria ZA, Ahmad Saad FF, Osman MA, Yi LH, Ashhar Z, Idris J, Abdul Hamid MHN, et al. Preparation, Optimisation, and In Vitro Evaluation of [18F]AlF-NOTA-Pamidronic Acid for Bone Imaging PET. Molecules. 2022; 27(22):7969. https://doi.org/10.3390/molecules27227969
Chicago/Turabian StyleHassan, Hishar, Muhamad Faiz Othman, Hairil Rashmizal Abdul Razak, Zainul Amiruddin Zakaria, Fathinul Fikri Ahmad Saad, Mohd Azuraidi Osman, Loh Hui Yi, Zarif Ashhar, Jaleezah Idris, Mohd Hamdi Noor Abdul Hamid, and et al. 2022. "Preparation, Optimisation, and In Vitro Evaluation of [18F]AlF-NOTA-Pamidronic Acid for Bone Imaging PET" Molecules 27, no. 22: 7969. https://doi.org/10.3390/molecules27227969
APA StyleHassan, H., Othman, M. F., Abdul Razak, H. R., Zakaria, Z. A., Ahmad Saad, F. F., Osman, M. A., Yi, L. H., Ashhar, Z., Idris, J., Abdul Hamid, M. H. N., & Safee, Z. M. (2022). Preparation, Optimisation, and In Vitro Evaluation of [18F]AlF-NOTA-Pamidronic Acid for Bone Imaging PET. Molecules, 27(22), 7969. https://doi.org/10.3390/molecules27227969

