Green Solvents for Eco-Friendly Synthesis of Dimethindene: A Forward-Looking Approach
Abstract
1. Introduction
2. Results and Discussion
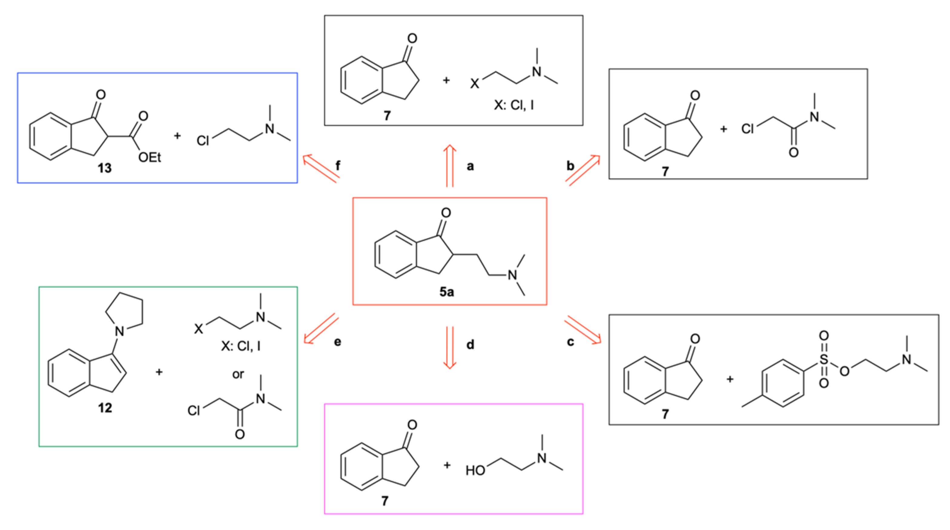
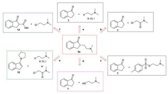
2.1. Alternative Retrosynthetic Approaches to Dimethindene (6)
2.2. An Environmentally Sustainable Process for the Industrial Synthesis of Dimethindene (6)
3. Materials and Methods
3.1. General Methods
3.2. Synthesis of Dimethindene 6 in Green Solvents
3.2.1. Step 1: Synthesis and Characterization Data of 2-Benzyl-2-[2-(Dimethylamino)ethyl]malonic Acid Diethyl Ester (3)
3.2.2. Step 2: Synthesis and Characterization Data of 2-Benzyl-2-[2-(Dimethylamino)ethyl]malonic Acid (4)
3.2.3. Step 3: Synthesis and Characterization Data of 2-[2-(Dimethylamino)ethyl]indan-1-one (5a)
3.2.4. Step 4: Synthesis and Characterization Data of Dimethyl{2-[5-methyl-3-(1-pyridin-2-ylethyl)-1H-inden-2-yl]ethyl}amine (Dimethindene) (6)
3.3. Current Industrial Synthesis of Dimethindene (6) in VOCs (Toluene, Et2O)
3.3.1. Step 1: Synthesis of 2-Benzyl-2-[2-(Dimethylamino)ethyl]malonic Acid Diethyl ester (3)
3.3.2. Step 2: Synthesis of 2-Benzyl-2-[2-(Dimethylamino)ethyl]malonic Acid (4)
3.3.3. Step 3: Synthesis of 2-[2-(Dimethylamino)ethyl]indan-1-one (5a)
3.3.4. Step 4: Synthesis of Dimethyl{2-[5-Methyl-3-(1-pyridin-2-ylethyl)-1H-inden-2-yl]ethyl}amine (6)
4. Conclusions
Supplementary Materials
Author Contributions
Funding
Institutional Review Board Statement
Informed Consent Statement
Data Availability Statement
Acknowledgments
Conflicts of Interest
Sample Availability
References
- Nidumolu, R.; Prahalad, C.K.; Rangaswami, M.R. Why Sustainability is Now the Key Driver of Innovation. Harv. Bus. Rev. 2009, 87, 56–64. [Google Scholar]
- Anastas, P.T.; Warner, J.C. Green Chemistry: Theory and Practice; Oxford University Press: Oxford, UK, 2000; pp. 1–148. [Google Scholar]
- Tang, S.Y.; Bourne, R.A.; Smith, R.L.; Poliakoff, M. The 24 Principles of Green Engineering and Green Chemistry: “IMPROVEMENTS PRODUCTIVELY”. Green Chem. 2008, 10, 268–269. [Google Scholar] [CrossRef]
- Allen, D.T.; Shonnard, D.R. Green Engineering: Environmentally Conscious Design of Chemical Processes; Prentice Hall: New York, NY, USA, 2002; pp. 475–489. [Google Scholar]
- Jiménez-González, C.; Curzons, A.D.; Constable, D.J.; Overcash, M.R. How do you select the “greenest” technology? Development of guidance for the pharmaceutical industry. Clean Prod. Process. 2001, 3, 35–41. [Google Scholar] [CrossRef]
- Sheldon, R.A. Green solvents for sustainable organic synthesis: State of the art. Green Chem. 2005, 7, 267–278. [Google Scholar] [CrossRef]
- Lipshutz, B.H.; Gallou, F.; Handa, S. Evolution of Solvents in Organic Synthesis. ACS Sustain. Chem. Eng. 2016, 4, 5838–5849. [Google Scholar] [CrossRef]
- Quivelli, A.F.; D’Addato, G.; Vitale, P.; García-Álvarez, J.; Perna, F.M.; Capriati, V. Expeditious and practical synthesis of tertiary alcohols from esters enabled by highly polarized organo-metallic compounds under aerobic conditions in Deep Eutectic Solvents or bulk water. Tetrahedron 2021, 81, 131898. [Google Scholar] [CrossRef]
- Quivelli, A.F.; Marino, M.; Vitale, P.; García-Álvarez, J.; Perna, F.M.; Capriati, V. Ligand-free Copper-Catalyzed Ullmann-type C-O Bond Formation in Non-innocent Deep Eutectic Solvents under Aerobic Conditions. ChemSusChem 2022, 15, e2021022111. [Google Scholar] [CrossRef]
- Laboratori Alchemia. Available online: http://www.laboratorialchemia.com (accessed on 8 October 2022).
- Hubner, C.F. Certain 1-[(2-pyridyl)-lower alkyl]-2-(tertamino-lower alkyl)-indan-1-ols, and Acid Addition Salts. U.S. Patent 297 0149, 03 November, 1958. [Google Scholar]
- Bohme, T.M.; Keim, C.; Kreutzmann, K.; Linder, M.; Dingermann, T.; Dannhardt, G.; Mutschler, E.; Lambrecht, G. Structure-Activity Relationships of Dimethindene Derivatives as New M2-Selective Muscarinic Receptor Antagonists. J. Med. Chem. 2003, 46, 856–867. [Google Scholar] [CrossRef]
- Moree, W.J.; Li, B.F.; Jovic, F.; Coon, T.; Yu, J.; Gross, R.S.; Tucci, F.; Marinkovic, D.; Zamani-Kord, S.; Malany, S.; et al. Characterization of Novel Selective H1-Antihistamines for Clinical Evaluation in the Treatment of Insomnia. J. Med. Chem. 2009, 52, 5307–5310. [Google Scholar] [CrossRef]
- Li, B.F.; Moree, W.J.; Yu, J.; Coon, T.; Zamani-Kord, S.; Malany, S.; Jalali, K.; Wen, J.; Wang, H.; Yang, C.; et al. Selectivity profiling of novel indene H1-antihistamines for the treatment of insomnia. Bioorg. Med. Chem. Lett. 2010, 20, 2629–2633. [Google Scholar] [CrossRef] [PubMed]
- Shaikh, T.; Gosar, A.; Sayyed, H. Nitrosamine Impurities in Drug Substances and Drug Products. J. Adv. Pharm. Pract. 2020, 2, 50–59. [Google Scholar] [CrossRef]
- Pace, V.; Hoyos, P.; Castoldi, L.; Domínguez de María, P.; Alcántara, A.R. 2-Methyltetrahydrofuran (2-MeTHF): A Biomass-Derived Solvent with Broad Application in Organic Chemistry. ChemSusChem 2012, 5, 1369–1379. [Google Scholar] [CrossRef]
- Azzena, U.; Carraro, M.; Pisano, L.; Monticelli, S.; Bartolotta, R.; Pace, V. Cyclopentyl Methyl Ether: An Elective Ecofriendly Ethereal Solvent in Classical and Modern Organic Chemistry. ChemSusChem 2019, 20, 40–70. [Google Scholar] [CrossRef] [PubMed]
- Perna, F.M.; Vitale, P.; Capriati, V. Deep eutectic solvents and their applications as green solvents. Curr. Opin. Green Sustain. Chem. 2020, 21, 27–33. [Google Scholar] [CrossRef]
- Ramón, D.J.; Guillena, G. Deep Eutectic Solvents: Synthesis, Properties, and Applications; Wiley-VCH: Weinheim, German, 2019; pp. 1–365. [Google Scholar]
- Cicco, L.; Dilauro, G.; Perna, F.M.; Vitale, P.; Capriati, V. Advances in deep eutectic solvents and water: Applications in metal- and biocatalyzed processes, in the synthesis of APIs, and other biologically active compounds. Org. Biom. Chem. 2021, 19, 2558–2577. [Google Scholar] [CrossRef]
- Vitale, P.; Cicco, L.; Perna, F.M.; Capriati, V. Introducing deep eutectic solvents in enolate chemistry: Synthesis of 1-arylpropan-2-ones under aerobic conditions. React. Chem. Eng. 2021, 6, 1796–1800. [Google Scholar] [CrossRef]
- Stålsmeden, A.S.; Belmonte Vázquez, J.L.; van Weerdenburg, K.; Rae, R.; Norrby, P.-O.; Kann, N. Glycerol Upgrading via Hydrogen Borrowing: Direct Ruthenium-Catalyzed Amination of the Glycerol Derivative Solketal. ACS Sustain. Chem. Eng. 2016, 4, 5730–5736. [Google Scholar] [CrossRef]
- Cicco, L.; Salomone, A.; Vitale, P.; Ríos-Lombardía, N.; González-Sabín, J.; García-Álvarez, J.; Perna, F.M.; Capriati, V. Addition of Highly Polarized Organometallic Compounds to N-tert-Butanesulfinyl Imines in Deep Eutectic Solvents under Air: Preparation of Chiral Amines of Pharmaceutical Interest. ChemSusChem 2020, 13, 3583–3588. [Google Scholar] [CrossRef]
- Jiménez-González, C.; Curzons, A.D.; Constable, D.J.; Cunningham, V.L. Cradle-to-gate life cycle inventory and assessment of pharmaceutical compounds. Int. J. Life Cycle Assess. 2004, 9, 114–121. [Google Scholar] [CrossRef]
- Curzons, A.D.; Jimenez-Gonzalez, C.; Duncan, A.L.; Constable, D.J.C.; Cunningham, V.L. Fast life cycle assessment of synthetic chemistry (FLASC™) tool. Int. J. Life Cycle Assess. 2007, 12, 272–280. [Google Scholar] [CrossRef]
- Cue, B.W.; Zhang, J. Green process chemistry in the pharmaceutical industry. Green Chem. Lett. Rev. 2009, 2, 193–211. [Google Scholar] [CrossRef]
- ICH Harmonised Tripartite Guideline, Q3C (R8) Impurities: Guideline for Residual Solvents, Step 2b; European Medicines Agency: Amsterdam, The Netherlands, 2020.
- Antonucci, V.; Coleman, J.; Ferry, J.B.; Johnson, N.; Mathe, M.; Scott, J.P.; Xu, J. Toxicological Assessment of 2-Methyltetrahydrofuran and Cyclopentyl Methyl Ether in Support of Their Use in Pharmaceutical Chemical Process Development. Org. Process Res. Dev. 2011, 15, 939–941. [Google Scholar] [CrossRef]
- Prat, D.; Wells, A.; Hayler, J.; Sneddon, H.; McElroy, C.R.; Abou-Shehada, S.; Dunn, P.J. CHEM21 selection guide of classical- and less classical-solvents. Green Chem. 2016, 18, 288–296. [Google Scholar] [CrossRef]
- A Solvent Selection Guide Integrating Green Chemistry and Engineering Principles Is under Development. Available online: www.acs.org/gcipharmaroundtable (accessed on 19 September 2022).
- Giubellina, N.; Stabile, P.; Laval, G.; Perboni, A.D.; Cimarosti, Z.; Westerduin, P.; Cooke, J.W.B. Development of an Efficient Large-Scale Synthesis for a 4H-imidazo [5,1-c][1,4]benzoxazine-3-carboxamide Derivative for Depression and Anxiety. Org. Process Res. Dev. 2010, 14, 859–867. [Google Scholar] [CrossRef]
- Houpis, I.N.; Shilds, D.; Nettekoven, U.; Schnyder, A.; Bappert, E.; Weerts, K.; Canters, M.; Vermuelen, W. Utilization of Sequential Palladium-Catalyzed Cross-Coupling Reactions in the Stereospecific Synthesis of Trisubstituted Olefins. Org. Process Res.Dev. 2009, 13, 598–606. [Google Scholar] [CrossRef]
- McElroy, C.R.; Constantinou, A.; Jones, L.C.; Summerton, L.; Clark, J.H. Towards a holistic approach to metrics for the 21th century pharmaceutical industry. Green Chem. 2015, 17, 3111–3121. [Google Scholar] [CrossRef]
- Quivelli, A.F.; Rossi, F.V.; Vitale, P.; García-Álvarez, J.; Perna, F.M.; Capriati, V. Sustainable and Scalable Two-Step Synthesis of Thenfadil and Some Analogs in Deep Eutectic Solvents: From Laboratory to Industry. ACS Sustain. Chem. Eng. 2022, 10, 4065–4072. [Google Scholar] [CrossRef]
- Jimenez-Gonzalez, C.; Ponder, C.S.; Broxterman, Q.B.; Manley, J.B. Using the Right Green Yardstick: Why Process Mass Intensity Is Used in the Pharmaceutical Industry To Drive More Sustainable Processes. Org. Process Res. Dev. 2011, 15, 912. [Google Scholar] [CrossRef]



![]() | |||||||||||
|---|---|---|---|---|---|---|---|---|---|---|---|
| Reaction Solvent | Yield | AE (%) | RME (%) | OE (%) | EM (%) | MI b (g g−1) | MIWU c (g g−1) | RI d | RP (%) | E-Factor e | |
| Step 1 | VOCs | 63% | 84.2 | 41.9 | 49.8 | 4.2 | 23.6 | 41.6 | 7.3 | 17.5 | 33.1 |
| CPME | 90% | 84.2 | 75.8 | 90.0 | 75.8 | 8.8 | 18.4 | 17.1 | 92.9 | 12.2 | |
| 2-MeTHF | 80% | 84.2 | 67.4 | 80.0 | 67.4 | 9.9 | 20.7 | 19.2 | 92.8 | 13.8 | |
| Step 2 | / | 75% | 73.4 | 43.4 | 59.1 | 19.1 | 10.8 | 24.7 | 22.4 | 90.6 | 9.8 |
| Step 3 | VOCs | 20% | 55.7 | 5.9 | 17.2 | 1.8 | 17.0 | 110.4 | 54.5 | 49.4 | 54.9 |
| CPME | 50% | 55.7 | 19.4 | 34.8 | 19.4 | 8.2 | 38.8 | 33.7 | 86.9 | 16.4 | |
| 2-MeTHF | 55% | 55.7 | 21.0 | 37.7 | 21.0 | 7.6 | 35.9 | 31.2 | 87.0 | 15.1 | |
| Step 4 | VOCs | 60% | 78.1 | 13.8 | 17.5 | 4.0 | 16.2 | 58.5 | 33.1 | 56.6 | 24.1 |
| CPME | 65% | 78.1 | 15.0 | 19.2 | 14.9 | 13.3 | 54.0 | 46.9 | 86.9 | 22.1 | |
| 2-MeTHF | 65% | 78.1 | 15.0 | 19.2 | 14.9 | 13.3 | 54.0 | 46.9 | 86.9 | 22.1 | |
| Reaction Solvent | Yield | AE (%) | RME (%) | OE (%) | EM (%) | PMIRXN a (g g−1) | PMIWU b (g g−1) | RI c | RP (%) | E-Factor d |
|---|---|---|---|---|---|---|---|---|---|---|
| VOCs | 10% | 42.2 | 3.3 | 7.8 | 0.7 | 136.2 | 322.0 | 149.4 | 46.4 | 188.0 |
| CPME | 22% | 42.2 | 4.1 | 9.3 | 3.1 | 90.4 | 244.4 | 220.1 | 90.1 | 121.6 |
| 2-MeTHF | 21% | 42.2 | 3.9 | 8.8 | 3.0 | 94.0 | 254.1 | 228.8 | 90.0 | 126.5 |
Publisher’s Note: MDPI stays neutral with regard to jurisdictional claims in published maps and institutional affiliations. |
© 2022 by the authors. Licensee MDPI, Basel, Switzerland. This article is an open access article distributed under the terms and conditions of the Creative Commons Attribution (CC BY) license (https://creativecommons.org/licenses/by/4.0/).
Share and Cite
Quivelli, A.F.; Rossi, F.V.; Alario, C.; Sannicolò, F.; Vitale, P.; García-Álvarez, J.; Perna, F.M.; Capriati, V. Green Solvents for Eco-Friendly Synthesis of Dimethindene: A Forward-Looking Approach. Molecules 2022, 27, 7594. https://doi.org/10.3390/molecules27217594
Quivelli AF, Rossi FV, Alario C, Sannicolò F, Vitale P, García-Álvarez J, Perna FM, Capriati V. Green Solvents for Eco-Friendly Synthesis of Dimethindene: A Forward-Looking Approach. Molecules. 2022; 27(21):7594. https://doi.org/10.3390/molecules27217594
Chicago/Turabian StyleQuivelli, Andrea Francesca, Federico Vittorio Rossi, Chiara Alario, Francesco Sannicolò, Paola Vitale, Joaquín García-Álvarez, Filippo Maria Perna, and Vito Capriati. 2022. "Green Solvents for Eco-Friendly Synthesis of Dimethindene: A Forward-Looking Approach" Molecules 27, no. 21: 7594. https://doi.org/10.3390/molecules27217594
APA StyleQuivelli, A. F., Rossi, F. V., Alario, C., Sannicolò, F., Vitale, P., García-Álvarez, J., Perna, F. M., & Capriati, V. (2022). Green Solvents for Eco-Friendly Synthesis of Dimethindene: A Forward-Looking Approach. Molecules, 27(21), 7594. https://doi.org/10.3390/molecules27217594


