Abstract
Coumarin compounds have a variety of biological activities such as anti-tumor, anti-coagulation, anti-HIV, anti-fungal, and insecticidal. Amide and sulfonamide compounds have been used as fungicides for half a century, and dozens of varieties have been developed so far. This study focused on the introduction of carboxamide and sulfonamide moieties in a coumarin core to discover novel derivatives. Based on this strategy, we synthesized two series of novel carboxamide and sulfonamide substituted coumarin derivatives, and their fungicidal activity was also investigated. Some designed compounds possessed potential activities against six phytopathogenic fungi in the primary assays, highlighted by compound 6r. Compound 6r exhibited stronger fungicidal activity against Botrytis cinerea (EC50 = 20.52 µg/mL) and will be the lead structure for further study.
1. Introduction
Agricultural diseases are an important factor causing food crises, and plant pathogenic fungi and bacteria cause about 2/3 losses. Fungicides have become an important measure for comprehensively controlling agricultural diseases [1]. However, long-term irregular use of fungicides has resulted in resistance to many fungal diseases and serious harm to the natural environment. Therefore, developing new, environmentally friendly, efficient, and selective green fungicides is of great significance to ensure the safety of food, crops, and ecological environment and promote the sustainable development of agriculture [2,3]. Natural products provide a large number of synthetic templates for the development of new pharmaceutical and pesticide-active molecules due to their novel structure, unique mode of action, and environmental friendliness [4].
Coumarin and its derivatives are widely distributed in natural plants, such as Rutaceae, Leguminosae, Umbelliferae, and Compositae [5]. Coumarin derivatives display a variety of biological activities, such as anti-virus, anticancer, antioxidant, antimicrobial, and herbicidal activity. They have been found in widespread application in the fields of pesticides and medicine [6,7,8,9]. As a secondary metabolite of phenylpropanoids synthesized by plants, coumarins have good environmental compatibility, unique physiological activity, and structural plasticity. In the agricultural field, coumarin and its derivatives have many important biological activities. For example, many pathogens can induce plants to secrete coumarin compounds, which can prevent the invasion of pathogens at the infection site and play antibacterial roles in vitro. They are a class of phytoalexins and special lead compounds for the synthesis of small molecules of agriculturally active organic compounds, which has attracted the interest of many pesticide chemists [10]. As a commercial coumarin fungicide, Osthole has a good inhibitory effect on Fusarium graminearum and Phytophthora capsici and has a good inhibitory effect on melon powdery mildew [11]. Coumoxystrobin containing a coumarin skeleton shows broad-spectrum fungicidal activity against many plant diseases and has been observed in field trials against cucumber downy mildew with a good inhibitory effect [12] (Figure 1).
Figure 1.
Structures of Osthole and Coumoxystrobin.
Inspired by these facts and using Osthole as a lead structure, our group designed and synthesized a series of coumarin derivatives with high fungicidal activity. Compounds such as pyrano[3,2-c]chromene-2,5-diones, pyrrole/pyrazole-substituted coumairn derivatives, furo[3,2-c]coumarins, coumarin-3-carboxamide derivatives, and fluorinated 7-hydroxycoumarin derivatives containing an oxime ether moiety were studied [13,14,15,16,17]. However, their potency to be used as agricultural fungicide still has a long way to go.
Carboxamide and sulfonamide moieties exhibit many important biological activities in the agricultural field. Carboxamide fungicides are a kind of ancient fungicides, the number of which occupies a large proportion. Bayer, BASF, Syngenta, and other companies have successively developed novel varieties of commercial amide fungicides, such as sopyrazam, fluopyram, and bixafen [18,19,20]. Sulfonamide compounds have various physiological activities and are widely used in pesticides. Amisulbrom, which features a sulfonamide group, was applied to control phytophthora and downy mildew [21]. 4-Hydroxycoumarin sulfonamides hybrids show significant antifungal activity in vitro against M. canis [22] (Figure 2).
Figure 2.
Representative structures of amide and sulfonamide compounds.
Based on these encouraging results, we considered that combining the coumarin skeleton with carboxamide and sulfonamides moieties may result in diversified coumarin hybrids with high fungicidal activity (Figure 3). Herein, we synthesized a novel series of coumarin 7-carboxamide/sulfonamide derivatives, which involved the Pechmann reaction, carbamate deprotection, and amidation/sulfonamidation. In addition, we examined their fungicidal activity against six phytopathogenic fungi to further improve their fungicidal effects.
Figure 3.
Design strategy for target molecules.
2. Results and Discussion
2.1. Synthesis
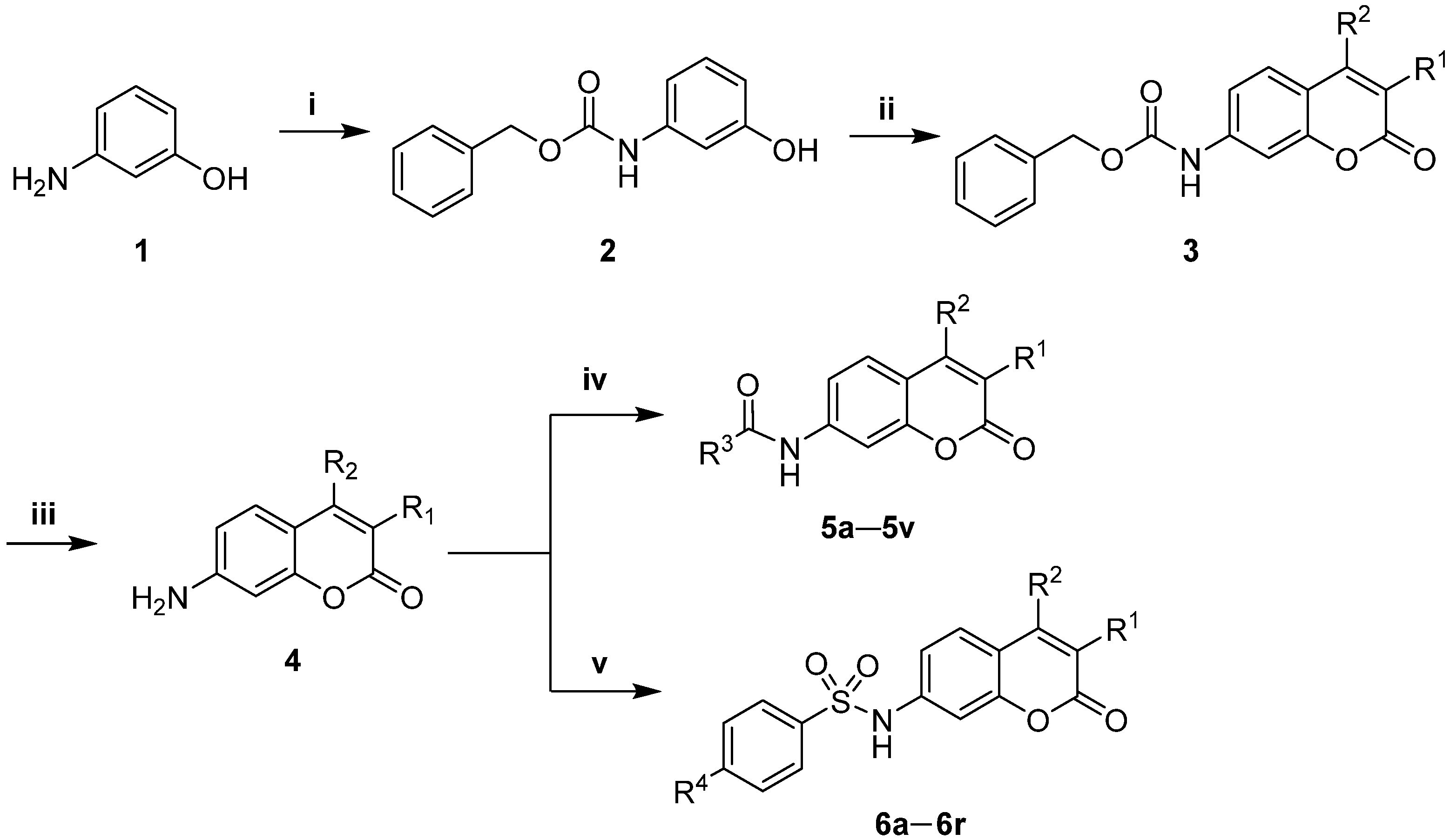
The synthesis of coumarin 7-amide/sulfonamide derivatives is depicted in Scheme 1. The reported route led to six kinds of 7-aminocoumarin derivatives and involved the Pechmann reaction and carbamate deprotection [23,24]. Five types of aroyl chloride were prepared by the reaction of thionyl chloride on the corresponding aromatic carboxylic acids in CH2Cl2 under reflux. Five kinds of phenylsulfonyl chlorides were commercially available. The target molecules 5 were synthesized by the reaction between compounds 4 and aroyl chloride in good yields in CH2Cl2 as the solvent and triethylamine as the base, as shown in Scheme 1. It is worth noting that compounds 5k–5v did not form under these reaction conditions. When THF was the solvent and NaHCO3 was the base, compounds 5k–5v were obtained in moderate yield. In the synthesis of coumarin 7-sulfonamide derivatives, pyridine was used as the base, CH2Cl2 as the solvent, and DMAP as the catalyst, and compounds 6a–6r were synthesized subsequently. We also tried to use different kinds of condensation agents to prepare amides. However, due to the poor reactivity of aromatic amines with heterocyclic carboxylic acids, the reaction was not ideal. Finally, carboxylic acid was prepared into a more reactive acyl chloride to react with the amino group. All reaction processes were monitored by thin-layer chromatography (TLC).
Scheme 1.
(i) Benzyl chloroformate, NaHCO3, THF, H2O, 0 °C; (ii) β-keto ester, H2SO4, EtOH, rt; (iii) 45% KOH aqueous solution, 100 °C; (iv) aroyl chloride, CH2Cl2, triethylamine, rt (5a–5j); NaHCO3, THF, rt (5k–5v); (v) substituted or unsubstituted phenylsulfonyl chloride, DMAP, CH2Cl2, pyridine, rt.
The structures of the target molecules listed in Table 1 and Table 2 were confirmed by HRMS, 1H NMR, and 13C NMR. The data of target compound 5a was analyzed as a representative example. The 1H NMR signal of 10.58 ppm was assigned to the NH of the amide group at 2.34 and 2.06 ppm, the signals corresponding to the methyl groups appeared at positions 4 and 3, respectively. In the 13C NMR spectrum, the signal peak at 162.51 ppm confirmed that compound 5a was assigned to the carbonyl group in amide moiety, and 156.26 ppm indicated the existence of the carbonyl group in the coumarin motif. Two signals at 15.13 and 13.49 ppm were assigned to the methyl groups. In the HRMS spectrum of compound 5a, the value of the [M + H]+ ion absorption signal was 284.0924, which was consistent with the calculated value (284.0917) for C16H13NO4+[M + H]+.
Table 1.
Structures and yields of compounds 5.
Table 2.
Structures and yields of compounds 6.
2.2. Antifungal Activity of the Target Molecules
The antifungal activity of the target molecules on plant pathogens was tested by a mycelium growth rate method, and the assay results are shown in Table 3. Osthole was adopted as the positive control fungicide during the assay process. Plant pathogens were from the Department of Pathology, College of Plant Protection, Nanjing Agricultural University. The phytopathogenic fungi included Botrytis cinerea, Alternaria solani, Gibberella zeae, Rhizoctorzia solani, Cucumber anthrax, and Alternaria leaf spot. The target compounds were dissolved in DMSO to generate a stock solution. The compounds possessing good activity (inhibitory rate >60% at 50 μg/mL) were further evaluated using different concentrations by diluting the above solution. DMSO served as the negative control. In general, most of the synthesized compounds exhibited more antifungal activity against Botrytis cinerea and Rhizoctorzia solani than against Alternaria solani, Gibberella zeae, Cucumber anthrax, and Alternaria leaf spot. Noteworthy, four compounds—6d, 6e, 6q, and 6r—showed relatively effective control against Botrytis cinerea and corresponding inhibition rates of 71.1, 68.2, 78.2, and 81.6%, respectively, which were equivalent to that of the positive control fungicide Osthole (81.1%).
Table 3.
Antifungal activity of synthesized compounds at 50 μg/mL.
To comprehensively study the antifungal activity of the effective molecules, we further examined the EC50 values of these compounds together with Osthole. As shown in Table 4, four compounds (6d, 6e, 6q, and 6r) showed fair to good activity; the EC50 values were lower than that of Osthole (30.67 μg/mL) against Botrytis cinerea. It was worth noting that compound 6r displayed much more activity than the control Osthole did.
Table 4.
EC50 value determination of some target compounds against B. cinerea.
2.3. Structure–Activity Relationships
Although the antifungal activity of most coumarin 7-amide/sulfonamide derivatives was poor, making it difficult to extract a clear structure–activity relationship summary, some preliminary conclusions can still be drawn. Firstly, most of the synthesized coumarin derivatives were relatively more active against Botrytis cinerea and Rhizoctorzia solani, but they usually lacked potency against the other tested fungi. Secondly, the overall effect on antifungal activity of the sulfonamide group seemed helpful compared with that of the carboxamide group. Thirdly, compounds 6d, 6e, 6q, and 6r exhibited significant antifungal activity against Botrytis cinerea, equivalent to that of the positive control fungicide Osthole, and 6r was identified as the most promising candidate. The results favor the introduction of CH3/Cl at the C-3 cite in the coumarin core. Meanwhile, para-Cl/Br substituted to the phenyl ring was helpful to improving the antifungal activity of these molecules.
3. Materials and Methods
3.1. Chemicals and Instruments
All chemical reagents were purchased from commercial sources used without further purification. The progress of reactions and the purity of products were monitored by TLC using silica gel GF/UV 254. The melting points of coumarin compounds were measured on an X-4 apparatus (uncorrected). 1H-NMR and 13C-NMR spectra were detected on a Bruker Avance 400 MHz spectrometer (Billerica, MA, USA) with TMS as an internal standard. HR-MS (ESI) spectra were operated using a Thermo Exactive spectrometer (Waltham, MA, USA).
3.2. Chemistry
3.2.1. General Procedure for the Synthesis of the Intermediates 4
7-Aminocoumarins were synthesized through procedures reported in [16,25].
3.2.2. General Procedure for the Synthesis of the Intermediates 5a–5j
Compound 4 (2.5 mmol) was dissolved in dichloromethane (20.0 mL), and then triethylamine (20.0 mmol) was added to the solution and cooled to 0 °C. To the mixture, 5.0 mmol of aroyl chloride in 20 mL of dichloromethane solution was slowly added and stirred at room temperature for 2 h. After the reaction was completed, the reaction mixture was washed with water (100 mL × 3), and the organic phase was dried over with Na2SO4 and concentrated under reduced pressure. The crude product was purified by column chromatography using dichloromethane/methanol (Vdichloromethane/Vmethanol = 98:2→95:5) as the eluent to give compounds 5a–5j.
N-(3,4-dimethyl-2-oxo-2H-chromen-7-yl)furan-2-carboxamide (5a): a gray solid; mp: 270.1–271.6 °C; 1H NMR (400 MHz, DMSO-d6) δ 10.50 (s, 1H), 7.98 (d, J = 0.8 Hz, 1H), 7.85 (s, 1H), 7.71 (s, 2H), 7.39 (d, J = 3.4 Hz, 1H), 6.73 (q, J = 3.4, 1.7 Hz, 1H), 2.34 (s, 3H), 2.06 (s, 3H); 13C NMR (101 MHz, DMSO-d6) δ 161.5, 156.8, 152.2, 147.6, 146.9, 146.6, 141.3, 125.8, 119.8, 116.5, 116.3, 116.0, 112.8, 106.8, 15.2, 13.5; HR-MS (ESI): m/z calcd for C16H14NO4+ ([M + H]+) 284.0917, found 284.0924.
N-(3-ethyl-4-methyl-2-oxo-2H-chromen-7-yl)furan-2-carboxamide (5b): a gray solid; mp: 239.2–240.8 °C; 1H NMR (400 MHz, DMSO-d6) δ 10.52 (s, 1H), 7.98 (d, J = 0.9 Hz, 1H), 7.87 (s, 1H), 7.73 (s, 2H), 7.40 (d, J = 3.4 Hz, 1H), 6.74 (dd, J = 3.5, 1.7 Hz, 1H), 2.56 (q, J = 7.4 Hz, 2H), 2.38 (s, 3H), 1.05 (t, J = 7.4 Hz, 3H); 13C NMR (101 MHz, DMSO-d6) δ 161.1, 156.9, 152.4, 147.6, 146.6, 146.6, 141.4, 126.0, 125.6, 116.5, 116.4, 116.0, 112.8, 106.8, 20.8, 14.7, 13.4; HR-MS (ESI): m/z calcd for C17H16NO4+ ([M + H]+) 298.1074, found 298.1080.
N-(6-oxo-7,8,9,10-tetrahydro-6H-benzo[c]chromen-3-yl)furan-2-carboxamide (5c): a yellow solid; mp: 287.5–289.0 °C; 1H NMR (400 MHz, DMSO-d6) δ 10.53 (s, 1H), 7.98 (s, 1H), 7.88 (s, 1H), 7.73 (d, J = 8.3 Hz, 1H), 7.67 (d, J = 8.7 Hz, 1H), 7.40 (d, J = 3.1 Hz, 1H), 6.74 (s, 1H), 2.77 (s, 2H), 2.41 (s, 2H), 1.87–1.52 (m, 4H); 13C NMR (126 MHz, DMSO-d6) δ 161.2, 157.0, 152.4, 147.9, 147.6, 146.4, 141.3, 124.5, 121.6, 116.7, 116.1, 115.8, 112.7, 107.3, 25.1, 24.2, 21.7, 21.4; HR-MS (ESI): m/z calcd for C18H16NO4+ ([M + H]+) 310.1074, found 310.1074.
N-(3-fluoro-4-methyl-2-oxo-2H-chromen-7-yl)furan-2-carboxamide (5d): a brown solid; mp: 268.2–270.0 °C; 1H NMR (400 MHz, DMSO-d6) δ 10.56 (s, 1H), 7.98 (s, 1H), 7.93 (d, J = 1.5 Hz, 1H), 7.79 (dd, J = 8.8, 1.3 Hz, 1H), 7.73 (d, J = 8.7 Hz, 1H), 7.40 (d, J = 3.4 Hz, 1H), 6.74 (dd, J = 3.2, 1.5 Hz, 1H), 2.35 (d, J = 2.6 Hz, 3H); 13C NMR (101 MHz, DMSO-d6) δ 156.9, 155.0 (d, J = 30.0 Hz), 150.6 (d, J = 2.0 Hz), 147.5, 146.7, 141.7, 141.5 (d, J = 2.0 Hz), 131.8 (d, J = 14.0 Hz), 126.3 (d, J = 6.0 Hz), 117.2, 116.1, 115.1 (d, J = 3.0 Hz), 112.8, 107.1, 10.3 (d, J = 3.0 Hz); HR-MS (ESI): m/z calcd for C15H11FNO4+ ([M + H]+) 288.0667, found 288.0669.
N-(3-chloro-4-methyl-2-oxo-2H-chromen-7-yl)furan-2-carboxamide (5e): a yellow solid; mp: 300.0–301.7 °C; 1H NMR (400 MHz, DMSO-d6) δ 10.61 (s, 1H), 7.99 (s, 1H), 7.93 (s, 1H), 7.82–7.75 (m, 2H), 7.42 (d, J = 3.3 Hz, 1H), 6.74 (d, J = 1.6 Hz, 1H), 2.52 (s, 3H); 13C NMR (101 MHz, DMSO-d6) δ 156.9, 156.8, 151.8, 148.9, 147.4, 146.8, 142.6, 126.7, 118.0, 117.0, 116.2, 115.4, 112.9, 106.8, 16.4; HR-MS (ESI): m/z calcd for C15H10ClNO4+ ([M + H]+) 304.0371, found 304.0378.
N-(2-oxo-4-(trifluoromethyl)-2H-chromen-7-yl)furan-2-carboxamide (5f): a yellow solid; mp: 240.6–242.3 °C; 1H NMR (400 MHz, DMSO-d6) δ 10.72 (s, 1H), 8.03 (d, J = 1.8 Hz, 1H), 8.00 (d, J = 0.6 Hz, 1H), 7.83 (dd, J = 8.9, 1.8 Hz, 1H), 7.69 (d, J = 7.7 Hz, 1H), 7.44 (d, J = 3.3 Hz, 1H), 6.90 (s, 1H), 6.75 (q, J = 3.4, 1.6 Hz, 1H); 13C NMR (126 MHz, DMSO-d6) δ 159.6, 157.6, 155.5, 147.9, 147.5, 144.1, 140.2 (q, J = 32.1 Hz), 126.2, 122.8 (q, J = 276.1 Hz), 117.8, 117.0, 115.5 (d, J = 5.4 Hz), 113.4, 109.5, 108.1; HR-MS (ESI): m/z calcd for C15H9F3NO4+ ([M + H]+) 324.0478, found 324.0480.
N-(3-ethyl-4-methyl-2-oxo-2H-chromen-7-yl)benzamide (5g): a yellow solid; mp: 243.3–244.9 °C; 1H NMR (400 MHz, DMSO-d6) δ 10.61 (s, 1H), 7.98 (d, J = 7.3 Hz, 2H), 7.93 (d, J = 1.2 Hz, 1H), 7.78 (d, J = 8.8 Hz, 1H), 7.76–7.72 (m, 1H), 7.65–7.60 (m, 1H), 7.59–7.53 (m, 2H), 2.58 (q, J = 7.4 Hz, 2H), 2.41 (s, 3H), 1.06 (t, J = 7.4 Hz, 3H); 13C NMR (101 MHz, DMSO-d6) δ 166.5, 161.2, 152.4, 146.6, 142.0, 135.0, 132.4, 128.9, 128.3, 126.0, 125.5, 116.5, 116.4, 106.8, 20.8, 14.7, 13.4; HR-MS (ESI): m/z calcd for C19H18NO3+ ([M + H]+) 308.1281, found 308.1285.
N-(6-oxo-7,8,9,10-tetrahydro-6H-benzo[c]chromen-3-yl)benzamide (5h): a yellow solid; mp: 276.8–277.8 °C; 1H NMR (400 MHz, DMSO-d6) δ 10.58 (s, 1H), 7.97 (d, J = 7.2 Hz, 2H), 7.91 (d, J = 1.8 Hz, 1H), 7.72 (dd, J = 8.7, 1.8 Hz, 1H), 7.64 (dd, J = 16.6, 8.0 Hz, 2H), 7.56 (t, J = 7.4 Hz, 2H), 2.84–2.70 (m, 2H), 2.46–2.35 (m, 2H), 1.82–1.68 (m, 4H); 13C NMR (101 MHz, DMSO-d6) δ 166.4, 161.2, 152.2, 147.6, 141.8, 135.0, 132.4, 128.9, 128.2, 124.6, 121.2, 116.5, 115.8, 106.8, 25.0, 24.1, 21.6, 21.2; HR-MS (ESI): m/z calcd for C20H18NO3+ ([M + H]+) 320.1281, found 320.1290.
N-(3-fluoro-4-methyl-2-oxo-2H-chromen-7-yl)benzamide (5i): a yellow solid; mp: 278.8–280.3 °C; 1H NMR (400 MHz, DMSO-d6) δ 10.59 (s, 1H), 7.97 (d, J = 8.1 Hz, 3H), 7.78 (d, J = 8.6 Hz, 1H), 7.69 (d, J = 8.7 Hz, 1H), 7.64–7.59 (m, 1H), 7.55 (t, J = 7.4 Hz, 2H), 2.32 (d, J = 2.2 Hz, 3H); 13C NMR (101 MHz, DMSO-d6) δ 166.4, 154.9 (d, J = 28.0 Hz), 150.6, 144.1, 142.1, 141.65, 134.83, 132.39, 131.72 (d, J = 13.0 Hz), 128.88, 128.24, 126.07 (d, J = 6.0 Hz), 117.08, 114.94, 106.89, 10.22 (d, J = 3.0 Hz); HR-MS (ESI): m/z calcd for C17H13FNO3+ ([M + H]+) 298.0874, found 298.0880.
N-(3-chloro-4-methyl-2-oxo-2H-chromen-7-yl)benzamide (5j): a gray solid; mp: 276.0–278.0 °C; 1H NMR (400 MHz, DMSO-d6) δ 10.71 (s, 1H), 8.00 (d, J = 1.9 Hz, 2H), 7.98 (s, 1H), 7.87 (d, J = 8.8 Hz, 1H), 7.81 (dd, J = 8.8, 1.8 Hz, 1H), 7.64 (t, J = 7.3 Hz, 1H), 7.57 (t, J = 7.4 Hz, 2H), 2.56 (s, 3H); 13C NMR (101 MHz, DMSO-d6) δ 166.6, 156.8, 151.9, 148.9, 143.1, 134.8, 132.5, 128.9, 128.3, 126.7, 118.0, 117.0, 115.3, 106.8, 16.4; HR-MS (ESI): m/z calcd for C17H13ClNO3+ ([M + H]+) 314.0579, found 314.0583.
3.2.3. General Procedure for the Synthesis of the Intermediates 5k–5t
Compound 4 (2.5 mmol) was dissolved in tetrahydrofuran (20.0 mL), and then sodium bicarbonate (10.0 mmol) was added to the solution and cooled to 0 °C. To the mixture, 5.0 mmol of aroyl chloride in 20 mL of tetrahydrofuran solution was slowly added and stirred at room temperature for 2 h. After the reaction was completed, the reaction mixture was washed with water (100 mL × 3), and the organic phase was dried over with Na2SO4 and concentrated under reduced pressure. The crude product was purified by column chromatography using dichloromethane/methanol (Vdichloromethane/Vmethanol = 98:2→95:5) as the eluent to obtain compounds 5k–5t.
N-(3,4-dimethyl-2-oxo-2H-chromen-7-yl)nicotinamide (5k): a yellow solid; mp: 270.3–271.3 °C; 1H NMR (400 MHz, DMSO-d6) δ 10.78 (s, 1H), 9.13 (d, J = 1.8 Hz, 1H), 8.79 (dd, J = 4.8, 1.5 Hz, 1H), 8.39–8.23 (m, 1H), 7.91 (d, J = 2.0 Hz, 1H), 7.72 (dd, J = 8.8, 2.0 Hz, 1H), 7.60 (dd, J = 7.5, 4.8 Hz, 1H), 2.39 (s, 3H), 2.10 (s, 3H); 13C NMR (101 MHz, DMSO-d6) δ 164.9, 161.5, 152.9, 152.3, 149.2, 146.9, 141.5, 136.1, 130.7, 125.9, 124.0, 119.9, 116.5, 116.5, 106.9, 15.2, 13.5; HR-MS (ESI): m/z calcd for C17H14N2O3Na+ ([M + Na]+) 317.0897, found 317.0914.
N-(3-ethyl-4-methyl-2-oxo-2H-chromen-7-yl)nicotinamide (5l): a yellow solid; mp: 275.0–276.9 °C; 1H NMR (400 MHz, DMSO-d6) δ 10.77 (s, 1H), 9.13 (d, J = 1.7 Hz, 1H), 8.79 (dd, J = 4.7, 1.3 Hz, 1H), 8.41–8.20 (m, 1H), 7.89 (d, J = 1.8 Hz, 1H), 7.78 (d, J = 8.8 Hz, 1H), 7.71 (dd, J = 8.8, 1.9 Hz, 1H), 7.60 (dd, J = 7.9, 4.8 Hz, 1H), 2.57 (q, J = 7.4 Hz, 2H), 2.40 (s, 3H), 1.06 (t, J = 7.4 Hz, 3H); 13C NMR (101 MHz, DMSO-d6) δ 164.9, 161.1, 152.8, 152.4, 149.2, 146.5, 141.6, 136.0, 130.6, 126.1, 125.7, 124.0, 116.6, 116.5, 106.9, 20.8, 14.7, 13.4; HR-MS (ESI): m/z calcd for C18H17N2O3+ ([M + H]+) 309.1234, found 309.1244.
N-(6-oxo-7,8,9,10-tetrahydro-6H-benzo[c]chromen-3-yl)nicotinamide (5m): a gray solid; mp: 284.7–285.4 °C; 1H NMR (400 MHz, DMSO-d6) δ 10.76 (s, 1H), 9.12 (d, J = 1.7 Hz, 1H), 8.79 (dd, J = 4.8, 1.4 Hz, 1H), 8.39–8.19 (m, 1H), 7.89 (s, 1H), 7.75–7.65 (m, 2H), 7.60 (dd, J = 7.8, 4.8 Hz, 1H), 2.94–2.61 (m, 2H), 2.37 (d, J = 32.1 Hz, 2H), 2.04–1.52 (m, 4H); 13C NMR (101 MHz, DMSO-d6) δ 164.9, 161.2, 152.8, 152.1, 149.2, 147.5, 141.4, 136.0, 130.7, 124.6, 124.0, 121.4, 116.4, 116.0, 106.9, 25.0, 24.1, 21.6, 21.2; HR-MS (ESI): m/z calcd for C19H17N2O3+ ([M + H]+) 321.1234, found 321.1252.
N-(3-chloro-4-methyl-2-oxo-2H-chromen-7-yl)nicotinamide (5n): a brown solid; mp: 243.7–245.0 °C; 1H NMR (400 MHz, DMSO-d6) δ 10.79 (s, 1H), 9.11 (s, 1H), 8.78 (d, J = 3.4 Hz, 1H), 8.29 (d, J = 7.5 Hz, 1H), 7.97–7.87 (m, 1H), 7.77 (d, J = 8.6 Hz, 1H), 7.71 (d, J = 8.6 Hz, 1H), 7.62–7.52 (m, 1H), 2.49 (s, 3H); 13C NMR (101 MHz, DMSO-d6) δ 165.0, 156.7, 152.9, 151.8, 149.2, 148.8, 142.7, 136.1, 130.4, 126.7, 124.0, 118.1, 116.9, 115.5, 106.8, 16.4; HR-MS (ESI): m/z calcd for C16H12ClN2O3+ ([M + H]+) 337.0350, found 337.0363.
N-(2-oxo-4-(trifluoromethyl)-2H-chromen-7-yl)nicotinamide (5o): a yellow solid; mp: 232.3–234.1 °C; 1H NMR (400 MHz, DMSO-d6) δ 10.91 (s, 1H), 9.12 (s, 1H), 8.79 (d, J = 4.4 Hz, 1H), 8.31 (d, J = 7.7 Hz, 1H), 8.02 (s, 1H), 7.76 (d, J = 8.8 Hz, 1H), 7.67 (d, J = 8.4 Hz, 1H), 7.63–7.52 (m, 1H), 6.89 (s, 1H); 13C NMR (101 MHz, CF3COOD) δ 164.0, 162.1, 154.2, 146.2, 144.2 (q, J = 34.0 Hz), 143.7, 141.6, 140.5, 133.9, 128.0, 126.6, 122.2, 119.5, 118.7, 111.9, 109.7; HR-MS (ESI): m/z calcd for C16H10F3N2O3+ ([M + H]+) 335.0638, found 335.0656.
2-chloro-N-(3,4-dimethyl-2-oxo-2H-chromen-7-yl)nicotinamide (5p): a brown solid; mp: 259.7–260.4 °C; 1H NMR (400 MHz, DMSO-d6) δ 11.04 (s, 1H), 8.57 (d, J = 3.3 Hz, 1H), 8.16 (dd, J = 18.6, 12.3 Hz, 1H), 7.79 (s, 1H), 7.74 (d, J = 8.7 Hz, 1H), 7.67–7.58 (m, 1H), 7.55 (t, J = 10.2 Hz, 1H), 2.35 (s, 3H), 2.08 (s, 3H); 13C NMR (101 MHz, DMSO-d6) δ 164.4, 161.3, 152.2, 151.2, 146.9, 146.6, 141.0, 138.8, 133.2, 125.9, 123.6, 120.0, 116.5, 115.8, 106.3, 15.1, 13.4; HR-MS (ESI): m/z calcd for C17H13ClN2O3Na+ ([M + Na]+) 351.0507, found 351.0522.
2-chloro-N-(3-ethyl-4-methyl-2-oxo-2H-chromen-7-yl)nicotinamide (5q): a white solid; mp: 237.5–239.0 °C; 1H NMR (400 MHz, DMSO-d6) δ 11.04 (s, 1H), 8.58 (dd, J = 4.8, 1.8 Hz, 1H), 8.15 (dd, J = 7.5, 1.8 Hz, 1H), 7.80 (d, J = 1.9 Hz, 1H), 7.75 (d, J = 8.7 Hz, 1H), 7.61 (dd, J = 6.7, 4.0 Hz, 1H), 7.60–7.53 (m, 1H), 2.57 (q, J = 7.3 Hz, 2H), 2.39 (s, 3H), 1.06 (t, J = 7.4 Hz, 3H); 13C NMR (101 MHz, DMSO-d6) δ 164.4, 161.0, 152.4, 151.3, 146.9, 146.4, 141.2, 138.8, 133.2, 126.2, 125.8, 123.7, 116.7, 115.9, 106.3, 20.8, 14.6, 13.3; HR-MS (ESI): m/z calcd for C18H16ClN2O3+ ([M + H]+) 343.0844, found 343.0874.
2-chloro-N-(6-oxo-7,8,9,10-tetrahydro-6H-benzo[c]chromen-3-yl)nicotinamide (5r): a yellow solid; mp: 275.5–274.7 °C; 1H NMR (400 MHz, DMSO-d6) δ 11.03 (s, 1H), 8.58 (dd, J = 4.8, 1.8 Hz, 1H), 8.15 (dd, J = 7.5, 1.8 Hz, 1H), 7.78 (d, J = 1.6 Hz, 1H), 7.69–7.57 (m, 2H), 7.54 (dd, J = 8.7, 1.6 Hz, 1H), 2.72 (s, 2H), 2.39 (s, 2H), 1.74 (dd, J = 11.3, 5.9 Hz, 4H); 13C NMR (101 MHz, DMSO-d6) δ 164.4, 161.0, 152.2, 151.3, 147.3, 146.9, 140.9, 138.8, 133.2, 124.7, 123.7, 121.5, 116.1, 115.8, 106.3, 24.9, 24.0, 21.5, 21.2; HR-MS (ESI): m/z calcd for C19H15ClN2O3Na+ ([M + Na]+) 377.0663, found 377.0683.
2-chloro-N-(3-chloro-4-methyl-2-oxo-2H-chromen-7-yl)nicotinamide (5s): a brown solid; mp: 259.7–263.2 °C; 1H NMR (400 MHz, DMSO-d6) δ 11.14 (s, 1H), 8.58 (dd, J = 4.7, 1.6 Hz, 1H), 8.16 (dd, J = 7.5, 1.6 Hz, 1H), 7.88–7.78 (m, 2H), 7.65–7.57 (m, 2H), 2.53 (s, 3H); 13C NMR (101 MHz, DMSO-d6) δ 164.5, 156.6, 151.9, 151.4, 148.7, 146.9, 142.3, 138.8, 133.0, 126.9, 123.7, 118.3, 116.4, 115.7, 106.4, 16.4; HR-MS (ESI): m/z calcd for C16H11Cl2N2O3+ ([M + H]+) 349.0141, found 349.0145.
2-chloro-N-(2-oxo-4-(trifluoromethyl)-2H-chromen-7-yl)nicotinamide (5t): a yellow solid; mp: 240.5–242.0 °C; 1H NMR (400 MHz, DMSO-d6) δ 11.25 (s, 1H), 8.59 (dd, J = 4.8, 1.7 Hz, 1H), 8.16 (dd, J = 7.5, 1.6 Hz, 1H), 7.95 (d, J = 1.3 Hz, 1H), 7.72 (d, J = 8.4 Hz, 1H), 7.66 (dd, J = 8.9, 1.5 Hz, 1H), 7.62 (dd, J = 7.5, 4.9 Hz, 1H), 6.93 (s, 1H); 13C NMR (101 MHz, DMSO-d6) δ 164.7, 158.9, 155.0, 151.4, 147.0, 143.2, 139.6 (q, J = 32.4 Hz), 138.8, 132.9, 125.9, 123.6, 122.0 (q, J = 276.64 Hz), 116.7, 115.1 (d, J = 5.3 Hz), 109.3, 107.1; HR-MS (ESI): m/z calcd for C16H9ClF3N2O3+ ([M + H]+) 369.0248, found 369.0257.
3.2.4. General Procedure for the Synthesis of the Intermediates 6a–6r
Compound 4 (2.5 mmol) was dissolved in tetrahydrofuran (20.0 mL), and then DMAP (0.25 mmol) was added to the solution and cooled to 0 °C. To the mixture, 5.0 mmol of aryl sulfonyl chloride in 20 mL of pyridine solution was slowly added and stirred at room temperature for 2 h. After the reaction was completed, the reaction mixture was washed with water (100 mL × 3), and the organic phase was dried over with Na2SO4 and concentrated under reduced pressure. The crude product was purified by column chromatography using petroleum ether/ethyl acetate (Vpetroleum ether/Vethyl acetate = 5:1→2:1) as the eluent to produce compounds 6a–6r.
N-(3,4-dimethyl-2-oxo-2H-chromen-7-yl)benzenesulfonamide (6a): a yellow solid; mp: 257.0–258.8 °C; 1H NMR (400 MHz, DMSO-d6) δ 10.89 (s, 1H), 7.85 (d, J = 7.4 Hz, 2H), 7.68–7.48 (m, 4H), 7.08 (dd, J = 8.7, 1.9 Hz, 1H), 7.02 (d, J = 1.9 Hz, 1H), 2.28 (s, 3H), 2.03 (s, 3H); 13C NMR (101 MHz, DMSO-d6) δ 161.2, 152.4, 146.6, 140.5, 139.6, 133.7, 129.9, 127.2, 126.5, 119.9, 116.3, 115.2, 105.6, 15.1, 13.4; HR-MS (ESI): m/z calcd for C17H16SNO4+ ([M + H]+) 330.0795, found 330.0818.
N-(3,4-dimethyl-2-oxo-2H-chromen-7-yl)-4-methoxybenzenesulfonamide (6b): a white solid; mp: 207.2–208.6 °C; 1H NMR (400 MHz, DMSO-d6) δ 10.74 (s, 1H), 7.78 (d, J = 8.9 Hz, 2H), 7.62 (d, J = 8.7 Hz, 1H), 7.12–7.04 (m, 3H), 7.01 (d, J = 1.9 Hz, 1H), 3.79 (s, 3H), 2.28 (s, 3H), 2.03 (s, 3H); 13C NMR (101 MHz, DMSO-d6) δ 163.1, 161.2, 152.4, 146.6, 140.7, 131.1, 129.4, 126.5, 119.8, 116.1, 115.1, 115.0, 105.3, 56.1, 15.1, 13.4; HR-MS (ESI): m/z calcd for C18H17SNO5Na+ ([M + Na]+) 382.0720, found 382.0743.
N-(3,4-dimethyl-2-oxo-2H-chromen-7-yl)-4-fluorobenzenesulfonamide (6c): a yellow solid; mp: 238.5–240.0 °C; 1H NMR (400 MHz, DMSO-d6) δ 10.92 (s, 1H), 7.91 (dd, J = 8.6, 5.1 Hz, 2H), 7.50 (d, J = 8.7 Hz, 1H), 7.39 (t, J = 8.7 Hz, 2H), 7.03 (d, J = 8.7 Hz, 1H), 6.99 (s, 1H), 2.15 (s, 3H), 1.93 (s, 3H); 13C NMR (101 MHz, DMSO-d6) δ 166.2, 163.7, 161.1, 152.4, 146.4, 140.2, 136.0 (d, J = 3.0 Hz), 130.3 (d, J = 10.0 Hz), 126.5, 120.0, 117.1 (d, J = 23.0 Hz), 115.9 (d, J = 107.53 Hz), 105.8, 15.0, 13.3; HR-MS (ESI): m/z calcd for C17H14SFNO4Na+ ([M + Na]+) 370.0520, found 370.0539.
N-(3,4-dimethyl-2-oxo-2H-chromen-7-yl)-4-chlorobenzenesulfonamide (6d): a white solid; mp: 230.7–231.2 °C; 1H NMR (400 MHz, DMSO-d6) δ 10.97 (s, 1H), 7.84 (d, J = 8.5 Hz, 2H), 7.64 (t, J = 8.9 Hz, 3H), 7.16–6.93 (m, 2H), 2.27 (s, 3H), 2.02 (s, 3H); 13C NMR (101 MHz, DMSO-d6) δ 161.2, 152.4, 146.7, 140.2, 138.7, 138.4, 130.2, 129.1, 126.7, 120.1, 116.6, 115.5, 105.9, 15.2, 13.4; HR-MS (ESI): m/z calcd for C17H15SClNO4+ ([M + H]+) 364.0405, found 364.0429.
N-(3,4-dimethyl-2-oxo-2H-chromen-7-yl)-4-bromobenzenesulfonamide (6e): a yellow solid; mp: 238.4–240.1 °C; 1H NMR (400 MHz, DMSO-d6) δ 10.95 (s, 1H), 7.80 (d, J = 8.7 Hz, 2H), 7.75 (d, J = 8.6 Hz, 2H), 7.65 (d, J = 8.7 Hz, 1H), 7.07 (dd, J = 8.7, 2.1 Hz, 1H), 7.03 (d, J = 2.0 Hz, 1H), 2.29 (s, 3H), 2.04 (s, 3H); 13C NMR (101 MHz, DMSO-d6) δ 161.2, 152.4, 146.6, 140.1, 138.8, 133.1, 129.2, 127.7, 126.7, 120.1, 116.6, 115.4, 105.9, 15.1, 13.4; HR-MS (ESI): m/z calcd for C17H14SBrNO4Na+ ([M + Na]+) 429.9719, found 429.9743.
N-(3-ethyl-4-methyl-2-oxo-2H-chromen-7-yl)benzenesulfonamide (6f): a gray solid; mp: 199.9–200.4 °C; 1H NMR (400 MHz, DMSO-d6) δ 10.92 (s, 1H), 7.89–7.81 (m, 2H), 7.64–7.62 (m, 2H), 7.60–7.56 (m, 2H), 7.08 (dd, J = 8.7, 2.2 Hz, 1H), 7.04 (dd, J = 8.8, 2.2 Hz, 1H), 2.52–2.50 (m, 2H), 2.30 (s, 3H), 0.99 (t, J = 7.4 Hz, 3H); 13C NMR (101 MHz, DMSO-d6) δ 160.8, 152.5, 146.5, 140.6, 139.6, 133.8, 130.0, 127.2, 126.9, 125.7, 116.5, 115.3, 105.6, 20.7, 14.6, 13.3; HR-MS (ESI): m/z calcd for C18H17SNO4Na+ ([M + Na]+) 366.0771, found 366.0794.
N-(3-ethyl-4-methyl-2-oxo-2H-chromen-7-yl)-4-methoxybenzenesulfonamide (6g): a white solid; mp: 204.4–205.6 °C; 1H NMR (400 MHz, DMSO-d6) δ 10.77 (s, 1H), 7.78 (d, J = 8.8 Hz, 2H), 7.63 (d, J = 8.7 Hz, 1H), 7.12–7.05 (m, 3H), 7.02 (t, J = 5.3 Hz, 1H), 3.78 (s, 3H), 2.51 (q, J = 6.0 Hz, 2H), 2.30 (s, 3H), 1.00 (t, J = 7.4 Hz, 3H); 13C NMR (101 MHz, DMSO-d6) δ 163.1, 160.8, 152.5, 146.4, 140.8, 131.1, 129.4, 126.7, 125.6, 116.2, 115.1, 115.0, 105.3, 56.1, 20.7, 14.6, 13.3; HR-MS (ESI): m/z calcd for C19H19SNO5Na+ ([M + Na]+) 396.0876, found 396.0907.
N-(3-ethyl-4-methyl-2-oxo-2H-chromen-7-yl)-4-fluorobenzenesulfonamide (6h): a gray solid; mp: 209.8–211.3 °C; 1H NMR (400 MHz, DMSO-d6) δ 10.93 (s, 1H), 7.98–7.79 (m, 2H), 7.65 (d, J = 8.7 Hz, 1H), 7.42 (t, J = 8.8 Hz, 2H), 7.07 (dd, J = 8.7, 2.1 Hz, 1H), 7.03 (d, J = 2.1 Hz, 1H), 2.52 (d, J = 7.6 Hz, 2H), 2.31 (s, 3H), 1.00 (t, J = 7.4 Hz, 3H); 13C NMR (101 MHz, DMSO-d6) δ 166.2, 163.7, 160.7, 152.5, 146.3, 140.4, 135.9 (d, J = 3.0Hz), 130.4 (d, J = 10.0Hz), 126.3 (d, J = 97.0Hz), 117.2 (d, J = 23.0Hz), 116.5, 115.4, 105.8, 20.7, 14.5, 13.2; HR-MS (ESI): m/z calcd for C18H16SFNO4Na+ ([M + Na]+) 384.0676, found 384.0709.
N-(3-ethyl-4-methyl-2-oxo-2H-chromen-7-yl)-4-chlorobenzenesulfonamide (6i): a white solid; mp: 214.6–216.2 °C; 1H NMR (400 MHz, DMSO-d6) δ 10.93 (s, 1H), 7.98–7.79 (m, 2H), 7.65 (d, J = 8.7 Hz, 1H), 7.42 (t, J = 8.8 Hz, 2H), 7.07 (dd, J = 8.7, 2.1 Hz, 1H), 7.03 (d, J = 2.1 Hz, 1H), 2.52 (d, J = 7.6 Hz, 2H), 2.31 (s, 3H), 1.00 (t, J = 7.4 Hz, 3H); 13C NMR (101 MHz, DMSO-d6) δ 160.7, 152.5, 146.3, 140.2, 138.7, 138.4, 130.1, 129.1, 126.8, 125.9, 116.7, 115.5, 105.9, 20.7, 14.6, 13.2; HR-MS (ESI): m/z calcd for C18H17SClNO4+ ([M + H]+) 378.0561, found 378.0592.
N-(3-ethyl-4-methyl-2-oxo-2H-chromen-7-yl)-4-bromobenzenesulfonamide (6j): an orange solid; mp: 215.7–217.0 °C; 1H NMR (400 MHz, DMSO-d6) δ 10.98 (s, 1H), 7.85–7.69 (m, 4H), 7.60 (d, J = 8.7 Hz, 1H), 7.06 (dd, J = 8.7, 1.9 Hz, 1H), 7.02 (d, J = 1.8 Hz, 1H), 2.52–2.41 (m, 2H), 2.26 (s, 3H), 0.97 (t, J = 7.4 Hz, 3H); 13C NMR (101 MHz, DMSO-d6) δ 160.7, 152.5, 146.3, 140.2, 138.8, 133.1, 129.2, 127.7, 126.9, 125.9, 116.7, 115.4, 105.9, 20.7, 14.6, 13.3; HR-MS (ESI): m/z calcd for C20H20SBrNO4+ ([M + H]+) 422.0056, found 422.0053.
N-(6-oxo-7,8,9,10-tetrahydro-6H-benzo[c]chromen-3-yl)-4-methoxybenzenesulfonamide (6k): a white solid; mp: 218.5–220.1 °C; 1H NMR (400 MHz, DMSO-d6) δ 10.72 (s, 1H), 7.77 (d, J = 8.9 Hz, 2H), 7.56 (d, J = 8.6 Hz, 1H), 7.07 (dd, J = 10.9, 5.3 Hz, 3H), 7.02 (d, J = 1.9 Hz, 1H), 3.79 (s, 3H), 2.68 (d, J = 5.5 Hz, 2H), 2.37 (s, 2H), 1.73–1.69 (m, 4H); 13C NMR (101 MHz, DMSO-d6) δ 163.1, 160.8, 152.3, 147.4, 140.6, 131.1, 129.4, 125.3, 121.3, 115.7, 115.1, 115.0, 105.5, 56.1, 24.9, 24.0, 21.5, 21.1; HR-MS (ESI): m/z calcd for C20H20SNO5+ ([M + H]+) 386.1056, found 386.1052.
N-(6-oxo-7,8,9,10-tetrahydro-6H-benzo[c]chromen-3-yl)-4-fluorobenzenesulfonamide (6l): a yellow solid; mp: 215.8–217.0 °C; 1H NMR (400 MHz, DMSO-d6) δ 10.89 (s, 1H), 7.89 (ddd, J = 8.1, 5.1, 2.5 Hz, 2H), 7.58 (d, J = 8.6 Hz, 1H), 7.42 (dd, J = 12.3, 5.4 Hz, 2H), 7.07 (dd, J = 8.6, 2.1 Hz, 1H), 7.04 (d, J = 2.1 Hz, 1H), 2.69 (s, 2H), 2.37 (s, 2H), 1.83–1.54 (m, 4H); 13C NMR (101 MHz, DMSO-d6) δ 166.2, 163.7, 160.8, 152.3, 147.4, 140.1, 135.9 (d, J = 3.0 Hz), 130.3 (d, J = 9.0 Hz), 125.4, 121.6, 117.2 (d, J = 23.0 Hz), 115.7 (d, J = 58.0 Hz), 105.9, 24.9, 24.0, 21.5, 21.1; HR-MS (ESI): m/z calcd for C19H17SFNO4+ ([M + H]+) 374.0856, found 374.0855.
N-(6-oxo-7,8,9,10-tetrahydro-6H-benzo[c]chromen-3-yl)-4-bromobenzenesulfonamide (6m): a pink solid; mp: 217.7–219.3 °C; 1H NMR (400 MHz, DMSO-d6) δ 10.95 (s, 1H), 7.86–7.66 (m, 4H), 7.48 (d, J = 8.5 Hz, 1H), 7.10–6.97 (m, 2H), 2.60 (s, 2H), 2.32 (s, 2H), 1.66 (d, J = 4.3 Hz, 4H); 13C NMR (101 MHz, DMSO-d6) δ 160.8, 152.3, 147.4, 140.0, 138.8, 133.1, 129.2, 127.7, 125.5, 121.7, 116.1, 115.5, 106.0, 24.9, 24.0, 21.5, 21.1; HR-MS (ESI): m/z calcd for C19H17SBrNO4+ ([M + H]+) 434.0056, found 434.0052.
N-(3-chloro-4-methyl-2-oxo-2H-chromen-7-yl)benzenesulfonamide (6n): a yellow solid; mp: 260.2–261.8 °C; 1H NMR (400 MHz, DMSO-d6) δ 11.09 (s, 1H), 7.94–7.80 (m, 2H), 7.67–7.61 (m, 2H), 7.61–7.54 (m, 2H), 7.12 (dt, J = 15.1, 7.6 Hz, 1H), 7.06 (d, J = 2.1 Hz, 1H), 2.40 (s, 3H); 13C NMR (126 MHz, DMSO-d6) δ 157.0, 152.5, 149.2, 142.2, 140.0, 134.4, 130.5, 128.0, 127.7, 118.6, 116.0, 115.9, 105.8, 16.8; HR-MS (ESI): m/z calcd for C16H13SClNO4+ ([M + H]+) 350.0248, found 350.0246.
N-(3-chloro-4-methyl-2-oxo-2H-chromen-7-yl)-4-methoxybenzenesulfonamide (6o): a yellow solid; mp: 242.9–244.2 °C; 1H NMR (400 MHz, DMSO-d6) δ 10.93 (s, 1H), 7.80 (d, J = 8.9 Hz, 1H), 7.73 (d, J = 8.8 Hz, 1H), 7.16–7.12 (m, 1H), 7.10 (d, J = 8.9 Hz, 1H), 7.07 (d, J = 2.0 Hz, 1H), 3.80 (s, 1H), 2.47 (s, 1H); 13C NMR (101 MHz, DMSO-d6) δ 163.2, 156.5, 152.1, 148.7, 142.0, 131.0, 129.5, 127.4, 118.0, 115.3, 115.2, 115.1, 105.1, 56.1, 16.3; HR-MS (ESI): m/z calcd for C17H15SClNO5+ ([M + H]+) 380.0354, found 380.0360.
N-(3-chloro-4-methyl-2-oxo-2H-chromen-7-yl)-4-fluorobenzenesulfonamide (6p): a yellow solid; mp: 234.4–235.1 °C; 1H NMR (400 MHz, DMSO-d6) δ 11.09 (s, 1H), 7.97–7.88 (m, 2H), 7.65 (d, J = 8.7 Hz, 1H), 7.41 (t, J = 8.8 Hz, 2H), 7.11 (dd, J = 8.7, 2.0 Hz, 1H), 7.05 (d, J = 2.0 Hz, 1H), 2.39 (s, 3H); 13C NMR (101 MHz, DMSO-d6) δ 166.3, 163.8, 156.4, 152.0, 148.6, 141.5, 135.9 (d, J = 3.0 Hz), 130.3 (d, J = 9.0 Hz), 127.4, 118.2, 117.2 (d, J = 23.0 Hz), 115.5 (d, J = 10.0 Hz), 105.5, 16.3; HR-MS (ESI): m/z calcd for C16H12SFClNO4+ ([M + H]+) 368.0154, found 368.0153.
N-(3-chloro-4-methyl-2-oxo-2H-chromen-7-yl)-4-chlorobenzenesulfonamide (6q): a yellow solid; mp: 220.1–221.8 °C; 1H NMR (400 MHz, DMSO-d6) δ 11.13 (s, 1H), 7.87 (d, J = 8.6 Hz, 2H), 7.75 (d, J = 8.7 Hz, 1H), 7.67 (d, J = 8.6 Hz, 2H), 7.14 (dd, J = 8.7, 2.1 Hz, 1H), 7.09 (d, J = 2.0 Hz, 1H), 2.48 (s, 3H); 13C NMR (101 MHz, DMSO-d6) δ 156.5, 152.1, 148.7, 141.4, 138.8, 138.3, 130.2, 129.1, 127.6, 118.3, 115.7, 115.7, 105.7, 16.4; HR-MS (ESI): m/z calcd for C16H12SCl2NO4+ ([M + H]+) 383.9858, found 383.9842.
N-(3-chloro-4-methyl-2-oxo-2H-chromen-7-yl)-4-bromobenzenesulfonamide (6r): a yellow solid; mp: 207.8–209.2 °C; 1H NMR (400 MHz, DMSO-d6) δ 11.13 (s, 1H), 7.82 (d, J = 8.8 Hz, 1H), 7.78 (d, J = 8.8 Hz, 1H), 7.74 (d, J = 8.7 Hz, 1H), 7.14 (dd, J = 8.7, 1.9 Hz, 1H), 7.09 (d, J = 1.9 Hz, 1H), 2.47 (s, 2H); 13C NMR (101 MHz, DMSO-d6) δ 156.5, 152.1, 148.7, 141.4, 138.7, 133.2, 129.2, 127.9, 127.7, 118.3, 115.7, 105.6, 16.4; HR-MS (ESI): m/z calcd for C16H12SClBrNO4+ ([M + H]+) 429.9331, found 429.9325.
3.3. Antifungal Bioassay
The antifungal activity of the target compounds against Botrytis cinerea, Alternaria solani, Gibberella zeae, Rhizoctorzia solani, Cucumber anthrax, and Alternaria leaf spot was assessed by the mycelium growth rate method according to the literature [26]. The tested compounds (10 mg) were dissolved in 2 mL of DMSO to make a solution of 5 mg/mL. The solution (0.1 mL) was taken and added to 50 mL of sterilized PDA medium to make a drug-containing medium with a concentration of 50 μg/mL. The medium was poured into 3 sterile petri dishes with an average diameter of 9 cm. The medium with the same amount of DMSO (0.1 mL) added was used as a control. Osthole was taken as the positive control at the same concentration. The preserved strains could be used after being activated twice continuously in a fresh sterile PDA medium. A puncher (inner diameter of 0.5 cm) was used to make a bacterial cake at the edge of the colony. The bacterial cake was inserted into the center of the medium plate with an inoculation needle and cultured in an incubator at 25 °C. The diameters of the colonies on the medium for solvent control were measured when they grew to 2/3 of the diameter of the plate. The diameters of each colony were measured twice with the cross method, and the average value was calculated. Each concentration and two controls were repeated three times, and the data were averaged. According to the preliminary screening results of in vitro activity, compounds with an inhibition rate greater than 60% at a concentration of 50 μg/mL were further tested for their EC50 values. The concentration gradients of 50, 25, 12.5, 6.25, and 3.125 μg/mL were set, and the EC50 values of the selected compounds against the tested plant pathogenic fungi were determined by the mycelial growth rate method. The data are listed in Table 3 and Table 4, respectively.
4. Conclusions
In summary, two series of coumarin 7-carboxamide/sulfonamide derivatives were designed and efficiently synthesized. All target compounds were confirmed by 1H NMR,13C NMR, and HRMS spectra. Biological assays indicated that the synthesized coumarin derivatives the antifungal activity displayed against Botrytis cinerea and Rhizoctorzia solani was generally better than that against Alternaria solani, Gibberella zeae, Cucumber anthrax, and Alternaria leaf spot. In particular, compounds 6d, 6e, 6q, and 6r possessed effective antifungal activity against Botrytis cinerea (EC50 = 27.34, 27.76, 27.78, and 20.52 µg/mL), which was better than that of Osthole (33.67 μg/mL). Among them, compound 6r was the most promising candidates for further study. Further investigations to modify the coumarin derivatives are well underway, aiming to improve their levels of antifungal activity.
Supplementary Materials
The following supporting information can be downloaded at: https://www.mdpi.com/article/10.3390/molecules27206904/s1, 1H-NMR, 13C-NMR and HR-MS spectra of the title compounds.
Author Contributions
W.-H.Z. conceived and designed the experiments; S.-G.Z., Y.-Q.W. and Y.W. carried out the synthesis, characterization, and antifungal activity assay of all the compounds; S.-G.Z. prepared the manuscript for publication. All authors discussed the contents of the manuscript. All authors have read and agreed to the published version of the manuscript.
Funding
This research received no external funding.
Institutional Review Board Statement
Not applicable.
Informed Consent Statement
Not applicable.
Data Availability Statement
The data presented in this study are available in the article and Supplementary Materials.
Conflicts of Interest
The authors declare no conflict of interest.
Sample Availability
Samples of the compounds are available from the authors.
References
- Ray, M.; Ray, A.; Dash, S.; Mishra, A.; Achary, K.G.; Nayak, S.; Singh, S. Fungal disease detection in plants: Traditional assays, novel diagnostic techniques and biosensors. Biosens. Bioelectron. 2017, 87, 708–723. [Google Scholar] [CrossRef] [PubMed]
- Gobeil-Richard, M.; Tremblay, D.M.; Beaulieu, C.; Van der Heyden, H.; Carisse, O. A pyrosequencing-based method to quantify genetic substitutions associated with resistance to succinate dehydrogenase inhibitor fungicides in Botrytis spp. populations. Pest. Manag. Sci. 2016, 72, 566–573. [Google Scholar] [CrossRef] [PubMed]
- Cooper, J.; Dobson, H. The benefits of pesticides to mankind and the environment. Crop. Prot. 2007, 26, 1337–1348. [Google Scholar] [CrossRef]
- Arif, T.; Bhosale, J.D.; Kumar, N.; Mandal, T.K.; Bendre, R.S.; Lavekar, G.S.; Dabur, R. Natural products-antifungal agents derived from plants. J. Asian Nat. Prod. Res. 2009, 11, 621–638. [Google Scholar] [CrossRef]
- G, C.A.; Gondru, R.; Li, Y.P.; Banothu, J. Coumarin-benzimidazole hybrids: A review of developments in medicinal chemistry. Eur. J. Med. Chem. 2022, 227, 113921. [Google Scholar] [CrossRef]
- Dorabbabu, A. Coumarin-heterocycle framework: A privileged approach in promising anticancer drug design. Eur. J. Med. Chem. Rep. 2021, 2, 100006–100017. [Google Scholar] [CrossRef]
- Hassan, M.Z.; Osman, H.; Ali, M.A.; Ahsan, M.J. Regioselective IBX-mediated synthesis of coumarin derivatives with antioxidant and anti-influenza activities. J. Nat. Prod. 2017, 80, 3247–3254. [Google Scholar] [CrossRef]
- Bayazeed, A.; Alshehrei, F.; Muhammad, Z.A.; AI-Fahemi, J.; EI-Metwaly, N.; Farghaly, T.A. Synthesis of coumarin-annlogues: Analytical, spectral, conformational, MOE-docking and antimicrobial studies. ChemistrySelect 2020, 5, 1–18. [Google Scholar] [CrossRef]
- Hua, C.J.; Niu, W.J.; Li, Y.J. Optical property investigations of coumarin and indene diketone structure dyes: Experiment and calculation. Results Chem. 2022, 4, 100257–100262. [Google Scholar] [CrossRef]
- Dixon, R.A.; Paiva, N.L. Stress-induced phenylpropanoid metabolism. Plant Cell. 1995, 7, 1085–1097. [Google Scholar] [CrossRef]
- Vogl, S.; Zehl, M.; Picker, P.; Urban, E.; Wawrosch, C.; Reznicek, G.; Saukel, J.; Kopp, B. Identification and quantification of coumarins in Peucedanum ostruthium (L.) Koch by HPLC-DAD and HPLC-DAD-MS. J. Agric. Food. Chem. 2011, 59, 4371–4377. [Google Scholar] [CrossRef] [PubMed]
- Zhang, J.; Zhu, F.D.; Gu, M.X.; Ye, H.C.; Gu, L.S.; Zhan, L.G.; Liu, C.L.; Yan, C.; Feng, G. Inhibitory activity and action mechanism of coumoxystrobin against Phytophthora litchii, which causes litchi fruit downy blight. Postharvest. Biol. Tec. 2021, 181, 111675. [Google Scholar] [CrossRef]
- Zhang, R.R.; Liu, J.; Zhang, Y.; Hou, M.Q.; Zhang, M.Z.; Zhou, F.E.; Zhang, W.H. Microwave-assisted synthesis and antifungal activity of novel coumarin derivatives: Pyrano[3,2-c]chromene-2,5-diones. Eur. J. Med. Chem. 2016, 116, 76–83. [Google Scholar] [CrossRef]
- Zhang, M.Z.; Zhang, R.R.; Wang, J.Q.; Yu, X.; Zhang, Y.L.; Wang, Q.Q.; Zhang, W.H. Microwave-assisted synthesis and antifungal activity of novel fused Osthole derivatives. Eur. J. Med. Chem. 2016, 124, 10–16. [Google Scholar] [CrossRef]
- Yu, X.; Teng, P.; Zhang, Y.L.; Xu, Z.J.; Zhang, M.Z.; Zhang, W.H. Design, synthesis and antifungal activity evaluation of coumarin-3-carboxamide derivatives. Fitoterapia 2018, 127, 387–395. [Google Scholar] [CrossRef]
- Zhang, S.G.; Liang, C.G.; Sun, Y.Q.; Teng, P.; Wang, J.Q.; Zhang, W.H. Design, synthesis and antifungal activities of novel pyrrole-and pyrazole-substituted coumarin derivatives. Mol. Divers. 2019, 23, 915–925. [Google Scholar] [CrossRef]
- Wang, Q.Q.; Zhang, S.G.; Jiao, J.; Dai, P.; Zhang, W.H. Novel fluorinated 7-hydroxycoumarin derivatives containing an oxime ether moiety: Design, synthesis, crystal structure and biological evaluation. Molecules 2021, 26, 372. [Google Scholar] [CrossRef]
- Song, Y.Y.; Zhang, Z.Q.; Chen, L.L.; He, L.M.; Lu, H.B.; Rem, Y.P.; Mu, W.; Liu, F. Baseline sensitivity of Botrytis cinerea to the succinate dehydrogenase inhibitor isopyrazam and efficacy of this fungicide. Plant Dis. 2016, 100, 1314–1320. [Google Scholar] [CrossRef]
- Vargas-Pérez, M.; González, F.J.E.; Frenich, A.G. Dissipation and residue determination of fluopyram and its metabolites in greenhouse crops. J. Sci. Food. Agric. 2020, 100, 4826–4833. [Google Scholar] [CrossRef]
- d’Hose, D.; Isenborghs, P.; Brusa, D.; Jordan, B.F.; Gallez, B. The short-term exposure to SDHI fungicides boscalid and bixafen induces a mitochondrial dysfunctionin selective human cell lines. Molecules 2021, 26, 5842. [Google Scholar] [CrossRef]
- Lin, J.; Zhou, S.; Xu, J.X.; Yao, W.Q.; Hao, G.F.; Li, Y.T. Design, synthesis, and structure-activity relationship of economical triazole sulfonamide aryl derivatives with high fungicidal activity. J. Agric. Food. Chem. 2020, 68, 6792–6801. [Google Scholar] [CrossRef]
- Chohan, H.Z.; Shaikh, U.A.; Rauf, A.; Supuran, T.C. Antibacterial, antifungal and cytotoxic properties of novel N-substituted sulfonamides from 4-hydroxycoumarin. J. Enzym. Inhib. Med. Chem. 2006, 21, 741–748. [Google Scholar] [CrossRef]
- Huang, M.; Xie, S.S.; Jiang, N.; Lan, J.S.; Kong, L.Y.; Wang, X.B. Multifunction coumarin derivatives: Monoamine oxidase B (MAO-B) inhibition, anti-β-amyloid (Aβ) aggregation and metal chelation properties against Alzheimer’s disease. Bioorg. Med. Chem. Lett. 2015, 25, 508–513. [Google Scholar] [CrossRef] [PubMed]
- Kathuria, A.; Priya, N.; Chand, K.; Singh, P.; Jalal, S.; Gupta, S.; Raj, H.G.; Sharma, S.K. Substrate specificity of acetoxy derivatives of coumarins and quinolones towards calreticulin mediated transacetylation: Investigations on antiplatelet function. Bioorg. Med. Chem. 2012, 20, 1624–1638. [Google Scholar] [CrossRef] [PubMed]
- Yu, H.N.; Hou, Z.; Tian, Y.; Mou, Y.H.; Guo, C. Design, synthesis, cytotoxicity and mechanism of novel dihydroartemisinin-coumarin hybrids as potential anti-cancer agents. Eur. J. Med. Chem. 2018, 151, 434–448. [Google Scholar] [CrossRef] [PubMed]
- Liu, Y.F.; Chen, Z.Y.; Ng, T.B.; Zhang, J.; Zhou, M.G.; Song, F.P.; Lu, F.; Liu, Y.Z. Bacisubin, an antifungal protein with ribonuclease and hemagglutinating activities from Bacillus subtilis strain B-916. Peptides 2007, 28, 553–559. [Google Scholar] [CrossRef]
Publisher’s Note: MDPI stays neutral with regard to jurisdictional claims in published maps and institutional affiliations. |
© 2022 by the authors. Licensee MDPI, Basel, Switzerland. This article is an open access article distributed under the terms and conditions of the Creative Commons Attribution (CC BY) license (https://creativecommons.org/licenses/by/4.0/).

