Next Article in Journal
Bioactive Natural Products for Chemical Control of Microorganisms: Scientific Prospecting (2001–2021) and Systematic Review
Previous Article in Journal
Characterization of Volatile Organic Compounds in Kiwiberries (Actinidia arguta) Exposed to High Hydrostatic Pressure Processing by HS-SPME/GC-MS
 
 
Font Type:
Arial Georgia Verdana
Font Size:
Aa Aa Aa
Line Spacing:
Column Width:
Background:
Article

Sesquiterpenoids from the Inflorescence of Ambrosia artemisiifolia

1
College of Plant Protection, Hunan Agricultural University, Changsha 410128, China
2
Institute of Plant Protection, Hunan Province, Changsha 410125, China
3
Hunan Provincial Engineering & Technology Research Center for Biopesticide and Formulation Processing, Changsha 410128, China
*
Author to whom correspondence should be addressed.
These authors contributed equally to this work.
Molecules 2022, 27(18), 5915; https://doi.org/10.3390/molecules27185915
Submission received: 8 August 2022 / Revised: 8 September 2022 / Accepted: 9 September 2022 / Published: 12 September 2022
(This article belongs to the Section Natural Products Chemistry)

Abstract

The successful invasion of Ambrosia artemisiifolia is largely due to allelopathy. As an invasive alien plant, A. artemisiifolia has spread rapidly in Asia and Europe. Studies have shown that sesquiterpenoids play an important role in plant allelopathy. However, it is unclear whether the inflorescence of A. artemisiifolia also contains allelopathic components. In this paper, our phytochemical research focuses on the inflorescence of A. artemisiifolia. Twenty sesquiterpenoids, including four new ones (14) were isolated through successive chromatographic columns and identified by spectroscopic methods. At a concentration of 200 μg/mL, all the compounds tested were evaluated for their allelopathic activities on seedling growth of wheat. Our results indicate that nine compounds inhibited both the root and shoot growth of seedlings. Compounds 14, 15, 17, and 20 significantly inhibited root length, which was more than 50% shorter than the control. This study identified the chemical profile of the sesquiterpenoids occurring in the inflorescence of A. artemisiifolia. The bioactivity screening results provide further understanding of the chemical basis of allelopathy in A. artemisiifolia.

1. Introduction

Ambrosia artemisiifolia L. (Asteraceae), which is native to North America, is an invasive weed widely distributed throughout temperate regions of the world [1]. This invasive plant has the potential to destroy native ecosystems and reduce agricultural yields [2]. Allelopathy describes the chemicals exuded from roots, rhizomes, leaves, stems, and/or litter of an individual and the resultant beneficial or deleterious effects on other organisms and is an important factor in the successful invasion of alien plants [3]. Meanwhile, because allelopathic components generally have strong phytotoxic activities against many weeds, the allelochemicals have the potential to develop new herbicides, which have the advantages of safety, easy degradation, and no resistance in weed control [4]. Previous studies reported that different solvent extracts of A. artemisiifolia had significant inhibitory effects on crop growth and seed germination, weeds, and other plants [5,6]. Studies have shown that sesquiterpenoids are the main chemical components of Ambrosia and play an important role in plant allelopathy [7,8,9,10]. Every year between July and August, clusters of columnar inflorescence from A. artemisiifolia produce large amounts of pollen causing a series of allergic reactions and affecting human health [11]. However, it is unclear whether the inflorescence of A. artemisiifolia also contains allelopathic components. Therefore, our phytochemical research focuses primarily on the inflorescence of A. artemisiifolia, from which we obtained twenty sesquiterpenoids, including four new ones (14). Moreover, all the compounds were evaluated for their allelopathic activities on the seedling growth of wheat.

2. Results and Discussions

Air-dried and powdered inflorescence of A. artemisiifolia was extracted with petroleum ether and then further extracted with ethanol. A total of 20 sesquiterpenoids (Figure 1), including four new ones (14), were isolated from the petroleum ether extract and ethanol extracts using chromatographic methods.

2.1. Chemical Characterization of the Compounds

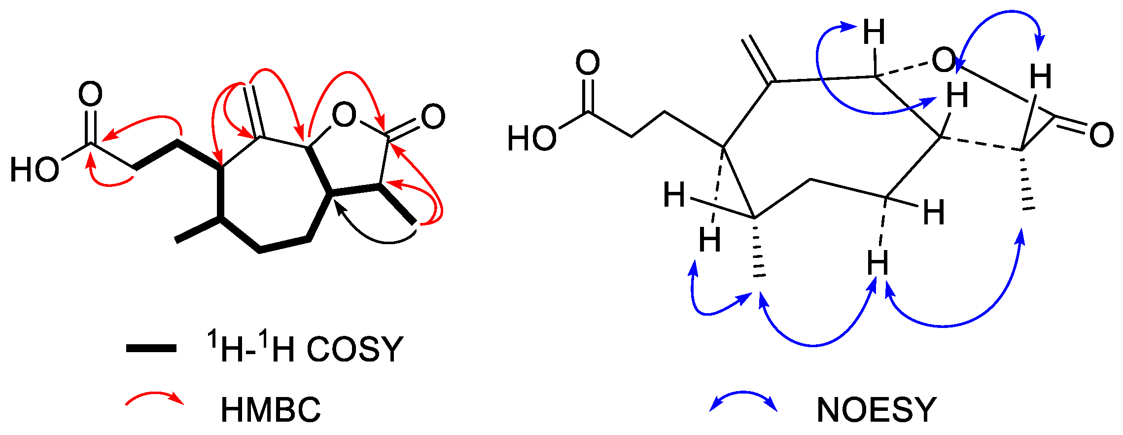
Compound 1 was obtained as a yellowish syrup. The molecular formula was C15H24O4 as determined by the HRESIMS peak at m/z 267.1598 ([M − H], calcd. for 267.1596), with four degrees of unsaturation. The 1H NMR data of 1 (Table 1) show two singlet methyls at δH 1.50 (H3-14) and 1.44 (H3-15) and a terminal alkyne at δH 6.48 and 5.68 (H2-13). The 13C NMR (Table 2) indicated 15 resonances ascribed to two methyls, a terminal alkyne, five methylene, three methines, two oxygenated tertiary carbons, and one α,β-unsaturated carboxylic carbon. The 1H-1H COSY correlations enabled the establishment of a long coupling carbon chain from C-3 to C-1 that extended via C-5 sequentially to C-9 as shown in bold bonds (Figure 2). The HMBC correlations from H3-15 (δH 1.44) to C-3 (δC 40.8), C-4 (80.8), and C-5 (53.8) and from H3-14 (δH 1.50) to C-1 (δC 53.1), C-9 (41.7), and C-10 (73.9) established 1 as a 4,10-dihydroxylguaiane-type sesquiterpene (Figure 2). While HMBC correlations from H2-13 (δH 6.48 and 5.68) to C-11 (δC 150.3), C-12 (170.1), and C-7 (41.6) indicated that a conjugated acrylic acid moiety was attached at C-7. Accordingly, the planar structure of compound 1 was established as 4,10-dihydroxyguaia-11(13)-en-12-acid. The strong NOESY correlation between H-1 and H-5 indicated cis-fused framework between the five-carbon ring and the seven-carbon ring. NOEs, H-5 with H-7 show that all of those protons (H-1, H-5, and H-7) were cofacial and were assigned to be α-oriented [12]. In addition, NOEs, H3-14 with H3-15 and H3-15 with Hβ-6 were observed in the cis-fused framework suggesting CH3-14 and CH3-15 were β-oriented (Figure 2). Thus compound 1 was determined to be 4β,10β-dihydroxy-1α,5α,7αH-guaia-11(13)-en-12-acid.
Compound 2 was obtained as a colorless syrup. The molecular formula of 2 was C17H28O4 as determined by the HRESIMS peak at m/z 615.3872 ([2M +Na]+, calcd. for 615.3873) with four degrees of unsaturation. The 1H NMR data (Table 1) show signals of four tertiary methyls at δH 1.22 (d, H3-13), 1.15 (s, H3-14), 1.33 (s, H3-15), and 1.11 (t, H3-2’) and an oxygenated methine at δH 4.23 (H-6) and an oxygenated methylene at 3.37 (H2-1’). The 13C NMR data of 2 (Table 2) identify 17 resonances ascribed to four methyls, five methylenes (one oxygenated), five methines (one oxygenated), two oxygenated tertiary carbons, and one ester carbonyl carbon. The 1H and 13C NMR data of 2 (Table 1 and Table 2) display characteristic signals of a guaiane-type sesquiterpenoid, which quite resembled that of α-Hydroxy-10α-methoxyguaian-12,6-olide [13]. A careful comparison of 1H and 13C NMR data and molecular formula showed that ethoxyl, rather than methoxyl, existed at C-10 in 2. The relative configuration of 2 was deduced from the NOE correlations (Figure 3). The cross peaks of H-1/H-5, H-5/H-7, and H-7/H3-13 indicated that these protons were cofacial and α-oriented. The cross peaks of H-6/H3-16, H-6/H3-14, and H-6/H-11 proved that they were on the opposite face and were assigned to be β-oriented. Accordingly, compound 2 was determined structurally as 4α-Hydroxy-10α-ethoxyguaian-12,6-olide.
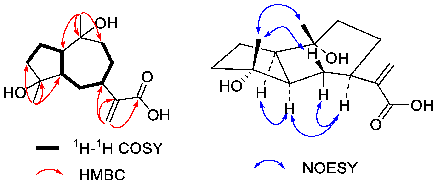
Compound 3 was obtained as a colorless crystal plate The molecular formula of 3 was C15H26O3 as determined by the HRESIMS peak at m/z 253.1803 ([M − H], calcd. for 253.1804). The 1H NMR data (Table 1) show signals of three tertiary methyls at δH 1.42 (H3-13), 1.43 (H3-14), and 1.73 (H3-15). The 13C NMR data of 3 (Table 2) identify 15 resonances ascribed to three terminal methyls, five methylenes (one oxygenated), four methines, and three tertiary carbon (two oxygenated). Taking into account the molecular formula, a tricyclic skeleton was indicated. The presence of one characteristic quaternary carbon at high field (C-11, δC 24.9) displayed it is an aromadendrane-type sesquiterpene [14,15]. The HMBC correlations from H2-12 (δH 4.06 and 4.15) to C-11, C-13, C-6, and C-7 and from H3-13 (δH 1.42) to C-11, C-12, C-6, and C-7 verified the existence of a cyclopropyl unit at C-6 and C-7. Moreover, The HMBC correlations from H3-14 (δH 1.43) to C-1, C-9, and C-10 and from H3-15 (δH 1.73) to C-3, C-4, and C-5 established the planar structure of compound 165 as aromadendrane-4,10,12-triol. The relative configurations of the six chiral centers at C-1, C-4, C-5, C-6, C-7, and C-9 in 3 were similar to those in (−)-alloaromadendrane-4β,10β-diol [16], which was confirmed by the ROESY correlations of H-1with H-5 and H2-12; H-6 with H3-11; and H-7 with H-8 in its ROESY spectrum (Figure 4). Therefore, compound 3 was characterized as (−)-alloaromadendrane-4β,10β,12-triol.
Compound 4 was obtained as a colorless viscous oil. The molecular formula of 4 was C15H22O4 as determined by the HRESIMS peak at m/z 265.1441 ([M − H]+, calcd. for 265.1440). In 1H NMR, it can be recognized that there are two methyl groups at δH 1.11 and 0.75 (each d, 3H) and an exocyclic methylene at δH 5.64 and 4.93. The 13C NMR spectrum indicated 15 carbon resonances (Table 2), which contained two carbonyl carbons, two downfield alkene carbons, an oxygenated carbon, two methyls, two methylenes, and five methines. A long coupling carbon chain from C-3 to C-9 that extended from C-8 to C-13 was deduced by the 1H–1H COSY correlations (Figure 5). The HMBC correlations from H3-13 to C-8, C-11, and C-12 and from H-9 to C-12, as well as from H3-14 to C-1, C-9, and C-10, established a preguaiane-type sesquiterpene containing α-methyl-γ-lactone. The relative configuration of 4 was concluded from the NOESY experiment (Figure 5). The cross peaks of H-1/H3-15, H-7α/ H3-15, and H-7α/ H3-13 indicated that they were cofacial and α-oriented. The cross peaks of H-8/H-9 and H-8/H-11 sustained that these protons were on the other face and assigned to be β-oriented. Therefore, compound 4 was characterized as depicted and named preambrosia A.
Known compounds were identified by comparison with the experimental and reported spectroscopic data as follows: (-)-compressanolide (5) [17], magnograndiolide (6) [18], 1β,7β,9β,10β,13αH-guaia-4(5)-en-12,6β-olide-9-O-β-d-glucoside (7) [19], tetrahydrocoropilin (8) [8], psilostachyin C (9) [20], psilostachyin B (10) [21], 11α,13-dihydroperuvin (11) [22], 3α,4β-dihydrocumanin (12) [23], dihydrocumanin diacetate (13) [23], dihydrocumanin acetonide (14) [23], damsinic acid (15) [24], ambrosic acid (16) [25], 11,13-dihydroparthenolide (17) [26], 11β,13-dihydro-14-hydroxyparthenolide (18) [26], (-)-9α-hydroxydihydroparthenolid (19) [26], and (+)-alloaromadendrane-4β,10α-diol (20) [27]. The stucture of these isolated sesquiterpeniods can be divided into guaiane-, pseudoguaiane-, secopseudoguaiane-, germacrene-, and aromadendrane-type carbon skeletons. Among them, guaiane- and pseudoguaiane-type sesquiterpeniods are the most characteristic and diverse subclass in the inflorescence of A. artemisiifolia. Aromadendrane-type sesquiterpenes are rare in the genus Ambrosia [28]; however, aromadendraniols 3 and 20 were isolated from the inflorescence of A. artemisiifolia.

2.2. Allelopathy Activity

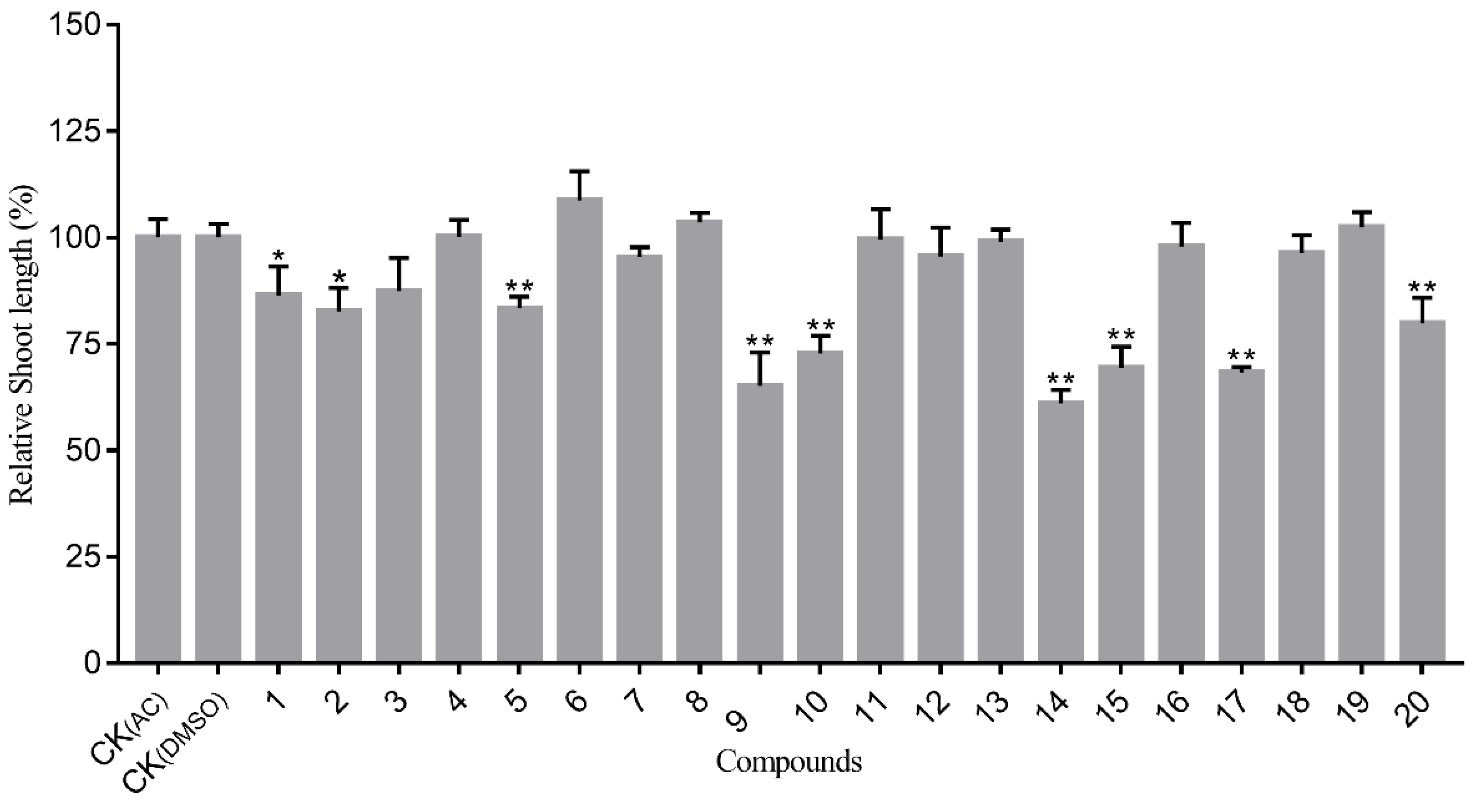
Compounds 120 were evaluated for their allelopathic activities on the seedling growth of wheat (T. Aestivum) at a concentration of 200 μg/mL. Our results show that fourteen compounds (14, 5, 912, 1415, 17, and 1920) inhibited the root growth of the tested seedlings to varying degrees. Compounds 14, 15, 17, and 20 significantly inhibited root length, which was more than 50% shorter than that of the control (Figure 6). In contrast, the inhibitory effect of these active compounds on shoot growth was reasonably weak, with relative shoot length being no less than 60% of the control (Figure 7). It is notable that compound 14, a pseudoguaiane-type sesquiterpene, showed the most potent allelopathic activity both on root and shoot length. Comparing the structure–activity relationships of compounds 1114 showed that 14 had an acetonide group on the adjacent hydroxyl of C-3/C-4, which may be related to a high allelopathic effect. Previous research has demonstrated that parthenolides, germacrene-type sesquiterpenes, have strong allelopathic inhibitory activity [29]. The structural analogue of 17 also showed good inhibitory activity, but compounds 18 and 19 with an additional hydroxyl at C-14 and C-9, respectively, exhibited very weak allelopathic activities.
Sesquiterpenoids, which play an important role in plant allelopathy, are abundant in many invasive plants and can significantly inhibit the growth of neighboring plants [9,10]. On the other hand, allelopathic components generally have strong phytotoxic activities against many weeds [30,31]. Our findings reveal the chemical profile of the sesquiterpenoids occurring in the inflorescence of A. artemisiifolia, and our bioassay results are useful in understanding the chemical basis of allelopathy in A. artemisiifolia.

3. Materials and Methods

3.1. General

Melting points were obtained on a SGW X-4 micromelting point apparatus (INESA Co., Shanghai, China). Optical rotations were measured on SGW-533 automatic polarimeter (INESA Co., Shanghai, China). HRESIMS spectra were taken on an API QSTAR mass spectrometer (Applied Biosystem/MSD Sciex, Concord, ON, Canada). The 1D- and 2D-NMR spectra were recorded on a Bruker Avance III 600MHz NMR spectrometer using TMS as an internal standard. Column chromatography was performed on silica gel (100–200 mesh, Qingdao Marine Chemical Ltd., Qingdao, China). Preparative TLC plates (HSGF254, Jiangyou silicone Development Co., Ltd., Yantai, China), Sephadex LH-20 (GE Healthcare, Uppsala, Sweden), and Develosil ODS (50 μm, Nomura Chemical Co. Ltd., Osaka, Japan) were used for the isolation experiments. Preparative HPLC was performed on a Waters 1525 Binary HPLC pump and a Waters 2414 refractive index detector (Waters Corp, Milford, MA, USA) using a YMC-Pack ODS-A column (250 mm ×10 mm I.D.; S-5 μm, 12 nm).

3.2. Plant Material

The inflorescence of A. artemisiifolia was collected from Cangwu County, Guangxi province, China, in August 2019, which was identified by Prof. Dai-gui Zhang (Key laboratory of Plant Resources Conservation and Utilization, Jishou University). A voucher specimen (zdg20190801) was deposited in Hunan Agricultural University. Seeds of Triticum aestivum L. were purchased from a seed company (Jiangsu Dingsheng Seed Co., Jiangsu, China).

3.3. Extraction and Isolation

The air-dried and powdered inflorescence of A. artemisiifolia (9.0 kg) was extracted with petroleum ether (10 L × 4) and then extracted with ethanol (95%, 10 L × 4)). The ethanol extract was suspended in water and partitioned with EtOAc and n-butanol successively, as described in our previous research [32].
The petroleum ether extract (254.9 g) was subjected to silica gel column chromatography (CC, 100–200 mesh, 2000 g) eluted successively with gradient petroleum ether–acetone mixtures of increasing polarity (100:0 → 60:40, v/v) to separate fifteen fractions (PE.A1–PE.A15). A large number of crystals precipitated in PE.A8, and compound 17 (1100.4 mg) was obtained by recrystallization.
The EtOAc extract (370.0 g) was separated into twelve fractions (ET.A1–ET.A12) by a silica gel column (100–200 mesh, 1000 g) eluted with an increasing gradient of CHCl3–MeOH mixtures.
Fraction ET.A2 (165.7 g) was decolorized on an MCI gel column to obtain a yellowish syrup subfraction A2B (133.0 g) from the 90% MeOH eluent. A2B was then subjected to silica gel CC (200–300 mesh, 1000 g) eluted carefully with a gradient of petroleum ether–acetone mixtures, yielding nine fractions Fr. B1–B9. These fractions (B1–B9) were first chromatographed on an ODS-C18 column eluting with MeOH-H2O (30:70→90:10, v/v) to produce seven subfractions. Each of the subfractions was further purified by a sephadex LH-20 column eluting with MeOH to collect the points with color features of terpenoids on TLC. Finally, three major points were obtained from subfraction B2 (10.3 g), of which compound 15 (157.4 mg) was directly crystallized after sephadex LH-20 CC, and compounds 5 (15.3 mg, Rt = 17 min) and 3 (103.2 mg, Rt = 28 min) were yielded by semipreparative HPLC (55% MeOH /H2O, 3 mL/min). Two major points were obtained from subfraction B3 (12.8 g), yielding compounds 13 (73.1 mg, Rf = 0.3) and 2 (12.6 mg, Rf = 0.5) by TLC preparation with CHCl3-MeOH (90:10) as the developing solvent. Four major points were obtained from subfraction B4 (20.4 g), and compounds 16 (571.8 mg) and 9 (43.6 mg) were crystallized after sephadex LH-20 CC; compounds 8 (22.5 mg, Rf = 0.4) and 11 (10.2 mg, Rf = 0.6) were yielded by TLC preparation using CHCl3-MeOH (95:5) as the developing solvent. Two major points were obtained from subfraction B5 (12.8 g), which obtained compounds 4 (24.8 mg, Rf = 0.2) and 20 (12.2 mg, Rf = 0.5) by TLC preparation with petroleum ether–acetone (90:10) as the developing solvent. Three major points were obtained from subfraction B6 (11.8 g), and compound 12 (238 mg) was crystallized after sephadex LH-20 CC; compounds 1 (15.8 mg, Rt = 36 min) and 14 (20.0 mg, Rt = 45 min) were yielded by semipreparative HPLC (45% MeOH /H2O, 3 mL/min). Three major points were obtained from subfraction B7 (10.5 g), and compounds 6 (13.0 mg, Rt = 18 min), 18 (15.1 mg, Rt = 22 min), and 19 (28.2 mg, Rt = 30 min) were yielded by semipreparative HPLC (30% MeOH/H2O, 3 mL/min).
Similarly, fractions ET.A9 (6.3 g) and ET.A10 (6.8 g) were chromatographed on ODS-C18 followed by Sephadex LH-20 (MeOH) to collect clear spots using TLC detection. Compound 10 (5.8 mg) was obtained from ET.A9 by TLC preparation with ether–acetone (90:15) as the developing solvent, while compound 7 (15.3 mg) was obtained from ET.A10 by TLC preparation using ether–acetone (80:20) as the developing solvent.

3.4. Physical and Chemical Data of 14

Compound 1: yellowish syrup, [α] D 25 − 62.0 (c 0.6, MeOH); 1H NMR (600 MHz, C5D5N) and 13C NMR (150 MHz, C5D5N) spectroscopic data, see Table 1 and Table 2; positive ion ESIMS m/z: 291 [M + Na]+; negative ESIMS m/z: 267 [M − H]; HRESIMS m/z: 267.1598 [M − H] (calcd. for C15H23O4, 267.1596). (Data from Figures S1–S7).
Compound 2: colorless syrup, [α] D 25 − 43.0 (c 0.8, MeOH); 1H NMR (600 MHz, CDCl3) and 13C NMR (150 MHz, CDCl3) spectroscopic data, see Table 1 and Table 2; positive ion ESIMS m/z: 319 [M + Na]+, 615 [2M + Na]+; HRESIMS m/z: 615.3872 [2M + Na]+ (calcd. for C34H56O8Na, 615.3873). (Data from Figures S8–S14).
Compound 3: colorless crystal plate, mp 305–307 °C, [α] D 25 + 14.0 (c 0.1, MeOH); 1H NMR (600 MHz, C5D5N) and 13C NMR (150 MHz, C5D5N) spectroscopic data, see Table 1 and Table 2; negative ESIMS m/z: 253 [M − H], 289 [M + Cl]; HRESIMS m/z: 253.1803 ([M − H] (calcd. for C15H25O3, 253.1804). (Data from Figures S15–S21).
Compound 4: colorless viscous oil, [α] D 25 − 26.0 (c 0.6, MeOH); 1H NMR (600 MHz, C5D5N) and 13C NMR (150 MHz, C5D5N) spectroscopic data, see Table 1 and Table 2; positive ion ESIMS m/z: 267 [M + H]+, 289 [M + Na]+; negative ESIMS m/z: 265 [M − H], 301 [M + Cl]; HRESIMS m/z: 265.1441 ([M − H] (calcd. for C15H21O4, 265.1440). (Data from Figures S22–S28).

3.5. Bioassays

Inhibitory activities on the growth of T. aestivum seedlings were evaluated using the plate culture method [33]. To enhance the germination rate, T. aestivum seeds were submerged in a 0.3% potassium permanganate solution for 15 min before being thoroughly rinsed with distilled water. After skin breaking, T. aestivum seeds were germinated on filter paper in the dark at 25 °C for 24 h. After being dissolved in acetone or DMSO, each compound (120) was prepared as a stock solution of 2 mg/mL. The stock solutions were diluted with distilled water (containing 1% Tween 80) to obtain concentrations of 200 μg/mL. The same volume of acetone or DMSO was added to distilled water (containing 1% Tween 80) as a control. Following germination, uniformly growing seedlings (10 seeds) were transferred to 9 cm diameter Petri dish lined with filter paper. Each dish was treated with 7 mL of the prepared corresponding concentration of test solution (or control solution). Each treatment was replicated 3 times. The seedlings were then incubated in a constant temperature humidity chamber in the dark at 25 °C for 72 h. At the end of the experiment, root and stem lengths were measured.

3.6. Statistical Analysis

All data were subjected to analysis of variance by use of SPSS 18.0. Significant differences in seedling growth between treatment and control were calculated by one-way analysis of variance (ANOVA). Relative length (percent) was determined by the formula [treated length)/control length] × 100.

Supplementary Materials

The following supporting information can be downloaded at: https://www.mdpi.com/article/10.3390/molecules27185915/s1, Figures S1–S7: HR-ESIMS, 1D and 2D-NMR spectra of compound 1; Figures S8–S14: HR-ESIMS, 1D and 2D-NMR spectra of compound 2; Figures S15–S21: HR-ESIMS, 1D and 2D-NMR spectra of compound 3; Figures S22–S28: HR-ESIMS, 1D and 2D-NMR spectra of compound 4.

Author Contributions

Conceptualization, Y.L. and W.D.; methodology, Z.Z.; software, H.H. (Hualiang He); validation, L.Q. and Q.G.; formal analysis, H.H. (Hong Huang); investigation, Z.Z. and H.H. (Hong Huang); resources, H.H. (Hong Huang); data curation, W.D.; writing—original draft preparation, Z.Z.; writing—review and editing, W.D.; visualization, Y.L.; supervision, W.D.; project administration, W.D.; funding acquisition, W.D. and Y.L. All authors have read and agreed to the published version of the manuscript.

Funding

This research was funded by the National Key Research and Development Program of China (Grant No. 2021YFD1401100); the Key Research and Development Program of Hunan Province (China) (Grant No. 2020NK2034); and the Hunan Provincial Natural Science Foundation of China (Grant No. 2021JJ30317).

Institutional Review Board Statement

Not applicable.

Informed Consent Statement

Not applicable.

Data Availability Statement

All data included in this study are available upon request by contact with the corresponding author.

Acknowledgments

We thank Dai-gui Zhang (Key laboratory of Plant Resources Conservation and Utilization, Jishou University, China) for his assistance in the identification of plant materials.

Conflicts of Interest

The authors state no conflict of interest.

Sample Availability

Samples of the compounds are not available from the authors.

References

  1. Montagnani, C.; Gentili, R.; Smith, M.; Guarino, M.F.; Citterio, S. The worldwide spread, success, and impact of ragweed (Ambrosia spp.). Crit. Rev. Plant Sci. 2017, 36, 139–178. [Google Scholar] [CrossRef]
  2. Sun, Y.; Roderick, G.K. Rapid evolution of invasive traits facilitates the invasion of common ragweed, Ambrosia artemisiifolia. J. Ecol. 2019, 107, 2673–2687. [Google Scholar] [CrossRef]
  3. Putnam, A.R.; Tang, C.S. The Science of Allelopathy; Wiley: New York, NY, USA, 1986; pp. 1–9. [Google Scholar]
  4. Macías, F.A.; Mejías, F.J.R.; Molinillo, J.M.G. Recent advances in allelopathy for weed control: From knowledge to applications. Pest Manag. Sci. 2019, 75, 2413–2436. [Google Scholar] [CrossRef] [PubMed]
  5. Bonea, D.; Bonciu, E.; Niculescu, M.; Olaru, A.L. The allelopathic, cytotoxic and genotoxic effect of Ambrosia artemisiifolia on the germination and root meristems of Zea mays. Caryologia 2018, 71, 24–28. [Google Scholar] [CrossRef]
  6. Vidotto, F.; Tesio, F.; Ferrero, A. Allelopathic effects of Ambrosia artemisiifolia L. in the invasive process. Crop Prot. 2013, 54, 161–167. [Google Scholar] [CrossRef]
  7. An, J.P.; Ha, T.K.Q.; Kim, H.W.; Ryu, B.; Kim, J.; Park, J.; Lee, C.H.; Oh, W.K. Eudesmane glycosides from Ambrosia artemisiifolia (common ragweed) as potential neuroprotective agents. J. Nat. Prod. 2019, 82, 1128–1138. [Google Scholar] [CrossRef]
  8. Taglialatela-Scafati, O.; Pollastro, F.; Minassi, A.; Chianese, G.; De Petrocellis, L.; Di Marzo, V.; Appendino, G. Sesquiterpenoids from common ragweed (Ambrosia artemisiifolia L.), an invasive biological polluter. Eur. J. Org. Chem. 2012, 27, 5162–5170. [Google Scholar] [CrossRef]
  9. Bennett, R.N.; Wallsgrove, R.M. Secondary metabolites in plant defence mechanisms. New Phytol. 1994, 127, 617–633. [Google Scholar] [CrossRef]
  10. Chadwick, M.; Trewin, H.; Gawthrop, F.; Wagstaff, C. Sesquiterpenoids lactones: Benefits to plants and people. Int. J. Mol. Sci. 2013, 14, 12780–12805. [Google Scholar] [CrossRef]
  11. Zhao, F.; Durner, J.; Winkler, J.B.; Traidl-Hoffmann, C.; Strom, T.M.; Ernst, D.; Frank, U. Pollen of common ragweed (Ambrosia artemisiifolia L.): Illumina-based de novo sequencing and differential transcript expression upon elevated NO2/O3. Environ. Pollut. 2017, 224, 503–514. [Google Scholar] [CrossRef]
  12. Yu, S.-J.; Yu, J.-H.; Yu, Z.-P.; Yan, X.; Zhang, J.-S.; Sun, J.-Y.; Zhang, H. Bioactive terpenoid constituents from Eclipta prostrata. Phytochemistry 2020, 170, 112192. [Google Scholar] [CrossRef] [PubMed]
  13. Fischer, N.H.; Lu, T.; Cantrell, C.L.; Castañeda-Acosta, J.; Franzblau, S.G. Antimycobacterial evaluation of germacranolides in honour of professor G.H. Neil Towers 75th birthday. Phytochemistry 1998, 49, 559–564. [Google Scholar] [CrossRef]
  14. Cabrera, G.M.; Oberti, J.C.; Gros, E.G.; Seldes, A.M. Aromadendrane sesquiterpene from Mandevilla pentlandiana. Phytochemistry 1993, 34, 1642–1643 [. [Google Scholar] [CrossRef]
  15. Gijsen, H.J.M.; Wijnberg, J.B.P.A.; De Groot, A. Structure, occurrence, biosynthesis, biological activity, Synthesis, and chemistry of aromadendrane sesquiterpenoids. Fortschr. Chem. Org. Naturst. 1995, 64, 149–193. [Google Scholar] [CrossRef]
  16. Sun, Z.-H.; Hu, C.-Q.; Wang, J.-Y. A new sesquiterpene from Caragana intermediia. Chin. Chem. Lett. 2007, 18, 1379–1382. [Google Scholar] [CrossRef]
  17. Bargues, V.; Blay, G.; Cardona, L.; García, B.; Pedro, J.R. Stereoselective synthesis of (+)-11βH,13-dihydroestafiatin, (+)-11βH,13-dihydroludartin, (−)-compressanolide, and (−)-11βH,13-dihydromicheliolide from santonin. J. Nat. Prod. 2002, 65, 1703–1706. [Google Scholar] [CrossRef]
  18. Jacobsson, U.; Kumar, V.; Saminathan, S. Sesquiterpene lactones from Michelia champaca. Phytochemistry 1995, 39, 839–843. [Google Scholar] [CrossRef]
  19. Ding, W.-B.; Huang, R.; Zhou, Z.-S.; Li, Y.-Z. New sesquiterpenoids from Ambrosia artemisiifolia L. Molecules 2015, 20, 4450–4459. [Google Scholar] [CrossRef]
  20. Sülsen, V.P.; Frank, F.M.; Cazorla, S.I.; Barrera, P.; Freixa, B.; Vila, R.; Sosa, M.A.; Malchiodi, E.L.; Muschietti, L.V.; Martino, V.S. Psilostachyin C: A natural compound with trypanocidal activity. Int. J. Antimicrob. Agents 2011, 37, 536–543. [Google Scholar] [CrossRef]
  21. Mabry, T.J.; Kagan, H.B.; Miller, H.E. Psilostachyin B, a new sesquiterpene dilactone from Ambrosia psilostachya DC. Tetrahedron 1996, 22, 1943–1948. [Google Scholar] [CrossRef]
  22. Fischer, N.H.; Weidenhamer, J.D.; Riopel, J.L.; Quijano, L.; Menelaou, M.A. Stimulation of witchweed germination by sesquiterpene lactones: A structure-activity study. Phytochemistry 1990, 29, 2479–2483. [Google Scholar] [CrossRef]
  23. Romo, J.; Joseph-Nathan, P.; Siade, G. The structure of cumanin, a constituent of Ambrosia cumanensis. Tetrahedron 1966, 22, 1499–1506. [Google Scholar] [CrossRef]
  24. Ohmoto, T.; Ikeda, K.; Nomura, S.; Shimizu, M.; Saito, S. Studies on the sesquiterpenes from Ambrosia elatior Linne. Chem. Pharm. Bull. 1987, 35, 2272–2279. [Google Scholar] [CrossRef]
  25. Oberti, J.C.; Silva, G.L.; Sosa, V.E.; Kulanthaivel, P.; Herz, W. Ambrosanolides and secoambrosanolides from Ambrosia tenuifolia. Phytochemistry 1986, 25, 1355–1358. [Google Scholar] [CrossRef]
  26. Galal, A.M.; Ibrahim, A.-R.S.; Mossa, J.S.; El-Feraly, F.S. Microbial transformation of parthenolide. Phytochemistry 1999, 51, 761–765. [Google Scholar] [CrossRef]
  27. Goldsby, G.; Burke, B.A. Sesquiterpene lactones and a sesquiterpene diol from jamaican Ambrosia peruviana. Phytochemistry 1987, 26, 1059–1063. [Google Scholar] [CrossRef]
  28. Kovács, B.; Hohmann, J.; Csupor-Löffler, C.; Kiss, T.; Csupor, D. A comprehensive phytochemical and pharmacological review on sesquiterpenes from the genus Ambrosia. Heliyon 2022, 8, e09884. [Google Scholar] [CrossRef]
  29. Macías, F.A.; Galindo, J.C.G.; Massanet, G.M. Potential allelopathic activity of several sesquiterpene lactone models. Phytochemistry 1992, 31, 1969–1977. [Google Scholar] [CrossRef]
  30. Anese, S.; Jatobá, L.J.; Grisi, P.U.; Gualtieri, S.C.J.; Santos, M.F.C.; Berlinck, R.G.S. Bioherbicidal activity of drimane sesquiterpenes from Drimys brasiliensis Miers roots. Ind. Crops Prod. 2015, 74, 28–35. [Google Scholar] [CrossRef]
  31. Masi, M.; Pannacci, E.; Santoro, E.; Zermane, N.; Superchi, S.; Evidente, A. Stoechanones A and B, phytotoxic copaane sesquiterpenoids isolated from Lavandula stoechas with potential herbicidal activity against Amaranthus retroflexus. J. Nat. Prod. 2020, 83, 1658–1665. [Google Scholar] [CrossRef]
  32. Zeng, Z.; Cheng, D.; Lai, M.M.; He, H.L.; Qiu, L.; Xue, J.; Li, Y.Z.; Ding, W.B. A new lignan and C (6)-oxygenated flavonoids from the inflorescence of Ambrosia artemisiifoli. Chem. Biodiversity 2022, 19, e202100897. [Google Scholar] [CrossRef] [PubMed]
  33. Guo, K.; He, X.-F.; Yan, Z.-Q.; Li, X.-Z.; Ren, X.; Pan, L.; Qin, B. Allelochemicals from the rhizosphere soil of cultivated Astragalus hoantchy. J. Agric. Food Chem. 2016, 64, 3345–3352. [Google Scholar] [CrossRef] [PubMed]
Figure 1. Structures of compounds 120 isolated from A. artemisiifolia.
Figure 1. Structures of compounds 120 isolated from A. artemisiifolia.
Molecules 27 05915 g001
Figure 2. Key 1H-1H COSY, HMBC, and NOESY correlations of 1.
Figure 2. Key 1H-1H COSY, HMBC, and NOESY correlations of 1.
Molecules 27 05915 g002
Figure 3. Key 1H-1H COSY, HMBC, and NOESY correlations of 2.
Figure 3. Key 1H-1H COSY, HMBC, and NOESY correlations of 2.
Molecules 27 05915 g003
Figure 4. Key 1H-1H COSY, HMBC, and NOESY correlations of 3.
Figure 4. Key 1H-1H COSY, HMBC, and NOESY correlations of 3.
Molecules 27 05915 g004
Figure 5. Key 1H-1H COSY, HMBC, and NOESY correlations of 4.
Figure 5. Key 1H-1H COSY, HMBC, and NOESY correlations of 4.
Molecules 27 05915 g005
Figure 6. Allelopathic activity of sesquiterpenoids (120) on root length of wheat. Note: CK (AC) = acetone solvent control and CK (DMSO) = DMSO solvent control; the compounds were solubilized with acetone, except 1, 7, and 9 were solubilized with DMSO. Each compound’s result was compared with the solvent control via independent sample t-test; * indicates significant difference (P < 0.05); ** indicates extremely significant difference (P < 0.01).
Figure 6. Allelopathic activity of sesquiterpenoids (120) on root length of wheat. Note: CK (AC) = acetone solvent control and CK (DMSO) = DMSO solvent control; the compounds were solubilized with acetone, except 1, 7, and 9 were solubilized with DMSO. Each compound’s result was compared with the solvent control via independent sample t-test; * indicates significant difference (P < 0.05); ** indicates extremely significant difference (P < 0.01).
Molecules 27 05915 g006
Figure 7. Allelopathic activity of sesquiterpenoids (120) on shoot length of wheat. Note: CK (AC) = acetone solvent control and CK (DMSO) = DMSO solvent control; the compounds were solubilized with acetone, except 1, 7, and 9 were solubilized with DMSO. Each compound’s result was compared with the solvent control via independent sample t-test; * indicates significant difference (P < 0.05); ** indicates extremely significant difference (P < 0.01).
Figure 7. Allelopathic activity of sesquiterpenoids (120) on shoot length of wheat. Note: CK (AC) = acetone solvent control and CK (DMSO) = DMSO solvent control; the compounds were solubilized with acetone, except 1, 7, and 9 were solubilized with DMSO. Each compound’s result was compared with the solvent control via independent sample t-test; * indicates significant difference (P < 0.05); ** indicates extremely significant difference (P < 0.01).
Molecules 27 05915 g007
Table 1. 1H NMR spectrum (600 MHz) data of compounds 14.
Table 1. 1H NMR spectrum (600 MHz) data of compounds 14.
NO.1234
δH, mult (J in Hz)δH, mult (J in Hz)δH, mult (J in Hz)δH, mult (J in Hz)
13.14, td (10.3, 8.6)2.79, ddd (12.1, 10.7, 8.1)1.90, m2.21, m
1.79, m/
22.16, m1.84, m2.05, m2.12, dddd (14.0, 10.1, 8.6, 5.5)
1.82, m1.55, m 1.90, m
32.05, dt (12.0, 8.8)1.76, m/2.58, ddd (15.8, 8.8, 5.5)
1.90, ddd (11.8, 8.5, 2.7)1.77, m 2.49, ddd (15.7, 8.6, 7.0)
4//2.56, dd (9.5, 4.4)/
52.69, ddd (13.4, 9.9, 3.6)2.23, t (12.1)0.44, t (9.5)1.88, m
62.19, m4.23, dd (11.6, 10.1)0.91, ddd (12.1, 9.5, 5.6)1.52, m
1.79, m 1.36, m
73.33, td (10.8, 3.9)1.81, m2.26, m1.15, m
/ 1.93, m1.01, td (13.3, 11.5)
82.22, m1.96, m1.89, m2.40, m
1.80, m1.32, m
92.26, m1.94, m/4.92, m
1.96, ddd (12.6, 9.5, 3.7)1.63, td (14.0, 13.4, 4.6)
10//3.36, ddd (12.3, 7.2, 4.5)/
11/2.20, m/2.90, m
12//4.15, d (11.1)/
4.06, d (11.1)
136.48, d (1.6)1.22, d (7.0)1.42, s1.11, d (7.4)
5.68, d (1.6)
141.50, s1.15, s1.43, s5.64, d (1.5)
4.93 d, (1.5)
151.44, s1.33, s1.73, s0.75, d (7.0)
1′ 3.37, m
2′ 1.11, t (7.0)
Compounds 1, 3, and 4 were measured in C5D5N, and 2 was measured in CDCl3.
Table 2. 13C NMR spectrum (150 MHz) data of compounds 14.
Table 2. 13C NMR spectrum (150 MHz) data of compounds 14.
NO.1234
δc, DEPTδc, DEPTδc, DEPTδc, DEPT
153.1 CH46.5 CH25.7 CH243.9 CH
226.5 CH225.6 CH238.4 CH229.2 CH2
340.8 CH239.3 CH281.2 C33.0 CH2
480.8 C80.3 C47.8 CH176.2 C
553.8 CH55.1 CH26.7 CH34.7 CH
633.2 CH283.0 CH29.4 CH37.4 CH2
741.6 CH51.1 CH19.5 CH218.5 CH2
831.7 CH225.9 CH239.2 CH244.8 CH
941.7 CH237.9 CH273.2 C83.1 CH
1073.9 C78.0 C54.5 CH143.9 C
11150.3 C41.4 CH24.9 C39.7 CH
12170.1 C178.0 C63.0 CH2178.6 C
13121.4 CH212.9 CH324.7 CH310.9 CH3
1428.0 CH322.5 CH332.6 CH3111.5 CH2
1524.9 CH324.0 CH326.4 CH314.0 CH3
1′ 55.4 CH2
2′ 16.2 CH3
Compounds 1, 3, and 4 were measured in C5D5N, and 2 was measured in CDCl3.
Publisher’s Note: MDPI stays neutral with regard to jurisdictional claims in published maps and institutional affiliations.

Share and Cite

MDPI and ACS Style

Zeng, Z.; Huang, H.; He, H.; Qiu, L.; Gao, Q.; Li, Y.; Ding, W. Sesquiterpenoids from the Inflorescence of Ambrosia artemisiifolia. Molecules 2022, 27, 5915. https://doi.org/10.3390/molecules27185915

AMA Style

Zeng Z, Huang H, He H, Qiu L, Gao Q, Li Y, Ding W. Sesquiterpenoids from the Inflorescence of Ambrosia artemisiifolia. Molecules. 2022; 27(18):5915. https://doi.org/10.3390/molecules27185915

Chicago/Turabian Style

Zeng, Zhi, Hong Huang, Hualiang He, Lin Qiu, Qiao Gao, Youzhi Li, and Wenbing Ding. 2022. "Sesquiterpenoids from the Inflorescence of Ambrosia artemisiifolia" Molecules 27, no. 18: 5915. https://doi.org/10.3390/molecules27185915

APA Style

Zeng, Z., Huang, H., He, H., Qiu, L., Gao, Q., Li, Y., & Ding, W. (2022). Sesquiterpenoids from the Inflorescence of Ambrosia artemisiifolia. Molecules, 27(18), 5915. https://doi.org/10.3390/molecules27185915

Article Metrics

Back to TopTop