Antioxidant, Antibacterial, and Antifungal Activities of the Ethanolic Extract Obtained from Berberis vulgaris Roots and Leaves
Abstract
1. Introduction
2. Results and Discussion
2.1. Yield Extract, Antioxidant Activity and Total Polyphenol Compounds of Berberis vulgaris Leaves and Roots
2.2. Phenolic and Flavonoid Compounds in Barberry Extracts Identified by High-Performance Liquid Chromatoghry (HPLC)
2.3. Antioxidant Activity of Berberis vulgaris Extracts
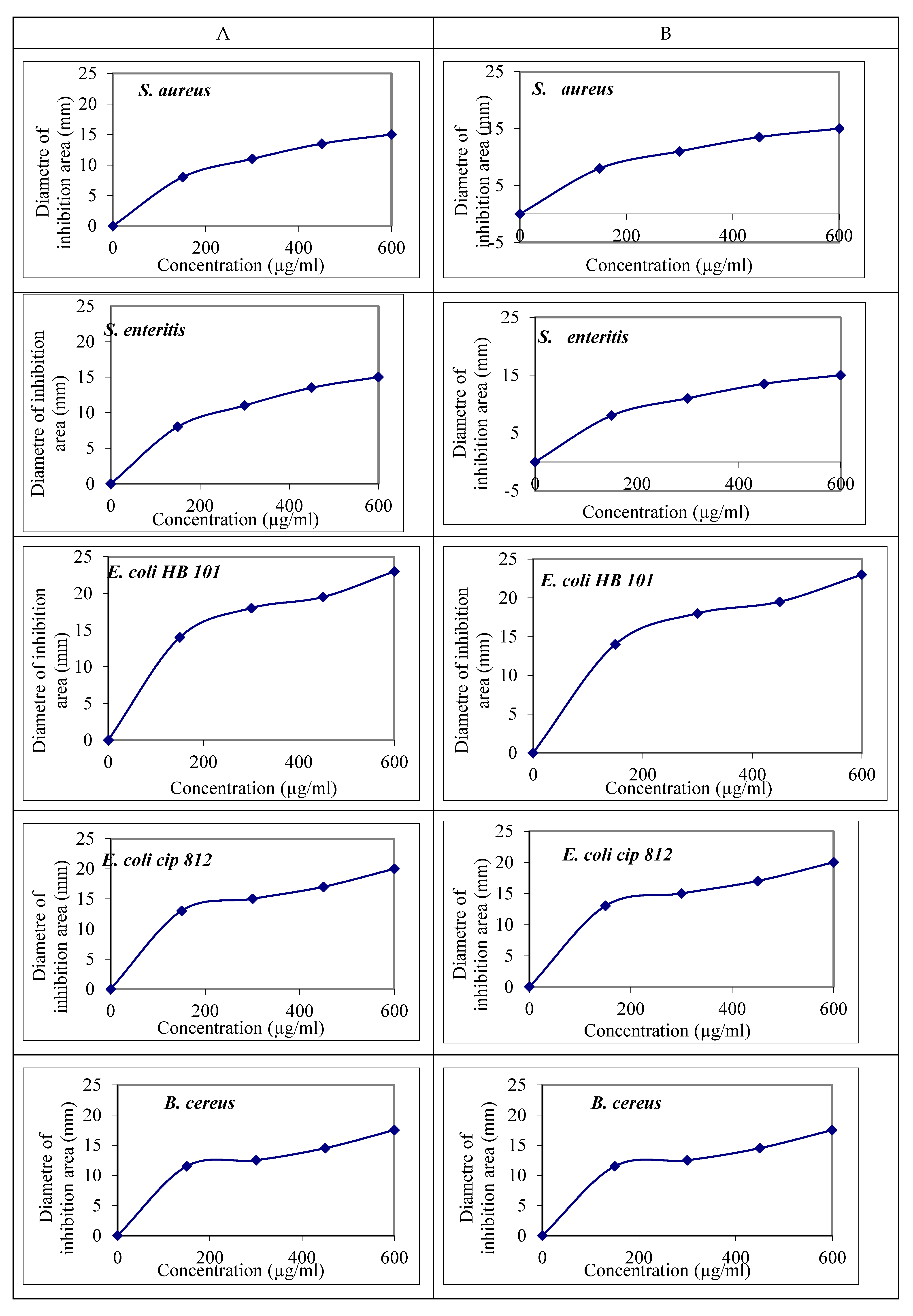
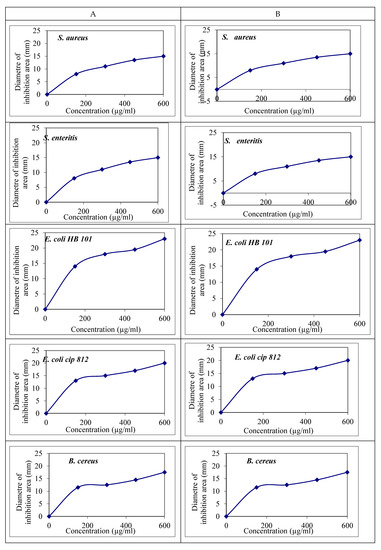
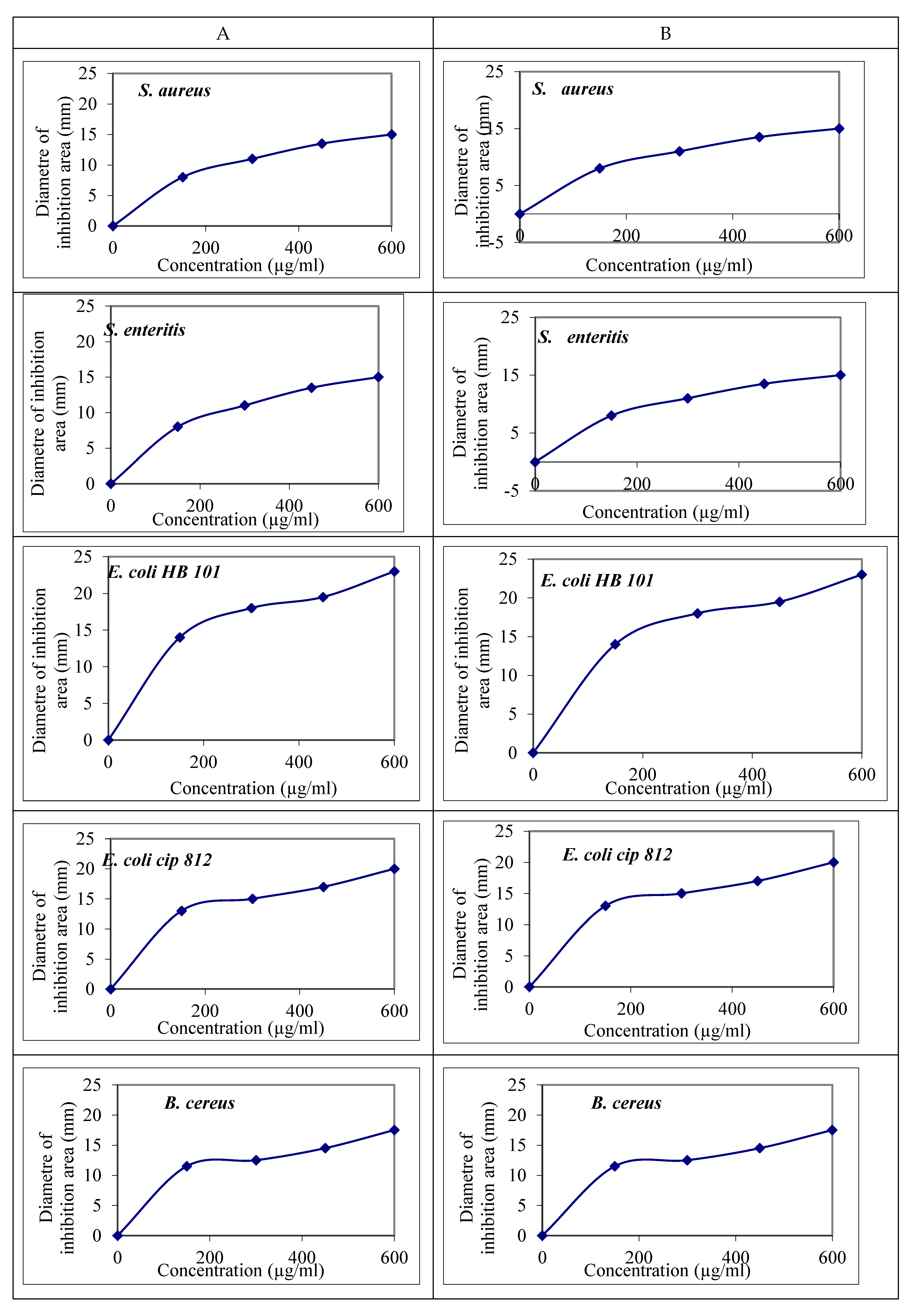
2.4. Disc Assay of Berberis vulgaris Extracts against Tested Bacteria Strains
2.4.1. Antibacterial Assays
2.4.2. Turbidity-Based Bacterial Growth
2.5. Antifungal Assays
3. Materials and Methods
3.1. Chemicals and Reagents
3.2. Plant Material
3.3. Preparation of Plant Extracts
3.4. Culture Media and Microorganisms
Preparation of Standard Solutions
3.5. Determination of Total Phenolic Compounds
3.6. Determination of Total Flavonoids
3.7. High-Performance Liquid Chromatography Analysis
3.8. Determination of Total Antioxidant Capacity by the DPPH•, ABTS•+, and β-Carotene Methods
3.9. Antibacterial Activity
3.10. Liquid Media Technique
3.11. Solid-Media Techniques (Mass Diffusion)
3.12. Antifungal Activity
Growth Mycelial Inhibition
3.13. Statistical Analysis
4. Conclusions
Author Contributions
Funding
Institutional Review Board Statement
Informed Consent Statement
Data Availability Statement
Conflicts of Interest
References
- Deabes, M.M.; Abdel-Fatah, S.I.; Salem, S.H.; Naguib, K.M. Antimicrobial activity of bioactive compounds extract from Saussurea costus against food spoilage microorganisms. Egyt. J. Chem. 2021, 64, 2833–2843. [Google Scholar] [CrossRef]
- Ekhtelat, M.; Birghani, S.A.; Namjoyan, F.; Ameri, A. The antibacterial activity of barberry root and fennel seed extracts individually and in combination with nisin and sodium diacetate against E. coli O157:H7. Jundishapur J. Nat. Pharmac. Prod. 2020, 15, 55078–55082. [Google Scholar] [CrossRef]
- Parham, S.; Kharazi, A.Z.; Bakhsheshi-Rad, H.R.; Nur, H.; Ismail, A.F.; Sharif, S.; RamaKrishna, S.; Berto, F. Antioxidant, antimicrobial and antiviral properties of herbal materials. Antioxidants 2020, 9, 1309. [Google Scholar] [CrossRef]
- Akbulut, M.; Çalişir, S.; Marakoğlu, T.; Çoklar, H. Some physicomechanical and nutritional properties of Barberry (Berberis vulgaris L.) fruits. J. Food. Proc. Eng. 2009, 32, 497–511. [Google Scholar] [CrossRef]
- Rahimi-Madiseh, M.; Lorigoini, Z.; Zamani-Gharaghoshi, H.; Rafieian-Kopaei, M. Berberis vulgaris: Specifications and traditional uses. Iran. J. Basic Med. Sci. 2017, 20, 569–587. [Google Scholar] [CrossRef]
- Mohammadzadeh, N.; Mehri, S.; Hosseinzadeh, H. Berberis vulgaris and its constituent Berberine as antidotes and protective agents against natural or chemical toxicities. Iran. J. Basic Med. Sci. 2017, 20, 538–551. [Google Scholar] [CrossRef]
- Zarei, A.; Changizi-Ashtiyani, S.; Taheri, S.; Ramezani, M. A quick overview on some aspects of endocrinological and therapeutic effects of Berberis vulgaris L. Avicenna J. Phytomed. 2015, 5, 485–497. [Google Scholar] [PubMed]
- Naaz, I.; Ali, S.A. Identification and characterization of bioactive compound berberine in the Berberis vulgaris root extract using HR-LC-MS analysis. J. Ana. Pharma. Res. 2018, 7, 146–150. [Google Scholar] [CrossRef]
- Abu-Odeh, A.M.; Talib, W.H. Middle-East medicinal plants in the treatment of diabetes: A review. Molecules 2021, 26, 742. [Google Scholar] [CrossRef]
- Bashir, S.; Gilani, A.H.; Siddiqui, A.A.; Pervez, S.; Khan, S.R.; Sarfaraz, N.J.; Shah, A. Berberis vulgaris root bark extract prevents hyperoxaluria-induced urolithiasis in rats. Phytother Res. 2010, 24, 1250–1255. [Google Scholar] [CrossRef]
- El-Zahar, K.H.; Sitohy, M.; Choiset, Y.; Métro, F.; Haertlé, T.; Chobert, J.-M. Anti-microbial activity of ovine whey protein peptic hydrolysates. Milchwissenschaft 2004, 59, 653–656. [Google Scholar]
- El-Zahar, K.H. Antimicrobial activity of sheep yoghurt prepared by different commercial starter strains. Alex. Sci. Exch. J. 2009, 30, 188–197. [Google Scholar] [CrossRef]
- Kosalec, I.; Gregurek, B.; Kremer, D.; Zovko, M.; Sanković, K.; Karlović, K. Croatian Barberry (Berberis croatica Horvat): A new source of Berberine- analysis and antimicrobial activity. World J. Mic. Biotechnol. 2009, 25, 145–150. [Google Scholar] [CrossRef]
- Hosseinzadeh, H. Anticonvulsant effect of Berberis integerrima L. root extracts in mice. J. Acupunct. Meridian. Stud. 2013, 6, 12–17. [Google Scholar] [CrossRef] [PubMed]
- Gul, Z.; Ali Akbar, A.; Leghari, S.K. Elucidating Therapeutic and Biological Potential of Berberis baluchistanica Ahrendt bark, leaf, and root extracts. Front. Microbiol. 2022, 13, 823673. [Google Scholar] [CrossRef]
- Zhang, L.; Wang, J.; Zhang, C.; Wang, Q. Analysis of potential fumonisin-producing Fusarium species in corn products from three main maize-producing areas in eastern China. J. Sci. Food Agric. 2013, 93, 693–701. [Google Scholar] [CrossRef]
- Jessberger, N.; Dietrich, R.; Granum, P.E.; Märtlbauer, E. The Bacillus cereus food infection as multifactorial process. Toxins 2020, 12, 701. [Google Scholar] [CrossRef]
- Dashti, Z.; Shariatifar, N.; Mohammadi, N.A. Study on antibacterial and antioxidant activity of Berberis vulgaris aqueous extracts from Iran. Int. J. Pharm. Sci. Res. 2014, 5, 705–708. [Google Scholar]
- Zhang, Y.J.; Gan, R.Y.; Li, S.; Zhou, Y.; Li, A.N.; Xu, D.P.; Li, H.B. Antioxidant phytochemicals for the prevention and treatment of chronic diseases. Molecules 2015, 20, 21138–21156. [Google Scholar] [CrossRef]
- Najafabad, A.M.; Jamei, R. Free radical scavenging capacity and antioxidant activity of methanolic and ethanolic extracts of plum (Prunus domestica L.) in both fresh and dried samples. Avicenna J. Phytomed. 2014, 4, 343–353. [Google Scholar] [PubMed]
- Ghareeb, G.D.; Abdel-Wahab, A.E.; Sarhan, E.M.; Abu-Serie, M.M.; El-Demellawy, M.A. Biological assessment of Berberis vulgaris and its active constituent, Berberine: Antibacterial, antifungal and anti-hepatitis C virus (HCV) effect. J. Med. Plants Res. 2013, 7, 1529–1536. [Google Scholar] [CrossRef]
- Aliakbarlu, J.; Ghiasi, S.; Bazargani-Gilani, B. Effect of extraction conditions on antioxidant activity of Barberry (Berberis vulgaris L.) fruit extracts. Vet. Res. Forum. 2018, 4, 361–365. [Google Scholar] [CrossRef]
- Herrera-Pool, E.; Ramos-Díaz, A.L.; Lizardi-Jiménez, M.A.; Pech-Cohuo, S.; Ayora-Talavera, T.; Cuevas-Bernardino, J.C.; García-Cruz, U.; Pacheco, N. Effect of solvent polarity on the Ultrasound assisted extraction and antioxidant activity of phenolic compounds from habanero pepper leaves (Capsicum chinense) and its identification by UPLC-PDA-ESI-MS/MS. Ultrason. Sonochem. 2021, 76, 105658. [Google Scholar] [CrossRef] [PubMed]
- Eroğlu, R.Y.; Çakır, Ö.; Sağdıç, M.; Dertli, E. Bioactive characteristics of wild Berberis vulgaris and Berberis crataegina Fruits. J. Chem. 2020, 8908301. [Google Scholar] [CrossRef]
- Motalleb, G.; Hanachi, P.S.; Kua, H.; Othman, F.; Asmah, R. Evaluation of phenolic content and total antioxidant activity in Berberis vulgaris fruit extract. J. Biolo. Sci. 2005, 5, 648–653. [Google Scholar] [CrossRef]
- Sharifi-Rad, M.; Fokou, P.; Sharopov, F.; Martorell, M.; Ademiluyi, A.O.; Rajkovic, J.; Salehi, B.; Martins, N.; Iriti, M.; Sharifi-Rad, J. Antiulcer agents: From plant extracts to phytochemicals in healing promotion. Molecules 2018, 23, 1751. [Google Scholar] [CrossRef]
- Abdel-Wahab, A.E.; Ghareeb, D.A.; Sarhan, E.E.; Abu-Serie, M.A.; Demellawy, M.A. In Vitro biological assessment of Berberis vulgaris and its active constituent, berberine: Antioxidants, anti-acetylcholinesterase, anti-diabetic and anti-cancer effects. BMC Comp. Altern. Med. 2013, 13, 218. [Google Scholar] [CrossRef]
- Hashemi, S.H.; Aghajani, H. Chemical composition and antioxidant capacity of extracts from the wood of Berberis vulgaris stem. Lignocellulose 2016, 6, 36–47. [Google Scholar]
- Nickavar, B.; Esbati, N. Evaluation of the antioxidant capacity and phenolic content of three Thymus Species. J. Acup. Merid. Stud. 2012, 5, 119–125. [Google Scholar] [CrossRef]
- Özgen, M.; Saraçoğlu, O.; Geçer, E.N. Antioxidant capacity and chemical properties of selected barberry (Berberis vulgaris L.) fruits. Hortic. Environ. Biotechnol. 2012, 53, 447–451. [Google Scholar] [CrossRef]
- Yang, L.; Zhang, Z.; Hu, X.; You, L.; Khan, R.A.A.; Yu, Y. Phenolic contents, organic acids, and the antioxidant and bio-activity of wild medicinal Berberis plants- as sustainable sources of functional food. Molecules 2022, 27, 2497. [Google Scholar] [CrossRef] [PubMed]
- Abdykerimova, S.; Sakipova, Z.; Nakonieczna, S.; Koch, W.; Biernasiuk, A.; Grabarska, A.; Malm, A.; Kozhanova, K.; Kukula-Koch, W. Superior antioxidant capacity of Berberis iliensis-HPLC-Q-TOF-MS based phytochemical studies and spectrophotometric determinations. Antioxidants 2020, 9, 504. [Google Scholar] [CrossRef] [PubMed]
- Srivastava, S.; Srivastava, M.; Misra, A.; Pandey, G.; Rawat, A.K.S. A review on biological and chemical diversity in Berberis (Berberidaceae). EXCLI J. 2015, 14, 247–267. [Google Scholar] [CrossRef] [PubMed]
- Çakır, Ö.; Karabulut, A. Comparison of two wild-grown Berberis varieties based on biochemical characterization. J. Food Proc. Pres. 2020, 44, 191–199. [Google Scholar] [CrossRef]
- Munteanu, I.; Apetrei, C. Analytical methods used in determining antioxidant activity: A review. Int. J. Mol. Sci. 2021, 22, 3380. [Google Scholar] [CrossRef] [PubMed]
- Gafner, S.; Bergeron, C.; Villinski, J.R.; Godejohann, M.; Kessler, P.; Cardellina, J.H.; Ferreira, D.; Feghali, K.; Grenier, D. Isoflavonoids and coumarins from glycyrrhiza uralensis: Antibacterial activity against oral pathogens and conversion of isoflavans into isoflavan-quinones during purification. J. Nat. Prod. 2011, 74, 2514–2519. [Google Scholar] [CrossRef]
- Abdel-Naime, W.A.; Fahim, J.R.; Fouad, M.A.; Kamel, M.S. Antibacterial, antifungal, and GC–MS studies of Melissa officinalis. S. Afr. J. Bot. 2019, 124, 228–234. [Google Scholar] [CrossRef]
- Belofsky, G.; Aronica, M.; Foss, E.; Diamond, J.; Santana, F.; Darley, J.; Dowd, P.F.; Coleman, C.M.; Ferreira, D. Antimicrobial and antiinsectan phenolic metabolites of Dalea searlsiae. J. Nat. Prod. 2014, 77, 1140–1149. [Google Scholar] [CrossRef]
- Jin, J.L.; Hua, G.Q.; Meng, Z.; Gao, P.J. Antibacterial mechanisms of berberine and reasons for little resistance of bacteria. Chin. Herb. Med. 2010, 3, 27–35. [Google Scholar] [CrossRef]
- Peng, L.; Kang, S.; Yin, Z.; Jia, R.; Song, X.; Li, L.; Li, Z.; Zou, Y.; Liang, X.; Li, L.; et al. Antibacterial activity and mechanism of berberine against Streptococcus agalactiae. Int. J. Clin. Exp. Pathol. 2015, 8, 5217–5223. [Google Scholar]
- Rehman, T.U.; Kanwal, Z.; Zeb, M.A.; Liaqat, W.; Khan, S.; Xiao, W.L. Phytochemical analysis, antibacterial, antifungal and insecticidal activity of Berberis royleana roots. Pharm. Bioprocess 2018, 6, 132–137. [Google Scholar]
- Sood, H.; Kumar, Y.; Gupta, V.K.; Arora, D.S. Scientific validation of the antimicrobial and anti-proliferative potential of Berberis aristata DC root bark, its phytoconstituents and their biosafety. AMB Expr. 2019, 9, 143–158. [Google Scholar] [CrossRef] [PubMed]
- Lammari, N.; Demautis, T.; Louaer, O.; Meniai, A.H.; Casabianca, H.; Bensouici, C.; Devouassoux, G.; Hatem Fessi, H.; Bentaher, A.; ElaissariI, A. Nano-capsules containing Saussurea lappa essential oil: Formulation, characterization, antidiabetic, anticholinesterase and anti-inflammatory potentials. Int. J. Pharm. 2021, 593, 120138. [Google Scholar] [CrossRef] [PubMed]
- Tabeshpour, J.; Imenshahidi, M.; Hosseinzadeh, H. A review of the effects of Berberis vulgaris and its major component, berberine, in metabolic syndrome. Iran J. Basic Med. Sci. 2017, 20, 557–568. [Google Scholar] [CrossRef] [PubMed]
- Freile, M.L.; Giannini, F.; Pucci, G.; Sturniolo, A.; Rodero, L.; Pucci, O.; Balzareti, V.; Enriz, R.D. Antimicrobial activity of aqueous extracts and of berberine isolated from Berberis heterophylla. Fitoterapia 2003, 7, 702–705. [Google Scholar] [CrossRef]
- da Silva, A.R.; de Andrade-Neto, J.B.; da Silva, C.R.; Campos-Rde, S.; Costa-Silva, R.A.; Freitas, D.D.; do Nascimento, F.B.; de Andrade, L.N.; Sampaio, L.S.; Grangeiro, T.B.; et al. Berberine antifungal activity in fluconazole-resistant pathogenic yeasts: Action mechanism evaluated by flow cytometry and biofilm growth inhibition in candida spp. Antimicrob. Agents Chemother. 2016, 60, 3551–3557. [Google Scholar] [CrossRef]
- Mahmoudvand, H.; Mousavi, S.A.A.; Sepahvand, A.; Sharififar, F.; Ezatpour, B.; Gorohi, F.; Dezaki, E.S.; Jahanbakhsh, S. Antifungal, antileishmanial, and cytotoxicity activities of various extracts of Berberis vulgaris (Berberidaceae) and its active principle berberine. Int. Schol. Res. Not. 2014, 602436. [Google Scholar] [CrossRef]
- Palai, S. Nutraceuticals and Health Care; Kour, J., Nayik, G.A., Eds.; Academic Press: San Diego, CA, USA, 2022; Chapter 21—Berberine; pp. 359–368. [Google Scholar] [CrossRef]
- Abate, G.; Zhang, L.; Pucci, M.; Morbini, G.; Mac Sweeney, E.; Maccarinelli, G.; Ribaudo, G.; Gianoncelli, A.; Uberti, D.; Memo, M.; et al. Phytochemical Analysis and Anti-Inflammatory Activity of Different Ethanolic Phyto-Extracts of Artemisia annua L. Biomolecules 2021, 11, 975. [Google Scholar] [CrossRef]
- Iqbal, J.; Abbasi, B.A.; Ahmad, R.; Mahmoodi, M.; Munir, A.; Zahra, S.A.; Shahbaz, A.; Shaukat, M.; Kanwal, S.; Uddin, S.; et al. Phytogenic synthesis of nickel oxide nanoparticles (NiO) using fresh leaves extract of Rhamnus triquetra (wall.) and investigation of its multiple in vitro biological potentials. Biomedicines 2020, 8, 117. [Google Scholar] [CrossRef]
- Favaretto, A.; Tonial, F.; Bertol, C.D.; Scheffer-Basso, S.M. Antimicrobial activity of leaf and root extracts of tough lovegrass. Comun. Sci. 2016, 7, 420–427. [Google Scholar] [CrossRef][Green Version]
- Škerget, M.; Kotnik, P.; Hadolin, M.; Rižner-Hraš, A.; Simonič, M.; Knez, Ž. Phenols, proanthocyanidins, flavones and flavonols in some plant materials and their antioxidant activities. Food Chem. 2005, 89, 191–198. [Google Scholar] [CrossRef]
- Seifu, T.; Mehari, B.; Atlabachew, M.; Chandravanshi, B. Polyphenolic content and antioxidant activity of leaves of urtica simensis grown in Ethiopia. Lat. Am. Appl. Res. 2017, 40, 35–40. [Google Scholar] [CrossRef]
- Sánchez-Gutiérrez, J.A.; Vázquez-Sánchez, M.; Álvarez-Bernal, D.; Mares-Quiñones, M.D.; Valiente-Banuet, J.I.; Medina-Medrano, J.R.; Villar-Luna, E. Determination of phenolic compounds and the antioxidant capacity of Ximenia parviflora Benth. var. parviflora (Olacaceae) fruit by High-performance liquid chromatography with diode array detection. Analytic. Lett. 2018, 51, 1986–1998. [Google Scholar] [CrossRef]
- Esmaeili, A.K.; Taha, R.M.; Mohajer, S.; Banisalam, B. Antioxidant activity and total phenolic and flavonoid content of various solvent extracts from in vivo and in vitro grown Trifolium pratense L. (Red Clover). BioMed. Res. Int 2015, 643285. [Google Scholar] [CrossRef]
- Shah, P.; Modi, H.A. Comparative Study of DPPH•, ABTS and FRAP Assays for Determination of Antioxidant Activity. Int. J. Res. Appl. Sci. Eng.Technol. 2015, 3, 636–641. [Google Scholar]
- Dawidowicz, A.L.; Olszowy, M. Influence of some experimental variables and matrix components in the determination of antioxidant properties by β-carotene bleaching assay: Experiments with BHT used as standard antioxidant. Eur. Food Res. Technol. 2010, 231, 835–840. [Google Scholar] [CrossRef]
- Mostafa, A.A.; Al-Askar, A.A.; Almaary, K.S.; Dawouda, T.M.; Sholkamya, A.N.; Marwah, M.; Bakric, M.M. Antimicrobial activity of some plant extracts against bacterial strains causing food poisoning diseases. Saudi J. Biol. Sci. 2018, 25, 361–366. [Google Scholar] [CrossRef]
- Akbar, A.; Ali, I.; Samiullah, N.U.; Khan, S.A.; Rehman, Z.; Rehman, S.U. Functional, antioxidant, antimicrobial potential and food safety applications of Curcuma longa and Cuminum cyminum. Pak. J. Bot. 2019, 51, 1129–1135. [Google Scholar] [CrossRef]






| Phenolic and Flavonoid Compounds | Berberis vulgaris Ethanol Extract | |
|---|---|---|
| Leaf | Roots | |
| Total phenolic compounds (mg GAE/g−1 extract) | 120.7 ± 1.2 | 147.2 ± 1.4 |
| Total flavonoids (mg QE/g−1 extract) | 59.58 ± 1.3 | 24.15 ± 0.8 |
| Yield g/100 g DW | 14.7 ± 1.5 | 18.68 ± 1.5 |
| DPPH• | 21.4 ± 0.2 | 44.3 ± 1.1 |
| ABTS•+ | 76.5 ± 0.8 | 86.5 ± 0.8 |
| β-carotene | 79.50 ± 0.7 | 90.2 ± 0.9 |
| Polyphenolic Compound | Roots Extract | Leaf Extract |
|---|---|---|
| Resorcinol | 3.96 ± 0.01 | 2.34 ± 0.01 |
| Gallic acid | 18.2 ± 0.15 | 10.2 ± 0.07 |
| Catechin | 40.2 ± 0.16 | 21.8 ± 0.17 |
| Chlorogenic acid | 75.2 ± 0.47 | 34.1 ± 0.22 |
| Berberine | 45.5 ± 0. 7 | 18.8 ± 0.2 |
| Rosmarinic acid | 20.2 ± 0.3 | 5.3 ± 0.17 |
| Syringic acid | 3.9 ± 0.001 | 3.2 ± 0.02 |
| P-coumaric | 2.14 ± 0.01 | 1.4 ± 0.01 |
| Ferulic acid | 2.9 ± 0.01 | 2.0 ± 0.01 |
| O-coumaric | 4.9 ± 0.03 | 4.2 ± 0.03 |
| Prothocatechuic | 2.9 ± 0.015 | 2.3 ± 0.01 |
| Caffeic acid | 33.5 ± 0.17 | 9.5 ± 0.06 |
| Apigenin | 8.06 ± 0.05 | 6.56 ± 0.03 |
| Luteolin | 19.68 ± 0.1 | 14.98 ± 0.06 |
| Kaempferol | 23.14 ± 0.1 | 20.44 ± 0.08 |
| Rutin | 8.1 ± 0.03 | 6.21 ± 0.02 |
| Myricetin | 12.4 ± 0.27 | 4.6 ± 0.11 |
| Quercetin | 1.1 ± 0.01 | 0.92 ± 0.006 |
| Vanillic | 2.2 ± 0.01 | 1.66 ± 0.01 |
Publisher’s Note: MDPI stays neutral with regard to jurisdictional claims in published maps and institutional affiliations. |
© 2022 by the authors. Licensee MDPI, Basel, Switzerland. This article is an open access article distributed under the terms and conditions of the Creative Commons Attribution (CC BY) license (https://creativecommons.org/licenses/by/4.0/).
Share and Cite
El-Zahar, K.M.; Al-Jamaan, M.E.; Al-Mutairi, F.R.; Al-Hudiab, A.M.; Al-Einzi, M.S.; Mohamed, A.A.-Z. Antioxidant, Antibacterial, and Antifungal Activities of the Ethanolic Extract Obtained from Berberis vulgaris Roots and Leaves. Molecules 2022, 27, 6114. https://doi.org/10.3390/molecules27186114
El-Zahar KM, Al-Jamaan ME, Al-Mutairi FR, Al-Hudiab AM, Al-Einzi MS, Mohamed AA-Z. Antioxidant, Antibacterial, and Antifungal Activities of the Ethanolic Extract Obtained from Berberis vulgaris Roots and Leaves. Molecules. 2022; 27(18):6114. https://doi.org/10.3390/molecules27186114
Chicago/Turabian StyleEl-Zahar, Khaled Meghawry, Mubarak Eid Al-Jamaan, Faisal Rasmi Al-Mutairi, Abdallah Mohamed Al-Hudiab, Mohamed Saleh Al-Einzi, and Ahmed Abdel-Zaher Mohamed. 2022. "Antioxidant, Antibacterial, and Antifungal Activities of the Ethanolic Extract Obtained from Berberis vulgaris Roots and Leaves" Molecules 27, no. 18: 6114. https://doi.org/10.3390/molecules27186114
APA StyleEl-Zahar, K. M., Al-Jamaan, M. E., Al-Mutairi, F. R., Al-Hudiab, A. M., Al-Einzi, M. S., & Mohamed, A. A.-Z. (2022). Antioxidant, Antibacterial, and Antifungal Activities of the Ethanolic Extract Obtained from Berberis vulgaris Roots and Leaves. Molecules, 27(18), 6114. https://doi.org/10.3390/molecules27186114

