Bioactive Platinum(IV) Complexes Incorporating Halogenated Phenylacetates
Abstract
1. Introduction
2. Results and Discussion
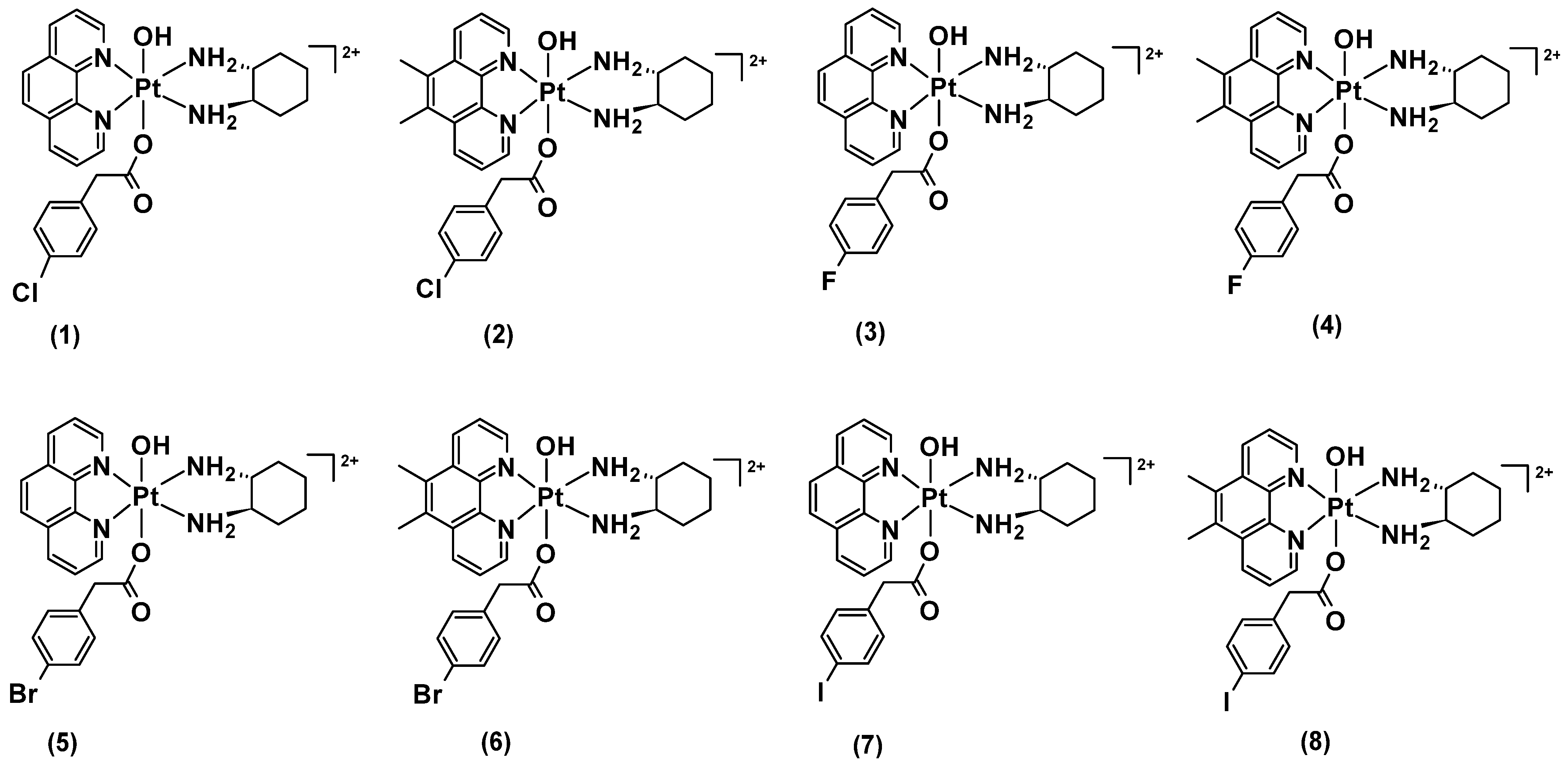
2.1. Synthesis and Characterisaion
2.1.1. H-NMR, 2D-COSY, and 1H−195Pt-HMQC Spectral Assignment
2.1.2. UV and CD Measurements
2.2. Solubility and Stability
2.3. Lipophilicity
2.4. Reduction Experiments
2.5. Growth Inhibition Assays
2.6. ROS Production
3. Materials and Methods
3.1. Instrumentation
3.1.1. Flash Chromatography
3.1.2. High-Performance Liquid Chromatography (HPLC)
3.1.3. Nuclear Magnetic Resonance (NMR) Spectroscopy
3.1.4. Ultraviolet-Visible (UV) Spectroscopy
3.1.5. Circular Dichroism (CD) Spectroscopy
3.1.6. High-Resolution Electrospray Ionization Mass Spectrometry (ESI-MS)
3.2. Chemistry
3.2.1. General Synthesis Route for Precursor Platinum(II) and Platinum(IV) Complexes of Type [PtII(HL)(AL)]2+ and [PtIV(HL)(AL)(OH)2]2+
3.2.2. Synthesis Route for NHS Esters of 4-CPA, 4-FPA, 4-BPA, and 4-IPA
3.2.3. Synthesis Route for Mono-Substituted Platinum(IV) Complexes of Type [PtIV(HL)(AL)(X)(OH)]2+ (1–8)
3.3. Biological Investigations
3.3.1. Cell Growth Assays
3.3.2. ROS Detection Assay
4. Conclusions
5. Patents
Supplementary Materials
Author Contributions
Funding
Institutional Review Board Statement
Informed Consent Statement
Data Availability Statement
Acknowledgments
Conflicts of Interest
Sample Availability
References
- Rosenberg, B.; Van Camp, L.; Krigas, T. Inhibition of cell division in Escherichia coli by electrolysis products from a platinum electrode. Nature 1965, 205, 698–699. [Google Scholar] [CrossRef] [PubMed]
- Rosenberg, B.; VanCamp, L.; Trosko, J.E.; Mansour, V.H. Platinum compounds: A new class of potent antitumour agents. Nature 1969, 222, 385–386. [Google Scholar] [CrossRef] [PubMed]
- Rosenberg, B.; VanCamp, L. The successful regression of large solid sarcoma 180 tumors by platinum compounds. Cancer Res. 1970, 30, 1799–1802. [Google Scholar] [PubMed]
- DeVita, V.T.; Chu, E. A history of cancer chemotherapy. Cancer Res. 2008, 68, 8643–8653. [Google Scholar] [CrossRef]
- Wiltshaw, E. Cisplatin in the treatment of cancer-the first metal anti-tumour drug. Platin. Met. Rev. 1979, 23, 90–98. [Google Scholar]
- Cleare, M.J.; Hoeschele, J.D. Studies on the antitumor activity of group VIII transition metal complexes. Part I. Platinum(II) complexes. Bioinorg. Chem. 1973, 2, 187–210. [Google Scholar] [CrossRef]
- Lebwohl, D.; Canetta, R. Clinical development of platinum complexes in cancer therapy: An historical perspective and an update. Eur. J. Cancer 1998, 34, 1522–1534. [Google Scholar] [CrossRef]
- Siddik, Z.H.; Al-Baker, S.; Thai, G.; Khokhar, A.R. Antitumor activity of isomeric 1,2-diaminocyclohexane platinum(IV) complexes. J. Cancer Res. Clin. Oncol. 1994, 120, 409–414. [Google Scholar] [CrossRef]
- Kelland, L. The resurgence of platinum-based cancer chemotherapy. Nat. Rev. Cancer 2007, 7, 573–584. [Google Scholar] [CrossRef]
- Kelland, L.R.; Sharp, S.Y.; O’Neill, C.F.; Raynaud, F.I.; Beale, P.J.; Judson, I.R. Mini-review: Discovery and development of platinum complexes designed to circumvent cisplatin resistance. J. Inorg. Biochem. 1999, 77, 111–115. [Google Scholar] [CrossRef]
- Johnson, S.W.; Shen, D.W.; Pastan, I.; Gottesman, M.M.; Hamilton, T.C. Cross-resistance, cisplatin accumulation, and platinum–DNA adduct formation and removal in cisplatin-sensitive and -resistant human hepatoma cell lines. Exp. Cell Res. 1996, 226, 133–139. [Google Scholar] [CrossRef]
- Wheate, N.J.; Walker, S.; Craig, G.E.; Oun, R. The status of platinum anticancer drugs in the clinic and in clinical trials. Dalton Trans. 2010, 39, 8113–8127. [Google Scholar] [CrossRef]
- Hartmann, J.T.; Fels, L.M.; Knop, S.; Stolt, H.; Kanz, L.; Bokemeyer, C. A randomized trial comparing the nephrotoxicity of cisplatin/ifosfamide-based combination chemotherapy with or without amifostine in patients with solid tumors. Investig. New Drugs 2000, 18, 281–289. [Google Scholar] [CrossRef]
- Mcgrath, P. It’s okay to say no! A discussion of ethical issues arising from informed consent to chemotherapy. Cancer Nurs. 1995, 18, 97–116. [Google Scholar]
- Brodie, C.R.; Collins, J.G.; Aldrich-Wright, J.R. DNA binding and biological activity of some platinum(II) intercalating compounds containing methyl-substituted 1,10-phenanthrolines. Dalton Trans. 2004, 8, 1145–1152. [Google Scholar] [CrossRef]
- Wheate, N.J.; Taleb, R.I.; Krause-Heuer, A.M.; Cook, R.L.; Wang, S.; Higgins, V.J.; Aldrich-Wright, J.R. Novel platinum(II)-based anticancer complexes and molecular hosts as their drug delivery vehicles. Dalton Trans. 2007, 43, 5055–5064. [Google Scholar] [CrossRef]
- Fisher, D.M.; Bednarski, P.J.; Grünert, R.; Turner, P.; Fenton, R.R.; Aldrich-Wright, J.R. Chiral platinum(II) metallointercalators with potent in vitro cytotoxic activity. Chem. Med. Chem. 2007, 2, 488–495. [Google Scholar] [CrossRef]
- Kemp, S.; Wheate, N.J.; Buck, D.P.; Nikac, M.; Collins, J.G.; Aldrich-Wright, J.R. The effect of ancillary ligand chirality and phenanthroline functional group substitution on the cytotoxicity of platinum(II)-based metallointercalators. J. Inorg. Biochem. 2007, 101, 1049–1058. [Google Scholar] [CrossRef]
- Fisher, D.M.; Fenton, R.; Aldrich-Wright, J. In vivo studies of a platinum(II) metallointercalator. Chem. Commun. 2008, 43, 5613–5615. [Google Scholar]
- Krause-Heuer, A.M.; Grunert, R.; Kuhne, S.; Buczkowska, M.; Wheate, N.J.; Le Pevelen, D.D.; Boag, L.R.; Fisher, D.M.; Kasparkova, J.; Malina, J.; et al. Studies of the mechanism of action of platinum(II) complexes with potent cytotoxicity in human cancer cells. J. Med. Chem. 2009, 52, 5474–5484. [Google Scholar] [CrossRef]
- Aputen, A.; Elias, M.G.; Gilbert, J.; Sakoff, J.A.; Gordon, C.P.; Scott, K.F.; Aldrich-Wright, J.R. Potent chlorambucil-platinum(IV) prodrugs. Int. J. Mol. Sci. 2022, 23, 10471. [Google Scholar] [CrossRef]
- Davis, K.J.; Carrall, J.A.; Lai, B.; Aldrich-Wright, J.R.; Ralph, S.F.; Dillon, C.T. Does cytotoxicity of metallointercalators correlate with cellular uptake or DNA affinity? Dalton Trans. 2012, 41, 9417–9426. [Google Scholar] [CrossRef]
- Garbutcheon-Singh, K.B.; Myers, S.; Harper, B.W.; Ng, N.S.; Dong, Q.; Xie, C.; Aldrich-Wright, J.R. The effects of 56MESS on mitochondrial and cytoskeletal proteins and the cell cycle in MDCK cells. Metallomics 2013, 5, 1061–1067. [Google Scholar]
- Moretto, J.; Chauffert, B.; Ghiringhelli, F.; Aldrich-Wright, J.R.; Bouyer, F. Discrepancy between in vitro and in vivo antitumor effect of a new platinum(II) metallointercalator. Investig. New Drugs 2011, 29, 1164–1176. [Google Scholar]
- Deo, K.M.; Sakoff, J.; Gilbert, J.; Zhang, Y.; Aldrich Wright, J.R. Synthesis, characterisation and influence of lipophilicity on cellular accumulation and cytotoxicity of unconventional platinum(iv) prodrugs as potent anticancer agents. Dalton Trans. 2019, 48, 17228–17240. [Google Scholar]
- Deo, K.M.; Sakoff, J.; Gilbert, J.; Zhang, Y.; Aldrich Wright, J.R. Synthesis, characterisation and potent cytotoxicity of unconventional platinum(iv) complexes with modified lipophilicity. Dalton Trans. 2019, 48, 17217–17227. [Google Scholar]
- Macias, F.J.; Deo, K.M.; Pages, B.J.; Wormell, P.; Clegg, J.K.; Zhang, Y.; Li, F.; Zheng, G.; Sakoff, J.; Gilbert, J.; et al. Synthesis and analysis of the structure, diffusion and cytotoxicity of heterocyclic platinum(iv) complexes. Eur. J. Chem. 2015, 21, 16990–17001. [Google Scholar]
- McGhie, B.S.; Sakoff, J.; Gilbert, J.; Aldrich-Wright, J.R. Synthesis and characterisation of platinum(IV) polypyridyl complexes with halide axial ligands. Inorg. Chim. Acta 2019, 495, 118964–118974. [Google Scholar]
- Khoury, A.; Sakoff, J.A.; Gilbert, J.; Scott, K.F.; Karan, S.; Gordon, C.P.; Aldrich-Wright, J.R. Cyclooxygenase-inhibiting platinum(iv) prodrugs with potent anticancer activity. Pharmaceutics 2022, 14, 787–808. [Google Scholar]
- Petruzzella, E.; Braude, J.P.; Aldrich-Wright, J.R.; Gandin, V.; Gibson, D. A quadruple-action platinum(iv) prodrug with anticancer activity against KRAS mutated cancer cell lines. Angew. Chem. Int. Ed. 2017, 56, 11539–11544. [Google Scholar]
- Basu, U.; Banik, B.; Wen, R.; Pathak, R.K.; Dhar, S. The Platin-X series: Activation, targeting, and delivery. Dalton Trans. 2016, 45, 12992–13004. [Google Scholar] [CrossRef] [PubMed]
- Wong, D.Y.Q.; Ang, W.H. Development of platinum(IV) complexes as anticancer prodrugs: The story so far. COSMOS 2012, 8, 121–135. [Google Scholar] [CrossRef]
- Wexselblatt, E.; Gibson, D. What do we know about the reduction of Pt(IV) pro-drugs? J. Inorg. Biochem. 2012, 117, 220–229. [Google Scholar] [CrossRef] [PubMed]
- Ponte, F.; Russo, N.; Sicilia, E. Insights from computations on the mechanism of reduction by ascorbic acid of PtIV prodrugs with asplatin and its chlorido and bromido analogues as model systems. Eur. J. Chem. 2018, 24, 9572–9580. [Google Scholar] [CrossRef]
- Hall, M.D.; Hambley, T.W. Platinum(IV) antitumour compounds: Their bioinorganic chemistry. Coord. Chem. Rev. 2002, 232, 49–67. [Google Scholar] [CrossRef]
- Bhargava, A.; Vaishampayan, U.N. Satraplatin: Leading the new generation of oral platinum agents. Expert Opin. Investig. Drugs 2009, 18, 1787–1797. [Google Scholar] [CrossRef]
- Ding, X.-J.; Zhang, R.; Liu, R.-P.; Song, X.-Q.; Qiao, X.; Xie, C.-Z.; Zhao, X.-H.; Xu, J.-Y. A class of Pt(IV) triple-prodrugs targeting nucleic acids, thymidylate synthases and histone deacetylases. Inorg. Chem. Front. 2020, 7, 1220–1228. [Google Scholar] [CrossRef]
- Jia, C.; Deacon, G.B.; Zhang, Y.; Gao, C. Platinum(IV) antitumor complexes and their nano-drug delivery. Coord. Chem. Rev. 2021, 429, 213640–213675. [Google Scholar] [CrossRef]
- Raveendran, R.; Braude, J.P.; Wexselblatt, E.; Novohradsky, V.; Stuchlikova, O.; Brabec, V.; Gandin, V.; Gibson, D. Pt(IV) derivatives of cisplatin and oxaliplatin with phenylbutyrate axial ligands are potent cytotoxic agents that act by several mechanisms of action. Chem. Sci. 2016, 7, 2381–2391. [Google Scholar] [CrossRef]
- Wang, M.; Liu, Z.; Huang, X.; Chen, Y.; Wang, Y.; Kong, J.; Yang, Y.; Yu, C.; Li, J.; Wang, X.; et al. Dual-target platinum(IV) complexes exhibit antiproliferative activity through DNA damage and induce ER-stress-mediated apoptosis in A549 cells. Bioorg. Chem. 2021, 110, 104741. [Google Scholar] [CrossRef]
- Paprocka, R.; Wiese-Szadkowska, M.; Janciauskiene, S.; Kosmalski, T.; Kulik, M.; Helmin-Basa, A. Latest developments in metal complexes as anticancer agents. Coord. Chem. Rev. 2022, 452, 214307. [Google Scholar] [CrossRef]
- Ravera, M.; Gabano, E.; McGlinchey, M.J.; Osella, D. Pt(IV) antitumor prodrugs: Dogmas, paradigms, and realities. Dalton Trans. 2022, 51, 2121–2134. [Google Scholar] [CrossRef]
- Yang, J.; Sun, X.; Mao, W.; Sui, M.; Tang, J.; Shen, Y. Conjugate of Pt(IV)-histone deacetylase inhibitor as a prodrug for cancer chemotherapy. Mol. Pharm. 2012, 9, 2793–2800. [Google Scholar] [CrossRef]
- Spector, D.; Krasnovskaya, O.; Pavlov, K.; Erofeev, A.; Gorelkin, P.; Beloglazkina, E.; Majouga, A. Pt(IV) prodrugs with NSAIDs as axial ligands. Int. J. Mol. Sci. 2021, 22, 3817. [Google Scholar] [CrossRef]
- Dhar, S.; Lippard, S.J. Mitaplatin, a potent fusion of cisplatin and the orphan drug dichloroacetate. Proc. Natl. Acad. Sci. USA 2009, 106, 22199–22204. [Google Scholar] [CrossRef]
- Olszewski, U.; Poulsen, T.T.; Ulsperger, E.; Poulsen, H.S.; Geissler, K.; Hamilton, G. In vitro cytotoxicity of combinations of dichloroacetate with anticancer platinum compounds. Clin. Pharmacol. 2010, 2, 177–183. [Google Scholar]
- Zajac, J.; Kostrhunova, H.; Novohradsky, V.; Vrána, O.; Raveendran, R.; Gibson, D.; Kasparkova, J.; Brabec, V. Potentiation of mitochondrial dysfunction in tumor cells by conjugates of metabolic modulator dichloroacetate with a Pt(IV) derivative of oxaliplatin. J. Inorg. Biochem. 2015, 156, 89–97. [Google Scholar] [CrossRef]
- Stakišaitis, D.; Juknevičienė, M.; Damanskienė, E.; Valančiūtė, A.; Balnytė, I.; Alonso, M.M. The importance of gender-related anticancer research on mitochondrial regulator sodium dichloroacetate in preclinical studies in vivo. Cancers 2019, 11, 1210. [Google Scholar] [CrossRef]
- Liang, Y.; Hou, L.; Li, L.; Li, L.; Zhu, L.; Wang, Y.; Huang, X.; Hou, Y.; Zhu, D.; Zou, H.; et al. Dichloroacetate restores colorectal cancer chemosensitivity through the p53/miR-149-3p/PDK2-mediated glucose metabolic pathway. Oncogene 2020, 39, 469–485. [Google Scholar] [CrossRef]
- Tataranni, T.; Piccoli, C. Dichloroacetate (DCA) and cancer: An overview towards clinical applications. Oxid. Med. Cell. Longev. 2019, 2019, 8201079. [Google Scholar] [CrossRef]
- Bell, H.; Parkin, E. Pyruvate dehydrogenase kinase inhibition: Reversing the Warburg effect in cancer therapy. Int. J. Can. Ther. Oncol. 2016, 4, 4215–4227. [Google Scholar] [CrossRef][Green Version]
- Cairns, R.A.; Papandreou, I.; Sutphin, P.D.; Denko, N.C. Metabolic targeting of hypoxia and HIF1 in solid tumors can enhance cytotoxic chemotherapy. Proc. Natl. Acad. Sci. USA 2007, 104, 9445–9450. [Google Scholar] [CrossRef]
- Tong, J.; Xie, G.; He, J.; Li, J.; Pan, F.; Liang, H. Synergistic antitumor effect of dichloroacetate in combination with 5-fluorouracil in colorectal cancer. J. Biomed. Biotechnol. 2011, 2011, 740564. [Google Scholar] [CrossRef]
- Xuan, Y.; Hur, H.; Ham, I.-H.; Yun, J.; Lee, J.-Y.; Shim, W.; Kim, Y.B.; Lee, G.; Han, S.-U.; Cho, Y.K. Dichloroacetate attenuates hypoxia-induced resistance to 5-fluorouracil in gastric cancer through the regulation of glucose metabolism. Exp. Cell Res. 2014, 321, 219–230. [Google Scholar] [CrossRef]
- Montagner, D.; Tolan, D.; Andriollo, E.; Gandin, V.; Marzano, C. A Pt(IV) prodrug combining chlorambucil and cisplatin: A dual-acting weapon for targeting dna in cancer cells. Int. J. Mol. Sci. 2018, 19, 3775. [Google Scholar] [CrossRef]
- Ma, Z.-Y.; Wang, D.-B.; Song, X.-Q.; Wu, Y.-G.; Chen, Q.; Zhao, C.-L.; Li, J.-Y.; Cheng, S.-H.; Xu, J.-Y. Chlorambucil-conjugated platinum(IV) prodrugs to treat triple-negative breast cancer in vitro and in vivo. Eur. J. Med. Chem. 2018, 157, 1292–1299. [Google Scholar] [CrossRef]
- Qin, X.; Fang, L.; Chen, F.; Gou, S. Conjugation of platinum(IV) complexes with chlorambucil to overcome cisplatin resistance via a “joint action” mode toward DNA. Eur. J. Med. Chem. 2017, 137, 167–175. [Google Scholar] [CrossRef]
- Pathak, R.K.; Wen, R.; Kolishetti, N.; Dhar, S. A prodrug of two approved drugs, cisplatin and chlorambucil, for chemo war against cancer. Mol. Cancer Ther. 2017, 16, 625–636. [Google Scholar] [CrossRef]
- Hudgins, W.R.; Shack, S.; Myers, C.E.; Samid, D. Cytostatic activity of phenylacetate and derivatives against tumor cells: Correlation with lipophilicity and inhibition of protein prenylation. Biochem. Pharmacol. 1995, 50, 1273–1279. [Google Scholar] [CrossRef]
- Franco, O.E.; Onishi, T.; Umeda, Y.; Soga, N.; Wakita, T.; Arima, K.; Yanagawa, M.; Sugimura, Y. Phenylacetate inhibits growth and modulates cell cycle gene expression in renal cancer cell lines. Anticancer Res. 2003, 23, 1637–1642. [Google Scholar]
- Kampa, M.; Alexaki, V.-I.; Notas, G.; Nifli, A.-P.; Nistikaki, A.; Hatzoglou, A.; Bakogeorgou, E.; Kouimtzoglou, E.; Blekas, G.; Boskou, D.; et al. Antiproliferative and apoptotic effects of selective phenolic acids on T47D human breast cancer cells: Potential mechanisms of action. Breast Cancer Res. 2003, 6, 63–74. [Google Scholar] [CrossRef] [PubMed]
- Pineau, T.; Hudgins, W.R.; Liu, L.; Chen, L.-C.; Sher, T.; Gonzalez, F.J.; Samid, D. Activation of a human peroxisome proliferator-activated receptor by the antitumor agent phenylacetate and its analogs. Biochem. Pharmacol. 1996, 52, 659–667. [Google Scholar] [CrossRef]
- Sidell, N.; Kirma, N.; Morgan, E.T.; Nair, H.; Tekmal, R.R. Inhibition of estrogen-induced mammary tumor formation in MMTV-aromatase transgenic mice by 4-chlorophenylacetate. Cancer Lett. 2007, 251, 302–310. [Google Scholar] [CrossRef] [PubMed]
- Sawatsri, S.; Samid, D.; Malkapuram, S.; Sidell, N. Inhibition of estrogen-dependent breast cell responses with phenylacetate. Int. J. Cancer 2001, 93, 687–692. [Google Scholar] [CrossRef]
- Sidell, N.; Tanmahasamut, P.; Ewing, D.E.; Hendry, L.B. Transcriptional inhibition of the estrogen response element by antiestrogenic piperidinediones correlates with intercalation into DNA measured by energy calculations. J. Steroid Biochem. Mol. Biol. 2005, 96, 335–345. [Google Scholar] [CrossRef]
- Ariazi, E.A.; Ariazi, J.L.; Cordera, F.; Jordan, V.C. Estrogen receptors as therapeutic targets in breast cancer. Curr. Top. Med. Chem. 2006, 6, 181–202. [Google Scholar] [CrossRef]
- Key, T.; Appleby, P.; Barnes, I.; Reeves, G. Endogenous sex hormones and breast cancer in postmenopausal women: Reanalysis of nine prospective studies. J. Natl. Cancer Inst. 2002, 94, 606–616. [Google Scholar]
- Kirma, N.; Gill, K.; Mandava, U.; Tekmal, R.R. Overexpression of aromatase leads to hyperplasia and changes in the expression of genes involved in apoptosis, cell cycle, growth, and tumor suppressor functions in the mammary glands of transgenic mice. Cancer Res. 2001, 61, 1910–1918. [Google Scholar]
- Nicholson, R.I.; Johnston, S.R. Endocrine therapy–current benefits and limitations. Breast Cancer Res. Treat. 2005, 93, S3–S10. [Google Scholar] [CrossRef]
- Barré, A.; Tintas, M.; Levacher, V.; Papamicael, C.; Vincent, G. An overview of the synthesis of highly versatile N-Hydroxysuccinimide esters. Synthesis 2017, 49, 472–483. [Google Scholar]
- Aputen, A. Novel Platinum(IV) Prodrugs. Master’s Thesis, Western Sydney University, Campbelltown, Australia, 2019. [Google Scholar]
- Petruzzella, E.; Sirota, R.; Solazzo, I.; Gandin, V.; Gibson, D. Triple action Pt(iv) derivatives of cisplatin: A new class of potent anticancer agents that overcome resistance. Chem. Sci. 2018, 9, 4299–4307. [Google Scholar] [CrossRef]
- Harper, B.W.J.; Petruzzella, E.; Sirota, R.; Faccioli, F.F.; Aldrich-Wright, J.R.; Gandin, V.; Gibson, D. Synthesis, characterization and in vitro and in vivo anticancer activity of Pt(iv) derivatives of [Pt(1S,2S-DACH)(5,6-dimethyl-1,10-phenanthroline)]. Dalton Trans. 2017, 46, 7005–7019. [Google Scholar] [CrossRef]
- Pages, B.J.; Li, F.; Wormell, P.; Ang, D.L.; Clegg, J.K.; Kepert, C.J.; Spare, L.K.; Danchaiwijit, S.; Aldrich-Wright, J.R. Synthesis and analysis of the anticancer activity of platinum(II) complexes incorporating dipyridoquinoxaline variants. Dalton Trans. 2014, 43, 15566–15575. [Google Scholar] [CrossRef]
- Garbutcheon-Singh, K.B.; Leverett, P.; Myers, S.; Aldrich-Wright, J.R. Cytotoxic platinum(II) intercalators that incorporate 1R,2R-diaminocyclopentane. Dalton Trans. 2013, 42, 918–926. [Google Scholar] [CrossRef]
- Akash, M.S.H.; Rehman, K. Drug Stability and Chemical Kinetics, 1st ed.; Springer: Singapore, 2020; pp. 1–18. [Google Scholar]
- Savjani, K.T.; Gajjar, A.K.; Savjani, J.K. Drug Solubility: Importance and Enhancement Techniques. ISRN Pharm. 2012, 2012, 195727. [Google Scholar] [CrossRef]
- Lu, J.X.; Tupper, C.; Murray, J. Biochemistry, Dissolution and Solubility; StatPearls Publishing: Tampa, FL, USA, 2020. [Google Scholar]
- Valkó, K.L. Lipophilicity and biomimetic properties measured by HPLC to support drug discovery. J. Pharm. Biomed. 2016, 130, 35–54. [Google Scholar] [CrossRef]
- Klose, M.H.M.; Theiner, S.; Varbanov, H.P.; Hoefer, D.; Pichler, V.; Galanski, M.; Meier-Menches, S.M.; Keppler, B.K. Development and validation of liquid chromatography-based methods to assess the lipophilicity of cytotoxic platinum(iv) complexes. Inorganics 2018, 6, 130. [Google Scholar] [CrossRef]
- Gabano, E.; Ravera, M.; Perin, E.; Zanellato, I.; Rangone, B.; McGlinchey, M.J.; Osella, D. Synthesis and characterization of cyclohexane-1R,2R-diamine-based Pt(IV) dicarboxylato anticancer prodrugs: Their selective activity against human colon cancer cell lines. Dalton Trans. 2019, 48, 435–445. [Google Scholar] [CrossRef]
- Valkó, K. Application of high-performance liquid chromatography based measurements of lipophilicity to model biological distribution. J. Chromatogr. A 2004, 1037, 299–310. [Google Scholar] [CrossRef]
- Chen, C.K.J.; Gui, X.; Kappen, P.; Renfrew, A.K.; Hambley, T.W. The effect of charge on the uptake and resistance to reduction of platinum(IV) complexes in human serum and whole blood models. Metallomics 2020, 12, 1599–1615. [Google Scholar] [CrossRef]
- Chen, C.K.J.; Kappen, P.; Gibson, D.; Hambley, T.W. trans-Platinum(iv) pro-drugs that exhibit unusual resistance to reduction by endogenous reductants and blood serum but are rapidly activated inside cells: 1H NMR and XANES spectroscopy study. Dalton Trans. 2020, 49, 7722–7736. [Google Scholar] [CrossRef]
- Chen, C.K.J.; Kappen, P.; Hambley, T.W. The reduction of cis-platinum(IV) complexes by ascorbate and in whole human blood models using 1H NMR and XANES spectroscopy. Metallomics 2019, 11, 686–695. [Google Scholar] [CrossRef]
- Ramirez, V.; Cruz, M.; Hernández Ayala, L.F.; Reyes-Vidal, Y.; Patakfalvi, R.; García-Ramos, J.C.; Tenorio, F.; Ruiz-Azuara, L.; Ortiz-Frade, L. The role of the π acceptor character of polypyridine ligands on the electrochemical response of Co(II) complexes and its effect on the homogenous electron transfer rate constant with the enzyme glucose oxidase. J. Mex. Chem. Soc. 2015, 59, 282–293. [Google Scholar]
- Perillo, B.; Di Donato, M.; Pezone, A.; Di Zazzo, E.; Giovannelli, P.; Galasso, G.; Castoria, G.; Migliaccio, A. ROS in cancer therapy: The bright side of the moon. Exp. Mol. Med. 2020, 52, 192–203. [Google Scholar] [CrossRef]
- Srinivas, U.S.; Tan, B.W.Q.; Vellayappan, B.A.; Jeyasekharan, A.D. ROS and the DNA damage response in cancer. Redox Biol. 2019, 25, 101084–101092. [Google Scholar] [CrossRef]
- Shokolenko, I.; Venediktova, N.; Bochkareva, A.; Wilson, G.L.; Alexeyev, M.F. Oxidative stress induces degradation of mitochondrial DNA. Nucleic Acids Res. 2009, 37, 2539–2548. [Google Scholar] [CrossRef]
- Tarleton, M.; Gilbert, J.; Robertson, M.J.; McCluskey, A.; Sakoff, J.A. Library synthesis and cytotoxicity of a family of 2-phenylacrylonitriles and discovery of an estrogen dependent breast cancer lead compound. Med. Chem. Comm. 2011, 2, 31–37. [Google Scholar] [CrossRef]
- Fayad, C.; Audi, H.; Khnayzer, R.S.; Daher, C.F. The anti-cancer effect of series of strained photoactivatable Ru(II) polypyridyl complexes on non-small-cell lung cancer and triple negative breast cancer cells. J. Biol. Inorg. Chem. 2020, 26, 43–55. [Google Scholar] [CrossRef]
- Elias, M.G.; Mehanna, S.; Elias, E.; Khnayzer, R.S.; Daher, C.F. A photoactivatable chemotherapeutic Ru(II) complex bearing bathocuproine ligand efficiently induces cell death in human malignant melanoma cells through a multi-mechanistic pathway. Chem. Biol. Interact. 2021, 348, 109644. [Google Scholar] [CrossRef]
- Mehanna, S.; Mansour, N.; Daher, C.F.; Elias, M.G.; Dagher, C.; Khnayzer, R.S. Drug-free phototherapy of superficial tumors: White light at the end of the tunnel. J. Photochem. Photobiol. B 2021, 224, 112324. [Google Scholar] [CrossRef]



















| Platinum(IV) Complexes | Yields (%) | TR (min) | HPLC Peak Areas (%) | Mass-to-Charge Ratios (m/z) | |
|---|---|---|---|---|---|
| Calc. | Exp. | ||||
| 1 | 96.0 | 6.60 | 97 | 674.15 | 675.15 | 
| 2 | 94.0 | 7.37 | 98 | 702.18 | 703.18 | 
| 3 | 86.0 | 6.33 | 99 | 658.18 | 658.18 | 
| 4 | 85.0 | 6.83 | 99 | 686.21 | 686.21 | 
| 5 | 78.0 | 6.82 | 99 | 718.10 | 719.10 | 
| 6 | 72.0 | 7.46 | 99 | 746.13 | 747.13 | 
| 7 | 78.0 | 6.84 | 99 | 766.08 | 766.08 | 
| 8 | 76.0 | 7.62 | 99 | 794.12 | 794.12 | 
| Labels | 1 | 2 | 3 | 4 | 5 | 6 | 7 | 8 | 
|---|---|---|---|---|---|---|---|---|
| H2 | 9.22 (d, 1H, J = 5.6 Hz) | 9.13 (m, 4H) (overlapping signals from H2, H9, H4, and H7) | 9.21 (d, 1H, J = 5.6 Hz) | 9.11 (m, 4H) (overlapping signals from H2, H9, H4, and H7) | 9.22 (d, 1H, J = 5.5 Hz) | 9.12 (m, 4H) (overlapping signals from H2, H9, H4, and H7) | 9.20 (d, 1H, J = 5.6 Hz) | 9.13 (m, 4H) (overlapping signals from H2, H9, H4, and H7) | 
| H9 | 9.17 (d, 1H, J = 5.5 Hz) | 9.18 (d, 1H, J = 5.6 Hz) | 9.17 (d, 1H, J = 5.5 Hz) | 9.17 (d, 1H, J = 5.5 Hz) | ||||
| H4 | 9.03 (t, 2H, J = 7.9 Hz) | 9.02 (t, 2H, J = 7.5 Hz) | 9.04 (t, 2H, J = 8.6 Hz) | 9.06 (q, 2H, J = 8.4 Hz) | ||||
| H7 | ||||||||
| H5 | 8.32 (s, 2H) | - | 8.27 (s, 2H) | - | 8.34 (q, 2H, J = 9 Hz) | - | 8.39 (q, 2H, J = 8.9 Hz) | - | 
| H6 | ||||||||
| H3 | 8.20 (m, 2H) | 8.18 (m, 2H) | 8.21 (m, 2H) | 8.17 (m, 2H) | 8.20 (m, 2H) | 8.17 (m, 2H) | 8.20 (m, 2H) | 8.17 (m, 2H) | 
| H8 | ||||||||
| a and b | 6.53 (d, 2H, J = 8.3 Hz) | 6.48 (d, 2H, J = 8.4 Hz) | 6.35 (m, 4H) (overlapping signals from a and b, and c and d because of F electronegativity) | 6.23 (m, 4H) (overlapping signals from a and b, and c and d because of F electronegativity) | 6.68 (d, 2H, J = 8.3 Hz) | 6.63 (d, 2H, J = 8.2 Hz) | 6.88 (d, 2H, J = 8.2 Hz) | 6.85 (d, 2H, J = 8.1 Hz) | 
| c and d | 6.28 (d, 2H, J = 8.3 Hz) | 6.21 (d, 2H, J = 8.4 Hz) | 6.21 (d, 2H, J = 8.4 Hz) | 6.16 (d, 2H, J = 8.2 Hz) | 6.08 (d, 2H, J = 8.2 Hz) | 6.04 (d, 2H, J = 8.1 Hz) | ||
| 2 × CH3 (5, 6 positions) | - | 2.86 (d, 6H, J = 5.1 Hz) | - | 2.82 (d, 6H, J = 1.6 Hz) | - | 2.87 (d, 6H, J = 6.2 Hz) | - | 2.91 (d, 6H, J = 7.8 Hz) | 
| H1′ and H2′; e | 3.13 (m, 4H) | 3.10 (m, 4H) | 3.13 (m, 4H) | 3.09 (m, 4H) | 3.10 (m, 4H) | 3.09 (m, 4H) | 3.11 (m, 4H) | 3.07 (m, 4H) | 
| H3′ and H6′ eq. | 2.38 (d, 2H) | 2.37 (m, 2H) | 2.37 (d, 2H) | 2.38 (d, 2H) | 2.38 (d, 2H) | 2.38 (d, 2H) | 2.38 (d, 2H) | 2.38 (d, 2H) | 
| H4′ and H5′ eq.; H3′ and H6′ ax. | 1.68 (m, 4H) | 1.67 (d, 4H) | 1.67 (m, 4H) | 1.66 (d, 4H) | 1.69 (m, 4H) | 1.66 (m, 4H) | 1.69 (m, 4H) | 1.66 (m, 4H) | 
| H4′ and H5′ ax. | 1.27 (m, 2H) | 1.27 (m, 2H) | 1.26 (m, 2H) | 1.29 (m, 2H) | 1.27 (m, 2H) | 1.28 (m, 2H) | 1.28 (m, 2H) | 1.29 (m, 2H) | 
| 1H/195Pt | 9.22, 9.17, 8.20, 3.13/523 | 9.13, 8.18, 3.10/531 | 9.21, 9.18, 8.21, 3.13/540 | 9.11, 8.17, 3.09/528 | 9.22, 9.17, 8.20/540 | 9.12, 8.17/528 | 9.20, 8.39, 3.11/540 | 9.13, 8.17/530 | 
| 19F | - | - | −116 (m) | −116 (m) | - | - | - | - | 
| Platinum(IV) Complexes | UV/λmax nm (ε/M·cm−1 ± SD × 104) | CD/λmax nm (Δε/M·cm−1 × 101) | 
|---|---|---|
| 1 | 279 (4.50 ± 0.88), 304 (1.27 ± 0.70) | 261 (−69.2), 288 (+67.7) | 
| 2 | 239 (1.98 ± 1.83), 287 (1.95 ± 1.85), 317 (0.85 ± 0.85) | 204 (−517), 215 (−351), 218 (−392), 234 (−46.1), 247 (−147), 296 (+78.9) | 
| 3 | 204 (6.88 ± 1.28), 279 (2.55 ± 1.21) | 204 (−688), 237 (−169), 268 (−72.7) | 
| 4 | 248 (2.66 ± 1.19), 293 (3.30 ± 0.33), 317 (1.34 ± 2.49) | 204 (−414), 233 (−9.58), 260 (−8.22), 346 (+71.4) | 
| 5 | 279 (2.77 ± 0.97), 307 (0.74 ± 0.89) | 205 (−486), 253 (+7.35), 289 (+83.3) | 
| 6 | 248 (1.76 ± 2.06), 291 (2.39 ± 0.31), 317 (0.66 ± 3.22) | 206 (−522), 218 (−332), 238 (−79.9), 246 (−128), 259 (−36.3), 280 (−14.7) | 
| 7 | 280 (3.19 ± 0.54), 306 (0.92 ± 0.82) | 202 (−565), 217 (−290), 232 (−188), 238 (−248), 270 (−7.91) | 
| 8 | 230 (5.29 ± 1.72), 290 (2.76 ± 0.99), 317 (0.76 ± 0.88) | 206 (−558), 237 (−94), 246 (−193), 276 (−28.9) | 
| Complexes (HL = phen) | Axial Ligands | Solubility | Complexes (HL = 5,6-Me2phen) | Axial Ligands | Solubility | ||
|---|---|---|---|---|---|---|---|
| mol/L | mg/mL | mol/L | mg/mL | ||||
| 1 | 4-CPA | 7.7 × 10−3 | 6.2 | 2 | 4-CPA | 3.1 × 10−2 | 26 | 
| 3 | 4-FPA | 2.1 × 10−2 | 17 | 4 | 4-FPA | 4.1 × 10−2 | 34 | 
| 5 | 4-BPA | 6.1 × 10−3 | 5.1 | 6 | 4-BPA | 7.3 × 10−3 | 6.4 | 
| 7 | 4-IPA | 6.2 × 10−3 | 5.5 | 8 | 4-IPA | 6.9 × 10−3 | 6.4 | 
| Complexes (HL = phen) | Axial Ligands | log kw | Complexes (HL = 5,6-Me2phen) | Axial Ligands | log kw | 
|---|---|---|---|---|---|
| 1 | 4-CPA | 0.75 | 2 | 4-CPA | 0.94 | 
| 3 | 4-FPA | 0.25 | 4 | 4-FPA | 0.80 | 
| 5 | 4-BPA | 0.87 | 6 | 4-BPA | 1.07 | 
| 7 | 4-IPA | 0.90 | 8 | 4-IPA | 1.19 | 
| Platinum(IV) Complexes | T50% (min) | 
|---|---|
| 1 | 15–20 | 
| 2 | 20–25 | 
| 3 | 5–10 | 
| 4 | 20–25 | 
| 5 | 15–20 | 
| 6 | 30 | 
| 7 | 30 | 
| 8 | 5–10 | 
| GI50 Values (nM) | |||||||||||||
|---|---|---|---|---|---|---|---|---|---|---|---|---|---|
| Platinum(IV) Prodrugs | HT29 | U87 | MCF-7 | A2780 | H460 | A431 | Du145 | BE2-C | SJ-G2 | MIA | MCF10A | ADDP | Average GI50 | 
| 1 | 150 ± 64 | 740 ± 230 | 860 ± 180 | 280 ± 67 | 380 ± 81 | 560 ± 73 | 140 ± 43 | 490 ± 93 | 420 ± 92 | 270 ± 42 | 290 ± 90 | 290 ± 50 | 406 ± 90 | 
| 2 | 22 ± 9.2 | 79 ± 30 | 180 ± 77 | 43 ± 10 | 200 ± 170 | 41 ± 8 | 33 ± 21 | 110 ± 18 | 100 ± 45 | 28 ± 5.5 | 35 ± 7.8 | 26 ± 4.5 | 75 ± 30 | 
| 3 | 210 ± 30 | 1000 ± 150 | 740 ± 60 | 340 ± 70 | 320 ± 30 | 450 ± 60 | 100 ± 17 | 810 ± 200 | 337 ± 60 | 230 ± 30 | 320 ± 10 | 250 ± 10 | 426 ± 60 | 
| 4 | 6 ± 2 | 37 ± 5 | 23 ± 5 | 20 ± 4 | 10 ± 3 | 14 ± 2 | 0.7 ± 0.4 | 110 ± 20 | 30 ± 8 | 5 ± 2 | 11 ± 3 | 6 ± 2 | 23 ± 4 | 
| 5 | 190 ± 20 | 1100 ± 230 | 850 ± 240 | 380 ± 50 | 320 ± 20 | 450 ± 10 | 110 ± 11 | 960 ± 120 | 350 ± 20 | 200 ± 20 | 320 ± 20 | 250 ± 20 | 457 ± 70 | 
| 6 | 7 ± 2 | 35 ± 5 | 21 ± 5 | 20 ± 3 | 10 ± 2 | 19 ± 0.9 | 1 ± 0.6 | 100 ± 20 | 23 ± 5 | 7 ± 2 | 10 ± 2 | 6 ± 2 | 22 ± 4 | 
| 7 | 220 ± 33 | 1010 ± 95 | 490 ± 134 | 280 ± 42 | 380 ± 59 | 500 ± 180 | 110 ± 25 | 680 ± 38 | 590 ± 23 | 360 ± 40 | 280 ± 30 | 280 ± 24 | 432 ± 60 | 
| 8 | 178 ± 31 | 900 ± 58 | 420 ± 62 | 260 ± 45 | 390 ± 33 | 430 ± 160 | 100 ± 21 | 650 ± 81 | 520 ± 29 | 300 ± 55 | 260 ± 22 | 230 ± 15 | 387 ± 50 | 
| Platinum(II) Precursors | |||||||||||||
| PHENSS | 160 ± 45 | 980 ± 270 | 1500 ± 500 | 230 ± 30 | 360 ± 35 | 480 ± 170 | 100 ± 38 | 380 ± 46 | 330 ± 66 | 200 ± 57 | 300 ± 58 | 190 ± 47 | 434 ± 110 | 
| 56MESS | 10 ± 1.6 | 35 ± 6.4 | 93 ± 44 | 76 ± 57 | 21 ± 2 | 29 ± 1 | 4.6 ± 0.4 | 59 ± 4 | 66 ± 22 | 13 ± 2 | 16 ± 1 | 13 ± 2 | 36 ± 10 | 
| Platinum(IV) Precursors | |||||||||||||
| PHENSS(IV)(OH)2 | 710 ± 300 | 4900 ± 610 | 16,000 ± 4500 | 800 ± 84 | 1700 ± 200 | 4300 ± 530 | 310 ± 92 | 3000 ± 530 | 1700 ± 350 | 3400 ± 2200 | 1700 ± 200 | 1300 ± 350 | 3318 ± 880 | 
| 56MESS(IV)(OH)2 | 36 ± 7 | 190 ± 23 | 480 ± 140 | 59 ± 7 | 190 ± 150 | 120 ± 22 | 15 ± 2.6 | 240 ± 22 | 210 ± 45 | 43 ± 2.5 | 61 ± 7 | 170 ± 120 | 151 ± 50 | 
| FDA-approved Chemotherapeutics | |||||||||||||
| Cisplatin | 11,300 ± 1900 | 3800 ± 1100 | 6500 ± 800 | 1000 ± 100 | 900 ± 200 | 2400 ± 300 | 1200 ± 100 | 1900 ± 200 | 400 ± 100 | 7500 ± 1300 | 5200 ± 520 | 28,000 ± 1600 | 5842 ± 610 | 
| Oxaliplatin | 900 ± 200 | 1800 ± 200 | 500 ± 100 | 160 ± 100 | 1600 ± 100 | 4100 ± 500 | 2900 ± 400 | 900 ± 200 | 3000 ± 1200 | 900 ± 200 | nd | 800 ± 100 | 1463 ± 320 | 
| Carboplatin | >50,000 | >50,000 | >50,000 | 9200 ± 2900 | 14,000 ± 1000 | 24,000 ± 2200 | 15,000 ± 1200 | 19,000 ± 1200 | 5700 ± 200 | >50,000 | >50,000 | >50,000 | 32,242 ± 1450 | 
| Halogenated PAA Derivatives (Axial Ligands) | |||||||||||||
| 4-CPA | >50,000 | >50,000 | >50,000 | >50,000 | >50,000 | >50,000 | >50,000 | >50,000 | >50,000 | >50,000 | >50,000 | >50,000 | >50,000 | 
| 4-FPA | >50,000 | >50,000 | >50,000 | >50,000 | >50,000 | >50,000 | >50,000 | >50,000 | >50,000 | >50,000 | >50,000 | >50,000 | >50,000 | 
| 4-BPA | >50,000 | >50,000 | >50,000 | >50,000 | >50,000 | >50,000 | >50,000 | >50,000 | >50,000 | >50,000 | >50,000 | >50,000 | >50,000 | 
| 4-IPA | >50,000 | >50,000 | >50,000 | >50,000 | >50,000 | >50,000 | >50,000 | >50,000 | >50,000 | >50,000 | >50,000 | >50,000 | >50,000 | 
| Compounds | ROS Production in Different Time Intervals (RFU) | ||
|---|---|---|---|
| 24 h | 48 h | 72 h | |
| Control | 60 ± 5 | 81 ± 4 | 97 ± 9 | 
| Cisplatin | 221 ± 10 | 280 ± 12 | 318 ± 9 | 
| TBHP | 514 ± 3 | 336 ± 2 | 332 ± 5 | 
| PHENSS | 174 ± 2 | 172 ± 9 | 176 ± 7 | 
| 56MESS | 240 ± 5 | 218 ± 3 | 255 ± 4 | 
| PHENSS(IV)(OH)2 | 144 ± 5 | 273 ± 4 | 303 ± 1 | 
| 56MESS(IV)(OH)2 | 259 ± 3 | 356 ± 11 | 438 ± 7 | 
| 4-CPA | 167 ± 13.2 | 207 ± 14.5 | 233 ± 10.4 | 
| 1 | 272 ± 9 | 368 ± 19 | 409 ± 11 | 
| 2 | 358 ± 21 | 508 ± 16 | 564 ± 10 | 
| 4-FPA | 197 ± 8 | 224 ± 11 | 236 ± 6 | 
| 3 | 305 ± 28 | 409 ± 22 | 558 ± 13 | 
| 4 | 579 ± 18 | 681 ± 17 | 738 ± 15 | 
| 4-BPA | 172 ± 9 | 198 ± 10 | 222 ± 13 | 
| 5 | 281 ± 16 | 399 ± 12 | 478 ± 9 | 
| 6 | 496 ± 14 | 598 ± 14 | 643 ± 14 | 
| 4-IPA | 137 ± 7 | 182 ± 12 | 206 ± 9 | 
| 7 | 211 ± 9.1 | 281 ± 12 | 322 ± 17 | 
| 8 | 345 ± 19.3 | 406 ± 14 | 466 ± 13 | 
| Publisher’s Note: MDPI stays neutral with regard to jurisdictional claims in published maps and institutional affiliations. | 
© 2022 by the authors. Licensee MDPI, Basel, Switzerland. This article is an open access article distributed under the terms and conditions of the Creative Commons Attribution (CC BY) license (https://creativecommons.org/licenses/by/4.0/).
Share and Cite
Aputen, A.D.; Elias, M.G.; Gilbert, J.; Sakoff, J.A.; Gordon, C.P.; Scott, K.F.; Aldrich-Wright, J.R. Bioactive Platinum(IV) Complexes Incorporating Halogenated Phenylacetates. Molecules 2022, 27, 7120. https://doi.org/10.3390/molecules27207120
Aputen AD, Elias MG, Gilbert J, Sakoff JA, Gordon CP, Scott KF, Aldrich-Wright JR. Bioactive Platinum(IV) Complexes Incorporating Halogenated Phenylacetates. Molecules. 2022; 27(20):7120. https://doi.org/10.3390/molecules27207120
Chicago/Turabian StyleAputen, Angelico D., Maria George Elias, Jayne Gilbert, Jennette A. Sakoff, Christopher P. Gordon, Kieran F. Scott, and Janice R. Aldrich-Wright. 2022. "Bioactive Platinum(IV) Complexes Incorporating Halogenated Phenylacetates" Molecules 27, no. 20: 7120. https://doi.org/10.3390/molecules27207120
APA StyleAputen, A. D., Elias, M. G., Gilbert, J., Sakoff, J. A., Gordon, C. P., Scott, K. F., & Aldrich-Wright, J. R. (2022). Bioactive Platinum(IV) Complexes Incorporating Halogenated Phenylacetates. Molecules, 27(20), 7120. https://doi.org/10.3390/molecules27207120
 
        



 
       