Metallo-Drugs in Cancer Therapy: Past, Present and Future
Abstract
1. Introduction
2. Chemical and Biochemical Properties of Metallo-Drugs
2.1. Platinum Compounds
- Cisplatin (1978):
- Mechanism of cisplatin resistance:
- Carboplatin (1986):
- Oxaliplatin (1996)
- Nedaplatin (1995)
- Heptaplatin (1999)
- Lobaplatin (2010)
2.2. Copper Compounds
- -
- Intercalation—the insertion of a copper complex between two pairs of adjacent bases through van der Waals bonds;
- -
- Interaction with the nucleotides in the chains at the “small cavity” level (“minor groove”) of the DNA molecule;
- -
- In the hydrolytic mechanism, the interactions of Cu(II) ions with the phosphate anion from the nucleotides cause the breaking of the phosphodiester bonds and the destruction of nucleic acid molecules;
- -
- The inhibition of topoisomerase I or II, with a role in DNA replication and transcription;
- -
2.3. Ruthenium Compounds
- -
- The ability to form labile complexes that can participate in a slow exchange of ligands with molecules in biological environments. Ru(II) and Ru(III) complexes have ligand-exchange kinetics similar to those of Pt(II) complexes. It was demonstrated that the Ru(II) ion has a greater preference for ligands containing S donor atoms, such as glutathione and methionine, and a lower preference for O or N donor ligands [53].
- -
- The ability to have several oxidation states: Ru(II), Ru(III) and Ru(IV); their oxidation or reduction processes are possible under physiological conditions. Ruthenium is unique in the fact that its oxidation states, II, III and IV, are all accessible under physiological conditions. In these oxidation states, the metal ion which generates the complex is hexacoordinated, and the complex geometry is octahedral. Due to this orientation of the ligands, the formation of “intrastand cross-linking” bonds with residues of nitrogenous bases belonging to the same DNA chain encountered in the case of platinum complexes is very low. The bonds that are formed between these Ru complexes and DNA molecules are of the “interstand cross-linking” type, with residues of nitrogenous bases from two different chains. However, this is not the main mechanism of antitumor action. The altered metabolism of cancer cells causes, at their level, hypoxia, a high level of glutathione and a lower pH, which provides the premise for an environment with reducing properties. To increase the selectivity of ruthenium complexes against cancer cells and to reduce, as much as possible, the toxic effects on normal cells, the redox potential of ruthenium can be modified once it enters the body. For example, these agents can be administered as relatively inert Ru(III) complexes (prodrugs), which are then activated by reduction inside the malignant cell [53,54].
- -
- The ability to replace Fe(III) ions transported in the body by various plasma proteins (for example, transferrin).
3. New Metallo-Drugs in Clinical Trials
3.1. New Platinum Compounds
3.1.1. BBR 3464
3.1.2. Satraplatin
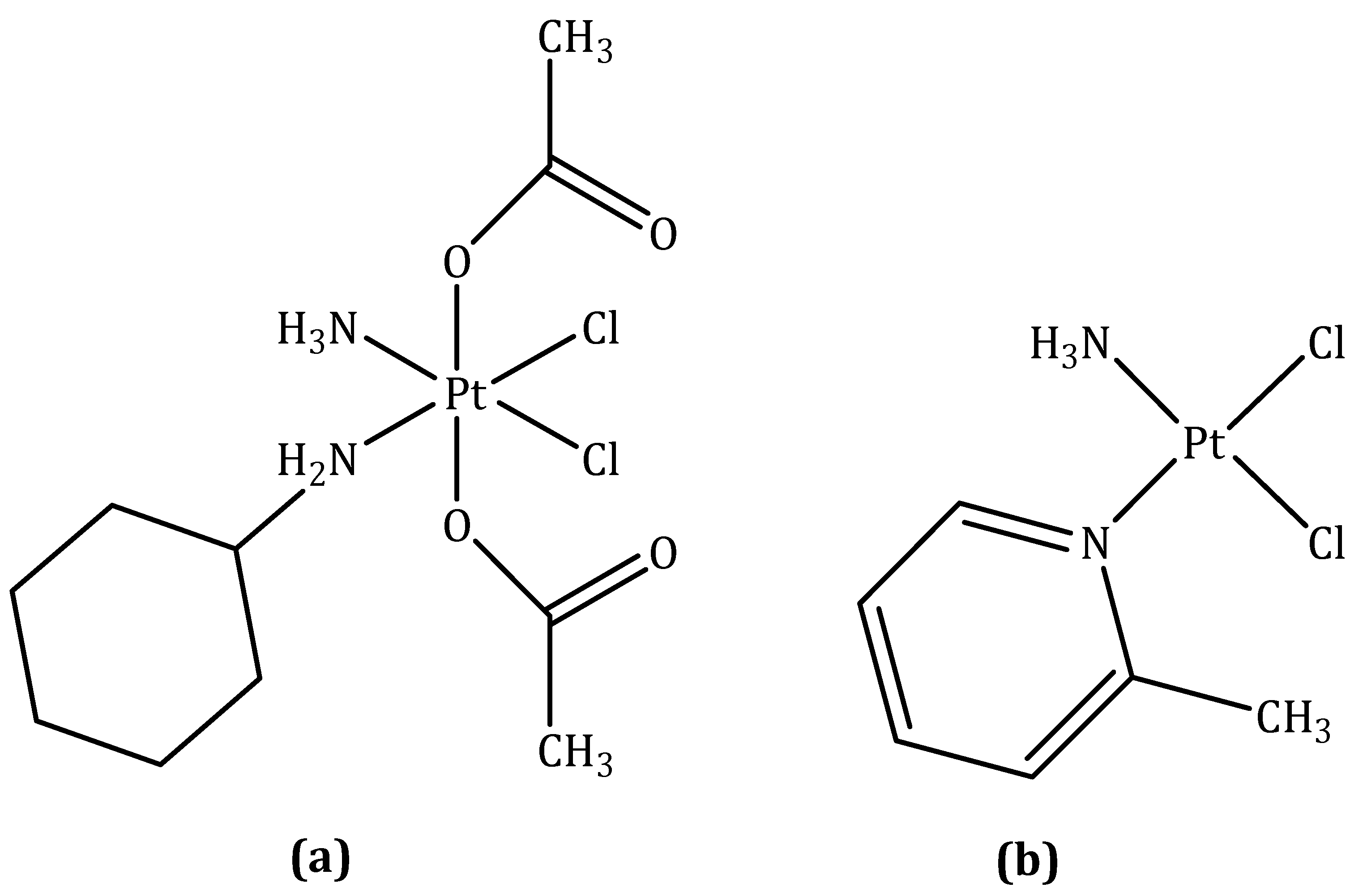
3.1.3. Picoplatin
3.1.4. Ormaplatin
3.1.5. Iproplatin
3.2. New Copper Compounds
3.2.1. Elesclomol
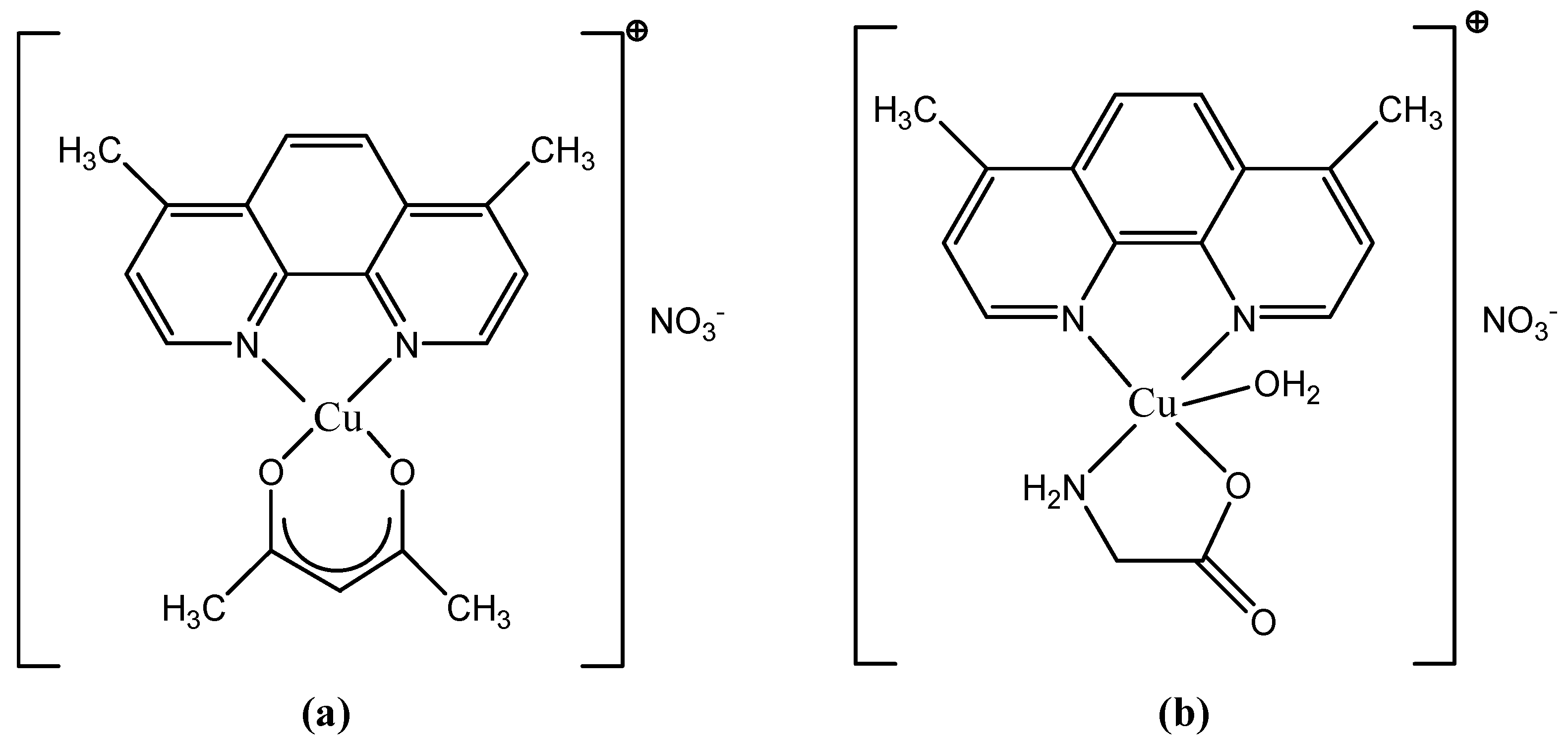
3.2.2. Casiopeinas: Casiopeina III and Casiopeina II-gly
3.3. New Ruthenium Compounds
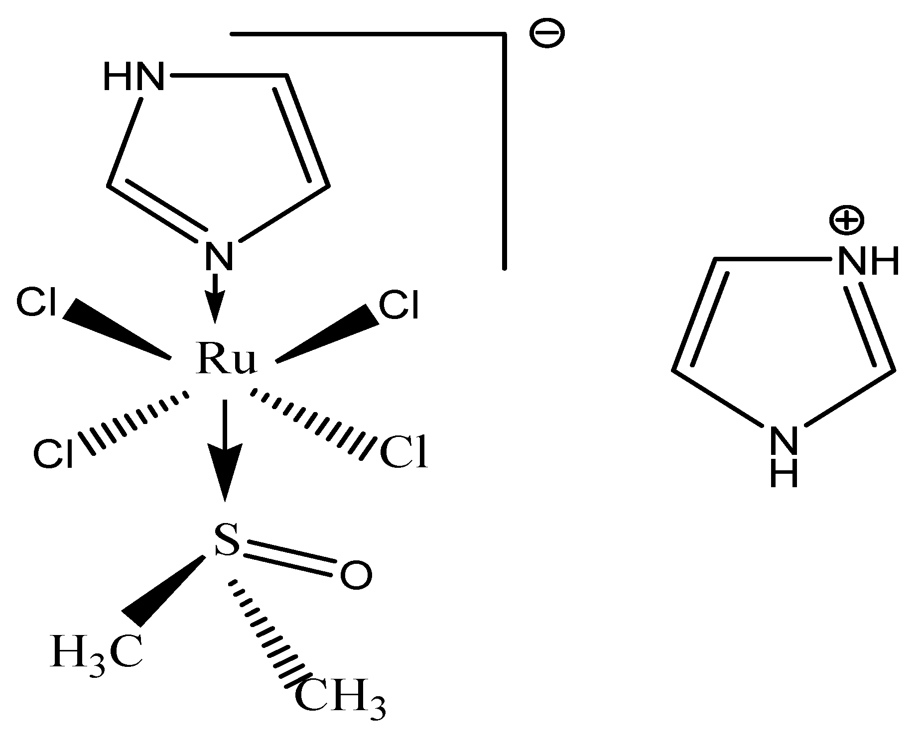
3.3.1. NAMI-A
3.3.2. KP1019 and KP1339
4. Future Perspectives
- -
- The design of Pt(II) compounds target tumor cells by including in the coordination sphere some structures that promote a specific interaction with receptors on the surface of the tumor cell (receptors for glucose, estrogens, etc.). An example is C6-glucose-Pt(II) type conjugates, which could be efficiently transferred intracellularly by glucose transporters, promoting, in this way, preferential accumulation in tumor cells [21,128];
- -
- -
- Compounds of Pt(IV) which, following the intracellular reduction process, release, on the one hand, active species of Pt(II), and on the other hand, ligands with biological activity (dual-threat prodrugs)—for example, complexes with ethacrynic acid (inhibitor of glutathione-S-transferase, the enzyme that catalyzes the binding of platinum compounds to glutathione and their inactivation) and with valproic acid (inhibitor of histone deacetylase, which causes cell differentiation and apoptosis) [21,24,128];
- -
- Non-toxic compounds that are activated at the target by enzymes that are found in much higher concentrations around tumor tissues—for example, complexes of platinum with cephalosporins, activated by β-lactamases, and complexes with β-glucuronyl, activated by β-glucuronidase [132];
- -
- Transport and target delivery systems with metallo drugs as antitumor agents:
- However, although effective, these drugs have a number of shortcomings: limited spectrum of activity, high toxicity, significant side effects, resistance of some types of tumors, low solubility in water, low bioavailability and short retention time in the blood circulation. Research on obtaining new antitumor metallo-drugs aims to solve these problems, as well as to adapt the new structures to modern therapies, personalized therapies and targeted molecular therapies. The design of new inorganic antitumor compounds aims to optimize their chemical design and pharmacological properties. Ideally, the new chemotherapeutic agent should be active in low doses, have minor adverse effects, have good bioavailability, high affinity for tumor cells, be able to be targeted to tumor cells without affecting healthy cells. In the same context, the development of efficient systems of transport and delivery to the target of chemotherapeutic drugs represents a major challenge for the scientific community [135,136].
- Currently, studies are focused on the design of delivery systems that allow the transport of a large number of platinum ions, protect the chemotherapeutic agent from premature degradation and inactivation processes, and allow its transport to the target while preventing interaction with healthy tissues. The indisputable advantages of using effective systems for transport and delivery to the target, macroscopic or nano-sized, are the possibility of drastically reducing the doses of chemotherapy administered and increasing the concentration of the bioactive agent accumulated in tumor cells and tissues [137,138].
- N-(2-hydroxypropyl)methacrylamide is one of the most commonly used polymers for conjugation with antineoplastic agents. In the case of AP5280, the chloride anions in cisplatin are replaced by a bidentate malonate anion in the terminal position in the N-(2-hydroxypropyl)methacrylamide structure [139]. Based on the results of preclinical studies, which show a 20-fold reduced toxicity compared to ciplatin and a clearly superior tissue accumulation, the compound was advanced to clinical trials [140]. The less promising results led to the abandonment of clinical trials in phase I, the developer company turning its attention to its analogue, AP5346 or ProLindac, in which the compound DACHPt, (1,2-diaminocyclohexane)Pt(II), is conjugated to the N-(2-hydroxypropyl)methacrylamide polymer via an amidomalonate group. The polymeric conjugate, stable at physiological pH, releases DACHPt at lower pH values from the hypoxic extracellular space of the neoplastic tissue [141]. The results of preclinical studies and of phase I clinical studies indicate an efficiency comparable to that of oxaliplatin on various tumor cell lines and in the treatment of solid tumors, good tolerance and reduced hematotoxicity. Phase I/II clinical studies that included patients with ovarian cancer in advanced stages, confirmed that the efficiency of the conjugate is similar to that of standard oxaliplatin. Administration of ProLindac was not associated with the onset of acute neurotoxicity, the main adverse effect that limits dose escalation in oxaliplatin treatment. In the case of a clinical trial in which ProLindac is used together with Paclitaxel in the combined therapy of advanced ovarian cancer, although the completion deadline has been exceeded, the results have not yet been made public [142].
- BP-C1 is a cisplatin derivative in which the chemotherapeutic agent is fixed by some polycarboxylic acid residues at the level of an amphiphilic polymer derived from lignin. The product has passed the stage of preclinical and phase I and II clinical studies on stage IV metastatic breast cancer and on inoperable metastatic pancreatic cancer. The results of monotherapy in breast cancer indicate an efficiency comparable to cisplatin and superior to carboplatin, as well as a lower toxicity compared to cisplatin. The treatment was associated with a low incidence of adverse effects and, as a result, with a significant improvement in the patients quality of life [143].
- Another type of polymeric nanoparticle, derivative of cisplatin, is NC-6004 or nanoplatin. Hydrophobic micellar particles functionalized with PEG are currently in phase I, II or III clinical trials, being evaluated in the treatment of different types of neoplasia: pancreatic cancer (phase III clinical trials), head and neck cancer (phase I clinical trials ), and other solid tumors (phase II clinical studies) [144]. The first results indicated a good tolerance to the treatment and a reduced incidence of adverse effects, with greatly reduced nephrotoxic effects compared to cisplatin. Nanoplatin is also included in other ongoing clinical trials evaluating combined therapy with 5-fluorouracil and cetuximab (phase II clinical trials), with pembrolizumab (phase II clinical trials) and with gemcitabine (phase II clinical trials phase I and II clinics) [145,146].
- The results of clinical studies demonstrate the important role that these transport and target delivery systems play especially in reducing the incidence and severity of adverse effects associated with therapy with platinum ion compounds. Although the reduction of toxicity brings enormous benefits in terms of the patients’ quality of life, the efficiency, which is often comparable to that of cisplatin, justifies the continuation of studies in order to identify new strategies that significantly improve clinical results.
- In the near future, advanced techniques of metalloproteomics, genomics and molecular biology will be able to fully elucidate the mechanism of action of metal complexes. Thus, the physico-chemical and structural properties of the coordinating compounds will be able to be anticipated in order to obtain effective antitumor agents [19].
5. Conclusions
Author Contributions
Funding
Institutional Review Board Statement
Conflicts of Interest
References
- Hernández-Romero, D.; Rosete-Luna, S.; Lόpez-Monteon, A.; Chávez-Piña, A.; Pérez-Hernández, N.; Marroquín-Flores, J.; Cruz-Navarro, A.; Pesado-Gόmez, G.; Morales-Morales, D.; Colorado-Peralta, R. First-row transition metal compounds containing benzimidazole ligands: An overview of the anticancer and antitumor activity. Coord. Chem. Rev. 2021, 439, 213930. [Google Scholar] [CrossRef]
- Clinton, S.K.; Giovannucci, E.L.; Hursting, S.D. The world cancer research fund/American institute for cancer research third expert report on diet, nutrition, physical activity, and cancer: Impact and future directions. J. Nutr. 2019, 150, 663–671. [Google Scholar] [CrossRef] [PubMed]
- Karimi, B.; Shokrinezhad, B. Air pollution and the number of daily deaths due to respiratory causes in Tehran. Atmos. Environ. 2021, 246, 118161. [Google Scholar] [CrossRef]
- Yu, P.; Guo, S.; Xu, R.; Ye, T.; Li, S.; Sim, M.R.; Abramson, M.J.; Guo, Y. Cohort studies of long-term exposure to outdoor particulate matter and risks of cancer: A systematic review and meta-analysis. Innovation 2021, 2, 100143. [Google Scholar] [CrossRef] [PubMed]
- Martínez-Jiménez, F.; Muiños, F.; Sentís, I.; Deu-Pons, J.; Reyes-Salazar, I.; Arnedo-Pac, C.; Mularoni, L.; Pinch, O.; Bonet, J.; Kranas, H.; et al. A compendium of murational cancer driver genes. Nat. Rev. Cancer 2020, 20, 555–572. [Google Scholar] [CrossRef]
- Shumi, G.; Desalegn, T.; Demissie, T.B.; Ramachanfran, V.P.; Eswaramoorthy, R. Metal complexes in target-spcific anticancer therapy: Recent trends and challenges. J. Chem. 2022, 2, 9261683. [Google Scholar]
- de Anda-Jauregui, G.; Mejia-Pedroza, R.A.; Espinal-Enriquez, J.; Hernandez-Lemus, E. Crosstalk events in the estrogen signaling pathway may affect tamoxifen efficacy in breast cancer molecular subtypes. Comput. Biol. Chem. 2015, 59, 42–54. [Google Scholar] [CrossRef]
- Zitvogel, L.; Rusakiewicz, S.; Routy, B.; Ayyoub, M.; Kroemer, G. Immunological off-target effects of imatinib. Nat. Rev. Clin. Oncol. 2016, 13, 431–446. [Google Scholar] [CrossRef]
- Greer, J.A.; Amoyal, N.; Nisotel, L.; Fishbein, J.N.; MacDonald, J.; Stagl, J.; Lennes, I.; Temel, J.S.; Safren, S.A.; Pirl, W.F. A systematic review of adherence to oral antineoplastic therapies. Oncologist 2016, 21, 354–376. [Google Scholar] [CrossRef]
- Hangan, A.; Turza, A.; Lucaciu, R.L.; Sevastre, B.; Pall, E.; Oprean, L.S.; Borodi, G. New Cu+2 complexes with N-sulfonamide ligands: Potential antitumor, antibacterial and antioxidant agents. Molecules 2022, 27, 3338. [Google Scholar] [CrossRef]
- Tesauro, D. Metal complexes in diagnosis and therapy. Int. J. Mol. Sci. 2022, 23, 4377. [Google Scholar] [CrossRef] [PubMed]
- Anthony, E.A.; Bolitho, E.M.; Bridgewater, R.J.; Carter, O.W.L.; Donnelly, J.M.; Imberti, C.; Lant, E.C.; Lermyte, F.; Needham, R.J.; Palau, M.; et al. Metallodrugs are unique: Opportumities and challenges of discovery and development. Chem. Sci. 2020, 11, 12888–12917. [Google Scholar] [CrossRef] [PubMed]
- Guk, D.A.; Krasnovskaya, O.O.; Beloglazkina, E.K. Coordination compounds of biogenic metals as cytotoxic agents in cancer therapy. Russ. Chem. Rev. 2021, 90, 1566–1623. [Google Scholar] [CrossRef]
- Sun, Q.; Li, Y.; Shi, H.; Wang, Y.; Zhang, Q. Ruthenium complexes as promising candidates against lung cancer. Molecules 2021, 26, 4389. [Google Scholar] [CrossRef] [PubMed]
- Golbaghi, G.; Castonguay, A. Rationally designed ruthenium complexes for brest cancer therapy. Molecules 2020, 25, 265. [Google Scholar] [CrossRef] [PubMed]
- Sang, Y.L.; Kim, C.Y.; Nam, T.G. Ruthenium complexes as anticancer agents: A brief history and perspectives. Drug Des. Dev. Ther. 2020, 14, 5375. [Google Scholar]
- Ndagi, U.; Mhlongo, N.; Soliman, M.E. Metal complexes on cancer therapy—An update from drug design perspective. Drug Des. Dev. Ther. 2017, 11, 599–616. [Google Scholar] [CrossRef]
- Srivastava, S.K. Transitional metal based anticancer drug: A review on current cancer chemotherapy drug. JETIR 2018, 5, 943–959. [Google Scholar]
- Paprocka, R.; Wiese-Szadkowska, M.; Janciauskiene, S.; Kosmalski, T.; Kulik, M.; Helmin-Basa, A. Latest developments in metal complexes as anticancer agents. Coord. Chem. Rev. 2022, 452, 214307. [Google Scholar] [CrossRef]
- Johnstone, T.C.; Suntharalingam, K.; Lippard, S.J. Third row transition metals for the treatment of cancer. Trans. Math. Phys. Eng. Sci. 2015, 373, 20140185. [Google Scholar] [CrossRef]
- Johnstone, T.C.; Suntharalingam, K.; Lippard, S.J. The next generation of platinum drugs: Targeted Pt(II) agents, nanoparticle delivery and Pt(IV) prodrugs. Chem. Rev. 2016, 116, 3436–3486. [Google Scholar] [CrossRef] [PubMed]
- Hu, X.; Li, F.; Noor, N.; Ling, D. Platinum drugs: From Pt(II) compounds, Pt(IV) prodrugs, to Pt nanocrystals/nanoclusters. Sci. Bull. 2017, 62, 589–596. [Google Scholar] [CrossRef]
- Dasari, S.; Tchounwou, P.B. Cisplatin in cancer therapy: Molecular mechanisms of action. Eur. J. Pharmacol. 2014, 740, 364–378. [Google Scholar] [CrossRef] [PubMed]
- Dilruba, S.; Kalayda, G.V. Platinum-based drugs: Past, present and future. Cancer. Chemother. Pharmacol. 2016, 77, 1103–1124. [Google Scholar] [CrossRef]
- Oh, G.S.; Kim, H.J.; Shen, A.H.; Lee, S.B.; Khadka, D.; Pandit, A.; So, H.S. Cisplatin induces kidney dysfunction and perspective on improving treatment strategies. Electrolye Blood Press. 2014, 12, 55–65. [Google Scholar] [CrossRef]
- Bergamo, A.; Dyson, P.J.; Sava, G. The mechanism of tumour cell death by metal-based anticancer drugs is not only a matter of DNA interactions. Coord. Chem. Rev. 2018, 360, 17–33. [Google Scholar] [CrossRef]
- Kelland, L. The resurgence of platinum-based cancer chemotherapy. Nat. Rev. Cancer 2007, 7, 573–584. [Google Scholar] [CrossRef]
- Tadini-Buoninsegni, F.; Bartolommei, G.; Moncelli, M.R.; Inesi, G.; Galliani, A.; Sinsi, M.; Losacco, M.; Natile, G.; Arnesano, F. Translocation of platinum anticancer drugs by human copper ATPases ATP7A and ATP7B. Angew. Chem. Int. Ed. Engl. 2014, 53, 1297–1301. [Google Scholar] [CrossRef]
- Gansukh, T.; Donizy, P.; Halon, A.; Lage, H.; Surowiak, P. In vitro analysis of the relationships between metallothionein expression and Cisplatin sensitivity of non-small cellular lung cancer cells. Anticancer Res. 2013, 33, 5255–5260. [Google Scholar]
- Ozols, R.F.; Bundy, B.N.; Greer, B.E.; Fowler, J.M.; Clarke-Pearson, D.; Burger, R.A.; Mannel, R.S.; DeGeest, K.; Hartenbach, E.M.; Baergen, R. Phase III trial of carboplatin and paclitaxel compared with cisplatin and paclitaxel in patients with optimally resected stage III ovarian cancer: A Gynecologic Oncology Group study. J. Clin. Oncol. 2003, 21, 3194–3200. [Google Scholar] [CrossRef]
- Desoize, B. Metals and metal compounds in cancer treatment. Anticancer Res. 2004, 24, 1529–1544. [Google Scholar] [PubMed]
- Monneret, C. Platinum anticancer drugs. From serendipity to rational design. Ann. Pharm. Fr. 2011, 69, 286–295. [Google Scholar] [CrossRef] [PubMed]
- Raez, L.E.; Kobina, S.; Santos, E.S. Oxaliplatin in first-line therapy for advanced non-small-cell lung cancer. Clin. Lung Cancer 2010, 11, 18–24. [Google Scholar] [CrossRef] [PubMed]
- Wheate, N.J.; Walker, S.; Craig, G.E.; Oun, R. The status of platinum anticancer drugs in the clinic and in clinical trials. Dalton Trans. 2010, 39, 8113–8127. [Google Scholar] [CrossRef] [PubMed]
- Zhang, S.; Lovejoy, K.S.; Shima, J.E.; Lagpacan, L.L.; Shu, Y.; Lapuk, A.; Chen, Y.; Komori, T.; Gray, J.W.; Chen, X.; et al. Organic cation transporters are determinants of oxaliplatin cytotoxicity. Cancer Res. 2006, 66, 8847–8857. [Google Scholar] [CrossRef]
- Martinez-Balibrea, E.; Martínez-Cardús, A.; Ginés, A.; Ruiz de Porras, V.; Moutinho, C.; Layos, L.; Manzano, J.L.; Bugés, C.; Bystrup, S.; Esteller, M.; et al. Tumor-related molecular mechanisms of oxaliplatin resistance. Mol. Cancer Ther. 2015, 14, 1767–1776. [Google Scholar] [CrossRef]
- Oun, R.; Moussa, Y.E.; Wheate, N.J. The side effects of platinum-based chemotherapy drugs: A review for chemists. Dalton Trans. 2018, 47, 6645–6653. [Google Scholar] [CrossRef]
- Kuwahara, A.; Yamamori, M.; Nishiguchi, K.; Okuno, T.; Chayahara, N.; Miki, I.; Tamura, T.; Inokuma, T.; Takemoto, Y.; Nakamura, T.; et al. Replacement of cisplatin with nedaplatin in a definitive 5-fluorouracil cisplatin-based chemoradiotherapy in Japanese patients with esophageal squamous cell carcinoma. Int. J. Med. Sci. 2009, 6, 305–311. [Google Scholar] [CrossRef]
- Uehara, T.; Yamate, J.; Torii, M.; Maruyama, T. Comparative nephrotoxicity of cisplatin and nedaplatin: Mechanisms and histopathological characteristics. J. Toxicol. Pathol. 2011, 24, 87–94. [Google Scholar] [CrossRef]
- Ali, I.; Wani, W.A.; Saleem, K.; Haque, A. Platinum compounds: A hope for future cancer chemotherapy. Anticancer Agents Med. Chem. 2013, 13, 296–306. [Google Scholar] [CrossRef]
- Peng, Y.; Liu, Y.E.; Ren, X.C.; Chen, X.J.; Su, H.L.; Zong, J.; Feng, Z.L.; Wang, D.Y.; Lin, Q.; Gao, X.S. A phase I clinical trial of dose escalation of lobaplatin in combination with fixed—Dose docetaxel for the treatment of human solid tumours that had progressed following chemotherapy. Oncol. Lett. 2015, 9, 67–74. [Google Scholar] [CrossRef] [PubMed]
- Silva-Platas, C.; Guerrero-Beltrán, C.E.; Carrancá, M.; Castillo, E.C.; Bernal-Ramírez, J.; Oropeza-Almazán, Y.; González, L.N.; Rojo, R.; Martínez, L.E.; Valiente-Banuet, J.; et al. Antineoplastic copper coordinated complexes (Casiopeinas) uncouple oxidative phosphorylation and induce mitochondrial permeability transition in cardiac mitochondria and cardiomyocytes. J. Bioenerg. Biomembr. 2016, 48, 43–54. [Google Scholar] [CrossRef] [PubMed]
- Cetean, S.; Ciuleanu, T.; Leucuța, D.C.; Căinap, C.; Constantin, A.M.; Cazacu, I.; Căinap, S.; Gherman, A.; Oprean, L.; Hangan, A.; et al. Hypersensitivity reactions to platinum derivatives: Findings of new predictive markers. J. BUON 2015, 20, 1617–1623. [Google Scholar] [PubMed]
- Tabti, R.; Tounsi, N.; Gaiddon, C.; Bentouhami, E.; Désaubry, L. Progress in Copper Complexes as Anticancer Agents. Med. Chem. 2017, 7, 875–879. [Google Scholar] [CrossRef]
- Hangan, A.C.; Stan, R.L.; Sevastre, B.; Gheorghe-Cetean, S.; Oprean, L. DNA cleavage study and SOD-mimetic activity of a new Cu (II) complex. Farmacia 2017, 65, 368–373. [Google Scholar]
- Schwartz, L.; Supuran, C.T.; Alfarouk, K.O. The Warburg Effect and the Hallmarks of Cancer. Anticancer Agents Med. Chem. 2017, 17, 164–170. [Google Scholar] [CrossRef]
- Sevastre, B.; Sarpataki, O.; Olah, N.K.; Stan, R.L.; Taulescu, M.; Marcus, I.; Cătoi, C. Anti-tumor effect of Euonymus Europaeus on Ehrlich tumor cells in vivo. Farmacia 2014, 62, 907–917. [Google Scholar]
- Hangan, A.; Vicaș, L.; Stan, R.L.; Pall, E.; Oprean, L.; Ionescu, C.; Andrei, S.; Sevastre-Berghian, A.; Marian, E.; Sevastre, B. Synthesis, characterization and biological activity of two new Copper (II) complexes with N-sulfonamide ligand. Rev. Chim. 2019, 70, 4060–4067. [Google Scholar] [CrossRef]
- Hangan, A.; Borodi, G.; Filip, X.; Tripon, C.; Morari, C.; Oprean, L.; Filip, C. Structure of N-(5-ethyl-[1,3,4]-thiadiazole-2-yl) toluenesulfonamide by combined X-ray powder diffraction, 13C solid-state NMR and molecular modelling. Acta Crystallogr. B. 2010, 66, 615–621. [Google Scholar] [CrossRef]
- Kadiiska, M.B.; Mason, R.P. In vivo copper-mediated free radical production: An ESR spin-trapping study. Spectrochim. Acta A Mol. Biomol. Spectrosc. 2002, 58, 1227–1239. [Google Scholar] [CrossRef]
- Hangan, A.; Borras, J.; Liu-Gonzalez, M.; Oprean, L. Synthesis, Crystal Structures and Properties of [Cu(L1)2(py)2(H2O)](H2O) [HL1=N-(5-ethyl-[1,3,4]–thiadiazole-2-yl)-toluenesulfonamidate] and [Cu(L2)2(py)2(H2O)] [HL2=N-(5-ethyl-[1,3,4]–thiadiazole-2-yl)-benzenesulfonamidate]. ZAAC 2007, 633, 1837–1841. [Google Scholar] [CrossRef]
- Hangan, A.C.; Turza, A.; Stan, R.L.; Stefan, R.; Oprean, L.S. Synthesis, crystal structure, properties and nuclease activity of a new Cu(II) complex [Cu(L)2(py)2(H2O)]. (HL=N-(5-(4-methylphenyl)-[1,3,4]–thiadiazole–2-yl)-toluenesulfonamide). Russ. J. Coord. Chem. 2015, 41, 395–404. [Google Scholar] [CrossRef]
- Liang, J.X.; Zhong, H.J.; Yang, G.; Vellaisamy, K.; Ma, D.L.; Leung, C.H. Recent development of transition metal complexes with in vivo antitumor activity. J. Inorg. Biochem. 2017, 177, 276–286. [Google Scholar] [CrossRef] [PubMed]
- Campero-Peredo, C.; Bravo-Gómez, M.E.; Hernández-Ojeda, S.L.; Olguin-Reyes, S.R.; Espinosa-Aguirre, J.J.; Ruiz-Azuara, L. Effect of [Cu(4,7-dimethyl-1,10-phenanthroline)(acetylacetonato)](NO3), Casiopeína III-Ea, on the activity of cytochrome P450. Toxicol. Vitro 2016, 33, 16–22. [Google Scholar] [CrossRef] [PubMed]
- Serment-Guerrero, J.; Bravo-Gomez, M.E.; Lara-Rivera, E.; Ruiz-Azuara, L. Genotoxic assessment of the copper chelated com pounds Casiopeinas: Clues about their mechanisms of action. J. Inorg. Biochem. 2017, 166, 68–75. [Google Scholar] [CrossRef]
- Antonarakis, E.S.; Emadi, A. Ruthenium-based chemotherapeutics: Are they ready for prime time? Cancer Chemother. Pharmacol. 2010, 66, 1–9. [Google Scholar] [CrossRef]
- Alessio, E.; Messori, L. The deceptively similar Ruthenium(III) drug candidates KP1019 and NAMI-A have different actions. What did we learn in the past 30 years? Met. Ions Life. Sci. 2018, 18, 303–324. [Google Scholar] [CrossRef]
- Beale, P.; Judson, I.; O’Donnell, A.; Trigo, J.; Rees, C.; Raynaud, F.; Turner, A.; Simmos, L.; Etterley, L. A Phase I clinical and pharmacological study of cis-diamminedichloro(2-methylpyridine) platinum II (AMD473). Br. J. Cancer 2003, 88, 1128–1134. [Google Scholar] [CrossRef]
- Sessa, C.; Capri, G.; Gianni, L.; Peccatori, F.; Grasselli, G.; Bauer, J.; Zucchetti, M.; Viganὸ, L.; Gatti, A.; Minoia, C.; et al. Clinical and pharmacological phase I study with accelerated titration design of a daily times five schedule of BBR3464, a novel cationic triplatinum complex. Ann. Oncol. 2000, 11, 977–983. [Google Scholar] [CrossRef]
- Pratesi, G.; Perego, P.; Polizzi, D.; Righetti, S.C.; Supino, R.; Caserini, C.; Manzotti, C.; Giuliani, F.C.; Pezzoni, G.; Tognella, S.; et al. A novel charged trinuclear platinum complex effective against cisplatin-resistant tumours hypersensitivity of p53-mutant human tumour xenografts. Br. J. Cancer 1999, 80, 1912–1919. [Google Scholar] [CrossRef]
- Lazarevic, T.; Rilak, A.; Bugarcic, Z.D. Platinum, palladium, gold and ruthenium complexes as anticancer agents: Current clinicaluses, cytotoxicity studies and future perspectives. Eur. J. Med. Chem. 2017, 142, 8–31. [Google Scholar] [CrossRef] [PubMed]
- Calvert, A.H.; Thomas, H.; Colombo, N.; Gore, M.; Earl, H.; Sena, L.; Camboni, G.; Liati, P.; Sessa, C. Phase II clinical study of BBR 3464, a novel, bifunctional platinum analogue, in patients with advanced ovarian cancer. Eur. J. Cancer 2001, 37, S260. [Google Scholar] [CrossRef]
- Hensing, T.A.; Hanna, N.H.; Gillenwater, H.H.; Camboni, G.M.; Allievi, C.; Socinski, M.A. Phase II study of BBR 3464 as treatment in patients with sensitive or refractory small cell lung cancer. Anticancer Drugs 2006, 17, 697–704. [Google Scholar] [CrossRef] [PubMed]
- U.S. National Institutes of Health. Clinical Trials Database, clinicaltrials.gov. Available online: https://clinicaltrials.gov/ (accessed on 14 May 2022).
- Raynaud, F.I.; Mistry, P.; Donaghue, A.; Poon, G.K.; Kelland, L.R.; Barnard, C.F.; Murrer, B.A.; Harrap, K.R. Biotransformation of the platinum drug JM216 following oral administration to cancer patients. Cancer Chemother. Pharmacol. 1996, 38, 155–162. [Google Scholar] [CrossRef] [PubMed]
- Fink, D.; Nebel, S.; Aebi, S.; Zheng, H.; Cenni, B.; Nehmé, A.; Christen, R.D.; Howell, S.B. The role of DNA mismatch repair in platinum drug resistance. Cancer Res. 1996, 56, 4881–4886. [Google Scholar]
- Choy, H.; Park, C.; Yao, M. Current status and future prospects for satraplatin, an oral platinum analogue. Clin. Cancer. Res. 2008, 14, 1633–1638. [Google Scholar] [CrossRef]
- Sternberg, C.N.; Petrylak, D.; Witjes, F.; Ferrero, J.; Eymard, J.; Falcon, S.; Chatta, K.; Vaughn, D.; Berry, W.; Sartor, O. Satraplatin (S) demonstrates significant clinical benefits for the treatment of patients with HRPC: Results of a randomized phase III trial. J. Clin. Oncol. 2007, 25 (Suppl. S18), 5019. [Google Scholar] [CrossRef]
- Latif, T.; Wood, L.; Connell, C.; Smith, D.C.; Vaughn, D.; Lebwohl, D.; Peereboom, D. Phase II study of oral bis (aceto) ammine dichloro (cyclohexamine) platinum (IV) (JM-216, BMS-182751) given daily x 5 in hormone refractory prostate cancer (HRPC). Investig. New Drugs 2005, 23, 79–84. [Google Scholar] [CrossRef]
- Kelland, L. Broadening the clinical use of platinum drug–based chemotherapy with new analogues. Expert Opin. Investig. Drugs 2007, 16, 1009–1021. [Google Scholar] [CrossRef]
- Holford, J.; Raynaud, F.; Murrer, B.A.; Grimaldi, K.; Hartley, J.; Abrams, M.; Kelland, L.R. Chemical, biochemical and pharma cological activity of the novel sterically hindered platinum co-ordination complex, cis-[amminedichloro(2-methylpyridine)] plati num (II) (AMD473). Anti-Cancer Drug Des. 1998, 13, 1–18. [Google Scholar]
- Nishimura, T.; Newkirk, K.; Sessions, R.; Andrews, P.A.; Trock, B.J.; Rasmussen, A.A.; Montgomery, E.A.; Bischoff, E.K.; Cullen, K.J. Immunohistochemical staining for glutathione S-transferase predicts response to platinumbased chemotherapy in head and neck cancer. Clin. Cancer Res. 1996, 2, 1859–1865. [Google Scholar] [PubMed]
- Raynaud, F.I.; Boxall, F.E.; Goddard, P.M. Cis-ammine dichloro(2-methylpyridine) platinum (II) (AMD473), a novel sterically hindered platinum complex: In vivo activity, toxicology and pharmacokinetics in mice. Clin. Cancer Res. 1997, 3, 2063–2074. [Google Scholar] [PubMed]
- Van Hennik, M.B.; van der Vijgh, W.J.; Klein, I. Comparative pharmacokinetics of cisplatin and three analogues in mice and humans. Cancer Res. 1987, 47, 6297–6301. [Google Scholar] [PubMed]
- Treat, J.; Schiller, J.; Quoix, E.; Mauer, A.; Edelman, M.; Modiano, M.; Bonomi, P.; Ramlau, R.; Lemarie, E. ZD0473 ment in lung cancer: An overview of the clinical trial results. Eur. J. Cancer 2002, 38 (Suppl. S8), S13–S18. [Google Scholar] [CrossRef]
- Gore, M.E.; Atkinson, R.J.; Thomas, H.; Cure, H.; Rischin, D.; Beale, P.; Bougnoux, P.; Dirix, L.; Smit, W.M. A phase II trial of ZD0473 in platinum-pretreated ovarian cancer. Eur. J. Cancer 2002, 38, 2416–2420. [Google Scholar] [CrossRef]
- Giaccone, G.; O’Brien, M.E.R.; Byrne, M.J.; Bard, M.; Kaukel, E.; Smit, B. Phase II trial of ZD0473 as second-line therapy in mesothelioma. Eur. J. Cancer 2002, 38, S19–S24. [Google Scholar] [CrossRef]
- Gelmon, K.A.; Vandenberg, T.A.; Panasci, L.; Norris, B.; Crump, M.; Douglas, L.; Walsh, W.; Matthews, S.J.; Seymour, L.K. A phase II study of ZD0473 given as a short infusion every 3 weeks to patients with advanced or metastatic breast cancer: A National Cancer Institute of Canada Clinical Trials Group trial, IND 129. Ann. Oncol. 2003, 14, 543–548. [Google Scholar] [CrossRef]
- Rahman, A.; Roh, J.K.; Wolpert-DeFilippes, M.K.; Goldin, A.; Venditti, J.M.; Woolley, P.V. Therapeutic and pharmacological studies of tetrachloro (d,l-trans) 1,2-diaminocyclohexane platinum (IV) (Tetraplatin), a new platinum analogue. Cancer Res. 1988, 48, 1745–1752. [Google Scholar]
- Schilder, R.J.; LaCreta, F.P.; Perez, R.P.; Johnson, S.W.; Brennan, J.M.; Rogatko, A.; Nash, S.; McAleer, C.; Hamilton, T.C.; Roby, D. Phase I and pharmacokinetic study of ormaplatin (tetraplatin, NSC 363812) administered on a day 1 and day 8 schedulede. Cancer Res. 1994, 54, 709–717. [Google Scholar]
- Tutsch, K.D.; Arzoomanian, R.Z.; Alberti, D.; Tombes, M.B.; Feierabend, C.; Robins, H.I.; Spriggs, D.R.; Wilding, G. Phase I clinical and pharmacokinetic study of an one-hour infusion of ormaplatin (tetraplatin, NSC 363812). Investig. New Drugs 1999, 17, 63–72. [Google Scholar] [CrossRef]
- Pendyala, L.; Arakali, A.V.; Sansone, P.; Cowens, J.W.; Creaven, P.J. DNA binding of iproplatin and its divalent metabolite cis-dichloro-bis-isopropylamine platinum (II). Cancer Chemoth. Pharmacol. 1990, 27, 248–250. [Google Scholar] [CrossRef] [PubMed]
- Paolozzi, F.P.; Gaver, R.; Poiesz, B.J.; Louie, A.; DiFino, S.; Comis, R.L.; Newman, N.; Ginsberg, S. Phase I –preliminary phase II trial of iproplatin, a cisplatin analogue. Investig. New Drugs 1988, 6, 199–206. [Google Scholar] [CrossRef] [PubMed]
- Sessa, C.; Vermorken, J.; Renard, J.; Kaye, S.; Smith, D.; ten Bokkel Huinink, W.; Cavalli, F.; Pinedo, H. Phase II study of iproplatin in advanced ovarian carcinoma. J. Clin. Oncol. 1988, 6, 98–105. [Google Scholar] [CrossRef] [PubMed]
- de Wit, R.; Tesselaar, M.; Kok, T.C.; Seynaeve, C.; Rodenburg, C.J.; Verweij, J.; Helle, P.A.; Stoter, G. Randomosed phase II trial of carboplatin and iproplatin in advanced urothelial cancer. Eur. J. Cancer 1991, 27, 1383–1385. [Google Scholar] [CrossRef]
- Mjos, K.D.; Orvig, C. Metallodrugs in medicinal inorganic chemistry. Chem. Rev. 2014, 114, 4540–4563. [Google Scholar] [CrossRef]
- Hasinoff, B.B.; Wu, X.; Yadav, A.A.; Patel, D.; Zhang, H.; Wang, D.S.; Chen, Z.S.; Yalowich, J.C. Cellular mechanisms of the cytotoxicity of the anticancer drug elesclomol and its complex with Cu(II). Biochem. Pharmacol. 2015, 93, 266–276. [Google Scholar] [CrossRef]
- Monk, B.J.; Kauderer, J.T.; Moxley, K.M.; Bonebrake, A.J.; Dewdney, S.B.; Secord, A.A.; Ueland, F.R.; Johnston, C.M.; Aghajanian, C. A phase II evaluation of elesclomol sodium and weekly paclitaxel in the treatment of recurrent or persistent platinum resistant ovarian, fallopian tube or primary peritoneal cancer: An NRG oncology/gynecologic oncology group study. Gynecol. Oncol. 2016, 151, 422–427. [Google Scholar] [CrossRef]
- O’Day, S.J.; Eggermont, A.M.; Chiarion-Sileni, V.; Kefford, R.; Grob, J.J.; Mortier, L.; Robert, C.; Schachter, J.; Testori, A.; Mackiewicz, J.; et al. Final results of phase III SYMMETRY study: Randomized, double-blind trial of elesclomol plus paclitaxel versus paclitaxel alone as treatment for chemotherapy-naive patients with advanced melanoma. J. Clin. Oncol. 2013, 31, 1211–1218. [Google Scholar] [CrossRef]
- Kirshner, J.R.; He, S.; Balasubramanyam, V.; Kepros, J.; Yang, C.Y.; Zhang, M.; Du, Z.; Barsoum, J.; Bertin, J. Elesclomol induces cancer cell apoptosis through oxidative stress. Mol. Cancer Ther. 2008, 7, 2319–2327. [Google Scholar] [CrossRef]
- Berkenblit, A.; Eder, J.P., Jr.; Ryan, D.P.; Seiden, M.V.; Tatsuta, N.; Sherman, M.L.; Dahl, T.A.; Dezube, B.J.; Supko, J.G. Phase I clinical trial of STA-4783 in combination with paclitaxel in patients with refractory solid tumors. Clin. Cancer Res. 2007, 13 Pt 1, 584–590. [Google Scholar] [CrossRef]
- Korn, E.L.; Liu, P.Y.; Lee, S.J.; Chapman, J.A.W.; Niedzwiecki, D.; Suman, V.J.; Moon, J.; Sondak, V.K.; Atkins, M.B.; Eisenhauer, E.A.; et al. Meta-analysis of phase II cooperative group trials in metastatic stage IV melanoma to determine progression-free and overall survival benchmarks for future phase II trials. J. Clin. Oncol. 2008, 26, 527–534. [Google Scholar] [CrossRef] [PubMed]
- Rae, C.; Mairs, R.J. Evaluation of the radiosensitizing potency of chemotherapeutic agents in prostate cancer cells. Int. J. Radiat. Biol. 2017, 93, 194–203. [Google Scholar] [CrossRef] [PubMed]
- de Anda-Jáuregui, G.; Espinal-Enríquez, J.; Hur, J.; Alcalá-Corona, S.A.; Ruiz-Azuara, L.; Hernández-Lemus, E. Identification of Casiopeina II-gly secondary targets through a systems pharmacology approach. Comput. Biol. Chem. 2019, 78, 127–132. [Google Scholar] [CrossRef]
- Vértiz, G.; García-Ortuño, L.E.; Bernal, J.P.; Bravo-Gómez, M.E.; Lounejeva, E.; Huerta, A.; Ruiz-Azuara, L. Pharmacokinetics and hematotoxicity of a novel copper-based anticancer agent: Casiopeina III-Ea, after a single intravenous dose in rats. Fundam. Clin. Pharmacol. 2014, 28, 78–87. [Google Scholar] [CrossRef] [PubMed]
- Chavez-Gonzalez, A.; Centeno-Llanos, S.; Moreno-Lorenzana, D.; Sandoval-Esquivel, M.A.; Aviles-Vazquez, S.; Bravo-Gomez, M.E.; Ruiz-Azuara, L.; Ayala-Sanchez, M.; Torres-Martinez, H.; Mayani, H. Casiopeina III-Ea, a copper-containing small molecule, inhibits the in vitro growth of primitive hematopoietic cells from chronic myeloid leukemia. Leuk. Res. 2017, 52, 8–19. [Google Scholar] [CrossRef]
- Allardyce, C.S.; Dyson, P.J. Ruthenium in medicine: Current clinical uses and future prospects. Platin. Met. Rev. 2001, 45, 62–69. [Google Scholar]
- Mehvash, Z.; Farukh, A.; Sartaj, T. Current and future potential of metallo drugs: Revisiting DNA-binding of metal containing molecules and their diverse mechanism of action. Inorg. Chim. Acta 2016, 444, 1–22. [Google Scholar]
- Alessio, E.; Messori, L. NAMI-A and KP1019/1339, two iconic ruthenium anticancer drug candidates face-to-face: A case story in medicinal inorganic chemistry. Molecules 2019, 24, 1995. [Google Scholar] [CrossRef]
- Sava, G.; Frausin, F.; Cocchietto, M.; Vita, F.; Podda, E.; Spessotto, P.; Furlani, A.; Scarcia, V.; Zabucchi, G. Actin-dependent tumour cell adhesion after short-term exposure to the antimetastasis ruthenium complex NAMI-A. Eur. J. Cancer 2004, 40, 1383–1396. [Google Scholar] [CrossRef]
- Bergamo, A.; Gaiddon, C.; Schellens, J.H.; Beijnen, J.H.; Sava, G. Approaching tumour therapy beyond platinum drugs: Status of the art and perspectives of ruthenium drug candidates. J. Inorg. Biochem. 2012, 106, 90–99. [Google Scholar] [CrossRef]
- Bergamo, A.; Sava, G. Ruthenium complexes can target determinants of tumour malignancy. Dalton Trans 2007, 13, 1267–1272. [Google Scholar] [CrossRef] [PubMed]
- Gava, B.; Zorzet, S.; Spessotto, P.; Cocchietto, M.; Sava, G. Inhibition of B16 melanoma metastases with the ruthenium complex imidazolium trans-imidazoledimethylsulfoxide-tetrachlororuthenate and down-regulation of tumor cell invasion. J. Pharmacol. Exp. Ther. 2006, 317, 284–291. [Google Scholar] [CrossRef] [PubMed]
- Sava, G.; Zorzet, S.; Turrin, C.; Vita, F.; Soranzo, M.; Zabucchi, G.; Cocchietto, M.; Bergamo, A.; DiGiovine, S.; Pezzoni, G.; et al. Dual action of NAMI-A in inhibition of solid tumor metastasis: Selective targeting of metastatic cells and binding to collagen. Clin. Cancer Res. 2003, 9, 1898–1905. [Google Scholar] [PubMed]
- Casarsa, C.; Mischis, M.T.; Sava, G. TGF beta1 regulation and collagen-release-independent connective tissue remodelling by the ruthenium complex. NAMI-A in solid tumours. J. Inorg. Biochem. 2004, 98, 1648–1654. [Google Scholar] [CrossRef]
- Vacca, A.; Bruno, M.; Boccarelli, A.; Coluccia, M.; Ribatti, D.; Bergamo, A.; Garbisa, S.; Sartor, L.; Sava, G. Inhibition of endothelial cell functions and of angiogenesis by the metastasis inhibitor NAMI-A. Br. J. Cancer 2002, 86, 993–998. [Google Scholar] [CrossRef]
- Leijen, S.; Burgers, S.A.; Baas, P.; Pluim, D.; Tibben, M.; van Werkhoven, E.; Alessio, E.; Sava, G.; Beijnen, J.H.; Schellens, J.H. Phase I/II study with ruthenium compound NAMI-A and gemcitabine in patients with non-small cell lung cancer after first line therapy. Investig. New Drugs 2015, 33, 201–214. [Google Scholar] [CrossRef]
- Zorzet, S.; Bergamo, A.; Cocchietto, M.; Sorc, A.; Gava, B.; Alessio, E.; Iengo, E.; Sava, G. Lack of In vitro cytotoxicity, associated to increased G(2)-M cell fraction and inhibition of matrigel invasion, may predict In vivo-selective antimetastasis activity of ruthenium complexes. J. Pharmacol. Exp. Ther. 2000, 295, 927–933. [Google Scholar]
- Debidda, M.; Sanna, B.; Cossu, A.; Posadino, A.M.; Tadolini, B.; Ventura, C.; Pintus, G. NAMI-A inhibits the PMA-induced ODC gene expression in ECV304 cells: Involvement of PKC/Raf/Mek/ERK signalling pathway. Int. J. Oncol. 2003, 23, 477–482. [Google Scholar] [CrossRef]
- Sanna, B.; Debidda, M.; Pintus, G.; Tadolini, B.; Posadino, A.M.; Bennardini, F.; Sava, G.; Ventura, C. The anti-metastatic agentimidazolium trans-imidazole-dimethyl-sulfoxide-tetrachloro ruthenate induces endothelial cell apoptosis by inhibiting the mitogen activated protein kinase/extracellular signal-regulated kinase signaling pathway. Arch. Biochem. Biophys. 2002, 403, 209–218. [Google Scholar] [CrossRef]
- Pluim, D.; van Waardenburg, R.C.; Beijnen, J.H.; Schellens, J.H. Cytotoxicity of the organic ruthenium anticancer drug Nami-A is correlated with DNA binding in four different human tumor cell lines. Cancer Chemother. Pharmacol. 2004, 54, 71–78. [Google Scholar] [CrossRef]
- Alessio, E. Thirty years of the drug candidate NAMI-A and the myths in the field of ruthenium anticancer compounds: A personal perspective. Eur. J. Inorg. Chem. 2017, 2017, 1549–1560. [Google Scholar] [CrossRef]
- Brabec, V.; Novakova, O. DNA binding mode of ruthenium complexes and relationship to tumor cell toxicity. Drug Resist. Updat. 2006, 9, 111–122. [Google Scholar] [CrossRef] [PubMed]
- Sava, G.; Clerici, K.; Capozzi, I.; Cocchietto, M.; Gagliardi, R.; Alessio, E.; Mestroni, G.; Perbellini, A. Reduction of lung metastasis by ImH[trans-RuCl4(DM-SO)Im]: Mechanism of the selective action investigated on mouse tumors. Anticancer Drugs 1999, 10, 129–138. [Google Scholar] [CrossRef] [PubMed]
- Cocchietto, M.; Sava, G. Blood concentration and toxicity of the antimetastasis agent NAMI-A following repeated intravenous treatment in mice. Pharmacol. Toxicol. 2000, 87, 193–197. [Google Scholar] [CrossRef]
- Therasse, P.; Arbuck, S.G.; Eisenhauer, E.A.; Wanders, J.; Kaplan, R.S.; Rubinstein, L.; Verweij, J.; Van, G.M.; van Oosterom, A.T.; Christian, M.C.; et al. New guidelines to evaluate the response to treatment in solid tumors. European Organization for Research and Treatment of Cancer, National Cancer Institute of the United States, National Cancer Institute of Canada. J. Natl. Cancer Inst. 2000, 92, 205–216. [Google Scholar] [CrossRef]
- Meier-Menches, S.M.; Gerner, C.; Berger, W.; Hartinger, C.G.; Keppler, B.K. Structure activity relationships for ruthenium and osmium anticancer agents towards clinical development. Chem. Soc. Rev. 2018, 47, 909–928. [Google Scholar] [CrossRef]
- Flocke, L.S.; Trondl, R.; Jakupec, M.A.; Keppler, B.K. Molecular mode of action of NKP-1339 a clinically investigated ruthenium-based drug—Involves ER- and ROS-related e_ects in colon carcinoma cell lines. Investig. New Drugs 2016, 34, 261–268. [Google Scholar] [CrossRef]
- Golla, U.; Swagatika, S.; Chauhan, S.; Tomar, R.S. A systematic assessment of chemical, genetic, and epigenetic factors influencing the activity of anticancer drug KP1019 (FFC14A). Oncotarget 2017, 8, 98426–98454. [Google Scholar] [CrossRef]
- Heffeter, P.; Böck, K.; Atil, B.; Hoda, M.A.R.; Körner, W.; Bartel, C.; Jungwirth, U.; Keppler, B.K.; Micksche, M.; Berger, W.; et al. Intracellular protein binding patterns of the anticancer ruthenium drugs KP1019 and KP1339. J. Biol. Inorg. Chem. 2010, 15, 737–748. [Google Scholar] [CrossRef]
- Kapitza, S.; Pongratz, M.; Jakupec, M.A.; He_eter, P.; Berger, W.; Lackinger, L.; Keppler, B.K.; Marian, B. Heterocyclic complexes of ruthenium(III) induce apoptosis in colorectal carcinoma cells. J. Cancer Res. Clin. Oncol. 2005, 131, 101–110. [Google Scholar] [CrossRef]
- Bergamo, A.; Masi, A.; Jakupec, M.A.; Keppler, B.K.; Sava, G. Inhibitory Effects of the ruthenium complex KP1019 in models of mammary cancer cell migration and invasion. Met. Based Drugs 2009, 2009, 681270. [Google Scholar] [CrossRef]
- Trondl, R.; Heffeter, P.; Kowol, C.R.; Jakupec, M.A.; Berger, W.; Keppler, B.K. NKP-1339, the first ruthenium-based anticancer drug on the edge to clinical application. Chem. Sci. 2014, 5, 2925–2932. [Google Scholar]
- Bytzek, A.K.; Koellensperger, G.; Keppler, B.K.; Hartinger, C.G. Biodistribution of the novel anticancer drug sodium trans-[tetrachloridobis(1H-indazole)ruthenate(III)] KP-1339/IT139 in nude BALB/c mice and implications on its mode of action. J. Inorg. Biochem. 2016, 160, 250–255. [Google Scholar] [CrossRef] [PubMed]
- Hartinger, C.G.; Jakupec, M.A.; Zorbas-Seifried, S.; Groessl, M.; Egger, A.; Berger, W.; Zorbas, H.; Dyson, P.J.; Keppler, B.K. KP1019, a new redox-active anticancer agent—Preclinical development and results of a clinical phase I study in tumor patients. Chem. Biodivers. 2008, 5, 2140–2155. [Google Scholar] [CrossRef] [PubMed]
- Henke, M.M.; Richly, H.; Drescher, A.; Grubert, M.; Alex, D.; Thyssen, D.; Jaehde, U.; Scheulen, M.E.; Hilger, R.A. Pharmacokinetic study of sodium trans[tetrachlorobis(1H-indazole)-ruthenate (III)]/-indazole hydrochloride (1:1.1) (FFC14A) in patients with solid tumors. Int. J. Clin. Pharmacol. Ther. 2009, 47, 58–60. [Google Scholar] [CrossRef]
- Fuereder, T.; Berger, W. Metal drugs become targeted. ESMO Open 2017, 2, e000239. [Google Scholar] [CrossRef]
- Kenny, R.G.; Marmion, C.J. Toward multi-targeted platinum and ruthenium drugs—A new paradigm in cancer drug treatment regimens? Chem. Rev. 2019, 119, 1058–1137. [Google Scholar] [CrossRef]
- Bednarski, P.J.; Mackay, F.S.; Sadler, P.J. Photoactivatable platinum complexes. Anticancer Agents Med. Chem. 2007, 7, 75–93. [Google Scholar] [CrossRef]
- Wang, N.; Deng, Z.; Zhu, Q.; Zhao, J.; Xie, K.; Shi, P.; Wang, Z.; Chen, X.; Wang, F.; Shi, J.; et al. An erythrocyte-delivered photoactivatable oxaliplatin nanoprodrug for enhanced antitumor efficacy and immune response. Chem. Sci. 2021, 12, 14353–14362. [Google Scholar] [CrossRef]
- Bolitho, M.E.; Sanchez-Cano, C.; Shi, H.; Quinn, P.D.; Harkiolaki, M.; Imberti, C.; Sadler, P.J. Single-cell chemistry of photoactivatable platinum anticancer complexes. J. Am. Chem. Soc. 2021, 143, 20224–20240. [Google Scholar] [CrossRef]
- van Zutphen, S.; Reedijk, J. Targeting platinum anti-tumour drugs: Overview of strategies employed to reduce systemic toxicity Coord. Chem. Rev. 2005, 249, 2845–2853. [Google Scholar] [CrossRef]
- Marian, E.; Duțeanu, N.; Vicaș, L.; Rusu, G.; Jurca, T.; Mureșan, M.; Micle, O.; Hangan, A.C.; Stan, R.L.; Ionescu, C.; et al. Synthesis, characterization of inclusion compounds of amygdalin with β-cyclodextrin and sod-like activity and cytotoxicity on hela tumor cells. Arab. J. Chem. 2020, 13, 6828–6837. [Google Scholar] [CrossRef]
- Krasnovskaya, O.O.; Guk, D.A.; Naumov, A.E.; Nikitina, V.N.; Semkina, A.S.; Vlasova, K.Y.; Pokrovsky, V.; Ryabaya, O.O.; Karshieva, S.S.; Skvortsov, D.A.; et al. Novel Copper-Cytotoxic Agents Based on 2-Thioxoimidazolones. J. Med. Chem. 2020, 63, 13031–13063. [Google Scholar] [CrossRef] [PubMed]
- Simpson, P.V.; Desai, N.M.; Casari, I.; Massi, M.; Falasca, M. Metal-based antitumor compounds: Beyond cisplatin. Future Med. Chem. 2019, 11, 119–135. [Google Scholar] [CrossRef] [PubMed]
- Gomes, B.S.; Simoes, B.; Mendes, P.M. The increasing dynamic, functional complexity of bio-inetrface materials. Nat. Rev. Chem. 2018, 2, 0120. [Google Scholar] [CrossRef]
- Zhao, R.; Xiang, J.; Wang, B.; Chen, L.; Tan, S. Recent advances in the development of noble metal NPs for cancer therapy. Bioinorg. Chem. Appl. 2022, 2444516. [Google Scholar]
- Zumaya, A.L.V.; Mincheva, R.; Raquez, J.M.; Hassouna, F. Nanoclusters-based drug delivery and theranostic systems: Towards cancer therapy. Polymers 2022, 14, 1188. [Google Scholar] [CrossRef]
- Gianasi, E.; Buckley, R.G.; Latigo, J.; Wasil, M.; Duncan, R. HPMA copolymers platinates containing dicarboxylato ligands. Preparation, characterisation and in vitro and in vivo evaluation. J. Drug Target. 2002, 10, 549–556. [Google Scholar] [CrossRef]
- Rademaker-Lakhai, J.M.; Terret, C.; Howell, S.B.; Baud, C.M.; de Boer, R.F.; Pluim, D.; Beijnen, J.H.; Schellens, J.H.; Droz, J.P. A Phase I and Pharmacological Study of the Platinum Polymer AP5280 Given as an Intravenous Infusion Once Every 3 Weeks in Patients with Solid Tumors. Clin. Cancer Res. 2004, 10, 3386–3395. [Google Scholar] [CrossRef]
- Sood, P.; Thurmond, K.B.; Jacob, J.E.; Waller, L.K.; Silva, G.O.; Stewart, D.R.; Nowotnik, D.P. Synthesis and characterization of AP5346, a novel polymer-linked diaminocyclohexyl platinum chemotherapeutic agent. Bioconjug. Chem. 2006, 17, 1270–1279. [Google Scholar] [CrossRef]
- Nowotnik, D.P.; Cvitkovic, E. ProLindac™ (AP5346): A review of the development of an HPMA DACH platinum polymer therapeutic. Adv. Drug Deliv. Rev. 2009, 61, 1214–1219. [Google Scholar] [CrossRef] [PubMed]
- Larsen, S.; Butthongkomvong, K.; Manikhas, A.; Trishkina, E.; Poddubuskaya, E.; Matrosova, M.; Srimuninnimit, V.; Lindkaer-Jensen, S. BP-C1 in the treatment of patients with stage IV breast cancer: A randomized, double-blind, placebo-controlled multicenter study and an additional open-label treatment phase. Breast Cancer 2014, 6, 179–189. [Google Scholar] [CrossRef] [PubMed][Green Version]
- Browning, R.J.; Reardon, P.J.T.; Parhizkar, M.; Pedley, R.B.; Edirisinghe, M.; Knowles, J.C.; Stride, E. Drug delivery strategies for platinum-based chemotherapy. ACS Nano. 2017, 11, 8560–8578. [Google Scholar] [CrossRef] [PubMed]
- Doi, T.; Hamaguchi, T.; Shitara, K.; Iwasa, S.; Shimada, Y.; Harada, M.; Naito, K.; Hayashi, N.; Masada, A.; Ohtsu, A. C-6004 Phase I study in combination with gemcitabine for advanced solid tumors and population PK/PD analysis. Cancer Chemoter. Pharmacol. 2017, 79, 569–578. [Google Scholar] [CrossRef] [PubMed]
- Subbiah, V.; Grilley-Olson, J.E.; Combest, A.J.; Sharma, N.; Tran, R.H.; Bobe, I.; Osada, A.; Takahashi, K.; Balkissoon, J.; Camp, A.; et al. Phase Ib/II Trial of NC-6004 (Nanoparticle Cisplatin) plus Gemcitabine in patients with advanced solid tumors. Clin. Cancer Res. 2018, 24, 43–51. [Google Scholar] [CrossRef]








Publisher’s Note: MDPI stays neutral with regard to jurisdictional claims in published maps and institutional affiliations. |
© 2022 by the authors. Licensee MDPI, Basel, Switzerland. This article is an open access article distributed under the terms and conditions of the Creative Commons Attribution (CC BY) license (https://creativecommons.org/licenses/by/4.0/).
Share and Cite
Lucaciu, R.L.; Hangan, A.C.; Sevastre, B.; Oprean, L.S. Metallo-Drugs in Cancer Therapy: Past, Present and Future. Molecules 2022, 27, 6485. https://doi.org/10.3390/molecules27196485
Lucaciu RL, Hangan AC, Sevastre B, Oprean LS. Metallo-Drugs in Cancer Therapy: Past, Present and Future. Molecules. 2022; 27(19):6485. https://doi.org/10.3390/molecules27196485
Chicago/Turabian StyleLucaciu, Roxana Liana, Adriana Corina Hangan, Bogdan Sevastre, and Luminița Simona Oprean. 2022. "Metallo-Drugs in Cancer Therapy: Past, Present and Future" Molecules 27, no. 19: 6485. https://doi.org/10.3390/molecules27196485
APA StyleLucaciu, R. L., Hangan, A. C., Sevastre, B., & Oprean, L. S. (2022). Metallo-Drugs in Cancer Therapy: Past, Present and Future. Molecules, 27(19), 6485. https://doi.org/10.3390/molecules27196485

