Analysis of In Vivo Existence Forms of Nardosinone in Mice by UHPLC-Q-TOF-MS Technique
Abstract
1. Introduction
2. Results
2.1. Mass Spectral Fragmentation Features of Nardosinone
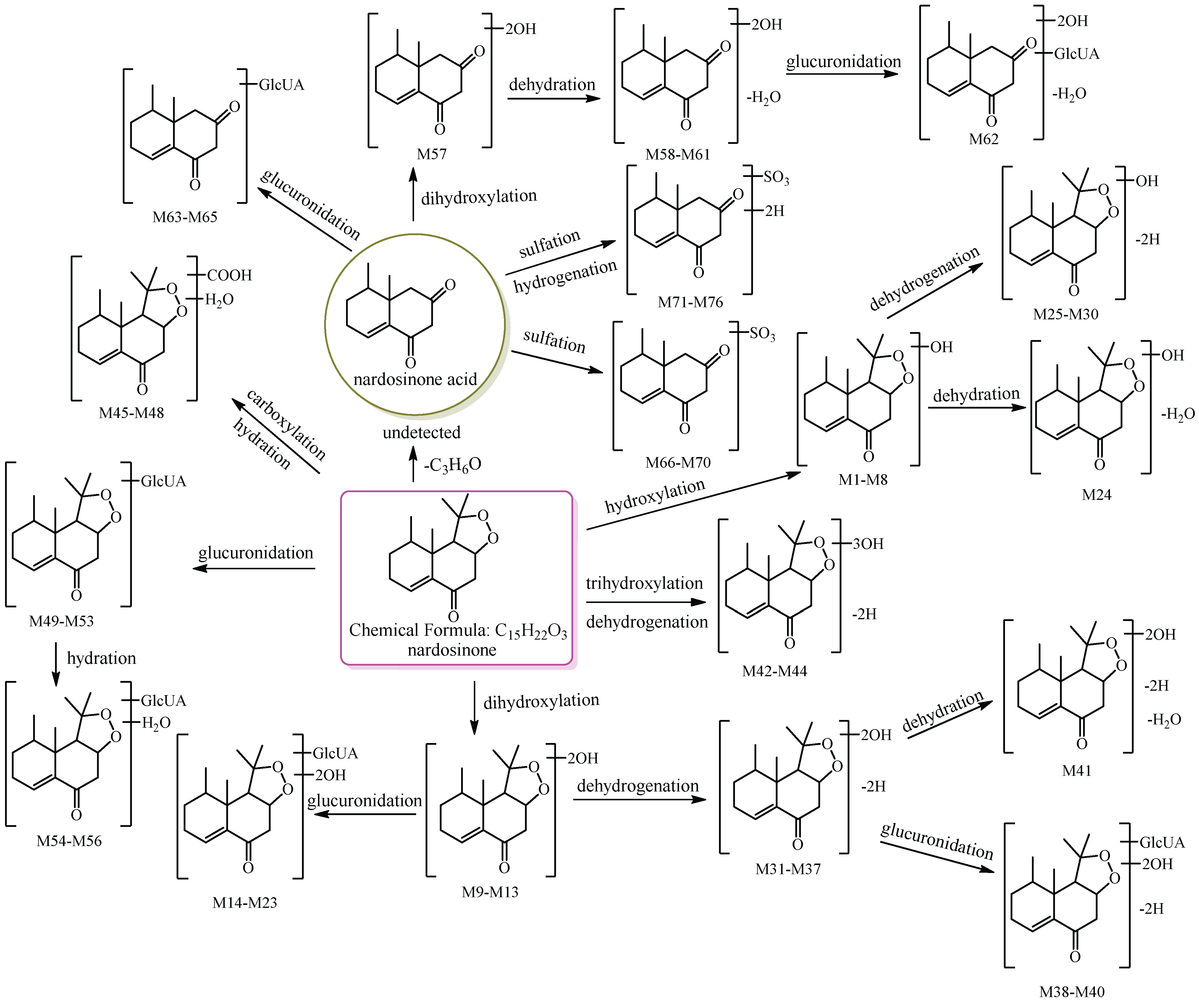
2.2. Identification of the Metabolites with the Skeleton of Nardosinone
2.2.1. Metabolites Formed by Monohydroxylation of Nardosinone
2.2.2. Dihydroxylated Nardosinone and Their Glucuronides (M9−M13 and M14−M23)
2.2.3. Metabolites Formed by Hydroxylation, and Dehydrogenataion or Dehydration of Nardosinone
2.2.4. Metabolites Formed by Hydroxylation, Hydrogenation, and Carboxylation of Nardosinone
2.2.5. Nardosinone Glucuronides
2.3. Identification of Metabolites with the Skeleton of Nardosinone Acid
2.3.1. Metabolites Formed by Dihydroxylation, Dehydration, and Glucuronidation of Nardosinone Acid
2.3.2. Glucuronides and Sulfates of Nardosinone Acid
2.4. Identification of Several Metabolites of Nardosinone with the Skeleton of Nardosinone Acid in the Fast Validation Experiment
3. Discussion
3.1. Comparative Analysis of the Metabolic Characteristics of Nardosinone and Other Sesquiterpene Peroxides
3.2. Discussion on the Origin of Metabolites with the Nardosinone Acid Skeleton
4. Materials and Methods
4.1. Reagent
4.2. Animal Experiments
4.3. Samples Collection and Preparation
4.3.1. Collection of Samples
4.3.2. Preparation of Samples
4.4. Instrumentation and Analytical Conditions
4.5. Identification of the Existence Forms of Nardosinone In Vivo (Original Constituents and Metabolites)
5. Conclusions
Supplementary Materials
Author Contributions
Funding
Institutional Review Board Statement
Informed Consent Statement
Data Availability Statement
Acknowledgments
Conflicts of Interest
References
- Wen, J.W.; Liu, L.Q.; Li, J.J.; He, Y. A review of nardosinone for pharmacological activities. Eur. J. Pharmacol. 2021, 908, 174343. [Google Scholar] [CrossRef] [PubMed]
- Wang, C.W.; Chen, G.Y.; Song, X.P.; Chen, W.H.; Shu, H.M.; Han, C.R.; Ji, M.H. Chemical constituents from roots of Millettia speciosa. Chin. Tradit. Herb. Drugs 2014, 45, 1515–1520. [Google Scholar]
- Peng, H.; Huang, P.Z.; Song, Y.G.; Xu, H.H.; Zhou, M.Y.; Zhu, G.H.; Yang, M.; Ai, Z.F.; Su, D. Full spectrum analysis of chemical constituents of Sargassum fusiforme and its in vitro anti-neuroinflammatory activity. China Pharm. 2022, 33, 800–807+812. [Google Scholar]
- Kong, J.Q.; Meng, X.S.; Shang, Y.H.; Dong, Y.Y.; Ma, Q. Identification of Chemical Components in Taraxacum kok-saghyz Rodin and Investigation of Mass Spectrometric Fragmentation Pathways. J. Chin. Mass Spectrom. Soc. 2022, 43, 278–286. [Google Scholar]
- Xu, X.Y.; Li, C.X.; Zheng, K.B.; Li, A.P. Chemical Constituents of Water Extract from Chrysanthemum morifolium Flowers by UHPLC-ESI-Orbitrap MS. J. Trop. Subtrop. Bot. 2020, 29, 96–104. [Google Scholar]
- Liang, X.; Liu, C.S.; Xia, T.; Tang, Q.F.; Tan, X.M. Identification of Active Compounds of Mahuang Fuzi Xixin Decoction and Their Mechanisms of Action by LC-MS/MS and Network Pharmacology. Evid. Based Compl Alt. 2020, 2020, 3812180. [Google Scholar] [CrossRef]
- Yu, S.L.; Ye, X.; Jia, G.F.; He, Z.J.; Sun, P.; Zhang, C.B.; Zhao, W.J. Nardostachys jatamansi, A Medicinal Plant from Qinghai-Tibet Plateau: A Review. Chin. J. Exp. Tradit. Med. Formulae 2021, 27, 243–250. [Google Scholar]
- Rao, Y.; Li, R.; Wang, X.W.; Xue, B.X.; Li, S.W.; Zhao, Y.; Zhang, L.H.; Xu, Y.T.; Wu, H.H. Data mining of compatibility characteristics for Chinese medicinal prescriptions containing Nardostachyos Radix et Rhizoma. Chin. Tradit. Herb. Drugs 2021, 52, 3331–3343. [Google Scholar]
- Rehman, T.; Ahmad, S. Nardostachys chinensis Batalin: A review of traditional uses, phytochemistry, and pharmacology. Phytother. Res. 2019, 33, 2622–2648. [Google Scholar] [CrossRef]
- Luo, J.F.; Shen, X.Y.; Lio, C.K.; Dai, Y.; Cheng, C.S.; Liu, J.X.; Yao, Y.D.; Yu, Y.; Xie, Y.; Luo, P.; et al. Activation of Nrf2/HO-1 Pathway by Nardochinoid C Inhibits Inflammation and Oxidative Stress in Lipopolysaccharide-Stimulated Macrophages. Front. Pharm. 2018, 9, 911. [Google Scholar] [CrossRef]
- Li, M.; Xu, X.; Yang, X.Y.; Kwong, J.S.W.; Shang, H.C. The cardioprotective and antiarrhythmic effects of Nardostachys chinensis in animal and cell experiments. BMC Complem. Altern. M. 2017, 17, 1–10. [Google Scholar] [CrossRef]
- Park, S.Y.; Kim, Y.H.; Park, G. Anti-neuro-inflammatory effects of Nardostachys chinensis in lipopolysaccharide-and lipoteichoic acid-stimulated microglial cells. Chin. J. Nat. Med. 2016, 14, 343–353. [Google Scholar]
- Jian, P.; Qing-Hai, L.I.; Fan, L.H. Experimental study on the inhibitory effect of nardosinone on myocardial cell in rats with tachyarrhythmia. Chin. J. Clin. Pharmacol. 2015, 31, 2240. [Google Scholar]
- Li, Z.H.; Li, W.; Shi, J.L.; Tang, M.K. Nardosinone Improves the Proliferation, Migration and Selective Differentiation of Mouse Embryonic Neural Stem Cells. PLoS ONE 2014, 9, e91260. [Google Scholar] [CrossRef]
- Du, M.; Huang, K.; Gao, L.; Yang, L.; Wang, W.S.; Wang, B.; Huang, K.; Huang, D. Nardosinone Protects H9c2 Cardiac Cells from Angiotensin II-induced Hypertrophy. J. Huazhong Univ. Sci. Med. 2013, 33, 822–826. [Google Scholar] [CrossRef]
- Bian, L.H.; Yao, Z.W.; Zhao, C.B.W.; Li, Q.Y.; Shi, J.L.; Guo, J.Y. Nardosinone Alleviates Parkinson’s Disease Symptoms in Mice by Regulating Dopamine D2 Receptor. Evid. Based Compl. Alt. 2021, 2021, 6686965. [Google Scholar] [CrossRef]
- Otoguro, K.; Iwatsuki, M.; Ishiyama, A.; Namatame, M.; Nishihara-Tukashima, A.; Kiyohara, H.; Hashimoto, T.; Asakawa, Y.; Omura, S.; Yamada, H. In vitro antitrypanosomal activity of plant terpenes against Trypanosoma brucei. Phytochemistry 2011, 72, 2024–2030. [Google Scholar] [CrossRef]
- Liu, G.L.; Liu, Y.; Shi, J.L.; Fang, N.; Li, J.; Lu, Y.W.; Wu, M.X. Stability of nardosinone. Chin. J. Pharm. Anal. 2015, 35, 360–363. [Google Scholar]
- Fattorusso, E.; Taglialatela-Scafati, O. Marine endoperoxides as antimalarial lead compounds. Phytochem. Rev. 2010, 9, 515–524. [Google Scholar] [CrossRef]
- Norris, M.D.; Perkins, M.V. Structural diversity and chemical synthesis of peroxide and peroxide-derived polyketide metabolites from marine sponges. Nat. Prod. Rep. 2016, 33, 861–880. [Google Scholar] [CrossRef]
- Chen, J.H.; Zhang, X.M.; Huang, Z.P.; Wang, W.H.; Zuo, X.F.; Zhao, Q. Advances in Resources of Natural Peroxides and Their Pharmacological Activities. J. Yunnan Univ. Tradit. Chin. Med. 2018, 41, 96–102. [Google Scholar]
- Nakatani, N.; Kikuzaki, H.; Yamaji, H.; Yoshio, K.; Kitora, C.; Okada, K.; Padolina, W.G. Labdane Diterpenes from Rhizomes of Hedychium-Coronarium. Phytochemistry 1994, 37, 1383–1388. [Google Scholar] [CrossRef]
- Kamchonwongpaisan, S.; Nilanonta, C.; Tarnchompoo, B.; Thebtaranonth, C.; Thebtaranonth, Y.; Yuthavong, Y.; Kongsaeree, P.; Clardy, J. An Antimalarial Peroxide from Amomum Krervanh Pierre. Tetrahedron Lett. 1995, 36, 1821–1824. [Google Scholar] [CrossRef]
- Cheng, S.J.; Fu, L.C. Research progress of artemisinins in the treatment of malaria. China Trop. Med. 2018, 18, 670–674+681. [Google Scholar]
- Liu, T.; Du, F.Y.; Wan, Y.K.; Zhu, F.P.; Xing, J. Rapid identification of phase I and II metabolites of artemisinin antimalarials using LTQ-Orbitrap hybrid mass spectrometer in combination with online hydrogen/deuterium exchange technique. J. Mass. Spectrom. 2011, 46, 725–733. [Google Scholar] [CrossRef]
- Szpilman, A.M.; Korshin, E.E.; Rozenberg, H.; Bachi, M.D. Total syntheses of yingzhaosu A and of its C(14)-epimer including the first evaluation of their antimalarial and cytotoxic activities. J. Org. Chem. 2005, 70, 3618–3632. [Google Scholar] [CrossRef]
- Tokuyasu, T.; Kunikawa, S.; Abe, M.; Masuyama, A.; Nojima, M.; Kim, H.S.; Begum, K.; Wataya, Y. Synthesis of antimalarial yingzhaosu a analogues by the peroxidation of dienes with Co(II)/O-2/Et3SiH. J. Org. Chem. 2003, 68, 7361–7367. [Google Scholar] [CrossRef]
- Li, Q.M.; Luo, J.G.; Yang, M.H.; Kong, L.Y. Terpenoids from Rhizomes of Alpinia japonica Inhibiting Nitric Oxide Production. Chem. Biodivers. 2015, 12, 388–396. [Google Scholar] [CrossRef]
- Dong, J.Y.; Ma, X.Y.; Cai, X.Q.; Yan, P.C.; Yue, L.; Lin, C.; Shao, W.W. Sesquiterpenoids from Curcuma wenyujin with anti-influenza viral activities. Phytochemistry 2013, 85, 122–128. [Google Scholar] [CrossRef]
- Liu, G.Q.; Dong, J.; Wang, H.; Wang, L.R.; Duan, Y.S.; Chen, S.Z. ESl Fragmentation Studies of Four Tea Catechins. Chem. J. Chin. Univ. 2009, 30, 1566–1570. [Google Scholar]
- Dai, H.L. Synthesis, Antimalarial Activity and Primary Study on Metabolism In Vivo of Dihydroartemisinin Derived-Dimer. Master’s Dissertation, Shanxi Medical University, Taiyuan, China, 2017. [Google Scholar]
- Liu, T. Biotransformation and Time-Dependent Pharmacokinetic Studies of Artemisinin Antimalarials. Master’s Dissertation, Shandong University, Jinan, China, 2012. [Google Scholar]
- Zhao, Y.F. Study on the Metabolites of Dihydroartemisinin and Their Distribution in Mice. Ph.D. Dissertation, China Academy of Chinese Medical Sciences, Beijing, China, 2021. [Google Scholar]
- Liu, Y. Study on the Action Process of Cistanche Deserticola Total Glycosides Based on Liver Metabolism. Master’s Dissertation, Harbin University of Commerce, Harbin, China, 2018. [Google Scholar]
- Liang, J.; Xu, F.; Zhang, Y.Z.; Huang, S.; Zang, X.Y.; Zhao, X.; Zhang, L.; Shang, M.Y.; Yang, D.H.; Wang, X.; et al. The profiling and identification of the absorbed constituents and metabolites of Paeoniae Radix Rubra decoction in rat plasma and urine by the HPLC-DAD-ESI-IT-TOF-MSn technique: A novel strategy for the systematic screening and identification of absorbed constituents and metabolites from traditional Chinese medicines. J. Pharm. Biomed. 2013, 83, 108–121. [Google Scholar]
- Xu, F.; Li, D.P.; Huang, Z.C.; Lu, F.L.; Wang, L.; Huang, Y.L.; Wang, R.F.; Liu, G.X.; Shang, M.Y.; Cai, S.Q. Exploring in vitro, in vivo metabolism of mogroside V and distribution of its metabolites in rats by HPLC-ESI-IT-TOF-MSn. J. Pharm. Biomed. 2015, 115, 418–430. [Google Scholar] [CrossRef]











| No | tR 1 (min) | Formula | Major Negative Fragmentions | Meas. 1 (Da) | Pred. 1 (Da) | Error (ppm) | Reaction | U 1 | P 1 | F 1 |
|---|---|---|---|---|---|---|---|---|---|---|
| M0 | 27.41 | C15H22O3 | 191.1085, 175.0770, 161.0614, 149.0610, 105.0696 | 249.1497 | 249.1496 | 0.3 | nardosinone 2 | + 1 | + | − 1 |
| M1 | 11.90 | C15H22O4 | 207.1027, 191.0711, 177.0558, 159.0453, 149.0608, 105.0709 | 265.1443 | 265.1445 | −0.9 | +O isomer 1 | − | + | − |
| M2 | 14.14 | C15H22O4 | 193.0872, 165.0980, 149.0620, 105.0699 | 265.1438 | 265.1445 | −2.8 | +O isomer 2 | − | + | − |
| M3 | 10.91 | C15H22O4 | 207.1026, 177.0556, 159.0438, 149.0601, 135.0466, 107.0509, 105.0703 | 265.1442 | 265.1445 | −1.3 | +O isomer 3 | + | − | − |
| M4 | 13.39 | C15H22O4 | 165.0920, 149.0595, 105.0723 | 265.1442 | 265.1445 | −1.3 | +O isomer 4 | + | + | − |
| M5 | 18.09 | C15H22O4 | 207.1037, 191.0708, 177.0530, 175.0761, 173.0626, 165.0922, 159.0445, 149.0598, 137.0605 | 265.1439 | 265.1445 | −2.4 | +O isomer 5 | + | − | − |
| M6 | 22.14 | C15H22O4 | 207.1027, 177.0584, 165.0929, 159.0418, 137.0617, 137.0262 | 265.1442 | 265.1445 | −1.3 | +O isomer 6 | + | − | − |
| M7 | 23.88 | C15H22O4 | 207.1030, 191.0725, 173.0624, 165.0937, 159.0452, 137.0590 | 265.1442 | 265.1445 | −1.3 | +O isomer 7 | + | + | − |
| M8 | 26.34 | C15H22O4 | 263.1324, 205.0887, 191.0714, 149.0589 | 265.1446 | 265.1445 | 0.3 | +O isomer 8 | + | + | − |
| M9 | 11.33 | C15H22O5 | 223.1047, 209.0841, 147.0411 | 281.1395 | 281.1394 | 0.2 | +2O isomer 1 | + | − | − |
| M10 | 16.28 | C15H22O5 | 223.0588, 205.0879, 190.0647, 175.0414 | 281.1392 | 281.1394 | −0.9 | +2O isomer 2 | + | − | − |
| M11 | 12.24 | C15H22O5 | 223.0962, 209.0813, 205.0852 | 281.1396 | 281.1394 | 0.5 | +2O isomer 3 | − | + | − |
| M12 | 15.94 | C15H22O5 | 223.1044, 165.0567, 137.0594 | 281.1388 | 281.1394 | −2.3 | +2O isomer 4 | − | + | − |
| M13 | 20.30 | C15H22O5 | 223.0971, 209.0801 | 281.1399 | 281.1388 | 1.6 | +2O isomer 5 | − | + | − |
| M14 | 8.84 | C21H30O11 | 439.1678, 281.1111, 175.0257 | 457.1717 | 457.1715 | 0.4 | +2O, +GlcUA | + | − | − |
| M15 | 9.91 | C21H30O11 | 281.1376, 175.0245 | 457.1706 | 457.1715 | −2.0 | +2O, +GlcUA | + | − | − |
| M16 | 17.64 | C21H30O11 | 439.1652, 281.1021, 263.1320, 205.0887 | 457.1699 | 457.1715 | −3.6 | +2O, +GlcUA | + | − | − |
| M17 | 8.20 | C21H30O11 | 205.0872, 175.0286 | 457.1701 | 457.1715 | −3.1 | +2O, +GlcUA | + | − | − |
| M18 | 9.45 | C21H30O11 | 381.1170, 205.0859 | 457.1718 | 457.1715 | 0.6 | +2O, +GlcUA isomer 1 | − | + | − |
| M19 | 10.52 | C21H30O11 | 281.1419, 205.0972 | 457.1709 | 457.1715 | −1.4 | +2O, +GlcUA | − | + | − |
| M20 | 13.07 | C21H30O11 | 381.1240, 281.1407, 223.0991, 205.0880, 175.0270 | 457.1709 | 457.1715 | −1.4 | +2O, +GlcUA | − | + | − |
| M21 | 15.18 | C21H30O11 | 381.1298, 205.0890 | 457.1701 | 457.1715 | −3.1 | +2O, +GlcUA isomer 2 | − | + | − |
| M22 | 16.71 | C21H30O11 | 439.1619, 381.1219, 205.0873 | 457.1712 | 457.1715 | −0.7 | +2O, +GlcUA isomer 3 | − | + | − |
| M23 | 17.87 | C21H30O11 | 439.1640, 205.0892, 175.0268 | 457.1704 | 457.1715 | −2.5 | +2O, +GlcUA | − | + | − |
| M24 | 26.65 | C15H20O3 | 189.0938, 173.0624, 147.0749, 131.0511 | 247.1342 | 247.1340 | 0.9 | +O, −H2O | + | + | − |
| M25 | 15.61 | C15H20O4 | 245.1151 | 263.1281 | 263.1289 | −3.0 | +O, −2H isomer 1 | − | + | − |
| M26 | 18.58 | C15H20O4 | 245.1219, 231.1029 | 263.1291 | 263.1289 | 0.8 | +O, −2H isomer 2 | + | + | − |
| M27 | 23.69 | C15H20O4 | 245.1211, 205.0915, 161.0617 | 263.1291 | 263.1289 | 0.8 | +O, −2H isomer 3 | + | + | − |
| M28 | 19.79 | C15H20O4 | 205.0871, 189.0562, 175.0409, 147.0456 | 263.1289 | 263.1289 | 0.1 | +O, −2H isomer 4 | + | + | − |
| M29 | 24.33 | C15H20O4 | 205.0877, 189.0540, 175.0436 | 263.1287 | 263.1289 | −0.7 | +O, −2H isomer 5 | + | + | − |
| M30 | 22.82 | C15H20O4 | 205.0873, 175.0444 | 263.1291 | 263.1289 | 0.8 | +O, −2H isomer 6 | − | + | − |
| M31 | 11.21 | C15H20O5 | 221.0817 | 279.1236 | 279.1238 | −0.7 | +2O, −2H isomer 7 | − | + | − |
| M32 | 12.14 | C15H20O5 | 221.0867, 179.0698, 163.0409 | 279.1232 | 279.1238 | −2.1 | +2O, −2H isomer 8 | − | + | − |
| M33 | 14.56 | C15H20O5 | 205.0871, 179.0725, 163.0417, 165.0495 | 279.1238 | 279.1238 | 0.0 | +2O, −2H isomer 9 | − | + | − |
| M34 | 24.56 | C15H20O5 | 261.1149 | 279.1236 | 279.1238 | −0.7 | +2O, −2H isomer 10 | − | + | − |
| M35 | 15.81 | C15H20O5 | 221.0897, 205.0871, 163.0397, 165.0570 | 279.1241 | 279.1238 | 1.1 | +2O, −2H isomer 11 | − | + | + |
| M36 | 22.83 | C15H20O5 | 221.0986 | 279.1230 | 279.1238 | −2.9 | +2O, −2H isomer 12 | + | − | − |
| M37 | 28.87 | C15H20O5 | 221.1196, 163.0133 | 279.1231 | 279.1238 | −2.5 | +2O, −2H isomer 13 | − | + | − |
| M38 | 12.12 | C21H28O11 | 279.1267, 261.1109, 221.0843, 175.0760, 175.0242 | 455.1553 | 455.1559 | −1.3 | +2O, −2H, +GlcUA isomer 1 | − | + | − |
| M39 | 13.87 | C21H28O11 | 397.1145, 279.1180, 221.0838 | 455.1544 | 455.1559 | −3.3 | +2O, −2H, +GlcUA isomer 2 | + | + | − |
| M40 | 11.37 | C21H28O11 | 455.1558, 175.0251 | 455.1553 | 455.1559 | −1.3 | +2O, −2H, +GlcUA isomer 3 | + | − | − |
| M41 | 22.62 | C15H18O4 | 203.0736, 187.0420, 173.0268 | 261.1140 | 261.1132 | 2.9 | +2O, −2H, −H2O isomer 4 | + | + | − |
| M42 | 10.78 | C15H20O6 | 223.1352 | 295.1181 | 295.1187 | −2.1 | +3O, −2H isomer 1 | + | − | + |
| M43 | 18.57 | C15H20O6 | 277.1086, 251.1299, 233.1187, 205.1245 | 295.1192 | 295.1187 | 1.7 | +3O, −2H isomer 2 | + | + | + |
| M44 | 23.86 | C15H20O6 | 251.1338, 205.1256 | 295.1185 | 295.1187 | −0.7 | +3O, −2H isomer 3 | − | + | − |
| M45 | 11.42 | C16H24O6 | 151.9993, 124.0063, 106.9804 | 311.1494 | 311.1500 | −2.0 | +O, +2H, +CO2 isomer 1 | + | − | − |
| M46 | 12.40 | C16H24O6 | 229.1253, 189.0977 | 311.1496 | 311.1500 | −1.3 | +O, +2H, + CO2 isomer 2 | − | + | − |
| M47 | 19.87 | C16H24O6 | 267.1557, 247.1354, 229.1216, 205.1249, 189.0960, 163.0742, 147.0488 | 311.1500 | 311.1500 | 0.0 | +O, +2H, + CO2 isomer 3 | + | + | + |
| M48 | 17.44 | C16H24O6 | 247.1393, 205.1184, 189.0912, 149.0603 | 311.1498 | 311.1500 | −0.7 | +O, +2H, + CO2 isomer 4 | − | + | − |
| M49 | 20.55 | C21H30O9 | 193.0368, 175.0230, 131.0366, 117.0200, 115.0023, 113.0253, 101.0242 | 425.1808 | 425.1817 | −2.1 | +GlcUA | + | + | − |
| M50 | 23.16 | C21H30O9 | 367.1381, 191.1079, 175.0247 | 425.1804 | 425.1817 | −3.1 | +GlcUA | + | + | − |
| M51 | 17.99 | C21H30O9 | 367.1411, 191.1080, 175.0223, 175.0758 | 425.1882 | 425.1817 | −3.5 | +GlcUA | + | + | − |
| M52 | 25.38 | C21H30O9 | 175.0255 | 425.1810 | 425.1817 | −1.7 | +GlcUA | + | − | − |
| M53 | 28.31 | C21H30O9 | 231.1406, 215.1077 | 425.1814 | 425.1817 | −0.7 | +GlcUA isomer 1 | − | + | − |
| M54 | 10.12 | C21H32O10 | 351.0681, 193.0358, 175.0265, 157.0157 | 443.1925 | 443.1923 | 0.5 | +OH, +2H, +GlcUA isomer 1 | + | − | − |
| M55 | 12.18 | C21H32O10 | 385.1545, 367.1391, 341.1277, 193.0365, 191.1083, 165.0930 | 443.1921 | 443.1923 | −0.4 | +OH, +2H, +GlcUA isomer 2 | + | + | − |
| M56 | 16.03 | C21H32O10 | 191.1089, 175.0257 | 443.1920 | 443.1923 | −0.6 | +OH, +2H, +GlcUA isomer 3 | + | + | − |
| M57 | 10.90 | C12H16O4 | 191.1133, 161.1032, 159.0869 | 223.0974 | 223.0974 | −0.8 | −C3H6O, +2O | + | − | − |
| M58 | 24.29 | C12H14O3 | 190.0677, 175.0420 | 205.0871 | 205.0870 | 0.4 | −C3H6O, +2O, −H2O isomer 1 | − | + | − |
| M59 | 22.67 | C12H14O3 | 190.0665, 175.0436 | 205.0862 | 205.0870 | −4.0 | −C3H6O, +2O, −H2O isomer 2 | − | + | − |
| M60 | 21.74 | C12H14O3 | 190.0634, 177.0923, 175.0410, 147.0455 | 205.0873 | 205.0870 | 1.4 | −C3H6O, +2O, −H2O isomer 3 | − | + | − |
| M61 | 19.79 | C12H14O3 | 190.0648, 175.0404, 147.0457 | 205.0867 | 205.0870 | −1.6 | −C3H6O, +2O, −H2O isomer 4 | + | + | − |
| M62 | 15.56 | C18H22O9 | 205.0886, 190.0663, 175.0436 | 381.1183 | 381.1191 | −2.1 | −C3H6O, +2O, −H2O, +GlcUA | − | + | − |
| M63 | 23.83 | C18H24O8 | 193.0365, 191.1084 | 367.1380 | 367.1398 | −5.0 | −C3H6O, +GlcUA isomer 1 | − | + | − |
| M64 | 24.84 | C18H24O8 | 193.0373, 191.1059, 175.0774, 175.0220 | 367.1393 | 367.1398 | −1.5 | −C3H6O, +GlcUA isomer 2 | + | + | − |
| M65 | 25.31 | C18H24O8 | 191.1084, 175.0823, 161.0620, 149.0641 | 367.1392 | 367.1398 | −1.7 | −C3H6O, +GlcUA isomer 3 | − | + | − |
| M66 | 26.68 | C12H16O5S | 191.1075, 173.0987, 157.0648 | 271.0636 | 271.0646 | −1.7 | −C3H6O, +SO3 isomer 4 | + | + | − |
| M67 | 19.76 | C12H16O5S | 189.0951 | 271.0638 | 271.0646 | −2.8 | −C3H6O, +SO3 isomer 5 | + | − | − |
| M68 | 11.99 | C12H16O5S | 96.9618, 80.9671 | 271.0650 | 271.0646 | 1.6 | −C3H6O, +SO3 isomer 6 | − | − | + |
| M69 | 20.61 | C12H16O5S | 80.9641 | 271.0651 | 271.0646 | 2.0 | −C3H6O, +SO3 isomer 7 | − | − | + |
| M70 | 23.99 | C12H16O5S | 191.1113, 96.9606, 80.9665 | 271.0644 | 271.0646 | −0.6 | −C3H6O, +SO3 isomer 8 | − | − | + |
| M71 | 19.03 | C12H18O5S | 165.0979, 80.9648 | 273.0797 | 273.0802 | −1.9 | −C3H6O, +2H, +SO3 isomer 1 | − | − | + |
| M72 | 10.66 | C12H18O5S | 80.9642 | 273.0806 | 273.0802 | 1.4 | −C3H6O, +2H, +SO3 isomer 2 | − | − | + |
| M73 | 23.52 | C12H18O5S | 191.1087, 80.9654 | 273.0804 | 273.0802 | 0.7 | −C3H6O, +2H, +SO3 isomer 3 | − | − | + |
| M74 | 16.37 | C12H18O5S | 191.1042, 80.9644 | 273.0813 | 273.0802 | 4.0 | −C3H6O, +2H, +SO3 isomer 4 | − | + | + |
| M75 | 15.69 | C12H18O5S | 80.9650 | 273.0803 | 273.0802 | 0.3 | −C3H6O, +2H, +SO3 isomer 5 | + | − | − |
| M76 | 9.96 | C12H18O5S | 191.1131, 80.9652 | 273.0799 | 273.0802 | −1.2 | −C3H6O, +2H, +SO3 isomer 6 | − | − | + |
Publisher’s Note: MDPI stays neutral with regard to jurisdictional claims in published maps and institutional affiliations. |
© 2022 by the authors. Licensee MDPI, Basel, Switzerland. This article is an open access article distributed under the terms and conditions of the Creative Commons Attribution (CC BY) license (https://creativecommons.org/licenses/by/4.0/).
Share and Cite
Zhang, J.; Lv, Y.; Zhang, J.; Bai, Y.-S.; Li, M.-Y.; Wang, S.-Q.; Wang, L.-L.; Liu, G.-X.; Xu, F.; Shang, M.-Y.; et al. Analysis of In Vivo Existence Forms of Nardosinone in Mice by UHPLC-Q-TOF-MS Technique. Molecules 2022, 27, 7267. https://doi.org/10.3390/molecules27217267
Zhang J, Lv Y, Zhang J, Bai Y-S, Li M-Y, Wang S-Q, Wang L-L, Liu G-X, Xu F, Shang M-Y, et al. Analysis of In Vivo Existence Forms of Nardosinone in Mice by UHPLC-Q-TOF-MS Technique. Molecules. 2022; 27(21):7267. https://doi.org/10.3390/molecules27217267
Chicago/Turabian StyleZhang, Jing, Yang Lv, Jing Zhang, Yu-Sha Bai, Meng-Yuan Li, Shun-Qi Wang, Li-Li Wang, Guang-Xue Liu, Feng Xu, Ming-Ying Shang, and et al. 2022. "Analysis of In Vivo Existence Forms of Nardosinone in Mice by UHPLC-Q-TOF-MS Technique" Molecules 27, no. 21: 7267. https://doi.org/10.3390/molecules27217267
APA StyleZhang, J., Lv, Y., Zhang, J., Bai, Y.-S., Li, M.-Y., Wang, S.-Q., Wang, L.-L., Liu, G.-X., Xu, F., Shang, M.-Y., & Cai, S.-Q. (2022). Analysis of In Vivo Existence Forms of Nardosinone in Mice by UHPLC-Q-TOF-MS Technique. Molecules, 27(21), 7267. https://doi.org/10.3390/molecules27217267

