Non-Antibiotic Antimony-Based Antimicrobials
Abstract
1. Introduction
2. Results and Discussion
3. Materials and Methods
4. Conclusions
- (1)
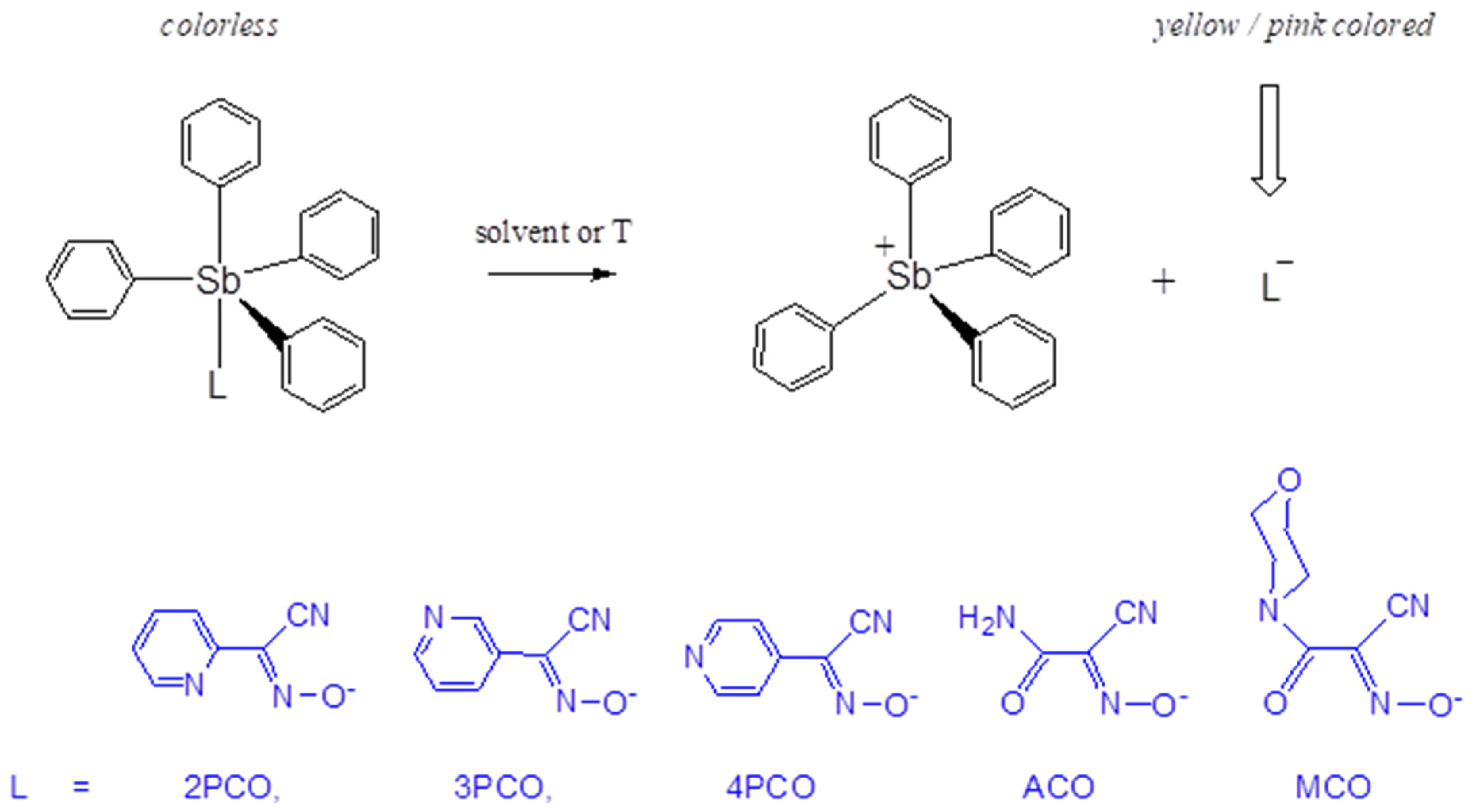
- We designed high-yield synthesis of a series of eight novel tetraphenyl-antimony(V) cyanoximates of SbPh4(L) composition using an effective and clean heterogeneous metathesis reaction involving solid silver(I) or thallium(I) compounds in acetonitrile solutions.
- (2)
- The prepared complexes represent crystalline white molecular solids (two compounds with thioamide-cyanoximes TCO− and TDCO− are yellow) well soluble in organic solvents.
- (3)
- All the synthesized compounds were characterized by 1H- and 13C-NMR, vibrational spectroscopy (IR and Raman), variable-temperature UV/visible spectroscopy, thermal analysis, and X-ray analysis.
- (4)
- Several correlations between pKa values of starting cyanoxime and solid-state structures of SbPh4(L) were determined (a) between off-plane Sb–O distance in trigonal bipyramids of compounds and (b) between Sb–O distances.
- (5)
- The crystal structures were determined for all eight new tetraphenyl-antimony(V) cyanoximates and show monodentate O-binding of the anion to the central atom.
- (6)
- All synthesized compounds were thermally stable in the solid state and in solutions up to 140 °C, which is an important property in light of their thermal sterilization for intended applications as topical antimicrobial agents added to coating and paints.
- (7)
- For the first time, a series of organometallic Sb-compounds of SbPh4L composition were carefully designed for in vitro antimicrobial testing.
- (8)
- When tested for antibacterial potential, SbPh4(ACO) and SbPh4(ECO) showed activity against three selected bacterial pathogens, E. coli, P. aeruginosa, and S. aureus. known for their outstanding antibiotic resistance. SbPh4(ACO), SbPh4(ECO), and SbPh4MCO showed a broad impact against the three bacteria, and SbPh4(TDCO) was active only against Gram-positive S. aureus.
- (9)
- Antifungal studies showed that SbPh4(MCO) was the only compound to inhibit the growth of both fungal pathogens C. neoformans and C. albicans, also known for their increasing resistance to antimicrobials. The other compounds inhibited the growth of C. neoformans but not C. albicans.

Supplementary Materials
Author Contributions
Funding
Data Availability Statement
Acknowledgments
Conflicts of Interest
Sample Availability
References
- Williams, K.J. The introduction of “chemotherapy” using arsphenamine—the first magic bullet. J. R. Soc. Med. 2009, 102, 343–348. [Google Scholar] [CrossRef] [PubMed]
- Paul, N.P.; Galván, A.E.; Yoshinaga-Sakurai, K.; Rosen, B.P.; Yoshinaga, M. Arsenic in medicine: Past, present and future. Biometals 2022, 1–19. [Google Scholar] [CrossRef] [PubMed]
- The History of Pepto-Bismol. Available online: https://pepto-bismol.com/en-us/article/the-history-of-pepto (accessed on 1 August 2022).
- Carmalt, C.; Norman, N. Arsenic, antimony and bismuth: Some general properties and aspects of periodicity. Chem. Arsen. Antimony Bismuth 1998, 1–38. [Google Scholar]
- Periferakis, A.; Caruntu, A.; Periferakis, A.-T.; Scheau, A.-E.; Badarau, I.A.; Caruntu, C.; Scheau, C. Availability, Toxicology and Medical Significance of Antimony. Int. J. Environ. Res. Public Health 2022, 19, 4669. [Google Scholar] [CrossRef]
- Haldar, A.K.; Sen, P.; Roy, S. Use of antimony in the treatment of leishmaniasis: Current status and future directions. Mol. Biol. Int. 2011, 2011, 571242. [Google Scholar] [CrossRef]
- Gasser, G.; Ott, I.; Metzler-Nolte, N. Organometallic anticancer compounds. J. Med. Chem. 2011, 54, 3–25. [Google Scholar] [CrossRef]
- Frezard, F.; Demicheli, C.; Ribeiro, R.R. Pentavalent antimonials: New perspectives for old drugs. Molecules 2009, 14, 2317–2336. [Google Scholar] [CrossRef]
- Agrawal, R.; Sharma, J.; Nandani, D.; Batra, A.; Singh, Y. Triphenylarsenic(V) and -antimony(V) derivatives of multidentate Schiff bases: Synthesis, characterization, and antimicrobial activities. J. Coord. Chem. 2011, 64, 554–563. [Google Scholar] [CrossRef]
- Khan, N.U.; Sultana, D.; Nadeem, H. Synthesis, characterization, antibacterial activity of new antimony iii complexes of some tosyl-sulfonamide derivatives. Middle East J. Sci. Res. 2013, 17, 705–711. [Google Scholar]
- Oliveira, L.G.; Silva, M.M.; Paula, F.C.; Pereira-Maia, E.C.; Donnici, C.L.; Simone, C.A.; Frezard, F.; Silva, E.N., Jr.; Demicheli, C. Antimony(V) and bismuth(V) complexes of lapachol: Synthesis, crystal structure and cytotoxic activity. Molecules 2011, 16, 10314–10323. [Google Scholar] [CrossRef]
- Sharma, P.K.; Rehwani, H.; Rai, A.K.; Gupta, R.S.; Singh, Y.P. Antispermatogenic activity of the benzothiazoline ligand and corresponding organoantimony(V) derivative in male albino rats. Bioinorg. Chem. Appl. 2006, 2006, 16895. [Google Scholar] [CrossRef]
- Singh, R.V.; Mahajan, K.; Swami, M.; Dawara, L. Microwave Assisted Synthesis, Spectroscopic Characterizations In-Vitro Antibacterial And Antifungal Properties Of Some Antimony And Bismuth Complexes Derived From NnO And NnS Donor Imines. Main Group Met. Chem. 2010, 33, 141–156. [Google Scholar] [CrossRef]
- Gerasimchuk, N. Chemistry and Applications of Cyanoximes and Their Metal Complexes. Dalton Trans. 2019, 48, 7985–8013. [Google Scholar] [CrossRef] [PubMed]
- Mokhir, A.A.; Domasevich, K.V.; Kent Dalley, N.; Kou, X.; Gerasimchuk, N.N.; Gerasimchuk, O.A. Syntheses, crystal structures and coordination compounds of some 2-hetarylcyanoximes. Inorg. Chim. Acta 1999, 284, 85–98. [Google Scholar] [CrossRef]
- Gerasimchuk, N. An Excursion into the Intriguing World of Polymeric Tl(I) and Ag(I) Cyanoximates. Polymers 2011, 3, 1475–1511. [Google Scholar] [CrossRef]
- Gerasimchuk, N. Synthesis, Properties, and Applications of Light-Insensitive Silver(I) Cyanoximates. Eur. J. Inorg. Chem. 2014, 2014, 4518–4531. [Google Scholar] [CrossRef]
- Ciba Geigy, A.G. Srodek Ochrony Roslin Przed Dzialaniem Agresywnych Chemikalii Rolniczych. Poland Patent 127786, 1985. [Google Scholar]
- Ciba Geigy, A.G. Mittel Zum Schutz Von Kulturpflanzen Von Agressiven Herbiziden. Patent of Austria 367268, 1982. [Google Scholar]
- Davidson, S.H. 2-Cyano-2-Hydroximinoacetamides as Plant Disease Control Agents. U.S. Patent 3957847, 1978. [Google Scholar]
- Skopenko, V.V.; Palii, G.K.; Gerasimchuk, N.N.; Makats, E.F.; Domashevskaya, O.A.; Rakovskaya, R.V.; Domasevitch, K. Nitrosothiocarbamylcyanmethanid of Potassium or Sodium Which Show Antimicrobial Activity. Patent of the USSR 1405281, 1988. [Google Scholar]
- Lin, K. Process for Making 2-Cyano-2-Hydroximinoacetamide Salts. U.S. Patent 3919284, 1976. [Google Scholar]
- Kuhne, A.; Hubele, A. Method for the Cultivation of Plants Employing R-Cyano Hydroximinoacetamide Derivatives. US Patent 4063921, 1978. [Google Scholar]
- Domasevitch, K.V.; Gerasimchuk, N.N.; Mokhir, A. Organoantimony(V) cyanoximates: Synthesis, spectra and crystal structures. Inorg. Chem. 2000, 39, 1227–1237. [Google Scholar] [CrossRef]
- Eddings, D.; Barnes, C.; Gerasimchuk, N.; Durham, P.; Domasevich, K. First bivalent palladium and platinum cyanoximates: Synthesis, characterization, and biological activity. Inorg. Chem. 2004, 43, 3894–3909. [Google Scholar] [CrossRef]
- Gerasimchuk, N.; Maher, T.; Durham, P.; Domasevitch, K.V.; Wilking, J.; Mokhir, A. Tin(IV) cyanoximates: Synthesis, characterization, and cytotoxicity. Inorg. Chem. 2007, 46, 7268–7284. [Google Scholar] [CrossRef]
- Mann, A.; Gerasimchuk, N.; Silchenko, S. New non-aggregating bivalent cis-ML2 (M = Pd, Pt; L = pivaloylcyanoxime). Inorg. Chim. Acta 2016, 440, 118–128. [Google Scholar] [CrossRef]
- Domasevitch, K.V.; Skopenko, V.V.; Rusanov, E.B. Synthesis, Infrared and X-ray Studies of Diphenyltellurium(IV) Nitrosocarbamylcyanmethanides. X-Ray Evidence for Stability of a Tritelluroxane Fragment -Ph2Te-O-Ph2Te-O-Ph2Te. Z. Nat. B 1996, 51, 832–837. [Google Scholar] [CrossRef]
- Mokhir, A.A.; Gerasimchuk, N.N.; Pol’shin, E.V.; Domasevitch, K.V. Synthesis, IR and Mossbauer study of bisorganotin complexes with cyanoximes. Russ. J. Inorg. Chem. 1994, 39, 289–293. [Google Scholar]
- Riddles, C.N.; Whited, M.; Lotlikar, S.R.; Still, K.; Patrauchan, M.; Silchenko, S.; Gerasimchuk, N. Synthesis and Characterization of Two Cyanoxime Ligands, Their Precursors, and Light Insensitive Antimicrobial Silver(I) Cyanoximates. Inorg. Chim. Acta 2014, 412, 94–103. [Google Scholar] [CrossRef]
- Gerasimchuk, N. Synthesis, Characterization and Remarkable Applications of Light-insensitive Silver(I) Cyanoximates. New Trends Coord. Bioinorg. Appl. Inorg. Chem. 2011, 106–113. [Google Scholar]
- Glover, G.; Gerasimchuk, N.; Biagioni, R.; Domasevitch, K.V. Monovalent K, Cs, Tl, and Ag nitrosodicyanomethanides: Completely different 3D networks with useful properties of luminescent materials and nonelectric sensors for gases. Inorg. Chem. 2009, 48, 2371–2382. [Google Scholar] [CrossRef] [PubMed]
- Gerasimchuk, N.N.; Tchernega, A.N.; Kapshuk, A.A. Synthesis, IR spectra and structure of complex Tl(I) with carbamoylcyanoxime HONC(CN)C(O)NH2. Russ. J. Inorg. Chem. 1993, 38, 1530–1534. [Google Scholar]
- Marcano, D.; Gerasimchuk, N.; Nemykin, V.; Silchenko, S. Synthesis, Characterization, and Studies of Coordination-Polymeres With Isomeric Pyridylcyanoximes: Route to Metal Ribbons With Very Short Tl···Tl Separations. Cryst. Growth Des. 2012, 12, 2877–2889. [Google Scholar] [CrossRef]
- Curtis, S.; Lottes, B.; Robertson, D.; Lindeman, S.V.; Gerasimchuk, N. Search for the shortest intermetallic Tl---Tl contacts: Synthesis and characterization of Thallium(I) coordination polymers with several mono- and bis-cyanoximes. Inorg. Chim. Acta 2020, 508, 119597. [Google Scholar] [CrossRef]
- Morton, J.; Dennison, R.; Nemykin, V.; Gerasimchuk, N. Planochromism of cyanoxime anions: Computational and mechanistic studies in solid state and solutions. Inorg. Chim. Acta 2020, 507, 119570. [Google Scholar] [CrossRef]
- Rojas, T.C.G.; Maluta, R.P.; Parizzi, L.P.; Koenigkan, L.V.; Yang, J.; Yu, J.; Pereira, G.A.G.; Dias da Silveira, W.J.G.A. Genome sequences of avian pathogenic Escherichia coli strains isolated from Brazilian commercial poultry. Genome Announc. 2013, 1, e00110-13. [Google Scholar] [CrossRef]
- Stover, C.K.; Pham, X.Q.; Erwin, A.L.; Mizoguchi, S.D.; Warrener, P.; Hickey, M.J.; Brinkman, F.S.; Hufnagle, W.O.; Kowalik, D.J.; Lagrou, M.; et al. Complete genome sequence of Pseudomonas aeruginosa PA01, an opportunistic pathogen. Nature 2000, 406, 959–964. [Google Scholar] [CrossRef] [PubMed]
- Kuroda, M.; Ohta, T.; Uchiyama, I.; Baba, T.; Yuzawa, H.; Kobayashi, I.; Cui, L.; Oguchi, A.; Aoki, K.; Nagai, Y.; et al. Whole genome sequencing of meticillin-resistant Staphylococcus aureus. Lancet 2001, 357, 1225–1240. [Google Scholar] [CrossRef]
- Harmsen, M.; Yang, L.A.; Pamp, S.J.; Tolker-Nielsen, T. An update on Pseudomonas aeruginosa biofilm formation, tolerance, and dispersal. Fems. Immunol. Med. Mic. 2010, 59, 253–268. [Google Scholar] [CrossRef] [PubMed]
- Haaber, J.; Penades, J.R.; Ingmer, H. Transfer of Antibiotic Resistance in Staphylococcus aureus. Trends Microbiol. 2017, 25, 893–905. [Google Scholar] [CrossRef] [PubMed]
- Bernier, S.P.; Surette, M.G. Concentration-dependent activity of antibiotics in natural environments. Front. Microbiol. 2013, 4, 20. [Google Scholar] [CrossRef] [PubMed]
- Sanglard, D.; Coste, A.; Ferrari, S. Antifungal drug resistance mechanisms in fungal pathogens from the perspective of transcriptional gene regulation. FEMS Yeast Res. 2009, 9, 1029–1050. [Google Scholar] [CrossRef]
- Smith, K.D.; Achan, B.; Hullsiek, K.H.; McDonald, T.R.; Okagaki, L.H.; Alhadab, A.A.; Akampurira, A.; Rhein, J.R.; Meya, D.B.; Boulware, D.R.; et al. Increased Antifungal Drug Resistance in Clinical Isolates of Cryptococcus neoformans in Uganda. Antimicrob. Agents Chemother. 2015, 59, 7197–7204. [Google Scholar] [CrossRef]
- Chang, M.; Sionov, E.; Khanal Lamichhane, A.; Kwon-Chung, K.J.; Chang, Y.C. Roles of Three Cryptococcus neoformans and Cryptococcus gattii Efflux Pump-Coding Genes in Response to Drug Treatment. Antimicrob. Agents Chemother. 2018, 62, e01751-17. [Google Scholar] [CrossRef]
- Gerasimchuk, N.N.; Domasevitch, K.V.; Kapshuk, A.A. Coordination compounds of N,N-dimethylthioamidocyanoxime. Russ. J. Inorg. Chem. 1993, 38, 1718–1722. [Google Scholar]
- Conrad, M.; Schulze, A. Isonitrosocyanessigsäure ätyl ester. Berichte 1909, 42, 745. [Google Scholar]
- Gerasimchuk, N.; Gamian, A.; Glover, G.; Szponar, B. Light Insensitive Silver(I) Cyanoximates As Antimicrobial Agents for Indwelling Medical Devices. Inorg. Chem. 2010, 49, 9863–9874. [Google Scholar] [CrossRef] [PubMed]
- Emsley, J. The Elements; Clarendon Press: Oxford, UK, 1991. [Google Scholar]
- Glaser, J. Advances in Inorganic Chemistry; Sykes, A.J., Ed.; Academic Press: San Diego, CA, USA, 1995; Volume 43, p. 1. [Google Scholar]
- Heydlauf, H. Ferric-cyanoferrate (II): An effective antidote in thallium poisoning. Eur. J. Pharm. 1969, 6, 340–344. [Google Scholar] [CrossRef]
- Sheldrick, G. SHELXTL, Version 2014/7. 2014.
- Farrugia, L. ORTEP-3 for Windows—a version of ORTEP-III with a Graphical User Interface (GUI). J. Appl. Crystallogr. 1997, 30, 565. [Google Scholar] [CrossRef]
- Gerasimchuk, N.; Esaulenko, A.N.; Dalley, K.N.; Moore, C. 2-Cyano-2-isonitrosoacetamide and its Ag(i) complexes. Silver(i) cyanoximate as a non-electric gas sensor. Dalton Trans. 2010, 39, 749–764. [Google Scholar] [CrossRef] [PubMed]










| Compound/Clearance Zone, mm | E. coli | P. aeruginosa | S. aureus |
|---|---|---|---|
| Sb Compounds | |||
| SbPh4(ACO) | 2.5 ± 0.2 | 5.6 ± 0.7 | 4.7 ± 0.7 |
| SbPh4(ECO) | 4.7 ± 0.2 | 2.2 ± 0.3 | 9.4 ± 0.1 |
| SbPh4(MCO) | ND | 5.7 ± 0.2 | 6.1 ± 0.1 |
| SbPh4(TDCO) | ND | ND | 2.0 ± 0.5 |
| SbPh4(TCO) | ND | ND | ND |
| Controls | |||
| H(ACO) | ND | ND | ND |
| H(ECO) | ND | ND | ND |
| H(MCO) | ND | ND | ND |
| Compound/Clearance Zone, mm | C. neoformans | C. albicans |
|---|---|---|
| Sb Compounds | ||
| SbPh4(ACO) | 6.7 ± 1.3 | ND |
| SbPh4(ECO) | 9.7 ± 4.4 | ND |
| SbPh4(MCO) | 5.0 ± 1.3 | 2.9 ± 1.2 |
| SbPh4(TDCO) | 2.0 ± 1.0 | ND |
| SbPh4(TCO) | 2.7 ± 1.3 | ND |
| Controls | ||
| H(ACO) | ND | ND |
| H(ECO) | ND | ND |
| H(MCO) | ND | ND |
| Formula, Property | Elemental Analyses Data, %: Calculated (Found) | |||||
|---|---|---|---|---|---|---|
| Compound | Color | Yield, % | C | H | N | S |
| SbPh4(ACO) | Colorless | 79 | 59.81 (58.39) | 4.09 (4.16) | 7.75 (7.29) | - |
| SbPh4(ECO) | Colorless | 91 | 60.86 (60.59) | 4.58 (4.44) | 4.89 (4.94) | - |
| SbPh4(TCO) | Yellow | 51 | 58.04 (57.93) | 3.97 (3.84) | 7.53 (7.42) | 5.74 (5.59) |
| SbPh4(TDCO) | Golden-orange | 56 | 59.40 (58.84) | 4.47 (4.37) | 7.17 (6.20) | 5.47 (5.18) |
| SbPh4(MCO) | Colorless | 90 | 60.81 (59.48) | 4.61 (4.52) | 8.86 (6.47) | - |
| SbPh4(2PCO)·H2O | Colorless | 45 | 64.61 (64.34) | 4.20 (4.07) | 7.29 (7.19) | - |
| SbPh4(3PCO) | Colorless | 84 | 64.61 (62.17) | 4.20 (3.99) | 7.29 (6.51) | - |
| SbPh4(4PCO) | Colorless | 46 | 64.61 (63.93) | 4.20 (3.93) | 7.29 (7.31) | - |
| Tl(TCO) | Yellow | 93 | 10.84 (10.77) | 0.61 (0.54) | 12.64 (12.71) | 9.64 (9.52) |
| Tl(TDCO) | Orange-red | 82 | 16.66 (16.61) | 1.68 (1.55) | 11.65 (11.53) | 8.89 (8.77) |
| Data/Parameter | SbPh4(ACO) | SbPh4(ECO) |
|---|---|---|
| Chemical formula | C27H22N3O2Sb | C29H25N2O3Sb |
| Formula weight, g/mol | 542.22 | 571.26 |
| Temperature, K | 100(2) | 120(2) |
| Wavelength, Å | 0.71073 Å (Mo) | 0.71073 Å (Mo) |
| Crystal habit | Clear colorless block | Clear colorless block |
| Crystal system | Monoclinic | Monoclinic |
| Space group | P21/c | Pn |
| Unit cell dimensions, Å, | a = 14.8336(8) α = 90° b = 9.9060(6) β = 112.7130(10)° c = 17.3977(10) γ = 90° | a = 9.7871(6) α = 90° b = 14.9208(9) β = 94.6130(10)° c = 17.6984(11) γ = 90° |
| Volume, Å3 | 2358.2(2) | 2576.1(3) |
| Z | 4 | 4 |
| Density (calculated), g/cm3 | 1.527 | 1.473 |
| Absorption coefficient μ, mm−1 | 1.199 | 1.103 |
| F(000) | 1088 | 1152 |
| Θ range for data | 1.49° to 33.02° | 1.37° to 33.08° |
| Total reflections collected | 38365 | 9092 |
| Independent reflections | 8465 [R(int) = 0.0278] | 8454 [R(int) = 0.0261] |
| Absorption correction | Multi-scan | Multi-scan |
| Data/restraints/parameters | 8465/0/386 | 9092/2/654 |
| Goodness of fit on F2 | 1.173 | 1.193 [absolute structure parameter 0.5(0)] |
| Final R indices | R1 = 0.0288, wR2 = 0.0634 | R1 = 0.0351, wR2 = 0.0709 |
| All data | R1 = 0.0391, wR2 = 0.0724 | R1 = 0.0404, wR2 = 0.0774 |
| Largest diff. peak and hole, eÅ−3 | 2.183 and −0.805 | 2.218 and −1.311 |
| Structure takes volume, Å3 (%) | 1507.45 (63.92) | 1615.90 (62.73) |
| Chemical formula | C31H28N3O3Sb | C31H24N3OSb |
| Formula weight, g/mol | 612.31 | 576.28 |
| Temperature, K | 100(2) | 100(2) |
| Wavelength, Å | 0.71073 Å (Mo) | 0.71073 Å (Mo) |
| Crystal habit | Clear colorless block | Clear colorless block |
| Crystal system | Monoclinic | Monoclinic |
| Space group | P21/c | P21/n |
| Unit cell dimensions, Å, o | a = 17.6451(4) α = 90 b = 10.8777(3) Å β = 94.8360(10)° c = 28.3876(7) Å γ = 90° | a = 12.6027(8) α = 90° b = 14.4415(10) β = 104.9644(10)° c = 14.6694(10) γ = 90° |
| Volume, Å3 | 5429.3(2) | 2579.3(3) |
| Z | 8 | 4 |
| Density (calculated), g/cm3 | 1.498 | 1.484 |
| Absorption coefficient μ, mm−1 | 1.054 | 1.098 |
| F(000) | 2480 | 1160 |
| Θ range for data | 1.16 to 26.52° | 1.90 to 26.71° |
| Total reflections collected | 75269 | 30635 |
| Independent reflections | 11251 [R(int) = 0.0612] | 5458 [R(int) = 0.0520] |
| Absorption correction | multi-scan | multi-scan |
| Data/restraints/parameters | 11,251/0/750 | 5458/0/421 |
| Goodness of fit on F2 | 1.114 | 1.039 |
| Final R indices | R1 = 0.0447, wR2 = 0.1034 | R1 = 0.0329, wR2 = 0.0740 |
| All data | R1 = 0.0584, wR2 = 0.1109 | R1 = 0.0444, wR2 = 0.0792 |
| Largest diff. peak and hole, eÅ−3 | 2.081 and −0.653 | 1.518 and −0.437 |
| Structure takes volume, Å3 (%) | 3438.33 (63.33) | 1625.16 (63.01) |
| Chemical formula | C31H24N3OSb | C31H24N3OSb |
| Formula weight, g/mol | 576.28 | 576.28 |
| Temperature, K | 296(1) | 100(2) |
| Wavelength, Å | 0.71073 Å (Mo) | 0.71073 Å (Mo) |
| Crystal habit | Transparent clear prisms | Transparent colorless prisms |
| Crystal system | Triclinic | Monoclinic |
| Space group | P-1 | P21/c |
| Unit cell dimensions, Å, o | a = 10.0228(4) α = 69.324(1) b = 10.4598(4) β = 72.086(1) c = 13.8258(5) γ = 83.971(1) | a = 15.3352(10) α = 90° b = 9.7848(6) β = 119.272(4)° c = 19.6576(9) γ = 90° |
| Volume, Å3 | 1290.34(9) | 2573.0(3) |
| Z | 2 | 4 |
| Density (calculated), g/cm3 | 1.483 | 1.428 |
| Absorption coefficient μ, mm−1 | 1.098 | 1.099 |
| F(000) | 579 | 1068 |
| Θ range for data | 1.15 to 28 | 1.50 to 33.08 |
| Total reflections collected | 22487 | 42357 |
| Independent reflections | 6218 [Rint = 0.0284] | 9309 [Rint = 0.0223] |
| Absorption correction | multi-scan | numerical |
| Data/restraints/parameters | 6218/0/421 | 9309/0/417 |
| Goodness of fit on F2 | 1.042 | 1.010 |
| Final R indices | R1 = 0.0241, wR2 = 0.0543 | R1 = 0.0286, wR2 = 0.0543 |
| all data | R1 = 0.0276, wR2 = 0.0560 | R1 = 0.0368, wR2 = 0.0603 |
| Largest diff. peak and hole, eÅ−3 | 0.53 and −0.34 | 1.91 and −0.72 |
| Structure takes volume, Å3 (%) | 813.46 (63.04) | 1639.12 (63.7) |
Publisher’s Note: MDPI stays neutral with regard to jurisdictional claims in published maps and institutional affiliations. |
© 2022 by the authors. Licensee MDPI, Basel, Switzerland. This article is an open access article distributed under the terms and conditions of the Creative Commons Attribution (CC BY) license (https://creativecommons.org/licenses/by/4.0/).
Share and Cite
Gerasimchuk, N.; Pinks, K.; Salpadoru, T.; Cotton, K.; Michka, O.; Patrauchan, M.A.; Wozniak, K.L. Non-Antibiotic Antimony-Based Antimicrobials. Molecules 2022, 27, 7171. https://doi.org/10.3390/molecules27217171
Gerasimchuk N, Pinks K, Salpadoru T, Cotton K, Michka O, Patrauchan MA, Wozniak KL. Non-Antibiotic Antimony-Based Antimicrobials. Molecules. 2022; 27(21):7171. https://doi.org/10.3390/molecules27217171
Chicago/Turabian StyleGerasimchuk, Nikolay, Kevin Pinks, Tarosha Salpadoru, Kaitlyn Cotton, Olga Michka, Marianna A. Patrauchan, and Karen L. Wozniak. 2022. "Non-Antibiotic Antimony-Based Antimicrobials" Molecules 27, no. 21: 7171. https://doi.org/10.3390/molecules27217171
APA StyleGerasimchuk, N., Pinks, K., Salpadoru, T., Cotton, K., Michka, O., Patrauchan, M. A., & Wozniak, K. L. (2022). Non-Antibiotic Antimony-Based Antimicrobials. Molecules, 27(21), 7171. https://doi.org/10.3390/molecules27217171

