Peptides as Potentially Anticarcinogenic Agent from Functional Canned Meat Product with Willow Extract
Abstract
1. Introduction
2. Materials and Methods
2.1. Preparation of Epilobium angustifolium L. extract and Lyophilization
2.2. Preparation of Canned Pork Meat
2.3. Extraction and Spectrometric Identification of Peptides
2.4. Sample Extraction and Gastrointestinal Digestion
2.5. Anticancer Activity Prediction—In Silico Study
2.6. Antiproliferative Activity Prediction—In Vitro Study
2.6.1. Cell Lines and Culture Conditions
2.6.2. MTT Assay
2.6.3. Statistical Analysis
3. Results
3.1. Spectrometric Identification and In Silico Prediction of Potentially Anticancer Properties
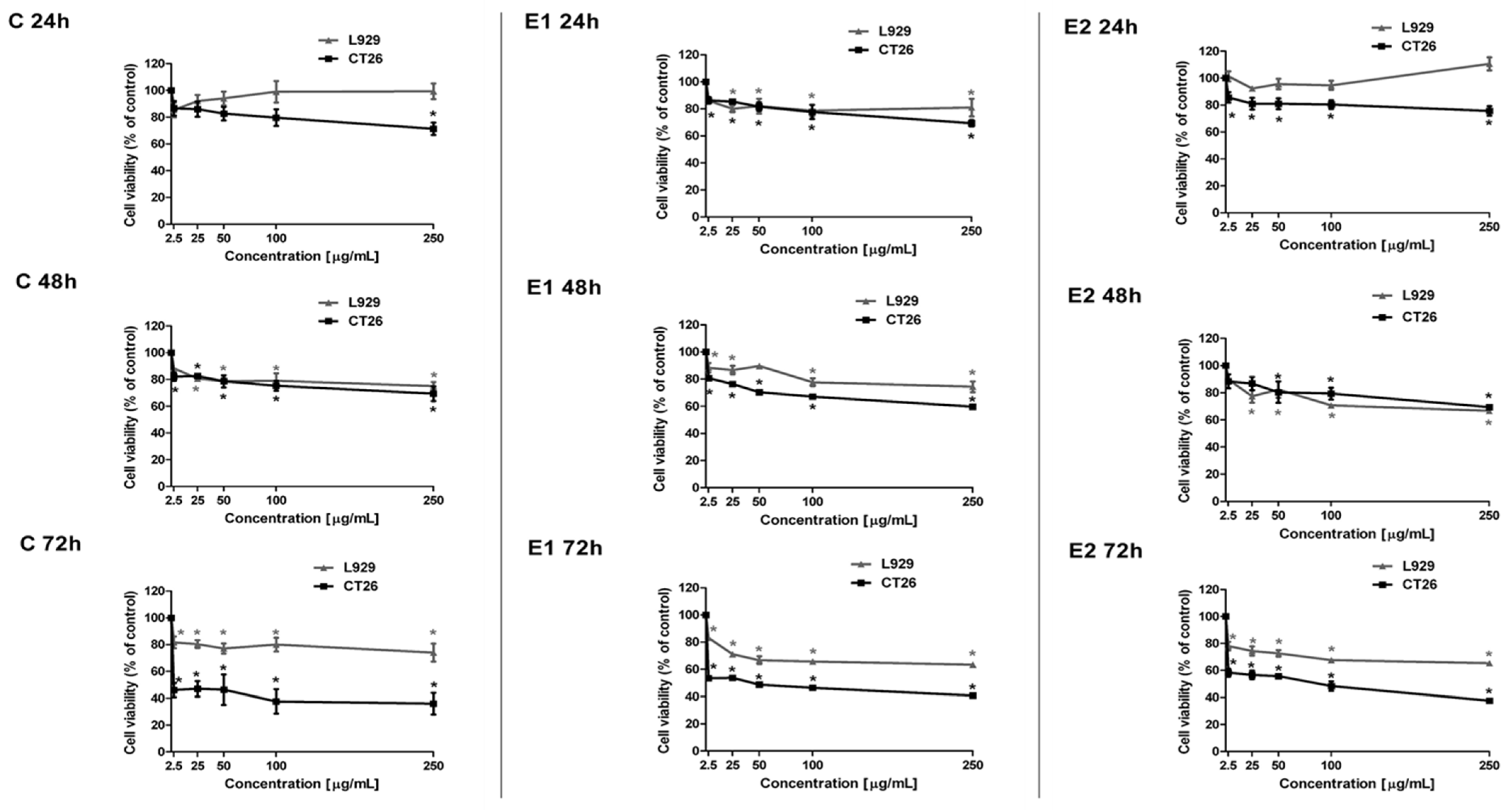
3.2. In Vitro Prediction of Antiproliferation Properties
4. Discussion
4.1. Spectrometric Identification and In Silico Prediction of Potentially Anticancer Properties
4.2. In Vitro Prediction of Antiproliferation Properties
5. Conclusions
Author Contributions
Funding
Institutional Review Board Statement
Informed Consent Statement
Conflicts of Interest
References
- International Agency for Research on Cancer. Available online: https://www.iarc.who.int/ (accessed on 1 December 2021).
- World Cancer Research Fund. Available online: https://www.wcrf.org/ (accessed on 1 December 2021).
- Huang, Y.; Cao, D.; Chen, Z.; Chen, B.; Li, J.; Guo, J.; Dong, Q.; Liu, L.; Wei, Q. Red and processed meat consumption and cancer outcomes: Umbrella review. Food Chem. 2021, 356, 129697. [Google Scholar] [CrossRef] [PubMed]
- Singh, P.; Fraser, G.E. Dietary Risk Factors for Colon Cancer in a Low-risk Population. Am. J. Epidemiol. 1998, 148, 761–774. [Google Scholar] [CrossRef] [PubMed]
- English, D.R.; MacInnis, R.J.; Hodge, A.M.; Hopper, J.L.; Haydon, A.M.; Giles, G.G. Red meat, chicken, and fish consumption andrisk of colorectal cancer. Cancer Epidemiol. Biomark. Prev. 2004, 13, 1509–1514. [Google Scholar] [CrossRef]
- Norat, T.; Bingham, S.; Ferrari, P.; Slimani, N.; Jenab, M.; Mazuir, M.; Overvad, K.; Olsen, A.; Tjønneland, A.; Clavel, F.; et al. Meat, Fish, and Colorectal Cancer Risk: The European Prospective Investigation into Cancer and Nutrition. J. Natl. Cancer Inst. 2005, 97, 906–916. [Google Scholar] [CrossRef] [PubMed]
- Ferysiuk, K.; Wójciak, K.M. The Possibility of Reduction of Synthetic Preservative E 250 in Canned Pork. Foods 2020, 9, 1869. [Google Scholar] [CrossRef]
- Ferysiuk, K.; Wójciak, K.M.; Trząskowska, M. Fortification of low-nitrite canned pork with willow herb (Epilobium angustifolium L.). Int. J. Food Sci. Technol. 2022, 57, 4194–4210. [Google Scholar] [CrossRef]
- Ferysiuk, K.; Wójciak, K.M.; Kęska, P. Effect of willow herb (Epilobium angustifolium L.) extract addition to canned meat with reduced amount of nitrite on the antioxidant and other activities of peptides. Food Funct. 2022, 13, 3526–3539. [Google Scholar] [CrossRef]
- Wu, M.-L.; Li, H.; Yu, L.-J.; Chen, X.-Y.; Kong, Q.-Y.; Song, X.; Shu, X.-H.; Liu, J. Short-Term Resveratrol Exposure Causes In Vitro and In Vivo Growth Inhibition and Apoptosis of Bladder Cancer Cells. PLoS ONE 2014, 9, e89806. [Google Scholar] [CrossRef]
- Beaulieu, L.; Thibodeau, J.; Bonnet, C.; Bryl, P.; Carbonneau, M.-E. Evidence of Anti-Proliferative Activities in Blue Mussel (Mytilus edulis) By-Products. Mar. Drugs 2013, 11, 975–990. [Google Scholar] [CrossRef]
- Kannan, A.; Hettiarachchy, N.S.; Lay, J.O.; Liyanage, R. Human cancer cell proliferation inhibition by a pentapeptide isolated and characterized from rice bran. Peptides 2010, 31, 1629–1634. [Google Scholar] [CrossRef]
- E Kim, S.; Kim, H.H.; Kim, J.Y.; Kang, Y.I.; Woo, H.J.; Lee, H.J. Anticancer activity of hydrophobic peptides from soy proteins. BioFactors 2000, 12, 151–155. [Google Scholar] [CrossRef] [PubMed]
- Picot, L.; Bordenave, S.; Didelot, S.; Fruitier-Arnaudin, I.; Sannier, F.; Thorkelsson, G.; Bergé, J.; Guérard, F.; Chabeaud, A.; Piot, J. Antiproliferative activity of fish protein hydrolysates on human breast cancer cell lines. Process Biochem. 2006, 41, 1217–1222. [Google Scholar] [CrossRef]
- Sheih, I.-C.; Fang, T.J.; Wu, T.-K.; Lin, P.-H. Anticancer and Antioxidant Activities of the Peptide Fraction from Algae Protein Waste. J. Agric. Food Chem. 2009, 58, 1202–1207. [Google Scholar] [CrossRef] [PubMed]
- Xue, Z.; Yu, W.; Wu, M.; Wang, J. In Vivo Antitumor and Antioxidative Effects of a Rapeseed Meal Protein Hydrolysate on an S180 Tumor-Bearing Murine Model. Biosci. Biotechnol. Biochem. 2009, 73, 2412–2415. [Google Scholar] [CrossRef] [PubMed]
- Xue, M.; Ge, Y.; Zhang, J.; Wang, Q.; Hou, L.; Liu, Y.; Sun, L.; Li, Q. Anticancer Properties and Mechanisms of Fucoidan on Mouse Breast Cancer In Vitro and In Vivo. PLoS ONE 2012, 7, e43483. [Google Scholar] [CrossRef] [PubMed]
- Yamaguchi, M.; Takeuchi, M.; Ebihara, K. Inhibitory effect of peptide prepared from corn gluten meal on 7,12-dimethylbenz[a]anthracene-induced mammary tumor progression in rats. Nutr. Res. 1997, 17, 1121–1130. [Google Scholar] [CrossRef]
- Sedighi, M.; Jalili, H.; Ranaei-Siadat, S.-O.; Amrane, A. Potential Health Effects of Enzymatic Protein Hydrolysates from Chlorella vulgaris. Appl. Food Biotnol. 2016, 3, 160–169. [Google Scholar] [CrossRef]
- Sadeghi, S.; Jalili, H.; RanaeiSiadat, S.O.; Sedighi, M. Anticancer and antibacterial properties in peptide fractions from hydrolyzed spirulina protein. J. Agric. Sci. Technol. 2018, 20, 673–683. [Google Scholar]
- Sharma, P.; Kaur, H.; Kehinde, B.A.; Chhikara, N.; Sharma, D.; Panghal, A. Food-Derived Anticancer Peptides: A Review. Int. J. Pept. Res. Ther. 2021, 27, 55–70. [Google Scholar] [CrossRef]
- Sah, B.N.P.; Vasiljevic, T.; McKechnie, S.; Donkor, O.N. Identification of Anticancer Peptides from Bovine Milk Proteins and Their Potential Roles in Management of Cancer: A Critical Review. Compr. Rev. Food Sci. Food Saf. 2015, 14, 123–138. [Google Scholar] [CrossRef]
- Nwachukwu, I.D.; Aluko, R.E. Anticancer and antiproliferative properties of food-derived protein hydrolysates and peptides. J. Food Bioact. 2019, 7. [Google Scholar] [CrossRef][Green Version]
- Deslouches, B.; Di, Y.P. Antimicrobial peptides with selective antitumor mechanisms: Prospect for anticancer applications. Oncotarget 2017, 8, 46635–46651. [Google Scholar] [CrossRef] [PubMed]
- Montalvo, G.E.B.; Vandenberghe, L.P.D.S.; Soccol, V.T.; Carvalho, J.C.D.; Soccol, C.R. The antihypertensive, antimicrobial and anticancer peptides from Arthrospira with therapeutic potentially: A mini review. Curr. Mol. Med. 2020, 20, 593–606. [Google Scholar] [CrossRef]
- Escudero, E.; Mora, L.; Toldrá, F. Stability of ACE inhibitory ham peptides against heat treatment and in vitro digestion. Food Chem. 2014, 161, 305–311. [Google Scholar] [CrossRef] [PubMed]
- Mosmann, T. Rapid colorimetric assay for cellular growth and survival: Application to proliferation and cytotoxicity assays. J. Immunol. Methods 1983, 65, 55–63. [Google Scholar] [CrossRef]
- van de Loosdrecht, A.; Beelen, R.; Ossenkoppele, G.; Broekhoven, M.; Langenhuijsen, M. A tetrazolium-based colorimetric MTT assay to quantitate human monocyte mediated cytotoxicity against leukemic cells from cell lines and patients with acute myeloid leukemia. J. Immunol. Methods 1994, 174, 311–320. [Google Scholar] [CrossRef]
- Chi, C.; Hu, F.; Wang, B.; Li, T.; Ding, G. Antioxidant and anticancer peptides from the protein hydrolysate of blood clam (Tegillarcagranosa) muscle. J. Func. Foods 2015, 15, 301–313. [Google Scholar] [CrossRef]
- Huang, K.-Y.; Tseng, Y.-J.; Kao, H.-J.; Chen, C.-H.; Yang, H.-H.; Weng, S.-L. Identification of subtypes of anticancer peptides based on sequential features and physicochemical properties. Sci. Rep. 2021, 11, 13594. [Google Scholar] [CrossRef]
- Song, R.; Wei, R.B.; Luo, H.Y.; Yang, Z.S. Isolation and identification of an antiproliferative peptide derived from heated products of peptic hydrolysates of half-fin anchovy (Setipinnataty). J. Func. Foods 2014, 10, 104–111. [Google Scholar] [CrossRef]
- Chalamaiah, M.; Yu, W.; Wu, J. Immunomodulatory and anticancer protein hydrolysates (peptides) from food proteins: A review. Food Chem. 2017, 245, 205–222. [Google Scholar] [CrossRef]
- Liu, X.; Li, Y.; Li, Z.; Lan, X.; Leung, P.H.M.; Li, J.; Yang, M.; Ko, F.; Qin, L. Mechanism of anticancer effects of antimicrobial peptides. J. Fiber Bioeng. Inform. 2015, 8, 25–36. [Google Scholar] [CrossRef]
- Felício, M.R.; Silva, O.N.; Gonçalves, S.; Santos, N.C.; Franco, O.L. Peptides with Dual Antimicrobial and Anticancer Activities. Front. Chem. 2017, 5, 5. [Google Scholar] [CrossRef]
- Kumariya, R.; Sood, S.K.; Rajput, Y.S.; Saini, N.; Garsa, A.K. Increased membrane surface positive charge and altered membrane fluidity leads to cationic antimicrobial peptide resistance in Enterococcus faecalis. Biochim. Biophys. Acta Biomembr. 2015, 1848, 1367–1375. [Google Scholar] [CrossRef] [PubMed]
- Nyström, L.; Malmsten, M. Membrane interactions and cell selectivity of amphiphilic anticancer peptides. Curr. Opin. Colloid Interface Sci. 2018, 38, 1–17. [Google Scholar] [CrossRef]
- Ntwasa, M.; Goto, A.; Kurata, S. Coleopteran Antimicrobial Peptides: Prospects for Clinical Applications. Int. J. Microbiol. 2012, 2012, 101989. [Google Scholar] [CrossRef]
- Hilchie, A.L.; Hoskin, D.W.; Coombs, M.R.P. Anticancer Activities of Natural and Synthetic Peptides. Antimicrob. Pept. 2019, 1117, 131–147. [Google Scholar] [CrossRef]
- Dimitrov, I.; Bangov, I.; Flower, D.R.; Doytchinova, I. AllerTOP v.2—A server for in silico prediction of allergens. J. Mol. Model. 2014, 20, 2278. [Google Scholar] [CrossRef]
- Goodman, R.E. Biosafety: Evaluation and regulation of genetically modified (GM) crops in the United States. J. Huazhong Agric. Univ. 2014, 33, 85–113. [Google Scholar]
- Hayes, M.; Rougé, P.; Barre, A.; Herouet-Guicheney, C.; Roggen, E.L. In silico tools for exploring potential human allergy to proteins. Drug Discov. Today: Dis. Model. 2015, 17, 3–11. [Google Scholar] [CrossRef]
- Aalberse, R.C.; Crameri, R. IgE-binding epitopes: A reappraisal. Allergy 2011, 66, 1261–1274. [Google Scholar] [CrossRef]
- Ito, N.; Kojima, T.; Nagata, H.; Ozeki, N.; Yoshida, Y.; Nonami, T. Apoptosis Induced by Culturing MH134 Cells in the Presence of Porcine Skin Gelatin In Vitro. Cancer Biother. Radiopharm. 2002, 17, 379–384. [Google Scholar] [CrossRef]
- Castro, G.A.; Maria, D.A.; Bouhallab, S.; Sgarbieri, V.C. In vitro impact of a p5whey protein isolate (WPI) and collagen hydrolysates (CHs) on B16F10 melanoma cells proliferation. J. Dermatol Sci. 2009, 56, 51–57. [Google Scholar] [CrossRef] [PubMed]
- Daliri, E.B.M.; Oh, D.H.; Lee, B.H. Bioactive peptides. Foods 2017, 6, 32. [Google Scholar] [CrossRef] [PubMed]
- Albenzio, M.; Santillo, A.; Caroprese, M.; Marino, R.; Della Malva, A. Bioactive Peptides in Animal Food Products. Foods 2017, 6, 35. [Google Scholar] [CrossRef] [PubMed]
- Jang, A.; Jo, C.; Kang, K.-S.; Lee, M. Antimicrobial and human cancer cell cytotoxic effect of synthetic angiotensin-converting enzyme (ACE) inhibitory peptides. Food Chem. 2008, 107, 327–336. [Google Scholar] [CrossRef]
- Vitalone, A.; Allkanjari, O. Epilobium spp: Pharmacology and Phytochemistry. Phytother. Res. 2018, 32, 1229–1240. [Google Scholar] [CrossRef]


 , helix sequence—
, helix sequence— .
.
   , helix sequence—
, helix sequence— .
.

| No. | Peptide Sequences | Protein Source | Anticancer Probability * | No. | Peptide Sequences | Protein Source | Anticancer Probability * | 
|---|---|---|---|---|---|---|---|
| 1 | PFGNTHN | Creatine kinase M-type | 0.9596 | 28 | VLSAADKANVKAAWGKVGGQAG | Hemoglobin subunit alpha | 0.9946 | 
| 2 | LVKAGFAGD | Actin, alpha skeletal muscle | 0.9085 | 29 | PPFEVRGANQWIKFKSIS | Pyruvate dehydrogenase E1 component subunit alpha | 0.9560 | 
| 3 | SKEYFSKHN | Peroxiredoxin-2 | 0.9934 | 30 | SEIQNIKSELKYVPRAEQ | Small muscular protein | 0.5636 | 
| 4 | VSTVLTSKYR | Hemoglobin subunit alpha | 0.5404 | 31 | VQAAFQKVVAGVANALAHKYH | Hemoglobin subunit beta | 0.6455 | 
| 5 | VLSAADKANVKA | Hemoglobin subunit alpha | 0.9699 | 32 | GELAKHAVSEGTKAVTKYTSSK | Histone H2B type 3-B | 0.8512 | 
| 6 | PFGNTHNKYK | Creatine kinase M-type | 0.9959 | 33 | VTGNLDYKNLVHIITHGEEKD | Myosin regulatory light chain 2 | 0.8801 | 
| 7 | VITHGDAKDQE | Myosin regulatory light chain | 0.9596 | 34 | PIIQDRHGGYKPTDKHKTDLN | Creatine kinase M-type | 0.9860 | 
| 8 | DSKEYFSKHN | Peroxiredoxin-2 | 0.9944 | 35 | EVYAQKMKYKAISEELDNALNDITSL | Tropomyosin beta chain | 0.9880 | 
| 9 | PEDVITGAFKVL | Myosin regulatory light chain 2 | 0.7486 | 36 | ELYAQKLKYKAISEELDHALNDMTSI | Tropomyosin alpha-3 chain | 0.9991 | 
| 10 | KVEELKKKYGI | Acyl-CoA-binding protein | 0.9708 | 37 | LEDEVYAQKMKYKAISEELDNALNDITSL | Tropomyosin beta chain | 0.9110 | 
| 11 | LVHIITHGEEKD | Myosin regulatory light chain 2 | 0.8112 | 38 | LEDELYAQKLKYKAISEELDHALNDMTSI | Tropomyosin alpha-3 chain | 0.9577 | 
| 12 | PEDVITGAFKVLD | Myosin regulatory light chain 2 | 0.8566 | 39 | DLEDEVYAQKMKYKAISEELDNALNDITSL | Tropomyosin beta chain | 0.9228 | 
| 13 | SREVHTKIISEE | Myosin-1 | 0.9965 | 40 | DLEDELYAQKLKYKAISEELDHALNDMTSI | Tropomyosin alpha-3 chain | 0.9625 | 
| 14 | PFGNTHNKYKLN | Creatine kinase M-type | 0.9965 | 41 | ILAADESTGSIAKRLQSIGTEN | Fructose-bisphosphate aldolase | 0.9424 | 
| 15 | NLVHIITHGEEKD | Myosin regulatory light chain 2 | 0.7555 | 42 | PVVQAAYQKVVAGVANALAHKYH | Hemoglobin subunit beta | 0.5353 | 
| 16 | PEETILNAFKVFD | Myosin regulatory light chain 2 | 0.9940 | 43 | PEDVITGAFKVLDPEG | Myosin regulatory light chain 2 | 0.7505 | 
| 17 | PFGNTHNKYKLNF | Creatine kinase M-type | 0.8819 | 44 | KYKAISEELDNALNDITSL | Tropomyosin beta chain | 0.7309 | 
| 18 | SADTLWGIQKDLKDL | L-lactate dehydrogenase B chain | 0.9896 | 45 | DKEEFVKAKIISREG | Myosin-7 | 0.9997 | 
| 19 | AISEELDHALNDMTSI | Tropomyosin alpha-3 chain | 0.8959 | 46 | DKEEFVKAKILSRE | Myosin-7 | 0.9808 | 
| 20 | YKNLVHIITHGEEKD | Myosin regulatory light chain 2 | 0.6486 | 47 | VAGDEESYVVFKDLFD | Creatine kinase M-type | 0.5149 | 
| 21 | PEDVITGAFKVLDPEGK | Myosin regulatory light chain 2 | 0.8019 | 48 | PEDVITGAFKVLDPEGKGT | Myosin regulatory light chain 2 | 0.8671 | 
| 22 | VLSAADKANVKAAWGKVGG | Hemoglobin subunit alpha | 0.9934 | 49 | LAKHAVSEGTKAVTKYTSSK | Histone H2B type 1-N | 0.9295 | 
| 23 | FQKVVAGVANALAHKYH | Hemoglobin subunit beta | 0.7132 | 50 | DEVYAQKMKYKAISEELDNALNDITSL | Tropomyosin beta chain | 0.9898 | 
| 24 | PEDVITGAFKVLDPEGKG | Myosin regulatory light chain 2 | 0.8395 | 51 | AKLKEIVTNFLAGFEA | ATP synthase subunit alpha | 0.5994 | 
| 25 | FGPTGIGFGGLTHQVEKKE | Cysteine- and glycine-rich protein 3 | 0.5000 | 52 | AMKAYINKVEELKKKYGI | Acyl-CoA-binding protein | 0.7171 | 
| 26 | KAKDIEHAKKVSQQVSKV | Nebulin | 0.5793 | 53 | VLSAADKANVKAAWGKVGGQAGAH | Hemoglobin subunit alpha | 0.9858 | 
| 27 | LDYKNLVHIITHGEEKD | Myosin regulatory light chain 2 | 0.8578 | ||||
| Publisher’s Note: MDPI stays neutral with regard to jurisdictional claims in published maps and institutional affiliations. | 
© 2022 by the authors. Licensee MDPI, Basel, Switzerland. This article is an open access article distributed under the terms and conditions of the Creative Commons Attribution (CC BY) license (https://creativecommons.org/licenses/by/4.0/).
Share and Cite
Wójciak, K.M.; Kęska, P.; Prendecka-Wróbel, M.; Ferysiuk, K. Peptides as Potentially Anticarcinogenic Agent from Functional Canned Meat Product with Willow Extract. Molecules 2022, 27, 6936. https://doi.org/10.3390/molecules27206936
Wójciak KM, Kęska P, Prendecka-Wróbel M, Ferysiuk K. Peptides as Potentially Anticarcinogenic Agent from Functional Canned Meat Product with Willow Extract. Molecules. 2022; 27(20):6936. https://doi.org/10.3390/molecules27206936
Chicago/Turabian StyleWójciak, Karolina M., Paulina Kęska, Monika Prendecka-Wróbel, and Karolina Ferysiuk. 2022. "Peptides as Potentially Anticarcinogenic Agent from Functional Canned Meat Product with Willow Extract" Molecules 27, no. 20: 6936. https://doi.org/10.3390/molecules27206936
APA StyleWójciak, K. M., Kęska, P., Prendecka-Wróbel, M., & Ferysiuk, K. (2022). Peptides as Potentially Anticarcinogenic Agent from Functional Canned Meat Product with Willow Extract. Molecules, 27(20), 6936. https://doi.org/10.3390/molecules27206936
 
        




 
       