Synthesis, Docking Studies and Pharmacological Evaluation of Serotoninergic Ligands Containing a 5-Norbornene-2-Carboxamide Nucleus
Abstract
1. Introduction
2. Results and Discussion
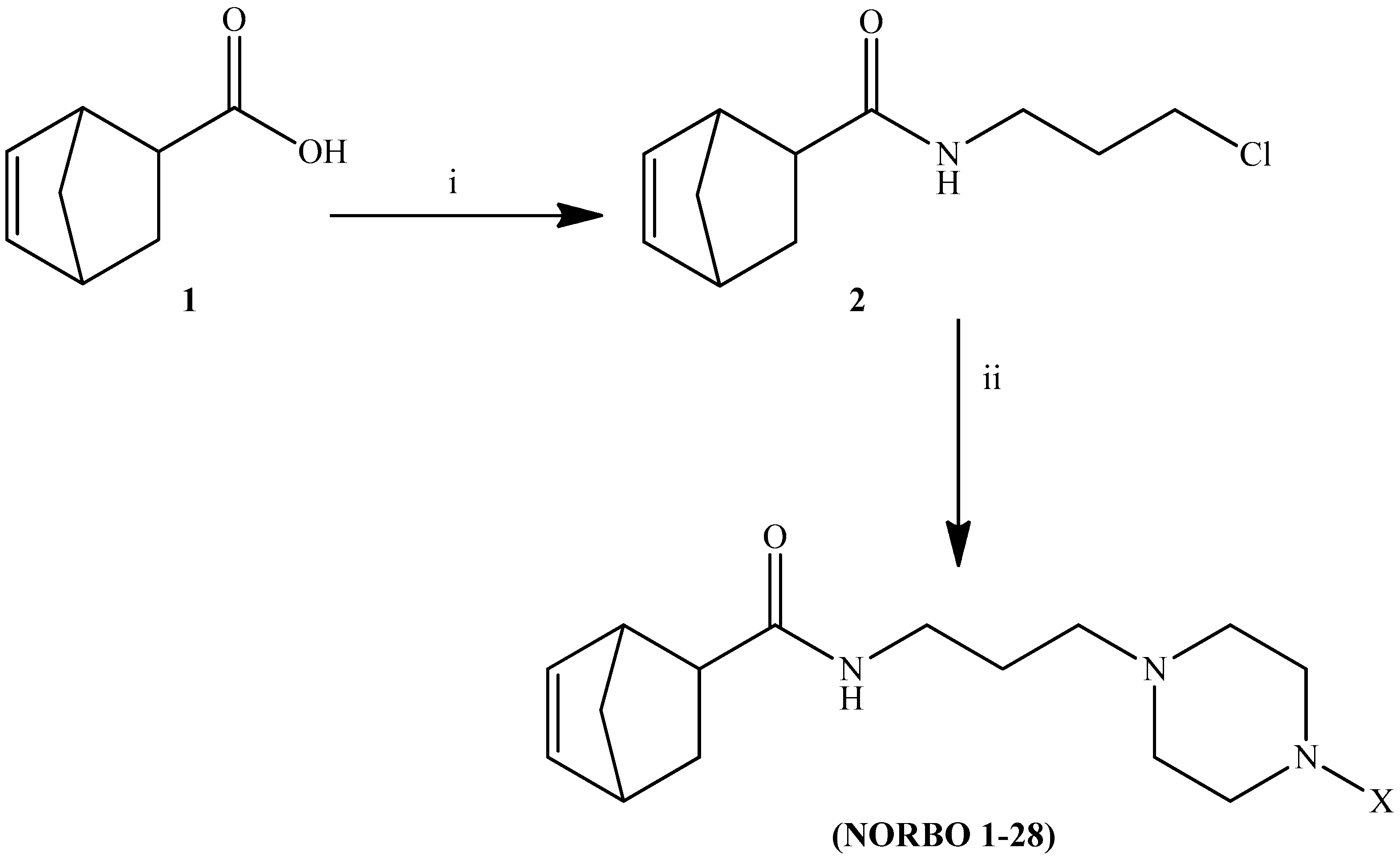
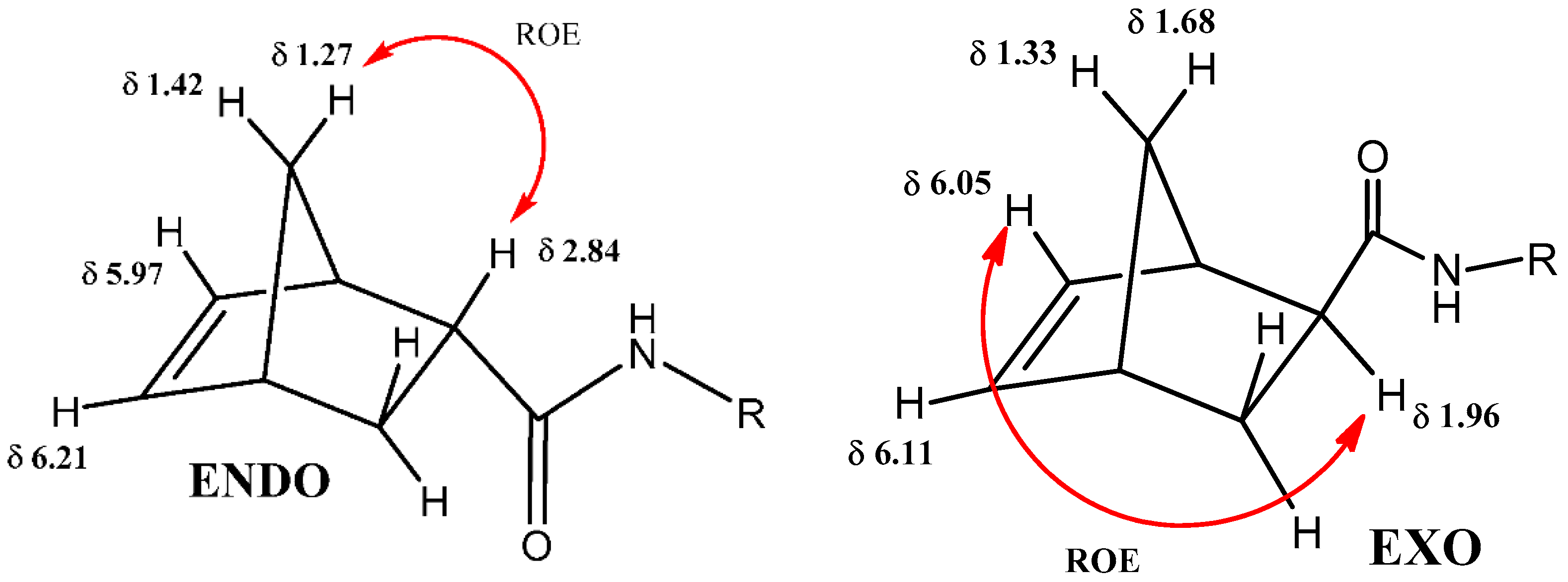
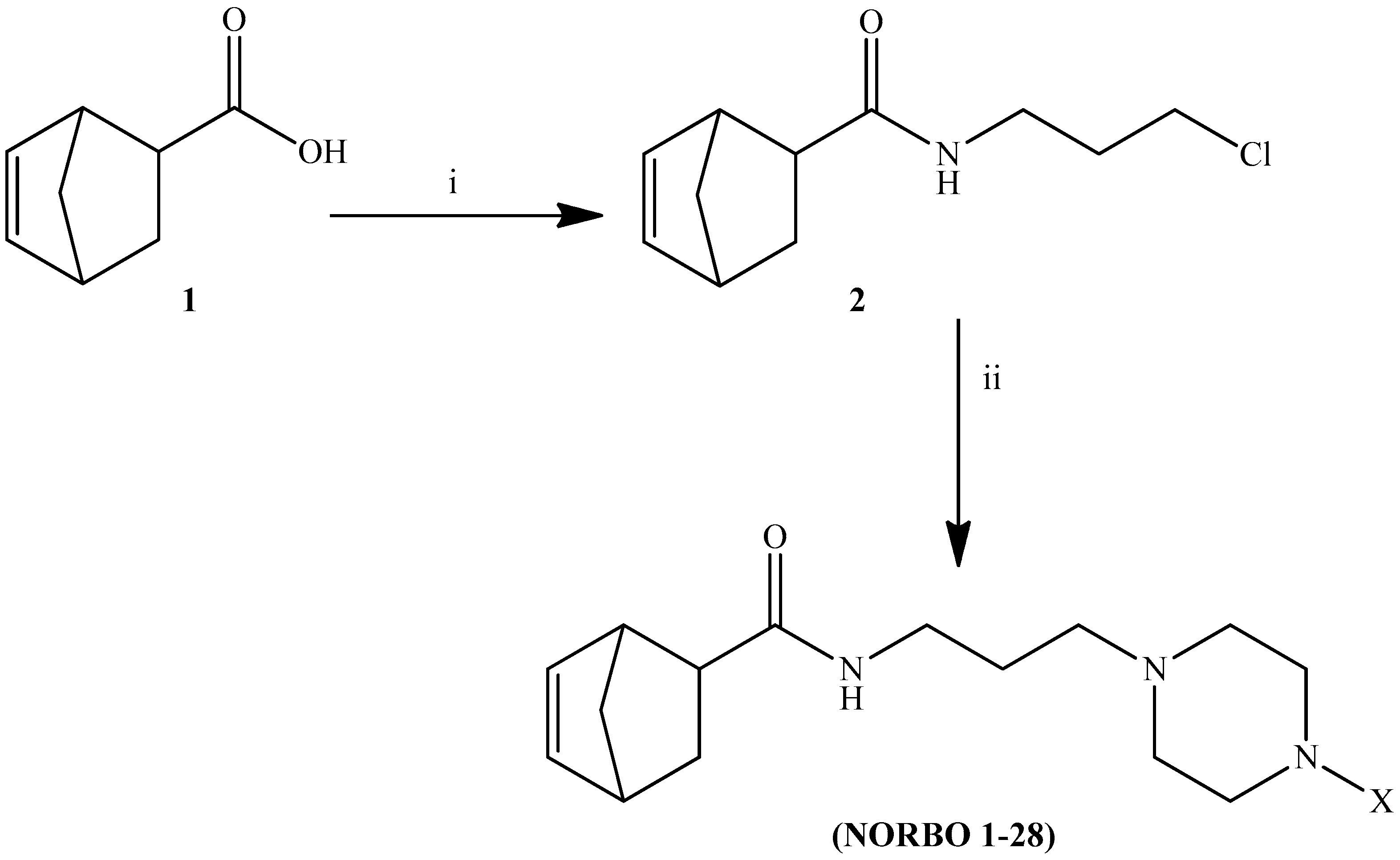
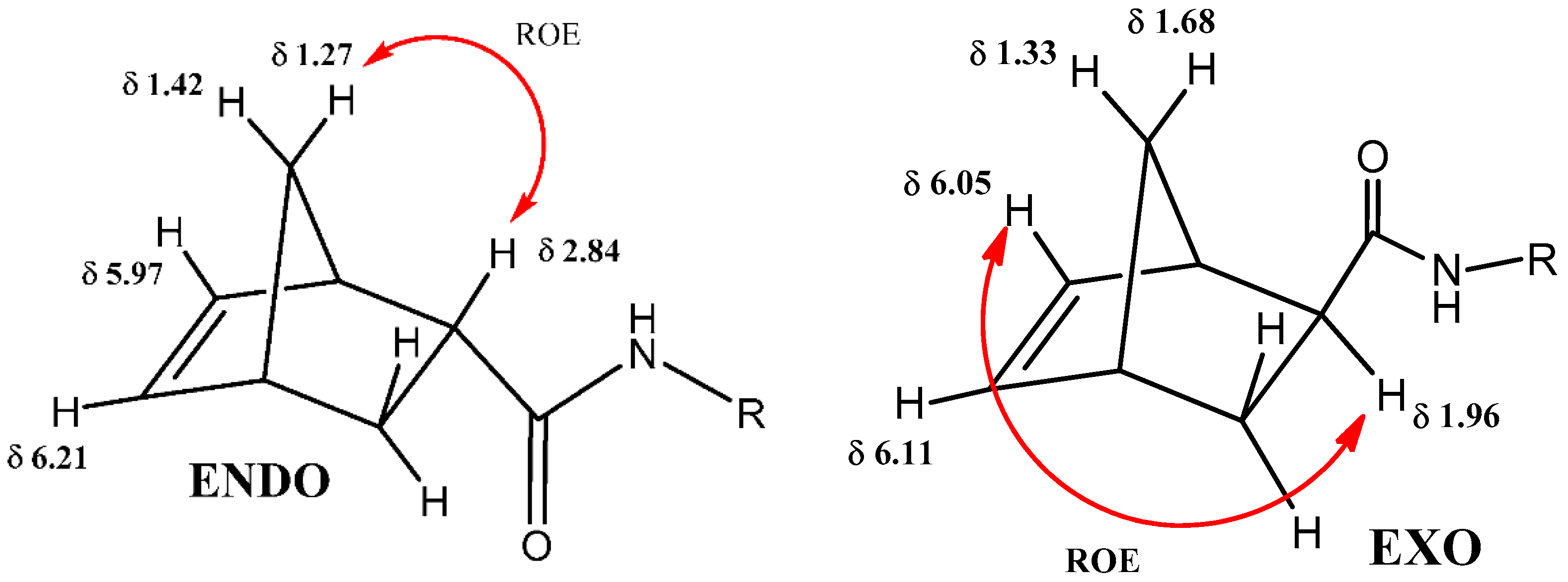
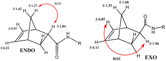
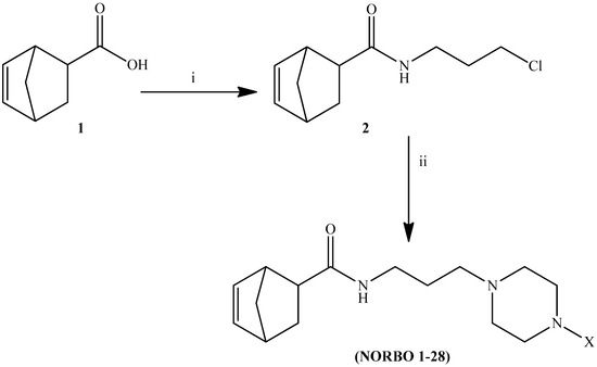
2.1. Chemistry
2.2. Functional Activation of the 5-HT1A and D2 Receptors
2.3. 5-HT2A and 5-HT2C Receptor Binding
2.4. In Vitro Evaluation of 5-HT-Evoked Contractions
2.5. Molecular Docking Studies
2.6. In Vivo Behavioral Test
3. Conclusions
4. Materials and Methods
4.1. Synthesis
4.1.1. General Procedures
4.1.2. Synthesis of N-(3-Chloropropyl)bicyclo[2.2.1]hept-5-ene-2-carboxamide (2)
4.1.3. General Procedure for the Synthesis of Norbornene Derivatives (Norbo-1-28)
4.1.4. Synthesis of Exo-N-(3-(4-phenylpiperazin-1-yl) propyl)bicyclo[2.2.1]hept-5-ene-2-carboxamide (Norbo-1) and endo-N-(3-(4-phenylpiperazin-1-yl)propyl)bicyclo[2.2.1]hept-5-ene-2-carboxamide (Norbo-2)
4.1.5. Synthesis of Exo-N-(3-(4-(2,3-dimethylphenyl) piperazin-1-yl)propyl)bicyclo[2.2.1]hept-5-ene-2-carboxamide (Norbo-3) and endo-N-(3-(4-(2,3-dimethylphenyl) piperazin-1-yl)propyl)bicyclo[2.2.1]hept-5-ene-2-carboxamide (Norbo-4)
4.1.6. Synthesis of Exo-N-(3-(4-(2-methoxyphenyl) piperazin-1-yl)propyl)bicyclo[2.2.1]hept-5-ene-2-carboxamide (Norbo-5) and endo-N-(3-(4-(2-methoxyphenyl) piperazin-1-yl)propyl)bicyclo[2.2.1]hept-5-ene-2-carboxamide (Norbo-6)
4.1.7. Synthesis of Exo-N-(3-(4-(4-methoxyphenyl) piperazin-1-yl)propyl)bicyclo[2.2.1]hept-5-ene-2-carboxamide (Norbo-7) and endo-N-(3-(4-(4-methoxyphenyl) piperazin-1-yl) propyl) bicyclo[2.2.1]hept-5-ene-2-carboxamide (Norbo-8)
4.1.8. Synthesis of Exo-N-(3-(4-(2-chlorophenyl) piperazin-1-yl) propyl) bicyclo[2.2.1]hept-5-ene-2-carboxamide (Norbo-9) and endo-N-(3-(4-(2-chlorophenyl) piperazin-1-yl)propyl)bicyclo[2.2.1]hept-5-ene-2-carboxamide (Norbo-10)
4.1.9. Synthesis of Exo-N-(3-(4-(4-chlorophenyl) piperazin-1-yl)propyl)bicyclo[2.2.1]hept-5-ene-2-carboxamide (Norbo-11) and endo-N-(3-(4-(4-chlorophenyl) piperazin-1-yl)propyl)bicyclo[2.2.1]hept-5-ene-2-carboxamide (Norbo-12)
4.1.10. Synthesis of Exo-N-(3-(4-(3,4-dichlorophenyl)piperazin-1-yl)propyl)bicyclo[2.2.1]hept-5-ene-2-carboxamide (Norbo-13) and endo-N-(3-(4-(3,4-dichlorophenyl)piperazin-1-yl)propyl)bicyclo[2.2.1]hept-5-ene-2-carboxamide (Norbo-14)
4.1.11. Synthesis of Exo-N-(3-(4-(2-fluorophenyl)piperazin-1-yl)propyl)bicyclo[2.2.1]hept-5-ene-2-carboxamide (Norbo-15) and endo.-N-(3-(4-(2-fluorophenyl)piperazin-1-yl)propyl)bicyclo[2.2.1]hept-5-ene-2-carboxamide (Norbo-16)
4.1.12. Synthesis of Exo-N-(3-(4-(4-fluorophenyl)piperazin-1-yl)propyl)bicyclo[2.2.1]hept-5-ene-2-carboxamide (Norbo-17) and endo.-N-(3-(4-(4-fluorophenyl)piperazin-1-yl)propyl)bicyclo[2.2.1]hept-5-ene-2-carboxamide (Norbo-18)
4.1.13. Synthesis of Exo-N-(3-(4-(3-(trifluoromethyl)phenyl)piperazin-1-yl)propyl)bicyclo[2.2.1]hept-5-ene-2-carboxamide (Norbo-19) and endo-N-(3-(4-(3-(trifluoromethyl)phenyl)piperazin-1-yl)propyl)bicyclo[2.2.1]hept-5-ene-2-carboxamide (Norbo-20)
4.1.14. Synthesis of Exo-N-(3-(4-(pyridin-2-yl)piperazin-1-yl)propyl)bicyclo[2.2.1]hept-5-ene-2-carboxamide (Norbo-21) endo-N-(3-(4-(pyridin-2-yl)piperazin-1-yl)propyl)bicyclo[2.2.1]hept-5-ene-2-carboxamide (Norbo-22)
4.1.15. Synthesis of Exo-N-(3-(4-(pyrimidin-2-yl)piperazin-1-yl)propyl)bicyclo[2.2.1]hept-5-ene-2-carboxamide (Norbo-23) and endo-N-(3-(4-(pyrimidin-2-yl)piperazin-1-yl)propyl)bicyclo[2.2.1]hept-5-ene-2-carboxamide (Norbo-24)
4.1.16. Synthesis of Exo-N-(3-(4-(benzo[d][1,3]dioxol-5-ylmethyl)piperazin-1-yl)propyl)bicyclo[2.2.1]hept-5-ene-2-carboxamide (Norbo-25) and endo-N-(3-(4-(benzo[d][1,3]dioxol-5-ylmethyl)piperazin-1-yl)propyl)bicyclo[2.2.1]hept-5-ene-2-carboxamide (Norbo-26)
4.1.17. Synthesis of Exo- N-(3-(4-(furan-2-carbonyl)piperazin-1-yl)propyl)bicyclo[2.2.1]hept-5-ene-2-carboxamide (Norbo-27) and endo-N-(3-(4-(furan-2-carbonyl)piperazin-1-yl)propyl)bicyclo[2.2.1]hept-5-ene-2-carboxamide (Norbo-28)
4.2. In Vitro Receptor Assays
4.2.1. Functional 5-HT1A Receptor Assay
4.2.2. 5-HT2A Competition Binding Assay
4.2.3. 5-HT2C Competition Binding Assay
4.2.4. Functional D2 Receptor Assay
4.3. Computational Methods
4.3.1. Compound Preparation
4.3.2. Receptor Structures
4.3.3. Molecular Docking
4.4. In Vivo Behavioral Tests
4.4.1. General Procedures
4.4.2. Spontaneous Locomotor Activity
4.4.3. Motor Coordination
4.4.4. FST (Porsolt’s Test) in Mice
4.4.5. EPM Test
4.4.6. Statistical Analysis
4.5. Ex Vivo Assays
4.5.1. General Procedures
4.5.2. Ileum Preparation and Evaluation of 5-HT-Evoked Contractions
Author Contributions
Funding
Institutional Review Board Statement
Acknowledgments
Conflicts of Interest
Sample Availability
References
- Newman-Tancredi, A.; Depoortère, Y.R.; Kleven, M.S.; Kolaczkowski, M.; Zimmer, L. Translating biased agonists from molecules to medications: Serotonin 5-HT1A receptor functional selectivity for CNS disorders. Pharm. Therap. 2022, 229, 107937. [Google Scholar] [CrossRef]
- De Vry, J. 5-HT1A receptor agonists: Recent developments and controversial issues. Psychopharmacology 1995, 121, 1–26. [Google Scholar] [CrossRef]
- File, S.E. Recent developments in anxiety, stress, and depression. Pharmacol. Biochem. Behav. 1996, 54, 3–12. [Google Scholar] [CrossRef]
- Neckelmann, D.; Bjorkum, A.A.; Bjorvatn, B.; Ursin, R. Sleep and EEG power spectral effects of the 5-HT1A agonist/antagonist NAN 190 alone and in combination with citalopram. Behav. Brain Res. 1996, 75, 159–168. [Google Scholar] [CrossRef]
- Peroutka, S.J. Serotonin Receptor Subtypes. CNS Drugs 1995, 4, 18–28. [Google Scholar] [CrossRef]
- Saxena, P.R. Serotonin receptors: Subtypes, functional responses and therapeutic relevance. Pharmacol. Ther. 1995, 66, 339–368. [Google Scholar] [CrossRef]
- Cowen, D.S.; Sowers, R.S.; Manning, D.R. Activation of a mitogen-activated protein kinase (ERK2) by the 5-hydroxytryptamine 1A receptor is sensitive not only to inhibitors of phosphatidylinositol 3-kinase, but to an inhibitor of phosphatidylcholine hydrolysis. J. Biol. Chem. 1996, 271, 22297–22300. [Google Scholar] [CrossRef]
- Adayev, T.; El-Sherif, Y.; Barua, M.; Penington, N.J.; Banerjee, P. Agonist Stimulation of the Serotonin1A Receptor Causes Suppression of Anoxia-Induced Apoptosis via Mitogen-Activated Protein Kinase in Neuronal HN2-5 Cells. J. Neurochem. 2001, 72, 1489–1496. [Google Scholar] [CrossRef]
- Corvino, A.; Fiorino, F.; Severino, B.; Saccone, I.; Frecentese, F.; Perissutti, E.; Di Vaio, P.; Caliendo, G.; Magli, E. The Role of 5-HT1A Receptor in Cancer as a New Opportunity in Medicinal Chemistry. Curr. Med. Chem. 2018, 25, 3214–3227. [Google Scholar] [CrossRef] [PubMed]
- Casey, B.A.; Mukherjee, M.; McGlynn, P.R.; Cui, M.; Kohut, J.S.; Booth, G.R. A new class of 5-HT2A/5-HT2C receptor inverse agonists: Synthesis, molecular modeling, in vitro and in vivo pharmacology of novel 2-aminotetralins. Br. J. Pharmacol. 2022, 179, 2610–2630. [Google Scholar] [CrossRef]
- Kumar, R.R.; Sahu, B.; Pathania, S.; Singh, P.K.; Akhtar, M.J.; Kumar, B. Piperazine, a Key Substructure for Antidepressants: Its Role in Developments and Structure-Activity Relationships. ChemMedChem 2021, 16, 1878–1901. [Google Scholar] [CrossRef] [PubMed]
- Kucwaj-Brysz, K.; Kurczab, R.; Żesławska, E.; Lubelska, A.; Marć, M.A.; Latacz, G.; Satała, G.; Nitek, W.; Kieć-Kononowicz, K.; Handzlik, J. The role of aryl-topology in balancing between selective and dual 5-HT7R/5-HT1A actions of 3,5-substituted hydantoins. MedChemComm 2018, 9, 1033–1044. [Google Scholar] [CrossRef] [PubMed]
- Caliendo, G.; Fiorino, F.; Grieco, P.; Perissutti, E.; Santagada, V.; Severino, B.; Bruni, G.; Romeo, M.R. Synthesis of new 1,2,3-benzotriazin-4-one-arylpiperazine derivatives as 5-HT1A serotonin receptor ligands. Bioorg. Med. Chem. 2000, 8, 533–538. [Google Scholar] [CrossRef]
- Fiorino, F.; Perissutti, E.; Severino, B.; Santagada, V.; Cirillo, D.; Terracciano, S.; Massarelli, P.; Bruni, G.; Collavoli, E.; Renner, A.C.; et al. New 5-Hydroxytryptamine1A Receptor Ligands Containing a Norbornene Nucleus: Synthesis and in Vitro Pharmacological Evaluation. J. Med. Chem. 2005, 48, 5495–5503. [Google Scholar] [CrossRef] [PubMed]
- Fiorino, F.; Severino, B.; De Angelis, F.; Perissutti, E.; Frecentese, F.; Massarelli, P.; Bruni, G.; Collavoli, E.; Santagada, V.; Caliendo, G. Synthesis and in-vitro pharmacological evaluation of new 5-HT1A receptor ligands containing a benzotriazinone nucleus. Arch. Pharm. 2008, 341, 20–27. [Google Scholar] [CrossRef] [PubMed]
- Fiorino, F.; Severino, B.; De Angelis, F.; Perissutti, E.; Magli, E.; Frecentese, F.; Esposito, A.; Massarelli, P.; Nencini, C.; Viti, B.; et al. Synthesis and in vitro pharmacological evaluation of a new series of 5-HT1A 5-HT2A and 5-HT2C receptor ligands containing a norbornene nucleus. Die Pharm. 2009, 64, 555–564. [Google Scholar]
- Fiorino, F.; Severino, B.; De Angelis, F.; Perissutti, E.; Magli, E.; Frecentese, F.; Esposito, A.; Massarelli, P.; Nencini, C.; Santagada, V.; et al. New 5-HT1A receptor ligands containing a N′-cyanoisonicotinamidine nucleus: Synthesis and in vitro pharmacological evaluation. Bioorg. Med. Chem. Lett. 2010, 20, 2978–2982. [Google Scholar] [CrossRef] [PubMed]
- Fiorino, F.; Severino, B.; Magli, E.; Perissutti, E.; Frecentese, F.; Esposito, A.; Incisivo, G.M.; Ciano, A.; Massarelli, P.; Nencini, C.; et al. New potent 5-HT2A receptor ligands containing an N′-cyanopicolinamidine nucleus: Synthesis and in vitro pharmacological evaluation. Eur. J. Med. Chem. 2012, 47, 520–529. [Google Scholar] [CrossRef]
- Fiorino, F.; Magli, E.; Severino, B.; Corvino, A.; Ciano, A.; Perissutti, E.; Frecentese, F.; Massarelli, P.; Nencini, C.; Santagada, V.; et al. Synthesis and In Vitro Pharmacological Evaluation of Novel 2-Hydroxypropyl-4-arylpiperazine Derivatives as Serotoninergic Ligands. Arch. Der Pharm. 2014, 347, 698–706. [Google Scholar] [CrossRef]
- Fiorino, F.; Ciano, A.; Magli, E.; Severino, B.; Corvino, A.; Perissutti, E.; Frecentese, F.; Di Vaio, P.; Izzo, A.A.; Capasso, R.; et al. Synthesis, in vitro and in vivo pharmacological evaluation of serotoninergic ligands containing an isonicotinic nucleus. Eur. J. Med. Chem. 2016, 110, 133–150. [Google Scholar] [CrossRef] [PubMed]
- Fiorino, F.; Magli, E.; Kedzierska, E.; Ciano, A.; Corvino, A.; Severino, B.; Perissutti, E.; Frecentese, F.; Di Vaio, P.; Saccone, I.; et al. New 5-HT 1A, 5HT 2A and 5HT 2C receptor ligands containing a picolinic nucleus: Synthesis, in vitro and in vivo pharmacological evaluation. Bioorg. Med. Chem. 2017, 25, 5820–5837. [Google Scholar] [CrossRef] [PubMed]
- Magli, E.; Kędzierska, E.; Kaczor, A.A.; Severino, B.; Corvino, A.; Perissutti, E.; Frecentese, F.; Saccone, I.; Massarelli, P.; Gibuła-Tarłowska, E.; et al. Synthesis, docking studies, and pharmacological evaluation of 5HT2C ligands containing the N’-cyanoisonicotinamidine or N’-cyanopicolinamidine nucleus. Arch. Pharm. 2019, 352, 1800373. [Google Scholar] [CrossRef] [PubMed]
- Magli, E.; Kędzierska, E.; Kaczor, A.A.; Bielenica, A.; Severino, B.; Gibuła-Tarłowska, E.; Kotlinska, J.H.; Corvino, A.; Sparaco, R.; Esposito, G.; et al. Synthesis, docking studies, and pharmacological evaluation of 2-hydroxypropyl-4-arylpiperazine derivatives as serotoninergic ligands. Arch. Pharm. 2021, 354, 1–24. [Google Scholar] [CrossRef] [PubMed]
- Ambrosio, M.R.; Magli, E.; Caliendo, G.; Sparaco, R.; Massarelli, P.; D’Esposito, V.; Migliaccio, T.; Mosca, G.; Fiorino, F.; Formisano, P. Serotoninergic receptor ligands improve Tamoxifen effectiveness on breast cancer cells. BMC Cancer 2022, 22, 171–184. [Google Scholar] [CrossRef] [PubMed]
- Kaczor, A.A.; Rutkowska, E.; Bartuzi, D.; Targowska-Duda, K.M.; Matosiuk, D.; Selent, J. Computational methods for studying G protein-coupled receptors (GPCRs). Methods Cell Biol. 2016, 132, 359–399. [Google Scholar] [CrossRef] [PubMed]
- Bartuzi, D.; Kaczor, A.A.; Targowska-Duda, K.M.; Matosiuk, D. Recent Advances and Applications of Molecular Docking to G Protein-Coupled Receptors. Molecules 2017, 22, 340. [Google Scholar] [CrossRef]
- Kaczor, A.A.; Silva, A.G.; Loza, M.I.; Kolb, P.; Castro, M.; Poso, A. Structure-Based Virtual Screening for Dopamine D2Receptor Ligands as Potential Antipsychotics. ChemMedChem 2016, 11, 718–729. [Google Scholar] [CrossRef] [PubMed]
- Kondej, M.; Wróbel, T.M.; Silva, A.G.; Stępnicki, P.; Koszła, O.; Kędzierska, E.; Bartyzel, A.; Biała, G.; Matosiuk, D.; Loza, M.I.; et al. Synthesis, pharmacological and structural studies of 5-substituted-3-(1-arylmethyl-1,2,3,6-tetrahydropyridin-4-yl)-1H-indoles as multi-target ligands of aminergic GPCRs. Eur. J. Med. Chem. 2019, 180, 673–689. [Google Scholar] [CrossRef] [PubMed]
- Kaczor, A.A.; Targowska-Duda, K.M.; Silva, A.G.; Kondej, M.; Biała, G.; Castro, M. N-(2-Hydroxyphenyl)-1-[3-(2-oxo-2,3-dihydro-1H- benzimidazol-1-yl)propyl]piperidine-4-Carboxamide (D2AAK4), a Multi-Target Ligand of Aminergic GPCRs, as a Potential Antipsychotic. Biomolecules 2020, 10, 349. [Google Scholar] [CrossRef] [PubMed]
- Bueschbell, B.; Barreto, C.A.V.; Preto, A.J.; Schiedel, A.C.; Moreira, I.S. A Complete Assessment of Dopamine Receptor- Ligand Interactions through Computational Methods. Molecules 2019, 24, 1196. [Google Scholar] [CrossRef] [PubMed]
- Wang, C.; Jiang, Y.; Ma, J.; Wu, H.; Wacker, D.; Katritch, V.; Han, G.W.; Liu, W.; Huang, X.-P.; Vardy, E.; et al. Structural Basis for Molecular Recognition at Serotonin Receptors. Science 2013, 340, 610–614. [Google Scholar] [CrossRef] [PubMed]
- Cheng, J.-X.; Cheng, T.; Li, W.-H.; Liu, G.-X.; Zhu, W.-L.; Tang, Y. Computational insights into the subtype selectivity and “message-address-efficacy” mechanisms of opioid receptors through JDTic binding and unbinding. Acta Pharmacol. Sin. 2017, 39, 482–491. [Google Scholar] [CrossRef] [PubMed]
- Kucwaj-Brysz, K.; Dela, A.; Podlewska, S.; Bednarski, M.; Siwek, A.; Satała, G.; Czarnota, K.; Handzlik, J.; Kieć-Kononowicz, K. The Structural Determinants for α1-Adrenergic/Serotonin Receptors Activity among Phenylpiperazine-Hydantoin Derivatives. Molecules 2021, 26, 7025. [Google Scholar] [CrossRef]
- Zagórska, A.; Kolaczkowski, M.; Bucki, A.; Siwek, A.; Kazek, G.; Satała, G.; Bojarski, A.; Partyka, A.; Wesołowska, A.; Pawłowski, M. Structure–activity relationships and molecular studies of novel arylpiperazinylalkyl purine-2,4-diones and purine-2,4,8-triones with antidepressant and anxiolytic-like activity. Eur. J. Med. Chem. 2015, 97, 142–154. [Google Scholar] [CrossRef] [PubMed]
- Partyka, A.; Kurczab, R.; Canale, V.; Satała, G.; Marciniec, K.; Pasierb, A.; Jastrzębska-Więsek, M.; Pawłowski, M.; Wesołowska, A.; Bojarski, A.J.; et al. The impact of the halogen bonding on D 2 and 5-HT 1A /5-HT 7 receptor activity of azinesulfonamides of 4-[(2-ethyl)piperidinyl-1-yl]phenylpiperazines with antipsychotic and antidepressant properties. Bioorg. Med. Chem. 2017, 25, 3638–3648. [Google Scholar] [CrossRef] [PubMed]
- Hacker, M. History of Pharmacology—From Antiquity to the Twentieth Century. In Pharmacology, Principles and Practice; Academic Press: London, UK, 2009; pp. 1–7. [Google Scholar] [CrossRef]
- Vogel, H.G. Drug Discovery and Evaluation: Pharmacological Assays; Vogel, H., Ed.; Springer: Berlin/Heidelberg, Germany, 2008; p. 565. [Google Scholar]
- Gobira, P.H.; Ropke, J.; Aguiar, D.C.; Crippa, J.A.; Moreira, F.A. Animal models for predicting the efficacy and side effects of antipsychotic drugs. Rev. Bras. Psiquiatr. 2013, 35, S132–S139. [Google Scholar] [CrossRef]
- Jones, C.A.; Watson, D.J.G.; Fone, K.C.F. Animal models of schizophrenia. Br. J. Pharmacol. 2011, 164, 1162–1194. [Google Scholar] [CrossRef]
- Meltzer, H.Y. The role of serotonin in antipsychotic drug action. Neuropsychopharmacology 1999, 21, 106S–115S. [Google Scholar] [CrossRef][Green Version]
- Tomic, M.; Ignjatovic, D.; Tovilovic, G.; Andric, D.; Roglic, G.; Kostic-Rajacic, S. Two new phenylpiperazines with atypical antipsychotic potential. Bioorg. Med. Chem. Lett. 2007, 17, 5749–5753. [Google Scholar] [CrossRef]
- Leucht, S.; Corves, C.; Arbter, D.; Engel, R.R.; Li, C.; Davis, J.M. Second-generation versus first-generation antipsychotic drugs for schizophrenia: A meta-analysis. Lancet 2009, 373, 31–41. [Google Scholar] [CrossRef]
- Partyka, A.; Jarosz, J.; Wasik, A.; Jastrzębska-Więsek, M.; Zagórska, A. Novel tricyclic[2,1-f] theophylline derivatives of LCAP with activity in mouse models of affective disorders. J. Pharm. Pharmacol. 2014, 66, 1755–1762. [Google Scholar] [CrossRef] [PubMed]
- Chopin, P.; Briley, M. The benzodiazepine antagonist flumazenil blocks the effects of CCK receptor agonists and antagonists in the elevated plus-maze. Psychopharmacology 1993, 110, 409–414. [Google Scholar] [CrossRef] [PubMed]
- Pellow, S.; Chopin, P.; File, S.E.; Briley, M. Validation of open: Closed arm entries in an elevated plus-maze as a measure of anxiety in the rat. J. Neurosci. Methods 1985, 14, 149–167. [Google Scholar] [CrossRef]
- Harada, K.; Aota, M.; Inoue, T.; Matsuda, R.; Mihara, T.; Yamaji, T.; Ishibashi, K.; Matsuoka, N. Anxiolytic activity of a novel potent serotonin 5-HT2C receptor antagonist FR260010: A comparison with diazepam and buspirone. Eur. J. Pharmacol. 2006, 553, 171–184. [Google Scholar] [CrossRef] [PubMed]
- Schrödinger Release 2019-4: LigPrep, Schrödinger, LLC: New York, NY, USA, 2019.
- Schrödinger Release 2019-4: Epik, Schrödinger, LLC: New York, NY, USA, 2019.
- Kimura, K.; Asada, H.; Inoue, A.; Kadji, F.M.N.; Im, D.; Mori, C.; Arakawa, T.; Hirata, K.; Nomura, Y.; Nomura, N.; et al. Structures of the 5-HT2A receptor in complex with the antipsychotics risperidone and zotepine. Nat. Struct. Mol. Biol. 2019, 26, 121–128. [Google Scholar] [CrossRef] [PubMed]
- Peng, Y.; McCorvy, J.D.; Harpsøe, K.; Lansu, K.; Yuan, S.; Popov, P.; Qu, L.; Pu, M.; Che, T.; Nikolajsen, L.F.; et al. 5-HT2C Receptor Structures Reveal the Structural Basis of GPCR Polypharmacology. Cell 2018, 172, 719–730.e14. [Google Scholar] [CrossRef]
- Xu, P.; Huang, S.; Zhang, H.; Mao, C.; Zhou, X.E.; Cheng, X.; Simon, I.A.; Shen, D.-D.; Yen, H.-Y.; Robinson, C.V.; et al. Structural insights into the lipid and ligand regulation of serotonin receptors. Nature 2021, 592, 469–473. [Google Scholar] [CrossRef]
- Schrödinger Release 2019-4: BioLuminate, Schrödinger, LLC: New York, NY, USA, 2019.
- Ozvoldik, K.; Stockner, T.; Rammner, B.; Krieger, E. Assembly of Biomolecular Gigastructures and Visualization with the Vulkan Graphics API. J. Chem. Inf. Model. 2021, 61, 5293–5303. [Google Scholar] [CrossRef]
- Friesner, R.A.; Murphy, R.B.; Repasky, M.P.; Frye, L.L.; Greenwood, J.R.; Halgren, T.A.; Sanschagrin, P.C.; Mainz, D.T. Extra Precision Glide: Docking and Scoring Incorporating a Model of Hydrophobic Enclosure for Protein−Ligand Complexes. J. Med. Chem. 2006, 49, 6177–6196. [Google Scholar] [CrossRef]
- Ballesteros, J.A.; Weinstein, H. Integrated methods for the construction of three-dimensional models and computational probing of structure-function relations in G protein-coupled receptors. In Methods in Neurosciences; Sealfon, S.C., Ed.; Receptor Molecular Biology; Academic Press: Cambridge, MA, USA, 1995; Volume 25, pp. 366–428. [Google Scholar]
- The PyMOL Molecular Graphics System, Version 2.0; Schrödinger, LLC: New York, NY, USA, 2019.
- Gross, F.; Tripod, J.; Meier, R. Pharmacological characteristics of the soporific doriden. Schweiz. Med. Wochenschr. 1955, 85, 305–309. [Google Scholar]
- Boissier, J.R.; Tardy, J.; Diverres, J.C. Psychopharmacological profile of a new dopaminergic agonist RU 24213. Med. Exp. 1960, 3, 81–84. [Google Scholar]
- Porsolt, R.D.; Anton, G.; Blavet, N.; Jalfre, M. Behavioural despair in rats: A new model sensitive to antidepressant treatments. Eur. J. Pharmacol. 1978, 47, 379–391. [Google Scholar] [CrossRef]
- Lister, R.G. The use of a plus-maze to measure anxiety in the mouse. Psychopharmacology 1987, 92, 180–185. [Google Scholar] [CrossRef] [PubMed]
- Curtis, M.; Bond, R.A.; Spina, D.; Ahluwalia, A.; Alexander, S.; Giembycz, M.A.; Gilchrist, A.; Hoyer, D.; Insel, P.; Izzo, A.; et al. Experimental design and analysis and their reporting: New guidance for publication in BJP. J. Cereb. Blood Flow Metab. 2015, 172, 3461–3471. [Google Scholar] [CrossRef] [PubMed]
- Javadi-Paydar, M.; Zakeri, M.; Norouzi, A.; Rastegar, H.; Mirazi, N.; Dehpour, A.R. Involvement of nitric oxide in granisetron improving effect on scopolamine-induced memory impairment in mice. Brain Res. 2012, 1429, 61–71. [Google Scholar] [CrossRef] [PubMed]
- Briejer, M.R.; Mathis, C.; Schuurkes, J.A.J. 5-HT receptor types in the rat ileum longitudinal muscle: Focus on 5-HT2 receptors mediating contraction. Neurogastroenterol. Motil. 1997, 9, 231–237. [Google Scholar] [CrossRef] [PubMed]










![]() | ||||
|---|---|---|---|---|
| 5-HT1A Receptor G-Protein Stimulation | ||||
| Compd | X | pEC50 | EC50 (95% CI, nM) | Emax (%) ± SEM |
| Norbo-1 (exo) | ![]() | 5.92 ± 0.09 | 1200 (778–1850) | 174 ± 4.15 * |
| Norbo-2 (endo) | ![]() | 5.78 ± 0.08 | 1633 (1111–2400) | 188 ± 4.9 ** |
| Norbo-3 (exo) | ![]() | 6.75 ± 0.1 | 177 (110–285) && | 185 ± 3.2 *** |
| Norbo-4 (endo) | ![]() | 6.74 ± 0.08 | 181 (123–266) &&& | 181 ± 2.4 *** |
| Norbo-5 (exo) | ![]() | 5.0 ± 0.49 | 96,070 (9001–102,500) & | 140 ± 25.2 && |
| Norbo-6 endo | ![]() | 5.5 ± 0.12 | 3218 (1228–8435) | 131 ± 5.5 && |
| Norbo-7 (exo) | ![]() | 6.46 ± 0.12 | 348 (191–632) && | 169 ± 3.5 * |
| Norbo-8 (endo) | ![]() | 6.78 ± 0.09 | 165 (107–253) &&& | 167 ± 2.3 * |
| Norbo-9 (exo) | ![]() | 6.68 ± 0.16 | 207 (95–450) & | 149 ± 3.1 |
| Norbo-10 (endo) | ![]() | 6.7 ± 0.1 | 198 (117–333) &&& | 163 ± 2.4 # |
| Norbo-11 (exo) | ![]() | no activity | no activity | no activity |
| Norbo-12 (endo) | ![]() | 5.7 ± 0.25 | 1875 (549–6407) # | 127 ± 5.1 ###,&&& |
| Norbo-13 (exo) | ![]() | no activity | no activity | no activity |
| Norbo-14 (endo) | ![]() | no activity | no activity | no activity |
| Norbo-15 (exo) | ![]() | 6.0 ± 0.13 | 926 (503–1706) | 161 ± 4.5 |
| Norbo-16 (endo) | ![]() | 6.0 ± 0.11 | 939 (533–1654) | 182 ± 5.5 **,# |
| Norbo-17 (exo) | ![]() | 6.2 ± 0.17 | 553 (242–1264) | 122 ± 2.0 &&& |
| Norbo-18 (endo) | ![]() | 5.6 ± 0.15 | 2321 (1132–4761) | 143 ± 5.1 &&& |
| Norbo-19 (exo) | ![]() | 6.5 ± 0.08 | 283 (1880–4276) && | 162 ± 2.1 * |
| Norbo-20 (endo) | ![]() | 6.7 ± 0.05 | 195 (1483–2559) &&& | 167 ± 1.4 ** |
| Norbo-21 (exo) | ![]() | 6.2 ± 0.06 | 588 (433–798) | 181 ± 2.5 ** |
| Norbo-22 (endo) | ![]() | 6.1 ± 0.09 | 782 (513–1192) | 186 ± 4.4 *** |
| Norbo-23 (exo) | ![]() | 5.62 ± 0.1 | 2398 (1143–3567) | 181 ± 4.1 ** |
| Norbo-24 (endo) | ![]() | 5.76 ± 0.1 | 1720 (1049–2819) | 177 ± 6.1 * |
| Norbo-25 (exo) | ![]() | 5.7 ± 0.1 | 1911 (1156–3159) # | 184 ± 6.4 ** |
| Norbo-26 (endo) | ![]() | 5.1 ± 0.1 | 7502 (2448–23000) | 178 ± 22.6 * |
| Norbo-27 (exo) | ![]() | no activity | no activity | no activity |
| Norbo-28 (endo) | ![]() | no activity | no activity | no activity |
| 8-OH-DPAT | 7.5 ± 0.11 | 27.2 (18–52) | 154 ± 2.3 | |
![]() | |||
|---|---|---|---|
| Compd | X | pIC50 (M ± SEM) | IC50 (95% CI, µM) |
| Norbo-1 (exo) | ![]() | 3.99 ± 0.13 | 101.2 (52–195) |
| Norbo-2 (endo) | ![]() | 3.98 ± 0.14 | 105.6 (52–213) |
| Norbo-3 (exo) | ![]() | 4.15 ± 0.15 | 71 (33–151) |
| Norbo-4 (endo) | ![]() | 4.48 ± 0.13 | 33.1 (17–64) |
| Norbo-5 (exo) | ![]() | 4.47 ± 0.13 | 33.4 (17–65) |
| Norbo-6 (endo) | ![]() | 4.22 ± 0.12 | 59.5 (32–111) |
| Norbo-7 (exo) | ![]() | 4.29 ± 0.25 | 51.5 (14.8–178) |
| Norbo-8 (endo) | ![]() | 4.22 ± 0.28 | 60.4 (14.9–245) |
| Norbo-9 (exo) | ![]() | 4.69 ± 0.10 | 20.1 (13–32) && |
| Norbo-10 (endo) | ![]() | 4.67 ± 0.08 | 21.5 (14–32) & |
| Norbo-11 (exo) | ![]() | 4.50 ± 0.12 | 31.2 (17–56) |
| Norbo-12 (endo) | ![]() | 3.99 ± 0.14 | 100 (51–199) |
| Norbo-13 (exo) | ![]() | 4.16 ± 0.06 | 68.9 (51–93) |
| Norbo-14 (endo) | ![]() | 4.39 ± 0.03 | 41.1 (35–48) |
| Norbo-15 (exo) | ![]() | 4.20 ± 0.08 | 62.7 (42–94) |
| Norbo-16 (endo) | ![]() | 4.38 ± 0.07 | 41.5 (30–58) |
| Norbo-17 (exo) | ![]() | 4.22 ± 0.11 | 59.5 (34–105) |
| Norbo-18 (endo) | ![]() | 4.08 ± 0.16 | 82.9 (38–179) |
| Norbo-19 (exo) | ![]() | 3.84 ± 0.11 | 144 (28–723) |
| Norbo-20 (endo) | ![]() | 4.25 ± 0.22 | 52.7 (19–147) |
| Norbo-21 (exo) | ![]() | 3.74 ± 0.15 | 180.6 (86–379) |
| Norbo-22 (endo) | ![]() | 3.90 ± 0.11 | 124.8 (72–217) |
| Norbo-23 (exo) | ![]() | 3.59 ± 0.36 | 254.9 (42–1531) |
| Norbo-24 (endo) | ![]() | 3.69 ± 0.25 | 205.6 (61–696) |
| Norbo-25 (exo) | ![]() | no activity | no activity |
| Norbo-26 (endo) | ![]() | no activity | no activity |
| Norbo-27 (exo) | ![]() | 4.18 ± 0.15 | 66.6 (31–142) |
| Norbo-28 (endo) | ![]() | no activity | no activity |
| Domperidone | 8.44 ± 0.23 | 0.0036 (0.0009–0.014) | |
![]() | |||||
|---|---|---|---|---|---|
| 5-HT2 Receptor Binding Affinity | |||||
| Compd | X | 5-HT2A pKi | 5-HT2A Ki (95% CI, nM) | 5-HT2C pKi | 5-HT2C Ki (95% CI, nM) |
| Norbo-1 (exo) | ![]() | 7.13 ± 0.13 | 74.04 (39.3–139) | 5.41 ± 0.16 | 3886 (1767–8543) |
| Norbo-2 (endo) | ![]() | 7.00 ± 0.05 | 99.14 (76.4–128) | 5.79 ± 0.24 | 1610 (512–5064) |
| Norbo-3 (exo) | ![]() | 7.63 ± 0.08 | 23.49 (16.2–34.0) & | 6.6 ± 0.15 | 250 (122–512) |
| Norbo-4 (endo) | ![]() | 7.48 ± 0.11 | 33.32 (19.4–57.2) & | 5.68 ± 0.31 | 2086 (476–9143) |
| Norbo-5 (exo) | ![]() | 7.34 ± 0.10 | 45.75 (27.9–75.1) | 5.74 ± 0.19 | 1824 (749–4444) |
| Norbo-6 (endo) | ![]() | 7.05 ± 0.13 | 88.69 (47.4–166) | 5.99 ± 0.15 | 1030 (493–2152) |
| Norbo-7 (exo) | ![]() | 6.98 ± 0.10 | 104.9 (63.2–174) | 7.29 ± 0.16 | 51.3 (23.8–111) |
| Norbo-8 (endo) | ![]() | 6.90 ± 0.1 | 126.7 (78.2–205.3) | 6.4 ± 0.15 | 398 (195–814) |
| Norbo-9 (exo) | ![]() | 6.96 ± 0.09 | 109.1 (69.5–171) | 5.55 ± 0.5 | 2794 (253–30,810) |
| Norbo-10 (endo) | ![]() | 6.59 ± 0.12 | 254.1 (88.7–417) | 7.87 ± 0.35 | 13 (2.47–72.1) |
| Norbo-11 (exo) | ![]() | 6.83 ± 0.08 | 148.6 (99–223) | 7.51 ± 0.29 | 31 (7.5–125) |
| Norbo-12 (endo) | ![]() | 6.64 ± 0.06 | 227.4 (170–305) | 4.46 ± 0.19 | 34,930 (13,640–89,440) |
| Norbo-13 (exo) | ![]() | 7.54 ± 0.08 | 28.81 (19.4–42.8) & | 6.91 ± 0.32 | 122 (25.2–588) |
| Norbo-14 (endo) | ![]() | 7.75 ± 0.07 | 17.93 (12.9–25) &&& | 5.44 ± 0.19 | 3636 (1416–9338) |
| Norbo-15 (exo) | ![]() | 7.08 ± 0.11 | 82.57 (47.1–145) | 7.50 ± 0.25 | 31 (9.4–102) |
| Norbo-16 (endo) | ![]() | 7.13 ± 0.14 | 73.34 (36.2–149) | 5.81 ± 0.16 | 1537 (716–3300) |
| Norbo-17 (exo) | ![]() | 7.64 ± 0.08 | 22.66 (15.1–33.9) & | 5.62 ± 0.21 | 2365 (857–6529) |
| Norbo-18 (endo) | ![]() | 7.73 ± 0.11 | 18.65 (11.1–314) &&& | 6.67 ± 0.22 | 212 (71.9–623) |
| Norbo-19 (exo) | ![]() | 7.37 ± 0.07 | 42.62 (36.5–60.5) | 6.78 ± 0.32 | 167 (36–776) |
| Norbo-20 (endo) | ![]() | 7.64 ± 0.10 | 22.86 (14.2–36.9) && | 5.7 ± 0.28 | 1947 (504–7518) |
| Norbo-21 (exo) | ![]() | 6.59 ± 0.09 | 258.4 (169–396) | 5.87 ± 0.17 | 1335 (598–2978) |
| Norbo-22 (endo) | ![]() | 6.45 ± 0.13 | 356.3 (19.3–65.7) | 6.06 ± 0.29 | 873 (211–3618) |
| Norbo-23 (exo) | ![]() | 5.96 ± 0.10 | 1085.0 (665–1769) | 6.45 ± 0.18 | 353 (145–859) |
| Norbo-24 (endo) | ![]() | 5.86 ± 0.07 | 1379.0 (99.1–1919) | 6.67 ± 0.19 | 211 (85–522) |
| Norbo-25 (exo) | ![]() | 6.43 ± 0.083 | 374.0 (24.5–522) | 5.98 ± 0.18 | 1053 (432–2567) |
| Norbo-26 (endo) | ![]() | 6.23 ± 0.047 | 583.9 (456–753) | 5.64 ± 0.23 | 1053 (726–7033) |
| Norbo-27 (exo) | ![]() | 5.95 ± 0.088 | 1133 (740–1679) | 5.75 ± 0.18 | 1777 (740–4267) |
| Norbo-28 (endo) | ![]() | 5.97 ± 0.122 | 1067.0 (573–2000) | 5.4 ± 0.30 | 3925 (955–16,120) |
| Ketanserin | 8.27 ± 0.06 | 5.3 (2.05–6.53) | - | - | |
| serotonin | - | - | 8.08 ± 0.31 | 8.38 (1.84–38.1) | |
| RS102221 | - | - | 8.25 ± 0.21 | 5.56 (1.99–15.5) | |
Publisher’s Note: MDPI stays neutral with regard to jurisdictional claims in published maps and institutional affiliations. |
© 2022 by the authors. Licensee MDPI, Basel, Switzerland. This article is an open access article distributed under the terms and conditions of the Creative Commons Attribution (CC BY) license (https://creativecommons.org/licenses/by/4.0/).
Share and Cite
Sparaco, R.; Kędzierska, E.; Kaczor, A.A.; Bielenica, A.; Magli, E.; Severino, B.; Corvino, A.; Gibuła-Tarłowska, E.; Kotlińska, J.H.; Andreozzi, G.; et al. Synthesis, Docking Studies and Pharmacological Evaluation of Serotoninergic Ligands Containing a 5-Norbornene-2-Carboxamide Nucleus. Molecules 2022, 27, 6492. https://doi.org/10.3390/molecules27196492
Sparaco R, Kędzierska E, Kaczor AA, Bielenica A, Magli E, Severino B, Corvino A, Gibuła-Tarłowska E, Kotlińska JH, Andreozzi G, et al. Synthesis, Docking Studies and Pharmacological Evaluation of Serotoninergic Ligands Containing a 5-Norbornene-2-Carboxamide Nucleus. Molecules. 2022; 27(19):6492. https://doi.org/10.3390/molecules27196492
Chicago/Turabian StyleSparaco, Rosa, Ewa Kędzierska, Agnieszka A. Kaczor, Anna Bielenica, Elisa Magli, Beatrice Severino, Angela Corvino, Ewa Gibuła-Tarłowska, Jolanta H. Kotlińska, Giorgia Andreozzi, and et al. 2022. "Synthesis, Docking Studies and Pharmacological Evaluation of Serotoninergic Ligands Containing a 5-Norbornene-2-Carboxamide Nucleus" Molecules 27, no. 19: 6492. https://doi.org/10.3390/molecules27196492
APA StyleSparaco, R., Kędzierska, E., Kaczor, A. A., Bielenica, A., Magli, E., Severino, B., Corvino, A., Gibuła-Tarłowska, E., Kotlińska, J. H., Andreozzi, G., Luciano, P., Perissutti, E., Frecentese, F., Casertano, M., Leśniak, A., Bujalska-Zadrożny, M., Oziębło, M., Capasso, R., Santagada, V., ... Fiorino, F. (2022). Synthesis, Docking Studies and Pharmacological Evaluation of Serotoninergic Ligands Containing a 5-Norbornene-2-Carboxamide Nucleus. Molecules, 27(19), 6492. https://doi.org/10.3390/molecules27196492
























































































